Quasi-Liquid Layer on Ice and Its Effect on the Confined Freezing of Porous Materials
Abstract
1. Introduction
2. Physical Bases for Confined Freezing
2.1. Freezing in Pores
2.2. QLL on Ice
2.3. Discussion on QLL Data and Models
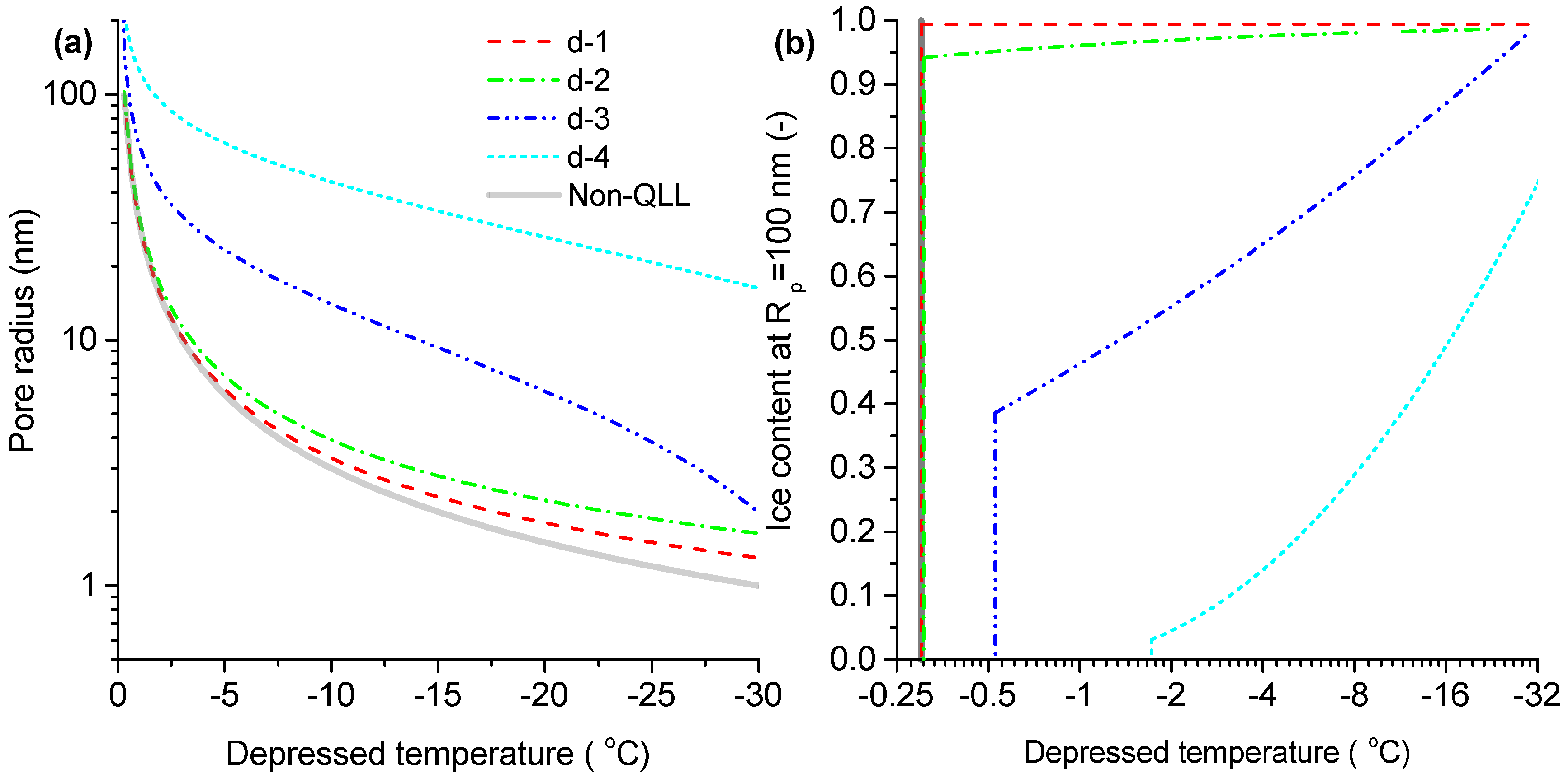
3. Ice Content in Porous Media
3.1. QLL-Modified GT Equation
3.2. Pore Structure Associated Ice Content
4. Mechanical Consequences of Confined Freezing
4.1. Freezing Pressures
4.2. Links to Frost Deformations of Porous Materials
5. Conclusions
- The intermediate phase, QLL, with a structure different from ice and water, exists to stabilize the ice exposed to different media or in contact with different substrates under freezing. The thickness of QLL generally decays with the temperature decreasing, which can be captured by the thermodynamic models with the long-and short-range interactions between the ice and the substrate.
