Elastic Properties of Orthorhombic YBa2Cu3O7 under Pressure
Abstract
:1. Introduction
2. Theory and Computational Details
3. Results and Discussion
3.1. Structure and Elastic Properties of under Different Pressures
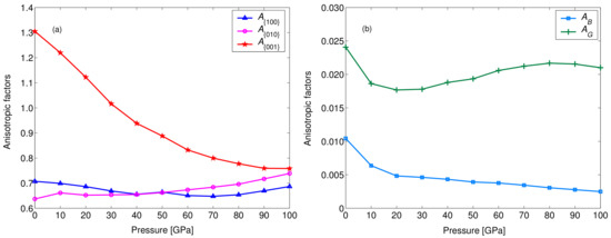
3.2. Elastic Anisotropy of under Different Pressures
3.3. Thermodynamic Properties of under Different Pressures
4. Conclusions
Author Contributions
Funding
Conflicts of Interest
References
- Bednorz, J.G.; Muller, K.A. Possible highTc superconductivity in the Ba-La-Cu-O system. Z. Phys. B 1986, 64, 189–193. [Google Scholar] [CrossRef]
- Wu, M.K.; Ashburn, J.R.; Torng, C.J.; Hor, P.H.; Meng, R.L.; Gao, L.; Huang, Z.J.; Wang, Y.Q.; Chu, C.W. Superconductivity at 93 K in a new mixed-phase Y-Ba-Cu-O compound system at ambient pressure. Phys. Rev. Lett. 1987, 58, 908. [Google Scholar] [CrossRef] [PubMed]
- Mook, H.A.; Yethiraj, M.; Aeppli, G.; Mason, T.E.; Armstrong, T. Polarized neutron determination of the magnetic excitations in YBa2Cu3O7. Phys. Rev. Lett. 1993, 70, 3490. [Google Scholar] [CrossRef] [PubMed]
- Ding, F.Z.; Gu, H.W.; Zhang, T.; Wang, H.Y.; Qu, F.; Qiu, Q.Q.; Dai, S.T.; Peng, X.Y.; Cao, J.L. Strong enhancement flux pinning in MOD-YBa2Cu3O7-x films with self-assembled BaTiO3 nanocolumns. Appl. Surf. Sci. 2014, 314, 622–627. [Google Scholar] [CrossRef]
- Gray, B.A.; Middey, S.; Conti, G.; Gray, A.X.; Kuo, C.T.; Kaiser, A.M.; Ueda, S.; Kobayashi, K.; Meyers, D.; Kareev, M.; et al. Superconductor to Mott insulator transition in YBa2Cu3O7/LaCaMnO3 heterostructures. Sci. Rep. 2016, 6, 33184. [Google Scholar] [CrossRef] [PubMed]
- Horide, T.; Matsukida, N.; Ishimaru, M.; Kita, R.; Awaji, S.; Matsumoto, K. Pin potential effect on vortex pinning in YBa2Cu3O7-δ films containing nanorods: Pin size effect and mixed pinning. Appl. Phys. Lett. 2017, 110, 052601. [Google Scholar] [CrossRef]
- Liu, G.; Zhang, G.; Yu, H.; Jing, L.W.; Ai, L.W.; Liu, Q. Experimental and numerical study of frequency-dependent transport loss in YBa2Cu3O7-δ coated conductors with ferromagnetic substrate and copper stabilizer. J. Appl. Phys. 2017, 121, 243902. [Google Scholar] [CrossRef]
- Murakami, M.; Morita, M.; Koyama, N. Magnetization of a YBa2Cu3O7 Crystal Prepared by the Quench and Melt Growth Process. Jpn. J. Appl. Phys. 1989, 28, 1189. [Google Scholar] [CrossRef]
- Fong, H.F.; Keimer, B.; Anderson, P.W.; Reznik, D.; Dogan, F.; Aksay, I.A. Phonon and Magnetic Neutron Scattering at 41 meV in YB2Cu3O7. Phys. Rev. Lett. 1995, 75, 316. [Google Scholar] [CrossRef] [PubMed]
- Sanchez-Vald’es, C.F.; Puig, T.; Obradors, X. In situ study through electrical resistance of growth rate of trifluoroacetate-based solution-derived YBa2Cu3O7 films. Supercond. Sci. Technol. 2015, 28, 024006. [Google Scholar] [CrossRef]
- Dadras, S.; Ghavamipour, M. Investigation of the properties of carbon-base nanostructures doped YBa2Cu3O7-δ high temperature superconductor. Physica B 2016, 484, 13–17. [Google Scholar] [CrossRef]
