Theoretical Study of the Electronic and Magnetic Properties and Phase Stability of the Full Heusler Compound Pd2CoAl
Abstract
1. Introduction
2. Computational Methods and Details
3. Results and Discussions
3.1. Crystal Structure and Equilibrium Lattice
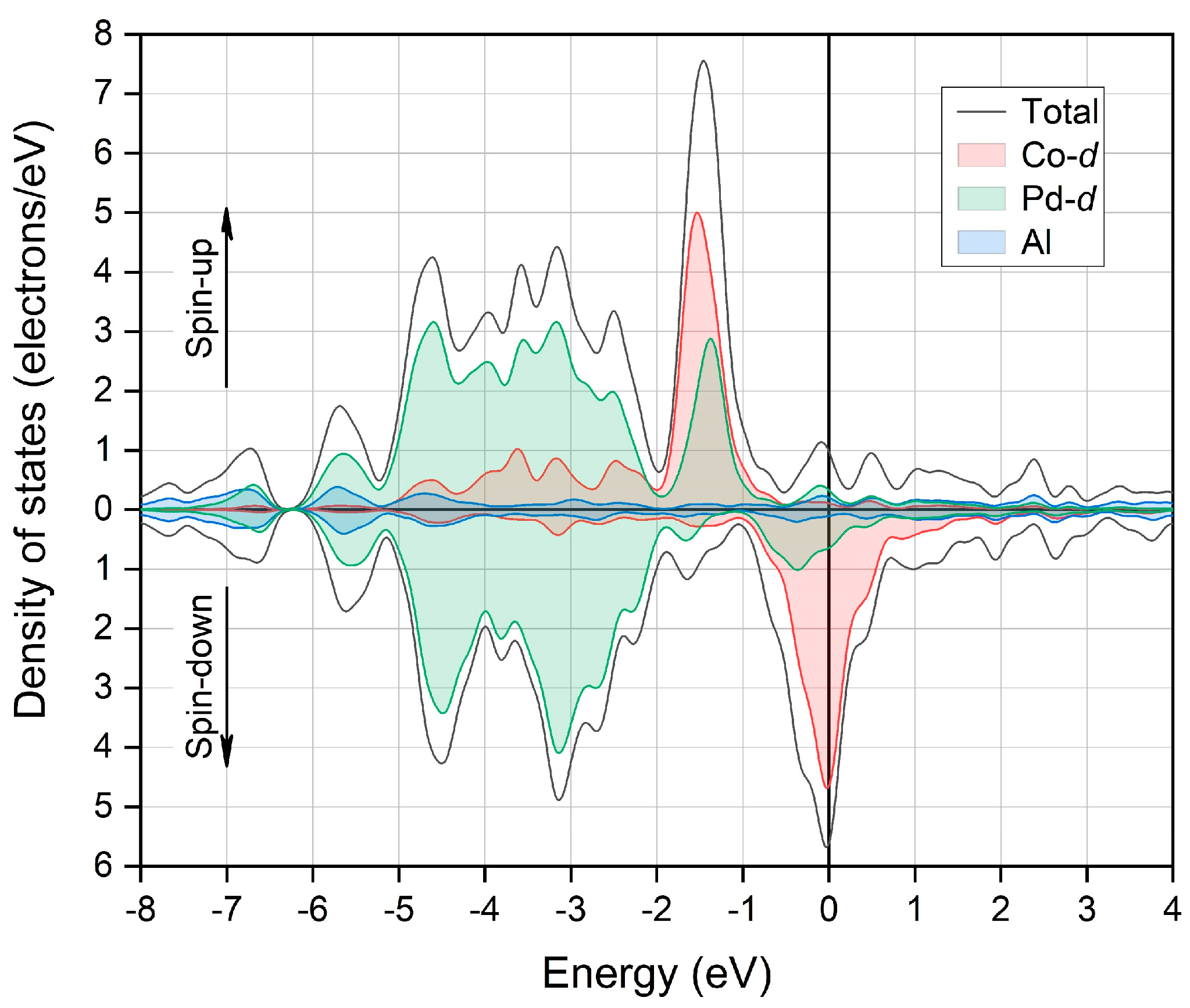
3.2. Electronic and Magnetic Properties
3.3. Tetragonal Structure and Phase Stability
4. Conclusions
Author Contributions
Funding
Acknowledgments
Conflicts of Interest
References
- Abada, A.; Amara, K.; Hiadsi, S.; Amrani, B. First principles study of a new half-metallic ferrimagnets Mn2-based full Heusler compounds: Mn2ZrSi and Mn2ZrGe. J. Magn. Magn. Mater. 2015, 388, 59–67. [Google Scholar] [CrossRef]
- Babiker, S.; Gao, G.; Yao, K. Half-metallicity and magnetism of Heusler alloys Co2HfZ (Z = Al, Ga, Ge, Sn). J. Magn. Magn. Mater. 2017, 441, 356–360. [Google Scholar] [CrossRef]
- Bahramian, S.; Ahmadian, F. Half-metallicity and magnetism of quaternary Heusler compounds CoRuTiZ (Z=Si, Ge, and Sn). J. Magn. Magn. Mater. 2017, 424, 122–129. [Google Scholar] [CrossRef]
- Chen, Y.; Chen, S.; Wang, B.; Wu, B.; Huang, H.; Qin, X.; Li, D.; Yan, W. Half-Metallicity and Magnetism of the Quaternary Heusler Compound TiZrCoIn1−xGex from the First-Principles Calculations. Appl. Sci. 2019, 9, 620. [Google Scholar] [CrossRef]
- Galanakis, I.; Dederichs, P.H.; Papanikolaou, N. Slater-Pauling behavior and origin of the half-metallicity of the full-Heusler alloys. Phys. Rev. B 2002, 66, 174429. [Google Scholar] [CrossRef]
- Galanakis, I.; Mavropoulos, P. Spin-polarization and electronic properties of half-metallic Heusler alloys calculated from first principles. J. Phys. Condens. Matter 2007, 19, 315213. [Google Scholar] [CrossRef] [PubMed]
- Ganai, Z.S.; Yousuf, S.; Batoo, K.M.; Khan, M.; Gupta, D.C. Half-metallicity and onsite Hubbard interaction on d-electronic states: A case study of Fe2NiZ (Z = Al, Ga, Si, Ge) Heusler systems. Philos. Mag. 2019, 99, 1551–1562. [Google Scholar] [CrossRef]
- Gao, G.Y.; Yao, K.L.; Sasioglu, E.; Sandratskii, L.M.; Liu, Z.L.; Jiang, J.L. Half-metallic ferromagnetism in zinc-blende CaC, SrC, and BaC from first principles. Phys. Rev. B 2007, 75, 174442. [Google Scholar] [CrossRef]
- Wang, X.T.; Lin, T.T.; Rozale, H.; Dai, X.F.; Liu, G.D. Robust half-metallic properties in inverse Heusler alloys composed of 4d transition metal elements: Zr2RhZ (Z=Al, Ga, In). J. Magn. Magn. Mater. 2016, 402, 190–195. [Google Scholar] [CrossRef]
- Yang, T.; Cao, J.T.; Wang, X.T. Structural, Electronic, Magnetic, Mechanic and Thermodynamic Properties of the Inverse Heusler Alloy Ti2NiIn Under Pressure. Crystals 2018, 8, 429. [Google Scholar] [CrossRef]