- Four different models of QLL thickness were representatively employed to correct the GT equation and to address its effect on the ice content of a concrete sample, whose pore structure was determined by MIP. Under thermodynamic equilibria, the concrete with broad PSD at multiple scales showed the unevenly rising extents and rates of ice against the depressed temperature. The thickened QLL can delay the freezing temperature and depress the ice content of the water confined in the pores.
- When confined freezing occurs in a porous material, the hydraulic pressures due to the volume difference between ice and water build up depending on the pore structure and material properties. The crystallization pressures that are generated by the penetration of ice into thin pores almost increase linearly with the depressed temperature. Both pressures decrease with thickening of the QLL.
- The freezing deformations of porous materials depend on the effective pore pressures built by the confined freezing and the thermal shrinkages during freezing. The QLL corrections seem to mitigate the deviations between the predicted and measured freezing deformations. The underlined physical regimes are indeed associated with the QLL-associated ice content in freezing pores, and some related issues remain to be advanced in the future.
Author Contributions
Funding
Acknowledgments
Conflicts of Interest
Appendix A
References
- Furukawa, Y. Snow and ice crystal growth. In Handbook of Crystal Growth, 2nd ed.; Elsevier Science: Amsterdam, The Netherlands, 2015; pp. 1061–1112. [Google Scholar]
- Murata, K.; Asakawa, H.; Nagashima, K.; Furukawa, Y.; Sazaki, G. Thermodynamic origin of surface melting on ice crystals. Proc. Natl. Acad. Sci. USA 2016, 113, E6741–E6748. [Google Scholar] [CrossRef]
- Dash, J.G.; Rempel, A.W.; Wettlaufer, J.S. The physics of premelted ice and its geophysical consequences. Rev. Mod. Phys. 2006, 78, 695–741. [Google Scholar] [CrossRef]
- Limmer, D.T. Closer look at the surface of ice. Proc. Natl. Acad. Sci. USA 2016, 113, 12347–12349. [Google Scholar] [CrossRef]
- Mochizuki, K.; Molinero, V. Antifreeze glycoproteins bind reversibly to ice via hydrophobic groups. J. Am. Chem. Soc. 2018, 140, 4803–4811. [Google Scholar] [CrossRef] [PubMed]
- Doppenschmidt, A.; Butt, H.J. Measuring the thickness of the liquid-like layer on ice surfaces with atomic force microscopy. Langmuir 2000, 16, 6709–6714. [Google Scholar] [CrossRef]
- Limmer, D.T.; Chandler, D. Premelting, fluctuations, and coarse-graining of water-ice interfaces. J. Chem. Phys. 2014, 141, 18C505. [Google Scholar] [CrossRef]
- Bluhm, H.; Ogletree, D.F.; Fadley, C.S.; Hussain, Z.; Salmeron, M. The premelting of ice studied with photoelectron spectroscopy. J. Phys. Condens. Matter 2002, 14, L227. [Google Scholar] [CrossRef]
- Liljeblad, J.F.; Furo, I.; Tyrode, E.C. The premolten layer of ice next to a hydrophilic solid surface: Correlating adhesion with molecular properties. Phys. Chem. Chem. Phys. 2017, 19, 305–317. [Google Scholar] [CrossRef] [PubMed]
- Conde, M.M.; Vega, C.; Patrykiejew, A. The thickness of a liquid layer on the free surface of ice as obtained from computer simulation. J. Chem. Phys. 2008, 129, 014702. [Google Scholar] [CrossRef]
- Furukawa, Y.; Nada, H. Anisotropic surface melting of an ice crystal and its relationship to growth forms. J. Phys. Chem. B 1997, 101, 6167–6170. [Google Scholar] [CrossRef]
