DFT Calculations and Mesophase Study of Coumarin Esters and Its Azoesters
Abstract
:1. Introduction
2. Experimental
2.1. Materials
2.2. Synthesis of Coumain Derivatives
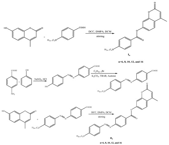
2.2.1. Synthesis of 4-methyl-2-oxo-2H-chromen-7-yl 4-alkoxybenzoate, In
2.2.2. Synthesis of 4-(2-(4-alkoxyphenyl)diazenyl)benzoic acid
2.2.3. Synthesis of 4-methyl-2-oxo-2H-chromen-7-yl 4-(2-(4-alkoxyphenyl)diazenyl)benzoate, IIn
2.3. Characterization
2.4. Methods and Calculations
3. Results and Discussion
3.1. Infrared Absorption Spectra of Components (In)
3.2. Mesophase Behavior of the Investigated Coumarin Derivatives
3.3. Stabilities, Total Energies, Dipole Moments
3.4. Molecular Electrostatic Potential (MEP)
3.5. Frontier Molecular Orbitals
4. Conclusions
Author Contributions
Funding
Conflicts of Interest
References
- Zahradník, M. The Production and Application of Fluorescent Brightening Agents; John Wiley & Sons: Hoboken, NJ, USA, 1982. [Google Scholar]
- Zhou, S.; Jia, J.; Gao, J.; Han, L.; Li, Y.; Sheng, W. The one-pot synthesis and fluorimetric study of 3-(2′-benzothiazolyl) coumarins. Dyes Pigm. 2010, 86, 123–128. [Google Scholar] [CrossRef]
- Mahadevan, K.M.; Harishkumar, H.N.; Masagalli, J.N.; Srinivasa, H.T. Synthesis and liquid crystal property of new fluoro coumarin carboxylates. Mol. Cryst. Liq. Cryst. 2013, 570, 20–35. [Google Scholar] [CrossRef]
- Sun, Y.F.; Xu, S.H.; Wu, R.T.; Wang, Z.Y.; Zheng, Z.B.; Li, J.K.; Cui, Y.P. The synthesis, structure and photoluminescence of coumarin-based chromophores. Dyes Pigm. 2010, 87, 109–118. [Google Scholar] [CrossRef]
- Pisani, L.; Muncipinto, G.; Miscioscia, T.F.; Nicolotti, O.; Leonetti, F.; Catto, M.; Caccia, C.; Salvati, P.; Soto-Otero, R.; Mendez-Alvarez, E.; et al. Discovery of a novel class of potent coumarin monoamine oxidase B inhibitors: development and biopharmacological profiling of 7-[(3-chlorobenzyl) oxy]-4-[(methylamino) methyl]-2 H-chromen-2-one methanesulfonate (NW-1772) as a highly potent, selective, reversible, and orally active monoamine oxidase B inhibitor. J. Med. Chem. 2009, 52, 6685–6706. [Google Scholar] [PubMed]
- Cacic, M.; Trkovnik, M.; Cacic, F.; Has-Schon, E. synthesis and antimicrobial activity of some derivatives on the basis (7-hydroxy-2-oxo-2H-chromen-4-yl)-acetic acid hydrazide. Molecules 2006, 11, 134–147. [Google Scholar] [CrossRef] [PubMed]
- Abdel-Wahab, B.F.; Mohamed, H.A.; Farhat, A.A. Ethyl coumarin-3-carboxylate: synthesis and chemical properties. Org. Commun. 2014, 7, 1. [Google Scholar]
- Buchs, J.; Gäbler, M.; Janietz, D.; Sawade, H. Coumarin-based emissive liquid crystals. Liq. Cryst. 2014, 41, 1605–1618. [Google Scholar] [CrossRef]
- Tian, Y.; Akiyama, E.; Nagase, Y.; Kanazawa, A.; Tsutsumi, O.; Ikeda, T. Liquid crystalline coumarin polymers, 1. Synthesis and properties of side-group liquid crystalline polymers with coumarin moieties. Macromol. Chem. Phys. 2000, 201, 1640–1652. [Google Scholar] [CrossRef]