- Bainsla, L.; Mallick, A.I.; Raja, M.M.; Coelho, A.A.; Nigam, A.K.; Johnson, D.D.; Alam, A.; Suresh, K.G. Origin of spin gapless semiconductor behavior in CoFeCrGa: Theory and Experiment. Phys. Rev. B 2015, 92, 045201. [Google Scholar] [CrossRef]
- Bainsla, L.; Mallick, A.I.; Raja, M.M.; Nigam, A.K.; Varaprasad, B.C.S.; Takahashi, Y.K.; Alam, A.; Suresh, K.G.; Hono, K. Spin gapless semiconducting behavior in equiatomic quaternary CoFeMnSi Heusler alloy. Phys. Rev. B 2015, 91, 104408. [Google Scholar] [CrossRef]
- Wang, X.L. Proposal for a new class of materials: Spin gapless semiconductors. Phys. Rev. Lett. 2008, 100, 156404. [Google Scholar] [CrossRef]
- Wang, X.T.; Cheng, Z.X.; Khenata, R.; Rozale, H.; Wang, J.L.; Wang, L.Y.; Guo, R.K.; Liu, G.D. A first-principle investigation of spin-gapless semiconductivity, half-metallicity, and fully-compensated ferrimagnetism property in Mn2ZnMg inverse Heusler compound. J. Magn. Magn. Mater. 2017, 423, 285–290. [Google Scholar] [CrossRef]
- Wang, X.T.; Cheng, Z.X.; Wang, J.L.; Wang, X.L.; Liu, G.D. Recent advances in the Heusler based spin-gapless semiconductors. J. Mater. Chem. C 2016, 4, 7176–7192. [Google Scholar] [CrossRef]
- Wang, X.T.; Li, T.Z.; Cheng, Z.X.; Wang, X.L.; Chen, H. Recent advances in Dirac spin-gapless semiconductors. Appl. Phys. Rev. 2018, 5, 041103. [Google Scholar] [CrossRef]
- Yang, T.; Hao, L.Y.; Khenata, R.; Wang, X.T. Strain Conditions for the Inverse Heusler Type Fully Compensated Spin-Gapless Semiconductor Ti2MnAl: A First-Principles Study. Materials 2018, 11, 2091. [Google Scholar] [CrossRef]
- Chen, X.; Huang, Y.; Yuan, H.; Liu, J.; Chen, H. Theoretical investigation on thermoelectric properties of spin gapless semiconductor Cr2ZnSi. Appl. Phys. A 2018, 124, 841. [Google Scholar] [CrossRef]
- Hamad, B. Ab initio investigations of the structural, electronic, and thermoelectric properties of Fe2NbAl-based alloys. J. Mater. Sci. 2016, 51, 10887–10896. [Google Scholar] [CrossRef]
- Hasan, R.; Ur, S.C. Thermoelectric and Transport Properties of FeV1−xTixSb Half-Heusler System Synthesized by Controlled Mechanical Alloying Process. Electron. Mater. Lett. 2018, 14, 725–732. [Google Scholar] [CrossRef]
- Kara, H.; Kahaly, M.U.; Ozdogan, K. Thermoelectric response of quaternary Heusler compound CrVNbZn. J. Alloy. Compd. 2018, 735, 950–958. [Google Scholar] [CrossRef]
- Lin, T.T.; Gao, Q.; Liu, G.D.; Dai, X.F.; Zhang, X.M.; Zhang, H.B. Dynamical stability, electronic and thermoelectric properties of quaternary ZnFeTiSi Heusler compound. Curr. Appl. Phys. 2019, 19, 721–727. [Google Scholar] [CrossRef]
- Patel, P.D.; Shinde, S.M.; Gupta, S.D.; Jha, P.K. A promising thermoelectric response of fully compensated ferrimagnetic spin gapless semiconducting Heusler alloy Zr2MnAl at high temperature: DFT study. Mater. Res. Express 2019, 6, 076307. [Google Scholar] [CrossRef]