- Horide, T.; Taguchi, K.; Matsumoto, K.; Matsukida, N.; Ishimaru, M.; Mele, P.; Kita, R. Influence of matching field on critical current density and irreversibility temperature in YBa2Cu3O7 films with BaMO3 (M=Zr, Sn, Hf) nanorods. Appl. Phys. Lett. 2016, 108, 082601. [Google Scholar] [CrossRef]
- Hapipi, N.M.; Shaari, A.H.; Kechik, M.M.A.; Ban, T.K.; Abd-Shukor, R.; Suib, N.R.M.; Kien, C.S. Effect of Heat Treatment Condition on the Phase Formation of YBa2Cu3O7-δ Superconductor. Solid State Phenom. 2017, 268, 305–310. [Google Scholar] [CrossRef]
- Louail, L.; Maouche, D.; Roumili, A.; Sahraoui, F.A. Calculation of elastic constants of 4d transition metals. Mater. Lett. 2004, 58, 2975–2978. [Google Scholar] [CrossRef]
- Blochl, P.E. Projector augmented-wave method. Phys. Rev. B 1994, 50, 17953. [Google Scholar] [CrossRef] [PubMed]
- Kresse, G.; Joubert, D. From ultrasoft pseudopotentials to the projector augmented wave method. Phys. Rev. B 1999, 59, 1758. [Google Scholar] [CrossRef]
- Kresse, G.; Hafner, J. Ab initio molecular dynamics for open-shell transition metals. Phys. Rev. B 1993, 48, 13115. [Google Scholar] [CrossRef]
- Kresse, G.; Furthmller, J. Efficiency of ab-initio total energy calculations for metals and semiconductors using a plane-wave basis set. Comput. Mater. Sci. 1996, 6, 15–50. [Google Scholar] [CrossRef]
- Kresse, G.; Furthmller, J. Efficient iterative schemes for ab initio total-energy calculations using a plane-wave basis set. Phys. Rev. B 1996, 54, 11169. [Google Scholar] [CrossRef]
- Perdew, J.P.; Burke, K.; Ernzerhof, M. Ernzerhof, M. Generalized gradient approximation made simple. Phys. Rev. Lett. 1996, 77, 3865. [Google Scholar] [CrossRef]
- Monkhorst, H.J.; Pack, J.D. Special points for Brillouin-zone integrations. Phys. Rev. B 1976, 13, 5188. [Google Scholar] [CrossRef]
- Liu, L.L.; Xu, G.; Wang, A.R.; Wu, X.Z.; Wang, R. First-principles investigations on structure stability, elastic properties, anisotropy and Debye temperature of tetragonal LiFeAs and NaFeAs under pressure. J. Phys. Chem. Solids 2017, 104, 243–251. [Google Scholar] [CrossRef]
- Voigt, W. Lehrbuch der Kristallphysik; Teubner: Stuttgart, Germany, 1928. [Google Scholar]
- Reuss, A.; Angew, Z. Berechnung del fliessgrenze von mischkritallen auf grund der plastizitatbedingung for einkristalle. Math. Mech. 1929, 9, 49. [Google Scholar]
- Liu, L.L.; Wu, X.Z.; Wang, R.; Nie, X.F.; He, Y.L.; Zou, X. First-Principles Investigations on Structural and Elastic Properties of Orthorhombic TiAl under Pressure. Crystals 2017, 7, 111. [Google Scholar] [CrossRef]
- Hill, R. The elastic behaviour of a crystalline aggregate. Proc. Phys. Soc. A 1953, 65, 349. [Google Scholar] [CrossRef]
- Beno, M.A.; Soderholm, L.; Capone, D.W.; Hinks, D.G.; Jorgensen, J.D.; Grace, J.D.; Schuiler, I.K.; Segre, C.U.; Zhang, K. Structure of the single-phase high-temperature superconductor YBa2Cu3O7-δ. Appl. Phys. Lett. 1987, 51, 57–59. [Google Scholar] [CrossRef]
- Cava, R.J.; Batlogg, B.; vanDover, R.B.; Murphy, D.W.; Sunshine, S.; Siegrist, T.; Remeika, J.P.; Reitman, E.A.; Zahurak, S.; Espinosa, G.P. Bulk Superconductivity at 91 K in Single-Phase Oxygen-Deficient Perovskite Ba2YCu3O9-δ. Phys. Rev. Lett. 1987, 58, 1676. [Google Scholar] [CrossRef]