- Dosch, H.; Lied, A.; Bilgram, J.H. Glancing-angle X-ray scattering studies of the premelting of ice surfaces. Surf. Sci. 1995, 327, 145–164. [Google Scholar] [CrossRef]
- Carrasco, J.; Hodgson, A.; Michaelides, A. A molecular perspective of water at metal interfaces. Nat. Mater. 2012, 11, 667–674. [Google Scholar] [CrossRef]
- Dash, J.G.; Fu, H.; Wettlaufer, J.S. The premelting of ice and its environmental consequences. Rep. Prog. Phys. 1995, 58, 115–167. [Google Scholar] [CrossRef]
- Han, Y.Y.; Shuai, J.; Lu, H.M.; Meng, X.K. Size- and dimensionality-dependent thermodynamic properties of ice nanocrystals. J. Phys. Chem. B 2012, 116, 1651–1654. [Google Scholar] [CrossRef] [PubMed]
- Jelassi, J.; Castricum, H.L.; Bellissent-Funel, M.C.; Dore, J.; Webber, J.B.W.; Sridi-Dorbez, R. Studies of water and ice in hydrophilic and hydrophobic mesoporous silicas: Pore characterisation and phase transformations. Phys. Chem. Chem. Phys. 2010, 12, 2838–2849. [Google Scholar] [CrossRef] [PubMed]
- Nada, H. Analysis of ice crystal growth shape under high pressure using molecular dynamics simulation. Cryst. Growth Des. 2011, 11, 3130–3136. [Google Scholar] [CrossRef]
- Bjorneholm, O.; Hansen, M.H.; Hodgson, A.; Liu, L.-M.; Limmer, D.T.; Michaelides, A.; Pedevilla, P.; Rossmeisl, J.; Shen, H.; Tocci, G.; et al. Water at interfaces. Chem. Rev. 2016, 116, 7698–7726. [Google Scholar] [CrossRef]
- Petrov, O.V.; Furo, I. NMR cryoporometry: Principles, applications and potential. Prog. Nucl. Magn. Reson. Spectrosc. 2009, 54, 97–122. [Google Scholar] [CrossRef]
- Sun, Z.; Scherer, G.W. Pore size and shape in mortar by Themoporosimetry. Cem. Concr. Res. 2010, 40, 740–751. [Google Scholar] [CrossRef]
- Mitchell, J.; Webber, J.B.W.; Strange, J.H. Nuclear magnetic resonance cryoporometry. Phys. Rep. 2008, 461, 1–36. [Google Scholar] [CrossRef]
- Zeng, Q.; Fen-Chong, T.; Li, K. Freezing behavior of cement pastes saturated with NaCl solution. Constr. Build. Mater. 2014, 59, 99–110. [Google Scholar] [CrossRef]
- Zeng, Q.; Fen-Chong, T.; Dangla, P.; Li, K. A study of freezing behavior of cementitious materials by poromechanical approach. Int. J. Solid Struct. 2011, 48, 3267–3273. [Google Scholar] [CrossRef]
- Zeng, Q.; Li, K.; Fen-Chong, T. Elastic behavior of saturated porous materials under undrained freezing. Acta Mech. Sin. 2013, 29, 827–835. [Google Scholar] [CrossRef]
- Zeng, Q.; Li, K.; Fen-Chong, T. Heterogeneous nucleation of ice from supercooled NaCl solution confined in porous cement paste. J. Cryst. Growth 2015, 409, 1–9. [Google Scholar] [CrossRef]
- Zeng, Q.; Luo, M.; Pang, X.; Li, L.; Li, K. Surface fractal dimension: An indicator to characterize the microstructure of cement-based porous materials. Appl. Surf. Sci. 2013, 282, 302–307. [Google Scholar] [CrossRef]
- Petrov, O.V.; Vargas-Florencia, D.; Furo, I. Surface melting of octamethylcyclotetrasiloxane confined in controlled pore glasses: Curvature effects observed by 1H NMR. J. Phys. Chem. B 2007, 111, 1574–1581. [Google Scholar] [CrossRef]
- Likos, C.N.; Mecke, K.R.; Wagner, H. Statistical morphology of random interfaces in microemulsions. J. Chem. Phys. 1995, 102, 9350–9361. [Google Scholar] [CrossRef]
- Golecki, I.; Jaccard, C. Intrinsic surface disorder in ice near the melting point. J. Phys. C Solid State Phys. 1978, 11, 4229–4237. [Google Scholar] [CrossRef]
- Wettlaufer, J.S.; Worster, M.G.; Wilen, L.A.; Dash, J.G. A theory of premelting dynamics for all power law forces. Phys. Rev. Lett. 1996, 76, 3602–3605. [Google Scholar] [CrossRef]