- Shigeta, I.; Kubota, T.; Sakuraba, Y.; Kimura, S.; Awaji, S.; Takanashi, K.; Hiroi, M. Transport properties of epitaxial films for superconductor NbN and half-metallic Heusler alloy Co2MnSi under high magnetic fields. Phys. B Condens. Matter 2018, 536, 310–313. [Google Scholar] [CrossRef]
- Nakajima, Y.; Hu, R.; Kirshenbaum, K.; Hughes, A.; Syers, P.; Wang, X.; Wang, K.; Wang, R.; Saha, S.R.; Pratt, D.; et al. Topological RPdBi half-Heusler semimetals: A new family of noncentrosymmetric magnetic superconductors. Sci Adv. 2015, 1, e1500242. [Google Scholar] [CrossRef]
- Sprungmann, D.; Westerholt, K.; Zabel, H.; Weides, M.; Kohlstedt, H. Evidence for triplet superconductivity in Josephson junctions with barriers of the ferromagnetic Heusler alloy Cu2MnAl. Phys. Rev. B 2010, 82, 060505. [Google Scholar] [CrossRef]
- He, M.; Sun, H.; He, Q.L. Topological insulator: Spintronics and quantum computations. Front. Phys. 2019, 14, 43401. [Google Scholar] [CrossRef]
- Chadov, S.; Qi, X.; Kubler, J.; Fecher, G.H.; Felser, C.; Zhang, S.C. Tunable multifunctional topological insulators in ternary Heusler compounds. Nat. Mater. 2010, 9, 541–545. [Google Scholar] [CrossRef]
- Felser, C.; Alijani, V.; Winterlik, J.; Chadov, S.; Nayak, A.K. Tetragonal Heusler Compounds for Spintronics. IEEE Trans. Magn. 2013, 49, 682–685. [Google Scholar] [CrossRef]
- Faleev, S.V.; Ferrante, Y.; Jeong, J.; Samant, M.G.; Jones, B.; Parkin, S.S.P. Origin of the Tetragonal Ground State of Heusler Compounds. Phys. Rev. Appl. 2017, 7, 034022. [Google Scholar] [CrossRef]
- Faleev, S.V.; Ferrante, Y.; Jeong, J.; Samant, M.G.; Jones, B.; Parkin, S.S.P. Heusler compounds with perpendicular magnetic anisotropy and large tunneling magnetoresistance. Phys. Rev. Mater. 2017, 1, 024402. [Google Scholar] [CrossRef]
- Han, Y.; Wu, M.; Feng, Y.; Cheng, Z.; Lin, T.; Yang, T.; Khenata, R.; Wang, X. Competition between cubic and tetragonal phases in all-d-metal Heusler alloys, X2-xMn1+xV (X = Pd, Ni, Pt, Ag, Au, Ir, Co; x = 1, 0): A new potential direction of the Heusler family. IUCrJ 2019, 6, 465–472. [Google Scholar] [CrossRef]
- Han, Y.L.; Bouhemadou, A.; Khenata, R.; Cheng, Z.X.; Yang, T.; Wang, X.T. Prediction of possible martensitic transformations in all-d-metal Zinc-based Heusler alloys from first-principles. J. Magn. Magn. Mater. 2019, 471, 49–55. [Google Scholar] [CrossRef]
- Wu, M.; Han, Y.; Bouhemadou, A.; Cheng, Z.; Khenata, R.; Kuang, M.; Wang, X.; Yang, T.; Yuan, H.; Wang, X. Site preference and tetragonal distortion in palladium-rich Heusler alloys. IUCrJ 2019, 6, 218–225. [Google Scholar] [CrossRef]
- Wu, Y.; Xu, X.G.; Miao, J.; Jiang, Y. Perpendicular Magnetic Anisotropy in Co-Based Full Heusler Alloy Thin Films. Spin 2015, 05, 1540012. [Google Scholar] [CrossRef]
