Abstract
A review on mathematical elasticity of quasicrystals is given. In this review, the focus is on various defects of quasicrystals. Dislocation and crack are two classes of typical topological defects, while their existence has great influence on the mechanical behavior of quasicrystals. The analytic and numerical solutions of dislocations and crack in quasicrystals are the core of the static and dynamic elasticity theory, and this paper gives a comprehensive review on the solutions for dislocations and crack with different configurations in different various important quasicrystalline systems. We review some results in linear elasticity of quasicrystals, referring to different boundary value problems. We also add some new achievements.
1. Introduction
Quasicrystals are inter-metallic solids characterized by quasi-periodic long-range translational symmetry and absence of the standard periodicity of crystals. Their existence was first recognized in 1984 by Shechtman et al. by evaluating diffraction patterns obtained on specimens of rapidly solidified alloys. This discovery was awarded the Nobel Prize of Chemistry 2011 [1]. Soon after the discovery of the novel matter, elasticity, dynamics of elasticity, defects and other subjects concerning mechanical behavior of quasicrystalline materials become an intensive subject of researches in theory and experiment and attracted considerable attention of researchers [2,3,4,5,6,7]. Quasicrystal is deformable under external loads, and certain thermal loads. About the elasticity of quasicrystals, the theoretical physicists have provided various descriptions for quasicrystals. The phenomenological theory of Landau and Lifshitz on the elementary excitation of condensed matters was essentially regarded as the physical basis of elasticity of quasicrystals, and two types of excitations, phonons and phasons, were considered for quasi-periodicity of materials [8,9,10,11,12,13,14,15]. In essence, the quasicrystal mechanical behavior falls within the general framework for building models in the mechanics of complex materials: inner degrees of freedom are attributed to every material element besides the degrees of freedom in two- or three-dimensional ambient space. By exploiting a general model-building framework for the mechanics of complex continua [16,17,18], they are deemed that there are two displacement fields and , in which the former named as the phonon field is similar to that in crystals; the latter named as the phase field is defined over the body. Thus, the total displacement field in a quasicrystal can be expressed by
where is in the parallel space or the physical space; is in the complement space or the perpendicular space, which is an internal space; and denotes the direct sum. Based on the above physical framework and the extended methodology in mathematical physics from classical elasticity, the independent elastic constants for different symmetries of quasicrystals can be determined [19,20,21,22,23,24]. Then, the mathematical elasticity theory of quasicrystals has been developed rapidly. In 2004, Fan and Mai give a review based on the static elasticity theory of various quasicrystals [25]. Fan and his workers devoted to development of a mathematical elasticity theory of quasicrystals and its applications [26]. First Levine and Lubensky et al. obtained many solutions for the elasticity and dislocations in pentagonal and icosahedral quasicrystals [27]. Then, Li provided two analytical solutions for a decagonal quasicrystal with a Griffith crack and a straight dislocation [28,29]. Based on one-dimensional hexagonal quasicrystals, Chen studied a three-dimensional elastic problem and gave a general solution for this problem [30]. Liu et al. obtained the governing equations for plane elasticity of one-dimensional quasicrystals and the general solutions [31]. Based on the stress potential function, Li accomplished notch problem of two-dimensional quasicrystals [32]. Wang and Gao et al. obtained some solutions for some elastic problems of some one-, two-dimensional quasicrystal [33,34,35]. Coddens deduced the elasticity and dynamics of the phason and phonon in some quasicrystals [36]. Wang et al. and Guo et al. discussed the phonon- and phason-type inclusions in icosahedral quasicrystals and an elliptical inclusion in hexagonal quasicrystals [37,38]. More recently, the phonon–phason elasticity of quasicrystals attracted a lot of attention. For example, Radi and Mariano focused their attention on the straight cracks and dislocations in two-dimensional quasicrystals, and described linear elasticity of quasicrystals and obtained some profound results for [39,40,41]. Li and his workers induced fundamental solutions for thermo-elasticity of one-dimensional hexagonal quasicrystals with half infinite plane cracks and obtained some solutions [42,43,44]. Of course, elastic theory of quasicrystals has been developed by some researchers (for example, Li and Chai [45] and Sladek et al. [46]). A mass of experimental observations have been provided for plastic deformation of quasicrystals based on dislocation mechanism by Wollgarten et al., Feuerbacher et al., and Messerschmidt et al. [47,48,49]. Through a series of experimental observations, many studies have also been executed based on the deformed Al-Pd-Mn single quasicrystals [50,51,52,53].
We have cited 53 references in this review article. We also obtain some new achievements. For example, the crack opening displacement of an extended Dugdale model for anti-plane quasicrystals and the stress intensity factor of an elastic problem of plane problem of two-dimensional quasicrystals with elliptical hole with double cracks are deduced by using potential theory, which are expressed in terms of closed form.
