Plasticizers Derived from Biomass Resources: A Short Review
Abstract
1. Introduction
2. Plasticizer Derived from Biomass Resources
2.1. Biomass Based Epoxidized Plasticizer
2.2. Polyester Plasticizer and Macromolecular Plasticizer
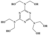
2.3. Flame Retardant Plasticizer
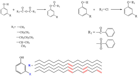
2.4. Citric Acid Ester Plasticizer
2.5. Glyceryl Ester Plasticizer
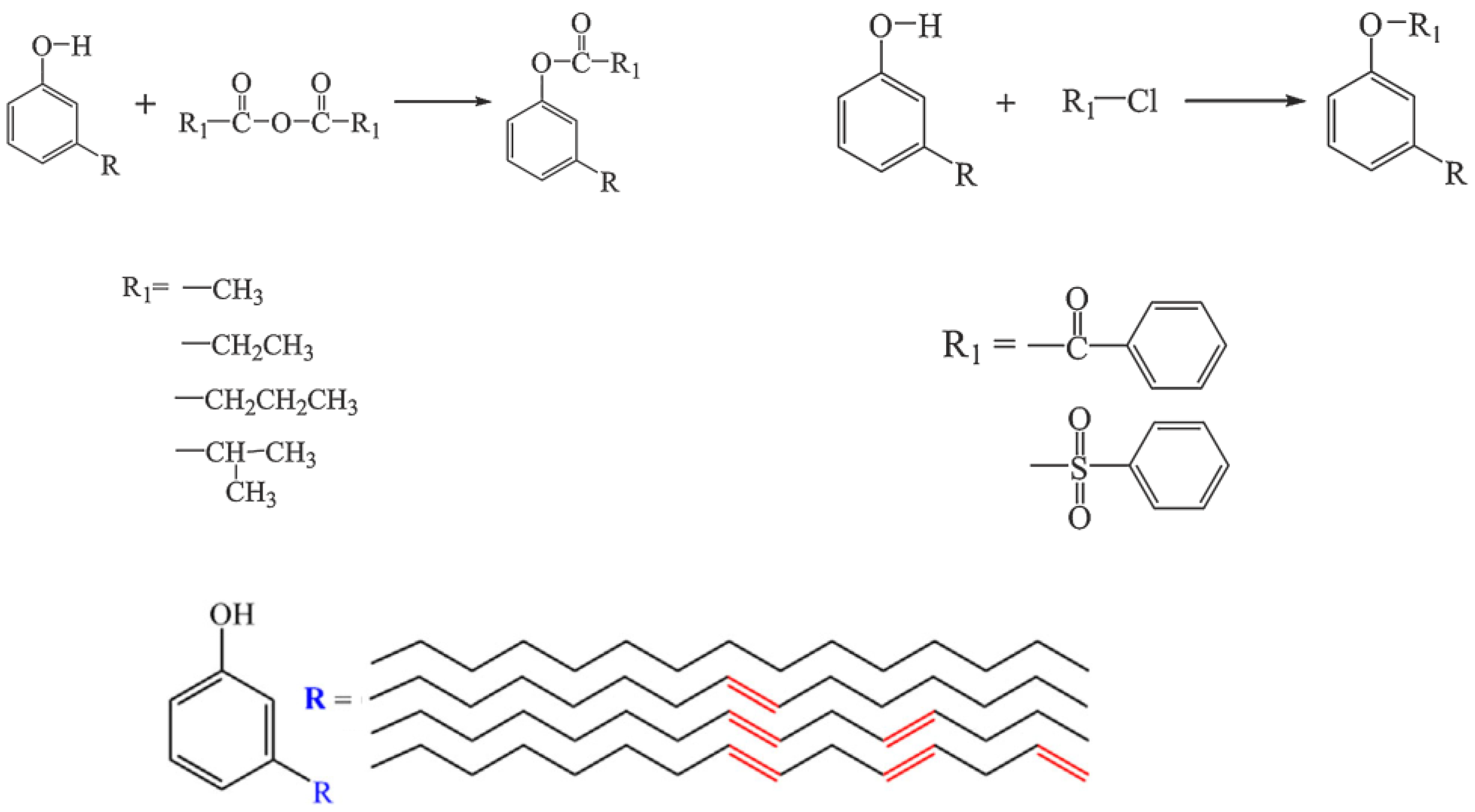
2.6. Other Plasticizers
3. Conclusions
Author Contributions
Funding
Conflicts of Interest
References
- Erythropel, H.C.; Maric, M.; Nicell, J.A.; Leask, R.L.; Yargeau, V. Leaching of the plasticizer di(2-ethylhexyl)phthalate (DEHP) from plastic containers and the question of human exposure. Appl. Microbiol. Biotechnol. 2014, 98, 9967–9981. [Google Scholar] [CrossRef] [PubMed]
- Rahman, M.; Brazel, C.S. The plasticizer market: An assessment of traditional plasticizers and research trends to meet new challenges. Prog. Polym. Sci. 2004, 29, 1223–1248. [Google Scholar] [CrossRef]
- Choi, J.S.; Park, W.H. Effect of biodegradable plasticizers on thermal and mechanical properties of poly(3-hydroxybutyrate). Polym. Test. 2004, 23, 455–460. [Google Scholar] [CrossRef]
- Yang, L.; Milutinovic, P.S.; Brosnan, R.J.; Eger, E.; Sonner, J.M. The plasticizer di(2-ethylhexyl) phthalate modulates gamma-aminobutyric acid type A and glycine receptor function. Anesth. Analg. 2007, 105, 393–396. [Google Scholar] [CrossRef] [PubMed]
- Wingborg, N.; Eldsäter, C. 2,2-Dinitro-1,3-Bis-Nitrooxy-Propane (NPN): A New Energetic Plasticizer. Propellants Explos. Pyrotech. 2002, 27, 314–319. [Google Scholar] [CrossRef]
- Sothornvit, R.; Krochta, J.M. Plasticizer effect on mechanical properties of β-lactoglobulin films. J. Food Eng. 2001, 50, 149–155. [Google Scholar] [CrossRef]
- Vieira, M.G.A.; Silva, M.A.D.; Santos, L.O.; Beppu, M.M. Natural-based plasticizers and biopolymer films: A review. Eur. Polym. J. 2011, 47, 254–263. [Google Scholar] [CrossRef]
- Lithner, D.; Larsson, Å.; Dave, G. Environmental and health hazard ranking and assessment of plastic polymers based on chemical composition. Sci. Total Environ. 2011, 409, 3309–3324. [Google Scholar] [CrossRef] [PubMed]
- Hines, C.J.; Hopf, N.B.; Deddens, J.A.; Silva, M.J.; Calafat, A.M. Occupational exposure to diisononyl phthalate (Di NP) in polyvinyl chloride processing operations. Int. Arch. Occup. Environ. Health 2012, 85, 317–325. [Google Scholar] [CrossRef] [PubMed]
- Chiellini, F.; Ferri, M.; Morelli, A.; Dipaola, L.; Latini, G. Perspectives on alternatives to phthalate plasticized poly(vinyl chloride) in medical devices applications. Prog. Polym. Sci. 2013, 38, 1067–1088. [Google Scholar] [CrossRef]
- Dutta, K.; Das, S.; Kundu, P.P. Epoxidized esters of palm kernel oil as an effective plasticizer for PVC: A study of mechanical properties and effect of processing conditions. Int. Polym. Proc. 2014, 29, 495–506. [Google Scholar] [CrossRef]
- Nihul, P.G.; Mhaske, S.T.; Shertukde, V.V. Epoxidized rice bran oil (ERBO) as a plasticizer for poly(vinyl chloride) (PVC). Iran. Polym. J. 2014, 23, 599–608. [Google Scholar] [CrossRef]
- Rodríguez, M.T.; García, S.J.; Cabello, R.; Suay, J.J.; Gracenea, J.J. Effect of plasticizer on the thermal, mechanical, and anticorrosion properties of an epoxy primer. J. Coat. Technol. Res. 2005, 2, 557–564. [Google Scholar] [CrossRef]
- Tan, S.G.; Chow, W.S. Biobased Epoxidized Vegetable Oils and Its Greener Epoxy Blends: A Review. Polym. Plast. Technol. 2010, 49, 1581–1590. [Google Scholar] [CrossRef]
- Ferrer, C.B.; Garrigós, M.C.; Jiménez, A. Characterization and thermal stability of poly(vinyl chloride) plasticized with epoxidized soybean oil for food packaging. Polym. Degrad. Stab. 2010, 95, 2207–2212. [Google Scholar] [CrossRef]