- Lei, M.; Sarrao, J.L.; Visscher, W.M.; Bell, T.M.; Thompson, J.D.; Migliori, A. Elastic constants of a monocrystal of superconducting YBa2Cu3O7- delta. Phys. Rev. B 1993, 47, 6154. [Google Scholar] [CrossRef]
- Sin’ko, G.V.; Smirnov, N.A. Ab initio calculations of elastic constants and thermodynamic properties of bcc, fcc, and hcp Al crystals under pressure. J. Phys. Condens. Matter 2002, 14, 6989. [Google Scholar]
- Pugh, S.F. Relations between the elastic moduli and the plastic properties of polycrystalline pure metals. Philos. Mag. 1954, 45, 823–843. [Google Scholar] [CrossRef]
- Tvergaard, V.; Hutchinson, J.W. Microcracking in Ceramics Induced by Thermal Expansion or Elastic Anisotropy. J. Am. Ceram. Soc. 1988, 71, 157–166. [Google Scholar] [CrossRef]
- Ravindran, P.; Fast, L.; Korzhavyi, P.A.; Johansson, B.; Wills, J.; Eriksson, O. Density functional theory for calculation of elastic properties of orthorhombic crystals: Application to TiSi2. J. Appl. Phys. 1998, 84, 4891–4904. [Google Scholar] [CrossRef]
- Miao, N.X.; Pu, C.Y.; He, C.Z.; Zhang, F.W.; Lu, C.; Lu, Z.W.; Zhou, D.W. Mechanical and thermodynamic properties of the monoclinic and orthorhombic phases of SiC2N4 under high pressure from first principles. Chin. Phys. B 2014, 23, 127101. [Google Scholar] [CrossRef]
- Chung, D.H.; Buessem, W.R. The elastic anisotropy of crystals. J. Appl. Phys. 1967, 38, 2010–2012. [Google Scholar] [CrossRef]
- Wei, Q.; Zhang, M.G.; Guo, L.X.; Yan, H.Y.; Zhu, X.M.; Lin, Z.Z.; Guo, P. Ab initio studies of novel carbon nitride phase C2N2(CH2). Chem. Phys. 2013, 415, 36–43. [Google Scholar] [CrossRef]
- Nye, J.F. Physical Properties of Crystals: Their Representation by Tensors and Matrices; Oxford University Press: New Youk, NY, USA, 1985. [Google Scholar]
- Anderson, O.L. A simplified method for calculation the debye temperature from elastic constants. J. Phys. Chem. Solids 1963, 24, 909–917. [Google Scholar] [CrossRef]
- Schreiber, E.; Anderson, O.L.; Soga, N. Elastic Constants and Their Measurements; Mc-Graw: New York, NY, USA, 1973. [Google Scholar]
- Inderhees, S.; Salamon, M.; Friedmann, T.; Ginsberg, D.M. Measurement of the specific-heat anomaly at the superconducting transition of YBa2Cu3O7-δ. Phys. Rev. B 1987, 36, 2401. [Google Scholar] [CrossRef]
- Liu, B.; Wang, J.Y.; Li, F.Z.; Zhou, Y.C. Theoretical elastic stiffness, structural stability and thermal conductivity of La2Ta2O7 (T=Ge, Ti, Sn, Zr, Hf) pyrochlore. Acta Mater. 2010, 58, 4369–4377. [Google Scholar] [CrossRef]






| Strain Type | |||||
|---|---|---|---|---|---|
| = (, 0, 0, 0, 0, 0) | |||||
| = (0, , 0, 0, 0, 0) | |||||
| = (0, 0, , 0, 0, 0) | |||||
| = (, , 0, 0, 0, 0) | + + 2 | ||||
| = (, 0, , 0, 0, 0) | + + 2 | ||||
| = (0, , , 0, 0, 0) | + + 2 | ||||
| = (, 0, 0, 2, 0, 0) | + 4 | ||||
| = (, 0, 0, 0, 2, 0) | + 4 | ||||
| = (, 0, 0, 0, 0, 2) | + 4 |
| P | a | b | c | V |
|---|---|---|---|---|
| 0 | 3.853 | 3.936 | 11.822 | 179.266 |