2. Fundamental Equations of Quasicrystals
Referring to a quasicrystal, in which phonon and phason fields exist simultaneously. Based on the cut-and-projection theory, quasicrystals can be understood as a three-dimensional projection of a higher-dimensional periodic space, with a huge number of field variables and field equations involving its elasticity. The displacement vectors are labeled as for phonon field and for phason field, respectively, which are both dependent on the spatial point in the real space. Similar to classical elasticity, there are giving rise to two displacement fields, so they are named the elastic strain tensors and can be expressed by equation 2 respectively.
We reduce our analyses in small strain setting and linear elastic behavior. For the sake of simplicity, we do not consider inertial effects, body forces, and phason self-actions so that, with these restrictions, the balance equations with absent of the body force (for a complete derivation of them in large strain regime, see [41]) read
When quasicrystals are in the case of small deformation, the phonon stresses and phason stresses obey generalized Hooke’s law. Namely, they are linearly dependent upon both the phonon strains and phason strains, that is it can be expressed by the following generalized Hooke’s law [25,26]:
where and phonon stresses and strains; and are phonon and phason displacements; and phason stresses and strains; and , and the phonon, phason, phonon–phason coupling elastic constants, respectively. This leads to a mathematical complexity in solving associated boundary value problems. The elasticity equations for a variety of one-, two-, and three-dimensional quasicrystals are concluded in [26]. To avoid duplication, here we no longer display these equations.
In light of the huge number of the field variables and their equations, the solution for three elasticity problems of quasicrystals is not easily obtained. One commonly used method to solve the elasticity problem is to eliminate the number of the field variables and equations above mentioned. Similar to classical mathematical physics, we can utilize the eliminating element method in the elasticity problem of quasicrystals. We can find the equations can be simplified for some meaningful cases physically. The elasticity problem of quasicrystals includes in-plane mode case and anti-plane mode case. For example, some field variables disappear while the materials are in plane mode case. Meanwhile, these displacements and relevant strains and stresses are independent of the periodic direction. For example, supposing there is a straight dislocation line along the periodic direction, a crack penetrates periodic direction, etc., then, this fact implies . Then,
Hence,
2.1. The Elasticity of One-Dimensional Hexagonal Quasicrystals
There are many kinds of one-dimensional quasicrystals; we only discuss the simplest system of one-dimensional hexagonal quasicrystals. For this type of quasicrystal, phonon displacements are , phason displacement is (because ), the corresponding strains are
and other . The strain components are nine in the lump. Formulas (8a–c) are the same with all one-dimensional quasicrystals. The nine strains can be represented by vectors with nine components, i.e.,
or
The corresponding stresses are
The elastic constant matrix is
where the four indexes of phonon elastic constants are reduced to two quotas, i.e., quotas thus can be denoted as :
That fact means that the number of independent phonon elastic constants is five. Furthermore, the phason elastic constants , i.e., there are only two independent phason elastic constants. Finally, we also have , i.e., obviously, there are three phonon–phason coupling elastic constants.
We may learn from the elastic constants matrix that the corresponding stress–strain relations are:
and other
The equilibrium equations are:
Here are four displacements, nine strains and nine stresses, which added up to 22 field variables. The corresponding field equations are 22, consisting of four for equilibrium equations, nine equations of deformation geometry, and nine stress–strain relation. It is evident that the elastic equilibrium problem of one-dimensional hexagonal quasicrystals is a little complicated. In the following we give a simplified treatment. If there is a straight dislocation or a Griffith crack along the direction of the atom quasi-periodic arrangement, the deformation is independent of the -axis, therefore
This fact leads to
The generalized Hooke’s law is simplified as
In the absence of the body force and generalized body force, the equilibrium equations are
Equations (15)–(18) define two uncoupled problems. The first of them is
This is the classical plane elasticity of conventional hexagonal crystals. The problem has been studied, extensively using the stress function approach, e.g. it introduces
Then, equations are reduced to solve
The problem is considerably discussed in the elasticity of crystals, so we do not consider it here. We are concerned with the problem of phonon–phason coupling anti-plane elasticity. We illustrate the basis equations of anti-plane elasticity for one-dimensional hexagonal quasicrystals. The stress tensors are related to the strain tensors repressed by
The deformation geometry relations are
The equilibrium equations are
Substituting the deformation geometry relations into the stress–strain relations, and then into the equilibrium equations, yields the final governing equations such as
Considering , we have
where , so and are two harmonic functions.