- Park, S.J.; Jin, F.L.; Lee, J.R. Thermal and mechanical properties of tetrafunctional epoxy resin toughened with epoxidized soybean oil. Mater. Sci. Eng. A 2004, 374, 109–114. [Google Scholar] [CrossRef]
- Zhao, Y.; Qu, J.; Feng, Y.; Wu, Z.; Chen, F.; Tang, H. Mechanical and thermal properties of epoxidized soybean oil plasticized polybutylene succinate blends. Polym. Adv. Technol. 2011, 23, 632–638. [Google Scholar] [CrossRef]
- Xu, Y.; Qu, J.J. Mechanical and rheological properties of epoxidized soybean oil plasticized poly(lactic acid). Appl. Polym. Sci. 2009, 112, 3185–3191. [Google Scholar] [CrossRef]
- Xiong, Z.; Yang, Y.; Feng, J.; Zhang, X.; Zhang, C.; Tang, Z.; Zhu, J. Preparation and characterization of poly(lactic acid)/starch composites toughened with epoxidized soybean oil. Carbohydr. Polym. 2013, 92, 810–816. [Google Scholar] [CrossRef] [PubMed]
- Xu, Y.; You, M.; Qu, J. Melt rheology of poly(lactic acid) plasticized by epoxidized soybean oil. Wuhan Univ. J. Nat. Sci. 2009, 14, 349–354. [Google Scholar] [CrossRef]
- Jia, P.; Zhang, M.; Hu, L.; Feng, G.; Bo, C.; Zhou, Y. Synthesis and application of environmental castor oil based polyol ester plasticizers for poly(vinyl chloride). ACS Sustain. Chem. Eng. 2015, 3, 2187–2193. [Google Scholar] [CrossRef]
- Jia, P.; Ma, Y.; Xia, H.; Zheng, M.; Feng, G.; Hu, L.; Zhang, M.; Zhou, Y. Clean synthesis of epoxidized tung oil derivatives via phase transfer catalyst and thiol-ene reaction: A detail study. ACS Sustain. Chem. Eng. 2018, 6, 13983–13994. [Google Scholar] [CrossRef]
- Jia, P.; Zhang, M.; Hu, L.; Zhou, Y. Green plasticizers derived from soybean oil for poly(vinyl chloride) as a renewable resource material. Korean J. Chem. Eng. 2016, 33, 1080–1087. [Google Scholar] [CrossRef]
- Vieira, M.G.A.; Silva, M.A.; Maçumotodos, A.C.G.; Santos, L.O.; Beppu, M.M. Synthesis and application of natural polymeric plasticizer obtained through polyesterification of rice fatty acid. Mater. Res.-Ibero-Am. J. 2014, 17, 386–394. [Google Scholar] [CrossRef]
- Machado, A.F.F.; Silva, M.A.; Vieira, M.G.A.; Beppu, M.M.J. Epoxidation of modified natural plasticizer obtained from rice fatty acids and application on polyvinylchloride films. Appl. Polym. Sci. 2013, 127, 3543–3549. [Google Scholar] [CrossRef]
- Chaudhary, B.I.; Nguyen, B.D.; Zamanskiy, A. Dialkyl furan-2,5-dicarboxylates, epoxidized fatty acid esters and their mixtures as bio-based plasticizers for poly(VInylchloride). J. Appl. Polym. Sci. 2015, 132, 42382. [Google Scholar] [CrossRef]
- Espinosa, L.M.; Gevers, A.; Woldt, B.; Graß, M.; Meier, M.A.R. Sulfur-containing fatty acid-based plasticizers via thiol-ene addition and oxidation: Synthesis and evaluation in PVC formulations. Green Chem. 2014, 16, 1883–1896. [Google Scholar] [CrossRef]
- Silverajah, V.S.G.; Ibrahim, N.A.; Yunus, W.M.Z.W.; Hassan, H.A.; Woei, C.B. A Comparative Study on the Mechanical, Thermal and Morphological Characterization of Poly(lactic acid)/Epoxidized Palm Oil Blend. Int. J. Mol. Sci. 2012, 13, 5878–5898. [Google Scholar] [CrossRef] [PubMed]
- Mulla, E.A.J.A.; Yunus, W.M.Z.W.; Ibrahim, N.A.; Rahman, M.Z.A. Properties of epoxidized palm oil plasticized polytlactic acid. J. Mater. Sci. 2010, 45, 1942–1946. [Google Scholar] [CrossRef]
- Chieng, B.W.; Ibrahim, N.A.; Then, Y.Y.; Loo, Y.Y. Epoxidized vegetable oils plasticized poly(lactic acid) biocomposites: Mechanical, thermal and morphology properties. Molecules 2014, 19, 16024–16038. [Google Scholar] [CrossRef] [PubMed]
- Chen, J.; Liu, Z.; Wang, K.; Huang, J.; Li, K.; Nie, X.; Jiang, J. Epoxidized castor oil-based diglycidyl-phthalate plasticizer: Synthesis and thermal stabilizing effects on poly(vinyl chloride). J. Appl. Polym. Sci. 2018, 135, 47142. [Google Scholar] [CrossRef]