- Wang, W.H.; Przybylski, M.; Kuch, W.; Chelaru, L.I.; Wang, J.; Lu, Y.F.; Barthel, J.; Meyerheim, H.L.; Kirschner, J. Magnetic properties and spin polarization of Co2MnSi Heusler alloy thin films epitaxially grown on GaAs(001). Phys. Rev. B 2005, 71, 144416. [Google Scholar] [CrossRef]
- Huang, B.; Duan, Y.-H.; Hu, W.-C.; Sun, Y.; Chen, S. Structural, anisotropic elastic and thermal properties of MB (M=Ti, Zr and Hf) monoborides. Ceram. Int. 2015, 41, 6831–6843. [Google Scholar] [CrossRef]
- Fichtner, T.; Wang, C.; Levin, A.A.; Kreiner, G.; Mejia, C.S.; Fabbrici, S.; Albertini, F.; Felser, C. Effects of Annealing on the Martensitic Transformation of Ni-Based Ferromagnetic Shape Memory Heusler Alloys and Nanoparticles. Metals 2015, 5, 484–503. [Google Scholar] [CrossRef]
- Kainuma, R.; Imano, Y.; Ito, W.; Sutou, Y.; Morito, H.; Okamoto, S.; Kitakami, O.; Oikawa, K.; Fujita, A.; Kanomata, T.; et al. Magnetic-field-induced shape recovery by reverse phase transformation. Nature 2006, 439, 957–960. [Google Scholar] [CrossRef]
- Zhu, W.; Liu, E.K.; Feng, L.; Tang, X.D.; Chen, J.L.; Wu, G.H.; Liu, H.Y.; Meng, F.B.; Luo, H.Z. Magnetic-field-induced transformation in FeMnGa alloys. Appl. Phys. Lett. 2009, 95, 222512. [Google Scholar] [CrossRef]
- Planes, A.; Mañosa, L.; Acet, M. Magnetocaloric effect and its relation to shape-memory properties in ferromagnetic Heusler alloys. J. Phys. Condens. Matter 2009, 21, 233201. [Google Scholar] [CrossRef]
- Wei, Z.Y.; Liu, E.K.; Li, Y.; Han, X.L.; Du, Z.W.; Luo, H.Z.; Liu, G.D.; Xi, X.K.; Zhang, H.W.; Wang, W.H.; et al. Magnetostructural martensitic transformations with large volume changes and magneto-strains in all-d-metal Heusler alloys. Appl. Phys. Lett. 2016, 109, 071904. [Google Scholar] [CrossRef]
- Liu, K.; Ma, S.; Ma, C.; Han, X.; Yu, K.; Yang, S.; Zhang, Z.; Song, Y.; Luo, X.; Chen, C.; et al. Martensitic transformation and giant magneto-functional properties in all-d-metal Ni-Co-Mn-Ti alloy ribbons. J. Alloy. Compd. 2019, 790, 78–92. [Google Scholar] [CrossRef]
- Zutic, I.; Fabian, J.; Das Sarma, S. Spintronics: Fundamentals and applications. Rev. Mod. Phys. 2004, 76, 323–410. [Google Scholar] [CrossRef]
- Hirohata, A.; Sagar, J.; Fleet, L.R.; Endo, H. Polycrystalline co-based full-heusler-alloy films for spintronic devices. Spin 2014, 04, 1440021. [Google Scholar] [CrossRef]
- Yang, S.A. Dirac and Weyl Materials: Fundamental Aspects and Some Spintronics Applications. Spin 2016, 06, 1640003. [Google Scholar] [CrossRef]
- Payne, M.C.; Teter, M.P.; Allan, D.C.; Arias, T.A.; Joannopoulos, J.D. Iterative minimization techniques forab initiototal-energy calculations: Molecular dynamics and conjugate gradients. Rev. Mod. Phys. 1992, 64, 1045–1097. [Google Scholar] [CrossRef]