- Tian, Y.; Akiyama, E.; Nagase, Y.; Kanazawa, A.; Tsutsumi, O.; Ikeda, T. Synthesis and investigation of photophysical and photochemical properties of new side-group liquid crystalline polymers containing coumarin moieties. J. Mater. Chem. 2004, 14, 3524–3531. [Google Scholar] [CrossRef]
- Kang, H.; Kang, D. Photoalignment behavior on polystyrene films containing coumarin moieties. Mol. Cryst. Liq. Cryst. 2015, 623, 45–55. [Google Scholar] [CrossRef]
- Dröge, S.; O'Neill, M.; Löbbert, A.; Kitney, S.P.; Kelly, S.M.; Wei, P.; Dong, D. A new approach to photoalignment: photo-addition to a self-assembled monolayer. J. Mater. Chem. 2009, 19, 274–279. [Google Scholar] [CrossRef]
- Obi, M.; Morino, S.y.; Ichimura, K. Factors affecting photoalignment of liquid crystals induced by polymethacrylates with coumarin side chains. Chem. Mater. 1999, 11, 656–664. [Google Scholar] [CrossRef]
- Zhang, B.Y.; Meng, F.B.; Tian, M.; Xiao, W.Q. Side-chain liquid-crystalline polysiloxanes containing ionic mesogens and cholesterol ester groups. React. Funct. Polym. 2006, 66, 551–558. [Google Scholar] [CrossRef]
- Singh, S.; Dunmur, D.A. Liquid crystals: Fundamentals; World Scientific Press: Singapore, 2002. [Google Scholar]
- Weissflog, W.; Demus, D. Compounds with lateral long-chain substituents—a new molecule structure concept for thermotropic liquid crystals. Cryst. Res. Technol. 1983, 18, K21–K24. [Google Scholar] [CrossRef]
- Weissflog, W.; Demus, D. Thermotropic liquid crystalline compounds with lateral long-chain substituents (II).: Synthesis and liquid crystalline properties of 1, 4-Bis [4-substituted-benzoyloxy]-2-n-alkylbenzenes. Cryst. Res. Technol. 1984, 19, 55–64. [Google Scholar] [CrossRef]
- Weissflog, W.; Demus, D. New lateral long-chain substituted liquid crystals. Mol. Cryst. Liq. Cryst. 1985, 129, 235–243. [Google Scholar] [CrossRef]
- Gray, G.W. Molecular Structure and the Properties of Liquid Crystals; Academic press: Cambridge, MA, USA, 1962. [Google Scholar]
- Hagar, M.; Soliman, S.M.; Ibid, F.; El Sayed, H. Quinazolin-4-yl-sulfanylacetyl-hydrazone derivatives; Synthesis, molecular structure and electronic properties. J. Mol. Struct. 2013, 1049, 177–188. [Google Scholar] [CrossRef]
- Soliman, S.M.; Hagar, M.; Ibid, F.; El Sayed, H. Experimental and theoretical spectroscopic studies, HOMO–LUMO, NBO analyses and thione–thiol tautomerism of a new hybrid of 1, 3, 4-oxadiazole-thione with quinazolin-4-one. Spectrochim. Acta A 2015, 145, 270–279. [Google Scholar] [CrossRef] [PubMed]
- Hagar, M.; Soliman, S.M.; Ibid, F.; El Sayed, H. Synthesis, molecular structure and spectroscopic studies of some new quinazolin-4 (3H)-one derivatives; an account on the N-versus S-Alkylation. J. Mol. Struct. 1108, 667–679. [Google Scholar] [CrossRef]
- Aboelnaga, A.; Hagar, M.; Soliman, S.M. Ultrasonic Synthesis, molecular structure and mechanistic study of 1, 3-Dipolar cycloaddition reaction of 1-Alkynylpyridinium-3-olate and acetylene derivatives. Molecules 2016, 21, 848. [Google Scholar] [CrossRef] [PubMed]