- Fagerlund, G. Determination of pore-size distribution from freezing-point depression. Mater. Struct. 1973, 6, 215–225. [Google Scholar] [CrossRef]
- Brun, M.; Lallemand, A.; Quinson, J.F.; Eyraud, C. A new method for the simultaneous determination of the size and the shape of pores: The thermoporometry. Thermochim. Acta 1977, 21, 59–88. [Google Scholar] [CrossRef]
- Goertz, M.P.; Zhu, X.Y.; Houston, J.E. Exploring the liquid-like layer on the ice surface. Langmuir 2009, 25, 6905–6908. [Google Scholar] [CrossRef]
- Sadtchenko, V.; Ewing, G.E. Interfacial melting of thin ice films: An infrared study. J. Chem. Phys. 2002, 116, 4686–4697. [Google Scholar] [CrossRef]
- Elbaum, M.; Lipson, S.G.; Dash, J.G. Optical study of surface melting on ice. J. Cryst. Growth 2002, 129, 491–505. [Google Scholar] [CrossRef]
- Gilpin, R.R. Theoretical studies of particle engulfment. J. Colloid Interface Sci. 1980, 74, 44–63. [Google Scholar] [CrossRef]
- Engemann, S.; Reichert, H.; Dosch, H.; Bilgram, J.; Honkimaki, V.; Snigirev, A. Interfacial melting of ice in contact with SiO2. Phys. Rev. Lett. 2004, 92, 205701. [Google Scholar] [CrossRef]
- Jahnert, S.; Vaca Chavez, F.; Schaumann, G.E.; Schreiber, A.; Schonhoff, M.; Findenegg, G.H. Melting and freezing of water in cylindrical silica nanopores. Phys. Chem. Chem. Phys. 2008, 10, 6039–6051. [Google Scholar] [CrossRef] [PubMed]
- Cahn, J.W.; Dash, J.G.; Fu, H. Theory of ice premelting in monosized powders. J. Cryst. Growth 1992, 123, 101–108. [Google Scholar] [CrossRef]
- Washburn, E.W. Note on a method of determining the distribution of pore sizes in a porous material. Proc. Natl. Acad. Sci. USA 1921, 7, 115–116. [Google Scholar] [CrossRef]
- Jiang, C.; Guo, W.; Chen, H.; Zhu, Y.; Jin, C. Effect of filler type and content on mechanical properties and microstructure of sand concrete made with superfine waste sand. Constr. Build. Mater. 2018, 192, 442–449. [Google Scholar] [CrossRef]
- Muller, A.C.A.; Scrivener, K.L. A reassessment of mercury intrusion porosimetry by comparison with 1H NMR relaxometry. Cem. Concr. Res. 2017, 100, 350–360. [Google Scholar] [CrossRef]
- Johannesson, B. Dimensional and ice content changes of hardened concrete at different freezing and thawing temperatures. Cem. Concr. Compos. 2010, 32, 73–83. [Google Scholar] [CrossRef]
- Wu, M.; Johannesson, B.; Geiker, M. A preliminary study of the influence of ions in the pore solution of hardened cement pastes on the porosity determination by low temperature calorimetry. Thermochim. Acta 2014, 589, 215–225. [Google Scholar] [CrossRef]
- Wang, Z.; Zeng, Q.; Wu, Y.; Wang, L.; Yao, Y.; Li, K. Relative humidity and deterioration of concrete under freeze–thaw load. Constr. Build. Mater. 2014, 62, 18–27. [Google Scholar] [CrossRef]
- Fabbri, F.; Fen-Chong, T. Indirect measurement of the ice content curve of partially frozen cement based materials. Cold Reg. Sci. Technol. 2013, 90–91, 14–21. [Google Scholar] [CrossRef]
- Huang, S.; Liu, Q.; Liu, Y.; Ye, Z.; Cheng, A. Freezing strain model for estimating the unfrozen water content of saturated rock under low temperature. Int. J. Geomech. 2018, 18, 04017137. [Google Scholar] [CrossRef]
- Bartels-Rausch, T.; Jacobi, H.W.; Kahan, T.F.; Thomas, J.L.; Thomson, E.S.; Abbatt, J.P.D.; Ammann, M.; Blackford, J.R.; Bluhm, H.; Boxe, C.; et al. A review of air–ice chemical and physical interactions (AICI): Liquids, quasi-liquids, and solids in snow. Atmos. Chem. Phys. 2014, 14, 1587–1633. [Google Scholar] [CrossRef]