- Chen, J.; Wang, Y.; Huang, J.; Li, K.; Nie, X. Synthesis of tung-oil-based triglycidyl ester plasticizer and its effects on poly(vinyl chloride) soft films. ACS Sustain. Chem. Eng. 2018, 6, 642–651. [Google Scholar] [CrossRef]
- Chen, J.; Li, Z.; Jiang, J.; Nie, X.; Zhou, Y.; Murray, R.E. A novel biobased plasticizer of epoxidized cardanol glycidyl ether: Synthesis and application in soft poly(vinyl chloride) films. RSC Adv. 2015, 5, 56171–56180. [Google Scholar] [CrossRef]
- Jia, P.; Zheng, M.; Ma, Y.; Feng, G.; Xia, H.; Hu, L.; Zheng, M.; Zhou, Y. Clean synthesis of epoxy plasticizer with quaternary ammonium phosphotungstate as catalyst from a byproduct of cashew nut processing. J. Clean. Prod. 2019, 206, 838–849. [Google Scholar] [CrossRef]
- Benaniba, M.T.; Bensemra, N.B.; Gelbard, G. Stabilizing effect of epoxidized sunflower oil on the thermal degradation of poly(vinyl chloride). Polym. Degrad. Stab. 2001, 74, 501–505. [Google Scholar] [CrossRef]
- Atek, D.; Bensemra, N.B.; Turki, M. Migration of epoxidized sunflower oil and dioctyl phthalate from rigid and plasticized poly(vinyl chloride). Int. J. Polym. Mater. Polym. Biomater. 2010, 59, 342–352. [Google Scholar] [CrossRef]
- Largjane, N.; Bensemra, N.B. Migration of additives in simulated landfills and soil burial degradation of plasticized PVC. J. Appl. Polym. Sci. 2009, 111, 525–531. [Google Scholar] [CrossRef]
- An, Y.; Ding, Y.; Tan, J.; Yang, W. Influences of polyester plasticizers on the properties of oil resistance flexible poly(vinyl chloride) and powder nitrile butadiene rubber blends. Adv. Sci. Lett. 2011, 4, 875–879. [Google Scholar] [CrossRef]
- Lin, W.J.; Lee, H.K.; Wang, D.M. The influence of plasticizers on the release of theophylline from microporous-controlled tablets. J. Control. Release 2004, 99, 415–421. [Google Scholar] [CrossRef] [PubMed]
- Li, Y.; Wang, C.; Wang, G.; Qu, Z. Application of the long-chain linear polyester in plastification of PVC. J. Wuhan Univ. Technol. Mater. Sci. 2008, 23, 100–104. [Google Scholar] [CrossRef]
- Sander, M.M.; Nicolau, A.; Guzatto, R.; Samios, D. Plasticiser effect of oleic acid polyester on polyethylene and polypropylene. Polym. Test. 2012, 31, 1077–1082. [Google Scholar] [CrossRef]
- Lindstrom, A.; Hakkarainen, M. Environmentally friendly plasticizers for poly(vinyl chloride)-Improved mechanical properties and compatibility by using branched poly(butylene adipate) as a polymeric plasticizer. J. Appl. Polym. Sci. 2006, 100, 2180–2188. [Google Scholar] [CrossRef]
- Koller, M.; Braunegg, G. Biomediated production of structurally diverse poly(hydroxyalkanoates) from surplus streams of the animal processing industry. Polimery 2015, 60, 298–308. [Google Scholar] [CrossRef]
- Lee, K.W.; Chung, J.W.; Kwak, S.Y. Synthesis and characterization of bio-based alkyl terminal hyperbranched polyglycerols: A detailed study of their plasticization effect and migration resistance. Green Chem. 2016, 18, 999–1009. [Google Scholar] [CrossRef]
- Lee, K.W.; Chung, J.W.; Kwak, S.Y. Highly branched polycaprolactone/glycidol copolymeric green plasticizer by one-pot solvent-free polymerization. ACS Sustain. Chem. Eng. 2018, 6, 9006–9017. [Google Scholar] [CrossRef]
- Choi, J.; Kwak, S.Y. Hyperbranched poly(ε-caprolactone) as a nonmigrating alternative plasticizer for phthalates in flexible PVC. Environ. Sci. Technol. 2007, 41, 3763–3768. [Google Scholar] [CrossRef] [PubMed]
- Mckee, M.G.; Unal, S.; Wilkes, G.L.; Long, T.E. Branched polyesters: Recent advances in synthesis and performance. Prog. Polym. Sci. 2005, 30, 507–539. [Google Scholar] [CrossRef]
- Xie, T.; Gao, C.; Wang, C.; Shen, S.; Wu, Y. Application of poly(butylenes 2-methylsuccinate) as migration resistant plasticizer for poly(vinyl chloride). Polym.-Plast. Technol. 2014, 53, 465–471. [Google Scholar] [CrossRef]