- De Jeu, W.H.; Jeu, W.H. Physical Properties of Liquid Crystalline Materials; CRC Press: Boca Raton, FL, USA, 1980; Volume 1. [Google Scholar]
- Jadzyn, J.; Czechowski, G.; Legrand, C.; Douali, R. Dielectric properties of 6-CHBT in isotropic and nematic phases. Liq. Cryst.: Chem. Phys. Appl. 2000, 4147, 184–190. [Google Scholar]
- Gray, G. Liquid crystals and molecular structure-Nematics and cholesterics. Mol. Phys. Liq. Cryst. 1979, 1–29. [Google Scholar]
- Melloni, A.; Rossi Paccani, R.; Donati, D.; Zanirato, V.; Sinicropi, A.; Parisi, M.L.; Martin, E.; Ryazantsev, M.; Ding, W.J.; Frutos, L.M.; et al. Modeling, preparation, and characterization of a dipole moment switch driven by Z/E photoisomerization. J. Am. Chem. Soc. 2010, 132, 9310–9319. [Google Scholar] [CrossRef] [PubMed]
- Frisch, M.J.E.A.; Trucks, G.W.; Schlegel, H.B. Gaussian 09; revision a. 02; gaussian. Inc.; Carnegie Mellon University: Wallingford, CT, USA, 2009; p. 200. [Google Scholar]
- Dennington, R.; Keith, T.; Millam, J. GaussView, version 5; Semichem Inc.: Shawnee Mission, KS, USA, 2009. [Google Scholar]
- Dave, J.S.; Menon, M.R.; Patel, P.R. Synthesis and mesomorphic characterization of azoesters with a coumarin ring. Liq. Cryst. 2002, 29, 543–549. [Google Scholar] [CrossRef]
- Imrie, C.; Taylor, L. The preparation and properties of low molar mass liquid crystals possessing lateral alkyl chains. Liq. Cryst. 1989, 6, 1–10. [Google Scholar] [CrossRef]
- Imrie, C.T. Laterally substituted dimeric liquid crystals. Liq. Cryst. 1989, 6, 391–396. [Google Scholar] [CrossRef]
- Naoum, M.M.; Saad, G.R.; Nessim, R.I.; Abdel-Aziz, T.A.; Seliger, H. Effect of molecular structure on the phase behaviour of some liquid crystalline compounds and their binary mixtures II. 4-Hexadecyloxyphenyl arylates and aryl 4-hexadecyloxy benzoates. Liq. Cryst. 1997, 23, 789–795. [Google Scholar] [CrossRef]
- Saad, G.R.; Nessim, R.I. Effect of molecular structure on the phase behaviour of some liquid crystalline compounds and their binary mixtures VI [1]. The effect of molecular length. Liq. Cryst. 1999, 26, 629–636. [Google Scholar] [CrossRef]
- Minkin, V.I. Dipole Moments in Organic Chemistry; Springer Science & Business Media: Berlin, Germany, 2012. [Google Scholar]
- Sıdır, İ.; Sıdır, Y.G.; Kumalar, M.; Taşal, E. Ab initio Hartree–Fock and density functional theory investigations on the conformational stability, molecular structure and vibrational spectra of 7-acetoxy-6-(2, 3-dibromopropyl)-4, 8-dimethylcoumarin molecule. J. Mol. Struct. 2010, 964, 134–151. [Google Scholar] [CrossRef]
- Scrocco, E.; Tomasi, J. Electronic molecular structure, reactivity and intermolecular forces: an euristic interpretation by means of electrostatic molecular potentials. Adv. Quantum Chem. 1978, 11, 115–193. [Google Scholar]