- Segall, M.D.; Lindan, P.J.D.; Probert, M.J.; Pickard, C.J.; Hasnip, P.J.; Clark, S.J.; Payne, M.C. First-principles simulation: Ideas, illustrations and the CASTEP code. J. Phys. Condens. Matter 2002, 14, 2717–2744. [Google Scholar] [CrossRef]
- Perdew, J.P.; Burke, K.; Ernzerhof, M. Generalized Gradient Approximation Made Simple. Phys. Rev. Lett. 1996, 77, 3865–3868. [Google Scholar] [CrossRef]
- Vanderbilt, D. Soft self-consistent pseudopotentials in a generalized eigenvalue formalism. Phys. Rev. B 1990, 41, 7892–7895. [Google Scholar] [CrossRef]
- Refson, K.; Tulip, P.R.; Clark, S.J. Variational density-functional perturbation theory for dielectrics and lattice dynamics. Phys. Rev. B 2006, 73, 155114. [Google Scholar] [CrossRef]
- Damewood, L.; Busemeyer, B.; Shaughnessy, M.; Fong, C.Y.; Yang, L.H.; Felser, C. Stabilizing and increasing the magnetic moment of half-metals: The role of Li in half-Heusler LiMnZ (Z=N,P,Si). Phys. Rev. B 2015, 91, 064409. [Google Scholar] [CrossRef]
- Gofryk, K.; Kaczorowski, D.; Plackowski, T.; Leithe-Jasper, A.; Grin, Y. Magnetic and transport properties of rare-earth-based half-Heusler phasesRPdBi: Prospective systems for topological quantum phenomena. Phys. Rev. B 2011, 84, 035208. [Google Scholar] [CrossRef]
- Karati, A.; Murty, B.S. Synthesis of nanocrystalline half-Heusler TiNiSn by mechanically activated annealing. Mater. Lett. 2017, 205, 114–117. [Google Scholar] [CrossRef]
- Kroder, J.; Manna, K.; Kriegner, D.; Sukhanov, A.S.; Liu, E.; Borrmann, H.; Hoser, A.; Gooth, J.; Schnelle, W.; Inosov, D.S.; et al. Spin glass behavior in the disordered half-Heusler compound IrMnGa. Phys. Rev. B 2019, 99, 174410. [Google Scholar] [CrossRef]
- Yin, M.; Nash, P. Standard enthalpies of formation of selected XYZ half-Heusler compounds. J. Chem. Thermodyn. 2015, 91, 1–7. [Google Scholar] [CrossRef]
- Zilber, T.; Cohen, S.; Fuks, D.; Gelbstein, Y. TiNiSn half-Heusler crystals grown from metallic flux for thermoelectric applications. J. Alloy. Compd. 2019, 781, 1132–1138. [Google Scholar] [CrossRef]
- Faleev, S.V.; Ferrante, Y.; Jeong, J.; Samant, M.G.; Jones, B.; Parkin, S.S.P. Unified explanation of chemical ordering, the Slater-Pauling rule, and half-metallicity in full Heusler compounds. Phys. Rev. B 2017, 95, 045140. [Google Scholar] [CrossRef]
- Graf, T.; Casper, F.; Winterlik, J.; Balke, B.; Fecher, G.H.; Felser, C. Crystal Structure of New Heusler Compounds. Z. Anorg. Allg. Chem. 2009, 635, 976–981. [Google Scholar] [CrossRef]
- Graf, T.; Felser, C.; Parkin, S.S.P. Simple rules for the understanding of Heusler compounds. Prog. Solid State Chem. 2011, 39, 1–50. [Google Scholar] [CrossRef]