- Yue, L.; Cao, Y.; Huang, T.; Huang, L.; Bai, Y.; Zhou, Y. Synthesis of aromatic hyperbranched polyester (HBPE) and its use as a nonmigrating plasticiser. Aust. J. Chem. 2013, 67, 22–30. [Google Scholar] [CrossRef]
- Sunny, M.C.; Ramesh, P.; George, K.E. Use of polymeric plasticizers in polyvinyl chloride to reduce conventional plasticizer migration for critical applications. J. Elastomers Plast. 2004, 36, 19–33. [Google Scholar] [CrossRef]
- Noti, A.F.; Grob, K. Migration of plasticizers from PVC gaskets of lids for glass jars into oily foods: Amount of gasket material in food contact, proportion of plasticizer migrating into food and compliance testing by simulation. Trends Food Sci. Technol. 2006, 17, 105–112. [Google Scholar] [CrossRef]
- Audic, J.L.; Brosse, J.C. Migration of additives from food grade polyvinyl chloride (PVC) films: Effect of plasticization by polymeric modifiers instead of conventional plasticizers. J. Appl. Polym. Sci. 2003, 89, 1291–1299. [Google Scholar] [CrossRef]
- Zullo, R.; Iannace, S. The effects of different starch sources and plasticizers on film blowing of thermoplastic starch: Correlation among process, elongational properties and macromolecular structure. Carbohydr. Polym. 2009, 77, 376–383. [Google Scholar] [CrossRef]
- Pushpadass, H.A.; Kumar, A.; Jackson, D.S.; Wehling, R.L.; Dumais, J.L.; Hanna, M.A. Macromolecular changes in extruded starch-films plasticized with glycerol, water and stearic acid. Starch Stärke 2009, 61, 256–266. [Google Scholar] [CrossRef]
- Jia, P.; Zhang, M.; Hu, L.; Zhou, Y. A novel biobased polyester plasticizer prepared from palm oil and its plasticizing effect on poly(vinyl chloride). Pol. J. Chem. Technol. 2016, 18, 9–14. [Google Scholar] [CrossRef]
- Fakhoury, F.M.; Martelli, S.M.; Bertan, L.C.; Yamashita, F.; Mei, L.H.I.; Queiroz, F.P.C. Edible films made from blends of manioc starch and gelatin—Influence of different types of plasticizer and different levels of macromolecules on their properties. Food Sci. Technol. 2012, 49, 149–154. [Google Scholar] [CrossRef]
- Jia, P.; Bo, C.; Hu, L.; Zhang, M.; Zhou, Y. Synthesis of a novel polyester plasticizer based on glyceryl monooleate and its application in poly(vinyl chloride). J. Vinyl Addit. Technol. 2016, 22, 514–519. [Google Scholar] [CrossRef]
- Jia, P.; Bo, C.; Hu, L.; Zhou, Y. Synthesis and characterization of glyceryl monooleate-based polyester. Korean J. Chem. Eng. 2015, 32, 547–551. [Google Scholar] [CrossRef]
- Scott, M.P.; Rahman, M.; Brazel, C.S. Application of ionic liquids as low-volatility plasticizers for PMMA. Eur. Polym. J. 2003, 39, 1947–1953. [Google Scholar] [CrossRef]
- Wadey, B.L. An innovative plasticizer for sensitive applications. J. Vinyl Addit. Technol. 2003, 9, 172–176. [Google Scholar] [CrossRef]
- Li, M.; Jian, X.; Yang, Y. Lacunary keggin polyoxotungstate as reaction-controlled phase-transfer catalyst for catalytic epoxidation of olefins. Chin. J. Chem. 2004, 8, 874–876. [Google Scholar] [CrossRef]
- Levchik, S.V.; Weil, E.D. Overview of the recent literature on flame retardancy and smoke suppression in PVC. Polym. Adv. Technol. 2005, 16, 707–716. [Google Scholar] [CrossRef]
- Weil, E.D.; Levchik, S.V. A Review of current flame retardant systems for epoxy Resins. J. Fire Sci. 2004, 22, 25–40. [Google Scholar] [CrossRef]
- Chen, M.; Shao, Z.; Wang, X.; Chen, L.; Wang, Y. Halogen-free flame-retardant flexible polyurethane foam with a novel nitrogen-phosphorus flame retardant. Ind. Eng. Chem. Res. 2012, 51, 9769–9776. [Google Scholar] [CrossRef]
- Gaan, S.; Sun, G.J. Effect of phosphorus and nitrogen on flame retardant cellulose: A study of phosphorus compounds. J. Anal. Appl. Pyrolysis 2007, 78, 371–377. [Google Scholar] [CrossRef]