- Politzer, P.; Murray, J.S. Relationships between dissociation energies and electrostatic potentials of C-NO2 bonds: Applications to impact sensitivities. J. Mol. Struct. 1996, 376, 419–424. [Google Scholar] [CrossRef]
- Marks, T.J.; Ratner, M.A. Design, synthesis, and properties of molecule-based assemblies with large second-order optical nonlinearities. Angew. Chem. Int. Ed. Engl. 1995, 34, 155–173. [Google Scholar] [CrossRef]
- Fukui, K.; Yonezawa, T.; Nagata, C.; Shingu, H. Molecular orbital theory of orientation in aromatic, heteroaromatic, and other conjugated molecules. J. Chem. Phys. 1954, 22, 1433–1442. [Google Scholar] [CrossRef]
- Sinha, L.; Prasad, O.; Narayan, V.; Shukla, S.R. FT-IR spectroscopic analysis and first-order hyperpolarisability of 3-benzoyl-5-chlorouracil by first principles. Mol. Simul. 2011, 37, 153–163. [Google Scholar] [CrossRef]







| Comp. | TCr–SmC | ΔHCr–SmC | TSmC–N | ΔHSmC–N | ΔSSmC–N/R | TSmC-I | ΔHSmC–I | TN–I | ΔHN–I | ΔSN–I/R | √TC |
|---|---|---|---|---|---|---|---|---|---|---|---|
| I6 | 110.3 | 31.72 | - | - | - | - | - | - | - | - | - |
| I8 | 103.9 | 28.59 | - | - | - | - | - | - | - | - | - |
| I10 | 108.7 | 33.29 | - | - | - | - | - | - | - | - | - |
| I12 | 107.7 | 29.10 | - | - | - | - | - | - | - | - | - |
| I16 | 109.0 | 30.96 | - | - | - | - | - | - | - | - | - |
| II6 | 122.7 | 25.56 | 163.3 | 1.81 | 0.50 | 220.7 | 0.92 | 0.22 | 22.22 | ||
| II8 | 107.5 | 24.29 | 163.5 | 1.63 | 0.45 | 188.4 | 0.55 | 0.14 | 21.49 | ||
| II10 | 137.5 | 28.74 | 174.2 | 1.72 | 0.46 | 187.9 | 0.56 | 0.15 | 21.47 | ||
| II12 | 130.9 | 31.73 | 177.0 | 2.74 | 0.73 | 182.0 | 0.63 | 0.17 | 21.33 | ||
| II16 | 125.9 | 26.77 | - | - | 174.0 | 2.43 | - | - | - | 21.15 |
| I6 | ||||
| X | Y | Z | Total | |
| Dipole moment (Debye) | 3.98 | −1.62 | −1.47 | 4.44 |
| Energy (a.u.) | −1266.70 | |||
| II6 | ||||
| X | Y | Z | Total | |
| Dipole moment (Debye) | −2.31 | 0.03 | −5.20 | 5.71 |
| Energy (a.u.) | −1607.11 | |||
© 2018 by the authors. Licensee MDPI, Basel, Switzerland. This article is an open access article distributed under the terms and conditions of the Creative Commons Attribution (CC BY) license (http://creativecommons.org/licenses/by/4.0/).
Share and Cite
Hagar, M.; Ahmed, H.A.; Alhaddadd, O.A. DFT Calculations and Mesophase Study of Coumarin Esters and Its Azoesters. Crystals 2018, 8, 359. https://doi.org/10.3390/cryst8090359
Hagar M, Ahmed HA, Alhaddadd OA. DFT Calculations and Mesophase Study of Coumarin Esters and Its Azoesters. Crystals. 2018; 8(9):359. https://doi.org/10.3390/cryst8090359
Chicago/Turabian StyleHagar, M., H.A. Ahmed, and O.A. Alhaddadd. 2018. "DFT Calculations and Mesophase Study of Coumarin Esters and Its Azoesters" Crystals 8, no. 9: 359. https://doi.org/10.3390/cryst8090359
APA StyleHagar, M., Ahmed, H. A., & Alhaddadd, O. A. (2018). DFT Calculations and Mesophase Study of Coumarin Esters and Its Azoesters. Crystals, 8(9), 359. https://doi.org/10.3390/cryst8090359