- Liu, Z.H.; Tang, Z.J.; Tan, J.G.; Zhang, Y.J.; Wu, Z.G.; Wang, X.T.; Liu, G.D.; Ma, X.Q. Tailoring structural and magnetic properties of Mn3-xFexGa alloys towards multifunctional applications. IUCrJ 2018, 5, 794–800. [Google Scholar] [CrossRef]
- Wang, J.; Li, J.; Yip, S.; Phillpot, S.; Wolf, D. Mechanical instabilities of homogeneous crystals. Phys. Rev. B 1995, 52, 12627–12635. [Google Scholar] [CrossRef]
- Yip, S.; Li, J.; Tang, M.J.; Wang, J.G. Mechanistic aspects and atomic-level consequences of elastic instabilities in homogeneous crystals. Mater. Sci. Eng. A Struct. Mater. Prop. Microstruct. Process. 2001, 317, 236–240. [Google Scholar] [CrossRef]
- Mouhat, F.; Coudert, F.X. Necessary and sufficient elastic stability conditions in various crystal systems. Phys. Rev. B 2014, 90, 224104. [Google Scholar] [CrossRef]
- Gaillac, R.; Pullumbi, P.; Coudert, F.X. ELATE: An open-source online application for analysis and visualization of elastic tensors. J. Phys. Condens. Matter 2016, 28, 275201. [Google Scholar] [CrossRef]












| Compound | Lattice (Å) | Magnetic Moment (μB) | |||||
|---|---|---|---|---|---|---|---|
| MTotal (μB) | MPd(A) | MPd(B) | MCo | MAl | |||
| Pd2CoAl | Current | 6.057 | 1.78 | −0.06 | −0.06 | 1.95 | −0.05 |
| Ref [34] | 6.06 | 1.79 | 0.03 | 0.03 | 1.75 | −0.03 | |
| Compound | Structure | Elastic Constants (GPa) | ||||||
|---|---|---|---|---|---|---|---|---|
| C11 | C12 | C13 | C14 | C33 | C44 | C66 | ||
| Pd2CoAl | Cubic | 143.2 | 167.4 | - | 100.2 | - | - | - |
| Tetragonal | 133.7 | 38.1 | 60.3 | - | 231.2 | 93.0 | 86.4 | |
© 2019 by the authors. Licensee MDPI, Basel, Switzerland. This article is an open access article distributed under the terms and conditions of the Creative Commons Attribution (CC BY) license (http://creativecommons.org/licenses/by/4.0/).
Share and Cite
Hao, L.; You, J.; Khenata, R.; Wang, Y.; Wang, X.; Yang, T. Theoretical Study of the Electronic and Magnetic Properties and Phase Stability of the Full Heusler Compound Pd2CoAl. Crystals 2019, 9, 422. https://doi.org/10.3390/cryst9080422
Hao L, You J, Khenata R, Wang Y, Wang X, Yang T. Theoretical Study of the Electronic and Magnetic Properties and Phase Stability of the Full Heusler Compound Pd2CoAl. Crystals. 2019; 9(8):422. https://doi.org/10.3390/cryst9080422
Chicago/Turabian StyleHao, Liyu, Jiaxue You, Rabah Khenata, Yanfeng Wang, Xiaotian Wang, and Tie Yang. 2019. "Theoretical Study of the Electronic and Magnetic Properties and Phase Stability of the Full Heusler Compound Pd2CoAl" Crystals 9, no. 8: 422. https://doi.org/10.3390/cryst9080422
APA StyleHao, L., You, J., Khenata, R., Wang, Y., Wang, X., & Yang, T. (2019). Theoretical Study of the Electronic and Magnetic Properties and Phase Stability of the Full Heusler Compound Pd2CoAl. Crystals, 9(8), 422. https://doi.org/10.3390/cryst9080422