It is well known that the two-dimensional harmonic functions and can be a real part or an imaginary part of any analytic functions and of complex variable , respectively, i.e.,
In this version, Equation (26) should be identically satisfied.
Substituting Equation (27) into Equation (23), we have
in which
Based on Equation (28), we get
2.2. The Elasticity of Two-Dimensional Quasicrystals
As everyone knows, the five-fold and ten-fold symmetries quasicrystals of point groups and are different in plane elasticity from that of point groups 5 m and 10 mm [26]. The difference lies in only the phonon–phason coupling elastic constants, in which the former has two coupling elastic constants and rather than one constant In this section, we mainly discuss linear theory for decagonal quasicrystals of point group .
We assume that the atom arrangement is periodic along the z-direction and quasiperiodic along the plane, and denote and for a two-dimensional decagonal quasicrystal. According to quasicrystal elasticity theory, the equations of deformation geometry are
When the body force is neglected, the equilibrium equations are
and the concrete generalized Hooke’s law of decagonal quasicrystals of point group is
where the elastic constants , ; and denote the phonon displacement and the phason displacement; and the phonon stress and the phonon strain; and phason stress and strain; and and the phonon, phason and phonon–phason coupling elastic constants, respectively. We assume that a plane notch penetrates through the solid along the period direction. In this case, it is evident that all the field variables are independent of .
According to the deformation geometry equation, deformation compatibility equations are as follows:
The strain components and can be expressed by the stress components and , i.e.,
with
If the stress functions and are introduced, such as
then, the equilibrium Equation (30b) is automatically satisfied. Substituting above equations into Equation (33), the deformation compatibility equations expressed by stress components yields
in which is given by above. By now, the numbers of equations and unknown functions have been reduced to 3.
We introduce a new unknown function such as
If we let
then Equation (35) is satisfied, in which
The general solution of Equation (38) can be expressed as
in which are analytic functions of complex variable .
2.3. The Elasticity of Three-Dimensional Quasicrystals
There is no periodicity in three directions of elasticity of three dimensional quasicrystals. Therefore, field variables including the phonon field and the phase field exist simultaneously in these three directions. Besides icosahedral quasicrystals, three dimensional quasicrystals also include cubic quasicrystals. Due to their tediousness, we only discuss the elasticity of three-dimensional icosahedral quasicrystals here. The elasticity of cubic quasicrystals is neglected.
The equations of deformation geometry are
which are similar in form to those given in previous, but here and have six components, and and have 15 components in total.
The elastic constants of phonon field are very simple, merely two, and can be expressed by coefficient, that is
The elastic constants of the phases are
The phonon–phason coupling elastic constant is only one, and mark as .
Based on the matrix expression of the generalized Hooke’s law , , we know the explicit relationship between stresses and strains as below:
where
The equilibrium equations are as follows:
Based on Equation (44), we can get the deformation compatibility equations
If we introduce five stress potential functions , , , , , which are satisfied with
and
then the equilibrium equations and the deformation compatibility equations will be satisfied automatically. After derivation, the final control equation is
(the approximation of ), in which
In summary, the icosahedral quasicrystals have six displacement components, 15 strain components, and 15 stress components, i.e., 36 unknown functions in total. It is the same as the number of fundamental equations. From the mathematical point of view, it can be solved under appropriate boundary conditions. Similarly, the problem may be decomposed into plane and anti-plane problems. In terms of the anti-plane problem, we will illustrate it with an example.
3. Some Examples
3.1. Complex Variable Theory for Elasticity of Quasicrystals with Defects
As we all know, it is very difficult to solve plane problems of the materials with defects in the physical plane (-plane). For some complicated configuration, we have two common conformal mappings, and one is
to transform the exterior of the material with defects in the -plane into the exterior of the unit circle in the -plane. Through the transformation, we can have
Because we have outside the unit, we can obtain and
in which is analytic outside the unit circle. For the same reason, we have the formula and so on.
The other conformal mapping is
to transform the exterior of the material with defects in the -plane into the interior of the unit circle in the -plane.
3.2. An Extended Dugdale model for Anti-Plane Quasicrystals
We deduce the boundaries: it is assumed that there is a penetrating elliptical orifice along the periodic direction in one-dimensional hexagonal quasicrystals. At this moment, it belongs to plane elasticity problem in the periodic plane . In the periodic plane, we suppose elliptic orifice equation is , in which and are the long and short axis respectively in Figure 1. Considering that the quasicrystal is not subjected to external forces at infinity, it is subjected to the shearing force along the quasi-periodic direction on the surface of the elliptical hole. We can express the boundary by formulas as follows:
Draw the conformal mapping
into the problem to transform the region containing ellipse at the -plane onto the interior of the unit circle at the -plane. Obviously, on the unit circle . Signing we deduce
Colligating Equations (52)–(54), we can get
Figure 1.