- Lu, S.; Hamerton, I. Recent developments in the chemistry of halogen-free flame retardant polymers. Prog. Polym. Sci. 2002, 27, 1661–1712. [Google Scholar] [CrossRef]
- Hartmann, P.C.; Burgi, D.; Giger, W. Organophosphate flame retardants and plasticizers in indoor air. Chemosphere 2004, 57, 781–787. [Google Scholar] [CrossRef] [PubMed]
- Levchik, S.V.; Weil, E.D. Review of Recent Progress in Phosphorus-based Flame Retardants. J. Fire Sci. 2006, 24, 345–364. [Google Scholar] [CrossRef]
- Mauerer, O. New reactive, halogen-free flame retardant system for epoxy resins. Polym. Degrad. Stab. 2005, 88, 70–73. [Google Scholar] [CrossRef]
- Feng, G.; Jia, P.; Zhang, L.; Hu, L.; Zhang, M.; Zhou, Y. Synthesis of a novel phosphorus-containing plasticizer based on castor oil and its application for flame retardancy of polyvinyl chloride. Korean J. Chem. Eng. 2015, 32, 1201–1206. [Google Scholar] [CrossRef]
- Jia, P.; Zhang, M.; Hu, L.; Bo, C.; Zhou, Y. Synthesis, application, and flame-retardant mechanism of a novel phosphorus-containing plasticizer based on castor oil for polyvinyl chloride. J. Therm. Anal. Calorim. 2015, 120, 1731–1740. [Google Scholar] [CrossRef]
- Jia, P.; Zhang, M.; Liu, C.; Hu, L.; Feng, G.; Bo, C.; Zhou, Y. Effect of chlorinated phosphate ester based on castor oil on thermal degradation of poly(vinyl chloride) blends and its flame retardant mechanism as secondary plasticizer. RSC Adv. 2015, 5, 41169–41178. [Google Scholar] [CrossRef]
- Jia, P.; Zhang, M.; Hu, L.; Zhou, J.; Feng, G.; Zhou, Y. Thermal degradation behavior and flame retardant mechanism of poly(vinyl chloride) plasticized with a soybean-oil-based plasticizer containing phosphaphenanthrene groups. Polym. Degrad. Stab. 2015, 121, 292–302. [Google Scholar] [CrossRef]
- Jia, P.; Zhang, M.; Hu, L.; Feng, G.; Bo, C.; Liu, C.; Zhou, Y. Synthesis and application of phosphaphenanthrenegroups-containing soybean-oil-based plasticizer. Ind. Crops Prod. 2015, 76, 590–603. [Google Scholar] [CrossRef]
- Jia, P.; Zhang, M.; Hu, L.; Bo, C.; Zhou, Y. Thermal degradation and flame retardant mechanism of poly(vinyl chloride) plasticized with a novel chlorinated phosphate based on soybean oil. Thermochim. Acta 2015, 613, 113–120. [Google Scholar] [CrossRef]
- Jia, P.; Hu, L.; Feng, G.; Bo, C.; Zhou, J.; Zhang, M.; Zhou, Y. Design and synthesis of a castor oil based plasticizer containing THEIC and diethyl phosphate groups for the preparation of flame-retardant PVC materials. RSC Adv. 2017, 7, 897–903. [Google Scholar] [CrossRef]
- Wang, M.; Song, X.; Jiang, J.; Xia, J.; Ding, H.; Li, M. Plasticization and thermal behavior of hydroxyl and nitrogen rich group-containing tung-oil-based ester plasticizers for PVC. New J. Chem. 2018, 42, 2422–2431. [Google Scholar] [CrossRef]
- Bocqué, M.; Lapinte, V.; Courault, V. Phosphonated lipids as primary plasticizers for PVC with improved flame retardancy. Eur. J. Lipid Sci. Technol. 2018, 120, 1800062. [Google Scholar] [CrossRef]
- Shi, R.; Zhang, Z.; Liu, Q.; Han, Y.; Zhang, L.; Chen, D.; Tian, W. Characterization of citric acid/glycerol co-plasticized thermoplastic starch prepared by melt blending. Carbohydr. Polym. 2007, 69, 748–755. [Google Scholar] [CrossRef]
- Chabrat, E.; Abdillahi, H.; Rouilly, A.; Rigal, L. Influence of citric acid and water on thermoplastic wheat flour/poly(lactic acid) blends. I: Thermal, mechanical and morphological properties. Ind. Crops Prod. 2012, 37, 238–246. [Google Scholar] [CrossRef]
- Schilling, S.U.; Shaj, N.H.; Malick, A.W.; Infeld, M.H.; McGinity, J.W. Citric acid as a solid-state plasticizer for Eudragit RS PO. J. Pharm. Pharmacol. 2007, 59, 1493–1500. [Google Scholar] [CrossRef] [PubMed]