- Fen-Chong, T.; Fabbri, A.; Thiery, M.; Dangla, P. Poroelastic analysis of partial freezing in cohesive porous materials. J. Appl. Mech. 2013, 80, 020910. [Google Scholar] [CrossRef]
- Scherer, G.W. Crystallization in pores. Cem. Concr. Res. 1999, 29, 1347–1358. [Google Scholar] [CrossRef]
- Wang, Z.; Zeng, Q.; Wang, L.; Yao, Y.; Li, K. Effect of moisture content on freeze–thaw behavior of cement paste by electrical resistance measurements. J. Mater. Sci. 2014, 49, 4305–4314. [Google Scholar] [CrossRef]
- Ghabezloo, S. Association of macroscopic laboratory testing and micromechanics modelling for the evaluation of the poroelastic parameters of a hardened cement paste. Cem. Concr. Res. 2010, 40, 1197–1210. [Google Scholar] [CrossRef]
- Coussy, O. Poromechanics of freezing materials. J. Mech. Phys. Solids 2005, 53, 1689–1718. [Google Scholar] [CrossRef]
- Liu, L.; Qin, S.; Wang, X. Poro-elastic—Plastic model for cement-based materials subjected to freeze-thaw cycles. Constr. Build. Mater. 2018, 184, 87–99. [Google Scholar] [CrossRef]
- Demirdag, S. Effects of freezing-thawing and thermal shock cycles on physical and mechanical properties of filled and unfilled travertines. Constr. Build. Mater. 2013, 47, 1395–1401. [Google Scholar] [CrossRef]
- Coussy, O.; Fen-Chong, T. Crystallization, pore relaxation and micro-cryosuction in cohesive porous materials. CR Mec. 2005, 333, 507–512. [Google Scholar] [CrossRef]
- Suh, D.; Yasuoka, K. Heterogeneous cavitation and crystallisation with an impurity by molecular dynamics. Mol. Simul. 2018, 44, 530–533. [Google Scholar] [CrossRef]
- Zeng, Q. A simple method for estimating the size of nuclei on fractal surfaces. J. Cryst. Growth 2017, 475, 49–54. [Google Scholar] [CrossRef]
- Yan, D.; Zeng, Q.; Xu, S.; Zhang, Q.; Wang, J. Heterogeneous nucleation on concave rough surfaces: Thermodynamic analysis and implications for nucleation design. J. Phys. Chem. C 2016, 120, 10368–10380. [Google Scholar] [CrossRef]
- Zeng, Q.; Xu, S. Thermodynamics and characteristics of heterogeneous nucleation on fractal surfaces. J. Phys. Chem. C 2015, 119, 27426–27433. [Google Scholar] [CrossRef]
- Morishige, K. Influence of pore wall hydrophobicity on freezing and melting of confined water. J. Phys. Chem. C 2018, 122, 5013–5019. [Google Scholar] [CrossRef]
- Kastelowitz, N.; Molinero, V. Ice-liquid oscillations in nanoconfined water. ACS Nano 2018, 12, 8234–8239. [Google Scholar] [CrossRef] [PubMed]






© 2019 by the authors. Licensee MDPI, Basel, Switzerland. This article is an open access article distributed under the terms and conditions of the Creative Commons Attribution (CC BY) license (http://creativecommons.org/licenses/by/4.0/).
Share and Cite
Zeng, Q.; Li, K. Quasi-Liquid Layer on Ice and Its Effect on the Confined Freezing of Porous Materials. Crystals 2019, 9, 250. https://doi.org/10.3390/cryst9050250
Zeng Q, Li K. Quasi-Liquid Layer on Ice and Its Effect on the Confined Freezing of Porous Materials. Crystals. 2019; 9(5):250. https://doi.org/10.3390/cryst9050250
Chicago/Turabian StyleZeng, Qiang, and Kefei Li. 2019. "Quasi-Liquid Layer on Ice and Its Effect on the Confined Freezing of Porous Materials" Crystals 9, no. 5: 250. https://doi.org/10.3390/cryst9050250
APA StyleZeng, Q., & Li, K. (2019). Quasi-Liquid Layer on Ice and Its Effect on the Confined Freezing of Porous Materials. Crystals, 9(5), 250. https://doi.org/10.3390/cryst9050250