An elliptic notch in an anti-plane quasicrystal.
In a similar manner, we can also calculate the solution of following boundary conditions
The solution is
Now, we solve the problem of the Dugdale model of one-dimensional hexagonal anti-plane quasicrystals. The boundary conditions are as follows:
This problem can be transformed into two simple questions:
and
The conformal mapping is
to transform the region containing ellipse at the -plane onto the interior or the exterior of the unit circle at the -plane. The solution of problem I has been given. To highlight problem, the only thing to do is replace by , by , and of the formula by , Thus, there are
The solution of problem II has also been given, only to substitute for in (57), for over there. Consequently,
Superposition of the above two types, that is, the total complex potential. Because the stress is limited where , the first item of Equation (29) must be zero. It is obtained as follows
Likewise, represents one of a value of on the unit circle , it corresponds to , hence it can get
Based on the theory of fracture, the displacement of the curve is
Among which, indicate the crack surface, the unit circle, , on the unit circle, and there are
If we let
denote the crack opening displacement. Deduce
Let , we have
and can get the result
The problem of the Dugdale model of three-dimensional anti-plane quasicrystals is similar to the one of one-dimensional hexagonal anti-plane quasicrystals. After a series of calculating, in case of duplication, we show the conclusions directly
3.3. An Extended Dugdale Model for Plane Problem of Two-Dimensional Quasicrystals
Secondly, we consider one example of plane problem of two-dimensional quasicrystals. There is a Griffith crack with the length of along the axis in the generalized cohesive force model of quasicrystals (see Figure 2.).
Figure 2.
Generalized cohesive force model of quasicrystals.
We have assumed already that the stress distribution within the plastic zone is known. Thus, the generalized cohesive force model of quasicrystals can be expressed as follows:
This problem can be reduced into a superposition of the following two problems:
and
Thus, the nonlinear problem is reduced into an “equivalent” elasticity problem. However, the calculation cannot be completed in the -plane due to the complicacy of the evaluation, and we use the conformal mapping
to transform the exterior of the crack in the -plane into the exterior or interior of the unit circle in the -plane. It is worth noting that and will no longer be referred in the following text. It is clear that the boundary condition can be written as follow:
in which denotes or ; represents or ; and and are generalized surface tractions in the -direction and -direction, respectively. In above analysis process, the phason filed can be discussed similarly, so it is omitted here.
For the problem in Equation (73a), we have the solution
and for the problem in Equation (73b), the solution is
in which
and we must point out that corresponds to in the -plane.
Thus, we have the complex potentials of the generalized cohesive force model of quasicrystals as follows:
Because the stresses are finite values in the tip of plastic zone, we have
and we obtain
At the same time, noting that , one can have the size of plastic zone
Now, we will calculate the crack tip opening displacement . According to the solutions in Equations (76) and (79) and the displacement formula, after a lengthy calculation, we have
By substituting Equation (79) into Equation (83) and noting Equation (81), one can obtain
Thus, we have
When we assume that and in all equations, then will become the corresponding solution of point group 10 mm quasicrystals
Let the phonon–phason coupling constant , then one will have the crack tip opening displacement for conventional crystals such as
in which and . If the crystals are of isotropic solid, there are , and , which are Lame constants, i.e.,
in which is for plane strain, is for plane stress, and is not only the Poisson ratio of the isotropic solid, but is also exactly reduced into the well-known classic Dugdale solution in nonlinear fracture mechanics of conventional structural (engineering) materials.
3.4. An Elastic Problem of Plane Problem of Two-Dimensional Quasicrystals with Elliptical Hole with Double Cracks
Based on Equation (36), it leads to
in which
in addition, we replace and by and , and we can get
According to Reference [23], there are
in which
Thereby, we have
in which and indicate the surface force components of the surface force and , respectively; and and are decided by primary stress.
Supposing that elliptic hole with two cracks is in an infinite plane, the major semi-axis is , the minor semi-axis is , the crack length is , we may have the elliptical hole center as the origin, and the crack where the straight line coordinate system is established for the X axis (Figure 3).
Figure 3.
A model of two dimensional quasicrystals with an elliptical hole with double cracks.
The problem is solved using the conformal mappings
among which
This mapping maps the exterior of the crack in the -plane into the exterior or interior of the unit circle in the -plane.