- Olivato, J.B.; Grossmann, M.V.E.; Yamashita, F.; Eiras, D.; Pessan, L.A. Citric acid and maleic anhydride as compatibilizers in starch/poly(butylene adipate-co-terephthalate) blends by one-step reactive extrusion. Carbohydr. Polym. 2012, 87, 2614–2618. [Google Scholar] [CrossRef]
- Shi, R.; Bi, J.; Zhang, Z.; Zhu, A.; Chen, D.; Zhou, X.; Zhang, L.; Wei, T. The effect of citric acid on the structural properties and cytotoxicity of the polyvinyl alcohol/starch films when molding at high temperature. Carbohydr. Polym. 2008, 74, 763–770. [Google Scholar] [CrossRef]
- Seligra, P.G.; Jaramillo, C.M.; Famá, L.; Goyanes, S. Biodegradable and non-retrogradable eco-films based on starch–glycerol with citric acid as crosslinking agent. Carbohydr. Polym. 2016, 138, 66–74. [Google Scholar] [CrossRef] [PubMed]
- Olsson, E.; Hedenqvist, M.S.; Johansson, C.; Järnström, L. Influence of citric acid and curing on moisture sorption, diffusion and permeability of starch films. Carbohydr. Polym. 2013, 94, 765–772. [Google Scholar] [CrossRef] [PubMed]
- Zuraida, A.; Yusliza, Y.; Anuar, H.; Muhaimin, R.M.M. The effect of water and citric acid on sago starch bio-plastics. Int. Food Res. J. 2012, 19, 715–719. [Google Scholar]
- Ghanbrazadeh, B.; Almasi, H.; Entezami, A.A. Improving the barrier and mechanical properties of corn starch-based edible films: Effect of citric acid and carboxymethyl cellulose. Ind. Crops Prod. 2011, 33, 229–235. [Google Scholar] [CrossRef]
- Park, H.M.; Misra, M.; Drzal, L.T.; Mohanty, A.K. “Green” nanocomposites from cellulose acetate bioplastic and clay: Effect of eco-friendly triethyl citrate plasticizer. Biomacromoleculars 2004, 5, 2281–2288. [Google Scholar] [CrossRef] [PubMed]
- Vaidya, P.D.; Rodrigues, A.E. Glycerol Reforming for Hydrogen Production: A Review. Chem. Eng. Technol. 2009, 32, 1463–1469. [Google Scholar] [CrossRef]
- Wang, Z.; Zhuge, J.; Fang, H.; Prior, B.A. Glycerol production by microbial fermentation: A review. Biotechnol. Adv. 2001, 19, 201–223. [Google Scholar] [CrossRef]
- Cha, D.; Chinnan, M.S. Biopolymer-based antimicrobial packaging: A review. Crit. Rev. Food Sci. 2004, 44, 223–237. [Google Scholar] [CrossRef] [PubMed]
- Zhang, H.; Grinstaff, M.W. Recent advances in glycerol polymers: chemistry and biomedical applications. Macromol. Rapid. Comm. 2014, 35, 1906–1924. [Google Scholar] [CrossRef] [PubMed]
- Suarez, O.; Narveaz, P.; Corriou, J.P.; Camargo, M.; Fonteix, C. Low-molecular-weight glycerol esters as plasticizers for poly(vinyl chloride). J. Vinyl Addit. Technol. 2014, 20, 65–71. [Google Scholar] [CrossRef]
- Sahu, N.H.; Mandaogade, P.M.; Deshmukh, A.M.; Meghre, V.S.; Dorle, A.K. Biodegradation Studies of Rosin-Glycerol Ester Derivative. J. Bioact. Compat. Polym. 1999, 14, 344–360. [Google Scholar] [CrossRef]
- Thomazine, M.; Carvalho, R.A.; Sorbal, P.J.A. Physical Properties of Gelatin Films Plasticized by Blends of Glycerol and Sorbitol. J. Food Sci. 2005, 70, 172–176. [Google Scholar] [CrossRef]
- McHugh, T.H.; Krochta, J.M. Sorbitol- vs Glycerol-Plasticized Whey Protein Edible Films: Integrated Oxygen Permeability and Tensile Property Evaluation. J. Agric. Food Chem. 1994, 42, 841–845. [Google Scholar] [CrossRef]
- Mikkonen, K.S.; Heikkinen, S.; Soovre, A.; Peura, M.; Serimaa, R.; Talja, R.A.; Helen, H.; Hyvonen, L.; Tenkanen, M. Films from oat spelt arabinoxylan plasticized with glycerol and sorbitol. J. Appl. Polym. Sci. 2009, 114, 457–466. [Google Scholar] [CrossRef]
- Sun, S.; Song, Y.; Zheng, Q. Morphologies and properties of thermo-molded biodegradable plastics based on glycerol-plasticized wheat gluten. Food Hydrocolloids 2007, 21, 1005–1013. [Google Scholar] [CrossRef]
- Chang, P.R.; Jian, R.; Zheng, P.; Yu, J.; Ma, X. Preparation and properties of glycerol plasticized-starch (GPS)/cellulose nanoparticle (CN) composites. Carbohydr. Polym. 2010, 79, 301–305. [Google Scholar] [CrossRef]