| 10 | 3.781 | 3.866 | 11.362 | 166.072 |
| 20 | 3.727 | 3.809 | 11.057 | 157.016 |
| 30 | 3.688 | 3.763 | 10.802 | 149.923 |
| 40 | 3.659 | 3.723 | 10.575 | 144.047 |
| 50 | 3.635 | 3.689 | 10.367 | 138.996 |
| 60 | 3.614 | 3.658 | 10.183 | 134.627 |
| 70 | 3.593 | 3.631 | 10.028 | 130.839 |
| 80 | 3.574 | 3.605 | 9.898 | 127.517 |
| 90 | 3.555 | 3.581 | 9.785 | 124.563 |
| 100 | 3.538 | 3.558 | 9.685 | 121.904 |
| Pressure | |||||||||
|---|---|---|---|---|---|---|---|---|---|
| 0 | 223.94 | 103.59 | 54.34 | 233.04 | 66.76 | 200.46 | 55.83 | 47.77 | 81.49 |
| 10 | 294.84 | 139.59 | 88.79 | 307.70 | 94.57 | 273.90 | 68.35 | 64.87 | 98.58 |
| 20 | 358.75 | 170.78 | 121.11 | 382.88 | 117.58 | 341.29 | 78.54 | 79.73 | 112.23 |
| 30 | 428.73 | 199.44 | 153.03 | 456.43 | 141.42 | 400.82 | 87.52 | 93.84 | 123.55 |
| 40 | 494.09 | 226.48 | 184.12 | 528.66 | 163.74 | 459.66 | 95.99 | 108.19 | 133.67 |
| 50 | 552.74 | 252.19 | 219.21 | 598.64 | 186.13 | 514.81 | 104.46 | 122.77 | 143.67 |
| 60 | 617.40 | 277.96 | 248.37 | 667.18 | 209.66 | 571.45 | 112.57 | 137.91 | 151.62 |
| 70 | 674.69 | 303.17 | 276.99 | 730.31 | 232.24 | 626.35 | 120.98 | 152.54 | 159.69 |
| 80 | 728.53 | 327.65 | 309.33 | 791.69 | 256.01 | 678.79 | 128.91 | 166.80 | 168.13 |
| 90 | 780.14 | 349.91 | 344.51 | 850.17 | 283.01 | 724.34 | 136.50 | 180.76 | 176.64 |
| 100 | 826.38 | 376.19 | 379.47 | 903.90 | 310.53 | 769.85 | 143.76 | 194.39 | 185.41 |
| P | |||||
|---|---|---|---|---|---|
| 0 | 3228.44 | 5798.32 | 3595.06 | 446.34 | 0.863 |
| 10 | 3502.94 | 6449.29 | 3908.16 | 497.73 | 0.987 |
| 20 | 3715.82 | 6946.87 | 4150.29 | 538.54 | 1.088 |
| 30 | 3892.51 | 7367.73 | 4351.39 | 573.40 | 1.177 |
| 40 | 4046.44 | 7728.82 | 4526.25 | 604.44 | 1.257 |
| 50 | 4175.20 | 8043.70 | 4672.93 | 631.51 | 1.329 |
| 60 | 4300.36 | 8336.01 | 4814.94 | 657.66 | 1.399 |
| 70 | 4409.75 | 8591.27 | 4939.00 | 681.06 | 1.463 |
| 80 | 4504.43 | 8828.15 | 5046.94 | 701.93 | 1.521 |
| 90 | 4583.45 | 9043.12 | 5137.59 | 720.15 | 1.572 |
| 100 | 4659.65 | 9241.51 | 5214.12 | 736.15 | 1.619 |
© 2019 by the authors. Licensee MDPI, Basel, Switzerland. This article is an open access article distributed under the terms and conditions of the Creative Commons Attribution (CC BY) license (http://creativecommons.org/licenses/by/4.0/).
Share and Cite
Chen, C.; Liu, L.; Wen, Y.; Jiang, Y.; Chen, L. Elastic Properties of Orthorhombic YBa2Cu3O7 under Pressure. Crystals 2019, 9, 497. https://doi.org/10.3390/cryst9100497
Chen C, Liu L, Wen Y, Jiang Y, Chen L. Elastic Properties of Orthorhombic YBa2Cu3O7 under Pressure. Crystals. 2019; 9(10):497. https://doi.org/10.3390/cryst9100497
Chicago/Turabian StyleChen, Cai, Lili Liu, Yufeng Wen, Youchang Jiang, and Liwan Chen. 2019. "Elastic Properties of Orthorhombic YBa2Cu3O7 under Pressure" Crystals 9, no. 10: 497. https://doi.org/10.3390/cryst9100497
APA StyleChen, C., Liu, L., Wen, Y., Jiang, Y., & Chen, L. (2019). Elastic Properties of Orthorhombic YBa2Cu3O7 under Pressure. Crystals, 9(10), 497. https://doi.org/10.3390/cryst9100497