The mapping maps the inner angle of the unit circle on the mathematical plane to the infinite plane of the elliptical hole with double cracks on the physical plane, and , , , . Meanwhile, the shore point is mapped to the point , and the lower shore is mapped to the point . In the fracture theory, defining the complex stress intensity factor is
Besides, we consider , where indicates one of the end of the crack tip field, namely, , there is
We know
Thus,
Then, the stress intensity factor can be determined
There are boundary conditions:
means elliptical hole, and are on behalf of outside normal direction cosine of any point on the line , respectively, and is outward normal of the curve.
We take care of the following facts
and
By the knowledge of the Cauchy integral formula and the analytic continuation, and paying attention to , , we know
It can be
In same manner, we have
In view of the above facts, it is easy to obtain
Meanwhile, we note the mapping in Equation (95) yields
It is obvious that is analytical outside the unit circle and continuously to the boundary, thus we can get
Therefore,
Finally, we have the tress intensity factor
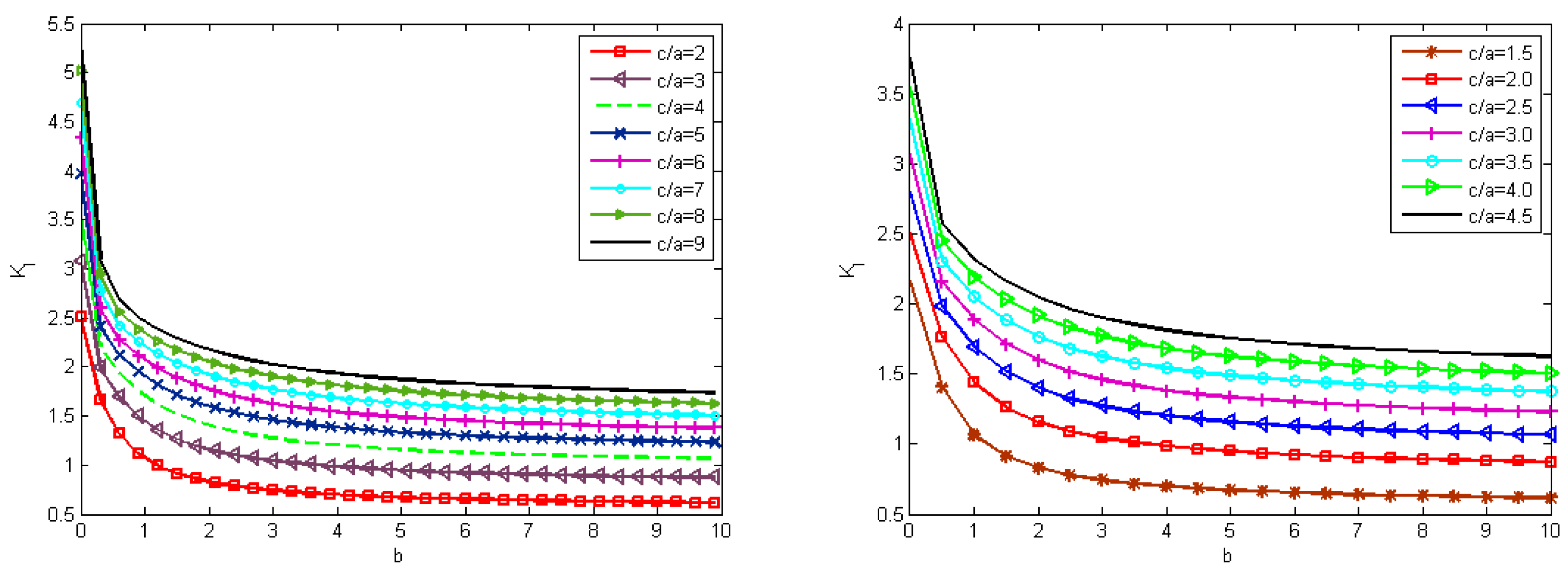
If we regard static stress intensity factor of mode I centric crack problems as the normalized stress intensity factor, then the dimensionless stress intensity factor can be introduced as . The comparison of the normalized stress intensity factor of various crack radio is depicted in Figure 4.
Figure 4.
Variation and comparison of normalized stress intensity factor with crack radio .
An Extended Dugdale Model for Plane Problems of Three-Dimensional Icosahedral Quasicrystal
The boundary conditions of the extended Dugdale model for plane problems of three-dimensional icosahedral quasicrystal can be expresses as follows:
According to Reference [23], the general solution of Equation (48) is
Meanwhile, it yields
The boundary condition above can be written as follows:
In the above analytic process, the phason field has been omitted. We can calculate the solution by the complex variable function method, however, the formulation and calculations are lengthy and omitted; we only give the final outcome:
in which
Based on the same principle with the above problem, we have
Then,
All parameters have been given above. All these solutions can be found in Reference [26]. We neglect the complicated and lengthy computation process.