- Corradini, E.; Medeiros, E.S.; Carvalho, A.J.F.; Curvelo, A.A.S.; Mattoso, L.H.C. Mechanical and morphological characterization of starch/zein blends plasticized with glycerol. J. Appl. Polym. Sci. 2006, 101, 4133–4139. [Google Scholar] [CrossRef]
- Gonzalez, F.J.; Ramsay, B.A.; Favis, B.D. Rheological and thermal properties of thermoplastic starch with high glycerol content. Carbohydr. Polym. 2004, 58, 139–147. [Google Scholar] [CrossRef]
- Baimark, Y.; Srihanam, P.; Srisuwan, Y. Preparation of flexible silk fibroin films plasticized with glucose. Asian J. Mater. Sci. 2009, 1, 29–35. [Google Scholar] [CrossRef]
- Marklund, A.; Andersson, B.; Haglund, P. Traffic as a source of organophosphorus flame retardants and plasticizers in snow. Environ. Sci. Technol. 2005, 39, 3555–3562. [Google Scholar] [CrossRef] [PubMed]
- Battegazzore, D.; Bocchini, S.; Nicola, G.; Martini, E.; Frache, A. Isosorbide, a green plasticizer for thermoplastic starch that does not retrogradate. Carbohydr. Polym. 2015, 119, 78–84. [Google Scholar] [CrossRef] [PubMed]
- Savvashe, P.B.; Kadam, P.G.; Mhaske, S.T. Ester-amide based on ricinoleic acid as a novel primary plasticizer for poly(vinyl chloride). J. Appl. Polym. Sci. 2015, 132, 41913. [Google Scholar] [CrossRef]
- Mohapatra, S.; Nando, G.B. Cardanol: A green substitute for aromatic oil as a plasticizer in natural rubber. RSC Adv. 2014, 4, 15406–15418. [Google Scholar] [CrossRef]
- Yin, B.; Aminlashgari, N.; Yang, X.; Hakkarainen, M. Glucose esters as biobased PVC plasticizers. Eur. Polym. J. 2014, 58, 34–40. [Google Scholar] [CrossRef]
- Cataldo, F.; Ursini, O.; Angelini, G. Biodiesel as a plasticizer of a SBR-based tire tread formulation. ISRN Polym. Sci. 2013, 2013, 340426. [Google Scholar] [CrossRef]
- Yang, Y.; Xiong, Z.; Zhang, L.; Tang, Z.; Zhang, R.; Zhu, J. Isosorbide dioctoate as a “green” plasticizer for poly(lactic acid). Mater. Des. 2016, 91, 262–268. [Google Scholar] [CrossRef]
- Yin, B.; Hakkarainen, M. Oligomeric isosorbide esters as alternative renewable resource plasticizers for PVC. J. Appl. Polym. Sci. 2011, 119, 2400–2407. [Google Scholar] [CrossRef]
- Yang, P.; Sun, H.; Fan, H.; Shi, B. Novel environmentally sustainable cardanol-based plasticizers: Synthesis and properties. Polym. Int. 2016, 65, 464–472. [Google Scholar] [CrossRef]
- Greco, A.; Brunetti, D.; Renna, G.; Mele, G.; Maffezzoli, A. Plasticizer for poly(vinyl chloride) from cardanol as a renewable resource material. Polym. Degrad. Stab. 2010, 95, 2169–2174. [Google Scholar] [CrossRef]
- Greco, A.; Ferrari, F.; Maffezzoli, A. Mechanical and durability properties of soft PVC plasticized by cardanol derivatives. AIP Conf. Proc. 2017, 1914, 070011. [Google Scholar]
- Greco, A.; Ferrari, F.; Velardi, R.; Frigione, M.; Maffezzoli, A. Solubility and durability of cardanol derived plasticizers for soft PVC. Int. Polym. Proc. 2016, 31, 577–586. [Google Scholar] [CrossRef]
- Greco, A.; Maffezzoli, A. Cardanol derivatives as innovative bio-plasticizers for poly(lactic acid). Polym. Degrad. Stab. 2016, 132, 213–219. [Google Scholar] [CrossRef]
- Greco, A.; Ferrari, F.; Maffezzoli, A. Thermal analysis of poly(lactic acid) plasticized by cardanol derivatives. J. Therm. Anal. Calorim. 2018, 134, 559–565. [Google Scholar] [CrossRef]
- Prabhakaran, K.; Narayanan, A.; Pavithran, C. Cardanol as a dispersant plasticizer for an alumina/toluene tape casting slip. J. Eur. Cream. Soc. 2001, 21, 2873–2878. [Google Scholar] [CrossRef]
- Alexander, M.; Philip, K.; Thachil, E.T. Effectiveness of cardanol as plasticizer for silica-filled natural rubber. Prog. Rubber. Plast. Recycl. 2007, 23, 43–55. [Google Scholar] [CrossRef]