4. Conclusions
The static elastic problems of quasicrystals are mathematically daunting. For the statics problem of quasicrystals, systematical and direct methods of mathematical physics are provided to solve the equations under appropriate boundary value conditions, and many analytical solutions are constructed. Based on previous theory static elastic problems of quasicrystals, this paper mainly presents for static elastic response of quasicrystals by using complex potential method. Two kinds of case are considered. One is the anti-plane problem of static elastic problems of the crack for quasicrystals, in which we mainly consider one-dimensional hexagonal quasicrystals and three-dimensional icosahedral quasicrystals. The results of analysis are obtained based on some regular specimen. The other is the plane problem of static elastic problems of the crack for two-dimensional quasicrystals, in which we mainly consider the quasicrystals with ten-fold symmetries. The phonon and phason elastic fundamental fields along with their coupling effect in crack analysis are explicitly presented in terms of analytical expressions. Through comparing the results of quasicrystals, this paper reveals that the influence of phason field and phonon–phason coupling, which occupy an important position in elastic deformation behavior of quasicrystals, should not be neglected.
Acknowledgments
The work is supported by the National Natural Science Foundation of China (No. 11402158) and the Qualified Personnel Foundation of Taiyuan University of Technology (Grant. No. tyut-rc201358a).
Author Contributions
Xu Qin prepared the manuscript (text and figures). Li Wu and Lu Jing revised the manuscript.
Conflicts of Interest
The authors declared no potential conflicts of interest with respect to the research, authorship, and/or publication of this review.
References
- Shechtman, D.; Blech, I.; Gratias, D.; Cahn, J.W. Metallic phase with long-range orientational order and no translational symmetry. Phys. Rev. Lett. 1984, 53, 1951–1953. [Google Scholar] [CrossRef]
- Ohashi, W.; Spaepen, F. Stable Ga-Mg-Zn quasi-periodic crystals with pentagonal dodecahedral solidification morphology. Nature 1987, 330, 555–556. [Google Scholar] [CrossRef]
- Wang, N.; Chen, H.; Kuo, K.H. Two-dimensional quasicrystal with eightfold rotational symmetry. Phys. Rev. Lett. 1987, 59, 1010–1013. [Google Scholar] [CrossRef] [PubMed]
- Janot, C. The structure of quasicrystals. J. Non-Cryst. Solids 1993, 156–158, 852–864. [Google Scholar] [CrossRef]
- Ishimasa, T.; Nissen, H.U. New ordered state between crystalline and amorphous in Ni-Cr particles. Phys. Rev. Lett. 1985, 55, 511–513. [Google Scholar] [CrossRef] [PubMed]
- Feng, Y.C.; Lu, G. Experimental evidence for and a projection model of a cubic quasicrystal. J. Phys. Condens. Matter 1990, 2, 9749–9755. [Google Scholar] [CrossRef]
- Chen, H.; Li, X.Z.; Zhang, Z.; Kuo, K.H. One-dimensional quasicrystals with twolvefold rotational symmetry. Phys. Rev. Lett. 1998, 60, 1645–1648. [Google Scholar] [CrossRef] [PubMed]
- Bohsung, J.; Trebin, H.R. Disclinations in quasicrystals. Phys. Rev. Lett. 1987, 58, 1204–1207. [Google Scholar] [CrossRef] [PubMed]
- Ebert, P.H.; Feuerbacher, M.; Tamura, N. Evidence for a cluster-based on structure of Al-Pd-Mn single quasicrystals. Phys. Rev. Lett. 1996, 77, 3827–3830. [Google Scholar] [CrossRef] [PubMed]
- Li, C.L.; Liu, Y.Y. Low-temperature lattice excitation of icosahedral Al-Mn-Pd quasicrystals. Phys. Rev. B 2001, 63, 064203. [Google Scholar] [CrossRef]
- Rochal, S.B.; Lorman, V.L. Anisotropy of acoustic-phonon properties of an icosahedral quasicrystal at high temperature due to phonon-phason coupling. Phys. Rev. B 2000, 62, 849–874. [Google Scholar] [CrossRef]
- Bak, P. Phenomenological theory of icosahedral in commensurate (quasiperiodic) order in Mn-Al alloys. Phys. Rev. Lett. 1985, 54, 1517–1519. [Google Scholar] [CrossRef] [PubMed]
- Bak, P. Symmetry, stability and elastic properties of icosahedral in commensurate crystals. Phys. Rev. B 1985, 32, 5764–5772. [Google Scholar] [CrossRef]
- Socolar, J.E.S.; Lubensky, T.C.; Steinhardt, P.J. Phonons, phasons and dislocations in quasicrystals. Phys. Rev. B 1986, 34, 3345–3360. [Google Scholar] [CrossRef]
- Landau, L.D.; Lifshitz, E.M. Statistical Physics; Pergamon Press: New York, NY, USA, 1958. [Google Scholar]
- Capriz, G. Continuous Media with Microstructure; Springer Verlag: Berlin, Germany, 1989. [Google Scholar]
- Mariano, P.M. Multifield theories in mechanics of solids. Adv. Appl. Mech. 2002, 38, 1–93. [Google Scholar]
- Mariano, P.M. Mechanics of material mutations. Adv. Appl. Mech. 2014, 47, 1–91. [Google Scholar]
- Edagawa, K. Phonon-phason coupling in decagonal quasicrystals. Philos. Mag. 2007, 87, 2789–2798. [Google Scholar] [CrossRef]
- Cheminkov, M.A.; Ott, H.R.; Bianchi, A.; Migliori, A.; Darling, T.W. Elastic Moduli of a Single Quasicrystal of Decagonal Al-Ni-Co: Evidence for transverse elastic isotropy. Phys. Rev. Lett. 1998, 80, 321–324. [Google Scholar]
- Tanaka, K.; Mitarai, Y.; Koiwa, M. Elastic constants of Al-based icosahedral quasicrystals. Philos. Mag. A 1996, 73, 1715–1723. [Google Scholar] [CrossRef]
- Ding, D.H.; Yang, W.G.; Hu, C.Z. Generalized elasticity theory of quasicrystals. Phys. Rev. B 1993, 48, 7003–7010. [Google Scholar] [CrossRef]
- Hu, C.Z.; Wang, R.H.; Ding, D.H. Symmetry groups, physical property tensors, elasticity and dislocations in quasicrystals. Rep. Prog. Phys. 2000, 63, 1–39. [Google Scholar] [CrossRef]
- Jeong, H.C.; Steinhardt, P.J. Finite-temperature elasticity phase transition in decagonal quasicrystals. Phys. Rev. B 1993, 48, 9394–9403. [Google Scholar] [CrossRef]
- Fan, T.Y.; Mai, Y.W. Elasticity theory, fracture mechanics and some relevant thermal properties of quasicrystalline materials. Appl. Mech. Rev. 2004, 57, 325–344. [Google Scholar] [CrossRef]
- Fan, T.Y. Mathematical Theory of Elasticity of Quasicrystals and Its Applications; Springer Press: Heideberg, Germany, 2010. [Google Scholar]
- Levine, D.; Lubensky, T.C.; Ostlund, S. Elasticity and dislocations in pentagonal and icosahedral quasicrystals. Phys. Rev. Lett. 1985, 54, 1520–1523. [Google Scholar] [CrossRef] [PubMed]
- Li, X.F.; Duan, X.Y.; Fan, T.Y. Elastic field for a straight dislocation in a decagonal quasicrystal. J. Phys.-Condens. Matter 1999, 11, 703–711. [Google Scholar] [CrossRef]
- Li, X.F.; Fan, T.Y.; Sun, Y.F. A decagonal quasicrystal with a Griffith crack. Philos. Mag. A 1999, 79, 1943–1952. [Google Scholar]
- Chen, W.Q.; Ma, Y.L.; Ding, H.J. On three-dimensional elastic problems of one dimensional hexagonal quasicrystal bodies. Mech. Res. Commun. 2004, 31, 633–641. [Google Scholar] [CrossRef]
- Liu, G.T.; Fan, T.Y.; Guo, R.P. Governing equations and general solutions of plane elasticity of one-dimensional quasicrystals. Int. J. Solids Struct. 2004, 41, 3949–3959. [Google Scholar] [CrossRef]
- Li, L.H.; Fan, T.Y. Complex function method for solving notch problem of point 10 two-dimensional quasicrystal based on the stress potential function. J. Phys.-Condens Matter 2006, 18, 10631–10641. [Google Scholar] [CrossRef]
- Wang, X.; Pan, E. Analytical solutions for some defect problems in 1D hexagonal and 2D octagonal quasicrystals. Pramana-J. Phys. 2008, 70, 911–933. [Google Scholar] [CrossRef]
- Gao, Y.; Xu, S.P.; Zhao, B.S. Boundary conditions for plate bending in one dimensional hexagonal quasicrystals. J. Elast. 2007, 86, 221–233. [Google Scholar] [CrossRef]
- Gao, Y.; Ricoeur, A. The refined theory of one-dimensional quasi-crystals in thick plate structures. J. Appl. Mech. 2011, 78, 031021. [Google Scholar] [CrossRef]