- Li, M.; Li, S.; Xia, J.; Ding, C.; Wang, M.; Xu, L.; Yang, X.; Huang, K. Tung oil based plasticizer and auxiliary stabilizer for poly(vinyl chloride). Mater. Des. 2017, 122, 366–375. [Google Scholar] [CrossRef]
- Mehta, B.; Kathalewar, M.; Anagha, A. Benzyl ester of dehydrated castor oil fatty acid as plasticizer for poly(vinyl chloride). Polym. Int. 2014, 63, 1456–1464. [Google Scholar] [CrossRef]
- Jia, P.; Hu, L.; Yang, X.; Zhang, M.; Shang, Q.; Zhou, Y. Internally plasticized PVC materials via covalent attachment of aminated tung oil methyl ester. RSC Adv. 2017, 7, 30101–30108. [Google Scholar] [CrossRef]
- Jia, P.; Hu, L.; Feng, G.; Bo, C.; Zhang, M.; Zhou, Y. PVC materials without migration obtained by chemical modification of azide-functionalized PVC and triethyl citrate plasticizer. Mater. Chem. Phys. 2017, 190, 25–30. [Google Scholar] [CrossRef]
- Jia, P.; Hu, L.; Shang, Q.; Wang, R.; Zhang, M.; Zhou, Y. Self-Plasticization of PVC materials via chemical modification of mannich base of cardanol butyl ether. ACS Sustain. Chem. Eng. 2017, 5, 6665–6673. [Google Scholar] [CrossRef]
- Jia, P.; Zhang, M.; Hu, L.; Song, F.; Feng, G.; Zhou, Y. A strategy for nonmigrating plasticized PVC modified with mannich base of waste cooking oil methyl ester. Sci. Rep. UK 2018, 8, 1589. [Google Scholar] [CrossRef] [PubMed]
- Jia, P.; Hu, L.; Zhang, M.; Feng, G.; Zhou, Y. Phosphorus containing castor oil based derivatives: Potential non-migratory flame retardant plasticizer. Eur. Polym. J. 2017, 87, 209–220. [Google Scholar] [CrossRef]
- Jia, P.; Zhang, M.; Hu, L.; Wang, R.; Sun, C.; Zhou, Y. Cardanol groups grafted on poly (vinyl chloride)-synthesis, performance and plasticization mechanism. Polymers 2017, 9, 621. [Google Scholar] [CrossRef]
- Yang, P.; Yan, J.; Fan, H.; Wang, F.; Shi, B. Novel environmentally sustainable cardanol-based plasticizer covalently bound to PVC via click chemistry: Synthesis and properties. RSC Adv. 2015, 5, 16980–16985. [Google Scholar] [CrossRef]
- Lee, K.W.; Chung, J.W.; Kwak, S.Y. Structurally enhanced self-plasticization of poly(vinyl chloride) via click grafting of hyperbranched polyglycerol. Macromol. Rapid Commun. 2016, 37, 2045–2051. [Google Scholar] [CrossRef] [PubMed]



























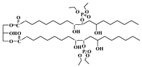
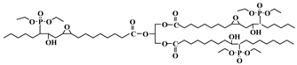
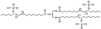
| Flame Retardant Elements (Phosphate, Chlorine and Nitrogen) Containing Vegetable Oil Based Plasticizers | References | No. |
|---|---|---|
![]() | [70] | a |
![]() | [71] | b |
![]() | [72] | c |
![]() | [73] | d |
![]() | [74] | e |
![]() | [75] | f |
![]() | [76] | g |
![]() | [77] | h |
![]() | [77] | i |
![]() | [77] | j |
![]() | [78] | k |
![]() | [78] | l |
![]() | [78] | m |
![]() | [78] | n |
© 2018 by the authors. Licensee MDPI, Basel, Switzerland. This article is an open access article distributed under the terms and conditions of the Creative Commons Attribution (CC BY) license (http://creativecommons.org/licenses/by/4.0/).
Share and Cite
Jia, P.; Xia, H.; Tang, K.; Zhou, Y. Plasticizers Derived from Biomass Resources: A Short Review. Polymers 2018, 10, 1303. https://doi.org/10.3390/polym10121303
Jia P, Xia H, Tang K, Zhou Y. Plasticizers Derived from Biomass Resources: A Short Review. Polymers. 2018; 10(12):1303. https://doi.org/10.3390/polym10121303
Chicago/Turabian StyleJia, Puyou, Haoyu Xia, Kehan Tang, and Yonghong Zhou. 2018. "Plasticizers Derived from Biomass Resources: A Short Review" Polymers 10, no. 12: 1303. https://doi.org/10.3390/polym10121303
APA StyleJia, P., Xia, H., Tang, K., & Zhou, Y. (2018). Plasticizers Derived from Biomass Resources: A Short Review. Polymers, 10(12), 1303. https://doi.org/10.3390/polym10121303