- Coddens, G. On the problem of the relation between phason elasticity and phason dynamics in quasicrystals. Eur. Phys. J. B 2004, 54, 37–65. [Google Scholar] [CrossRef]
- Wang, J.B.; Mancini, L.; Wang, R.H.; Gastaldi, J. Phonon- and phason-type spherical inclusions in icosahedral quasicrystals. J. Phys.-Condens. Matter 2003, 15, L363–L370. [Google Scholar] [CrossRef]
- Guo, J.H.; Zhang, Z.Y.; Xing, Y.M. Antiplane analysis for an elliptical inclusion in 1D hexagonal piezoelectric quasicrystal composites. Philos. Mag. 2016, 96, 349–369. [Google Scholar] [CrossRef]
- Radi, E.; Mariano, P.M. Stationary straight cracks in quasicrystals. Int. J. Fract. 2010, 166, 102–120. [Google Scholar] [CrossRef]
- Radi, E.; Mariano, P.M. Steady-state propagation of dislocations in quasi-crystals. Proc. R. Soc. A-Math. Phys. 2011, 467, 3490–3508. [Google Scholar] [CrossRef]
- Mariano, P.M.; Planas, J. Phason self-actions in quasicrystals. Physica D 2013, 249, 24946–24957. [Google Scholar] [CrossRef]
- Li, X.Y. Fundamental solutions of penny-shaped and half infinite plane cracks embedded in an infinite space of one dimensional hexagonal quasi-crystal under thermal loading. Proc. R. Soc. A-Math. Phys. 2013, 469, 20130023. [Google Scholar] [CrossRef]
- Li, X.Y. Three-dimensional thermo-elastic general solutions of one-dimensional hexagonal quasi-crystal and fundamental solutions. Phys. Lett. A 2012, 376, 2004–2009. [Google Scholar] [CrossRef]
- Li, X.Y. Elastic field in an infinite medium of one-dimensional hexagonal quasicrystal with a planar crack. Int. J. Solids Struct. 2014, 51, 1442–1455. [Google Scholar] [CrossRef]
- Li, W.; Chai, Y.Z. Anti-plane problem analysis for icosahedral quasicrystals under shear loadings. Chin. Phys. B 2014, 23, 116201. [Google Scholar] [CrossRef]
- Sladek, J.; Sladek, V.; Pan, E. Bending analyses of 1D orthorhombic quasicrystal plates. Int. J. Solids Struct. 2013, 50, 3975–3983. [Google Scholar] [CrossRef]
- Wollgarten, M.; Beyss, M.; Urban, K.; Liebertz, H.; Koster, U. Direct evidence for plastic deformation of quasicrystals by means of a dislocationmechanism. Phys. Rev. Lett. 1993, 71, 549–552. [Google Scholar] [CrossRef] [PubMed]
- Feuerbacher, M.; Bartsch, M.; Grushko, B.; Messerschmidt, U.; Urban, K. Plastic deformation of decagonal Al-Ni-Co quasicrystals. Philos. Mag. Lett. 1997, 76, 369–376. [Google Scholar] [CrossRef]
- Messerschmidt, U.; Bartsch, M.; Feuerbacher, M.; Geyer, B.; Urban, K. Friction mechanism of dislocation motion in icosahedral Al-Pd-Mn quasicrystals. Philos. Mag. A 1999, 79, 2123–2135. [Google Scholar] [CrossRef]
- Schall, P.; Feuerbacher, M.; Bartsch, M.; Messerschmidt, U.; Urban, K. Dislocation density evolution upon plastic deformation of Al-Pd-Mn single quasicrystals. Philos. Mag. Lett. 1999, 79, 785–796. [Google Scholar] [CrossRef]
- Geyer, B.; Bartsch, M.; Feuerbacher, M.; Urban, K.; Messerschmidt, U. Plastic deformation of icosahedral Al-Pd-Mn single quasicrystals I. Experimental results. Philos. Mag. A 2000, 80, 1151–1163. [Google Scholar] [CrossRef]
- Rosenfeld, R.; Feuerbacher, M. Study of plastically deformed icosahedral Al-Pd-Mn single quasicrystals by transmission electron microscopy. Philos. Mag. Lett. 1995, 72, 375–784. [Google Scholar] [CrossRef]
- Caillard, D.; Vanderschaeve, G.; Bresson, L.; Gratias, D. Transmission electron microscopy study of dislocations and extended defects in as-grown icosahedral Al-Pd-Mn single grains. Philos. Mag. A 2000, 80, 237–253. [Google Scholar] [CrossRef]
© 2017 by the authors. Licensee MDPI, Basel, Switzerland. This article is an open access article distributed under the terms and conditions of the Creative Commons Attribution (CC BY) license (http://creativecommons.org/licenses/by/4.0/).



