Improvement in the Photorefractive Response Speed and Mechanism of Pure Congruent Lithium Niobate Crystals by Increasing the Polarization Current
Abstract
:1. Introduction
2. Materials and Methods
3. Results and Discussion
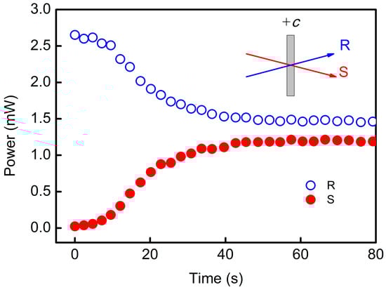
3.1. Photorefractive Response Time and Diffraction Efficiency
3.2. Light Erasing Behavior and Amplification
3.3. Absorption Spectra
4. Conclusions
Acknowledgments
Author Contributions
Conflicts of Interest
References
- Räuber, A. Current Topics in Materials Science; Kaldis, E., Ed.; North Holland Publishing Company: Amsterdam, The Netherlands, 1978; Volume 1. [Google Scholar]
 - Günter, P.; Huignard, J.P. Photorefractive materials and their applications vols I and II (Heidelberg: Springer). Top. Appl. Phys. 1989. [Google Scholar] [CrossRef]
 - Hesselink, L.; Orlov, S.S.; Liu, A.; Akella, A.; Lande, D.; Neurgaonkar, R.R. Photorefractive materials for nonvolatile volume holographic data storage. Science 1998, 282, 1089–1094. [Google Scholar] [CrossRef] [PubMed]
 - Tay, S.; Blanche, P.A.; Voorakaranam, R.; Tunç, A.V.; Lin, W.; Rokutanda, S.; Gu, T.; Flores, D.; Wang, P.; Li, G.; et al. An updatable holographic three-dimensional display. Nature 2008, 451, 694–698. [Google Scholar] [CrossRef] [PubMed]
 - Blanche, P.A.; Bablumian, A.; Voorakaranam, R.; Christenson, C.; Lin, W.; Gu, T.; Flores, D.; Wang, P.; Hsieh, W.Y.; Kathaperumal, M.; et al. Holographic three-dimensional telepresence using large-area photorefractive polymer. Nature 2010, 468, 80–83. [Google Scholar] [CrossRef] [PubMed]
 - Köber, S.; Salvador, M.; Meerholz, K. Organic photorefractive materials and applications. Adv. Mater. 2011, 23, 4725–4763. [Google Scholar] [CrossRef]
 - Tsutsumi, N.; Kinashi, K.; Sakai, W.; Nishide, J.; Kawabe, Y.; Sasabe, H. Real-timethree-dimensional holographic display using a monolithic organic compound dispersed film. Opt. Mater. Express 2012, 2, 1003–1010. [Google Scholar] [CrossRef]
 - Tsutsumi, N.; Kinashi, K.; Tada, K.; Fukuzawa, K.; Kawabe, Y. Fully updatable three-dimensional holographic stereogram display device based on organic monolithic compound. Opt. Express 2013, 21, 19880–19884. [Google Scholar] [CrossRef] [PubMed]
 - Giang, H.N.; Kinashi, K.; Sakai, W.; Tsutsumi, N. Photorefractive response and real-time holographic application of a poly(4-(diphenylamino)benzylacrylate)-based composite. Polym. J. 2013, 46, 59–66. [Google Scholar] [CrossRef]
 - Sasaki, T.; Ikegami, M.; Abe, T.; Miyazaki, D.; Kajikawa, S.; Naka, Y. Real-timedynamic hologram in photorefractive ferroelectric liquid crystal with two-beam coupling gain coefficient of over 800 cm−1 and response time of 8 ms. Appl. Phys. Lett. 2013, 102, 063306. [Google Scholar] [CrossRef]
 - Broderick, N. Lithium Niobate. Nature Materials Update. 2002. Available online: http://www.nature.com/materials/news/features/021107/portal/m021031-6.html (accessed on 20 September 2017).
 - Papazoglou, D.G.; Loulakis, M.; Siganakis, G.; Vainos, N.A. Holographic read-write projector of video images. Opt. Express 2002, 10, 280–285. [Google Scholar] [CrossRef] [PubMed]
 - Shin, S.H.; Javidi, B. Speckle-reduced three-dimensional volume holographic display by use of integral imaging. Appl. Opt. 2002, 41, 2644–2649. [Google Scholar] [CrossRef] [PubMed]
 - Kong, Y.F.; Liu, S.G.; Xu, J.J. Recent advances in the photorefraction of doped lithium niobate crystals. Materials 2012, 5, 1954–1971. [Google Scholar] [CrossRef]
 - Phillips, W.; Amodei, J.J.; Staebler, D.L. Optical and holographic storage properties of transition metal doped lithium niobate. RCA Rev. 1972, 33, 94–109. [Google Scholar]
 - McMillen, D.K.; Hudson, T.D.; Wagner, J.; Singleton, J. Holographic recording in specially doped lithium niobate crystals. Opt. Express 1998, 2, 491–502. [Google Scholar] [CrossRef] [PubMed]
 - Dong, Y.F.; Liu, S.G.; Kong, Y.F.; Chen, S.L.; Rupp, R.; Xu, J.J. Fast photorefractive response of vanadium-doped lithium niobate in the visible region. Opt. Lett. 2012, 37, 1841–1843. [Google Scholar] [CrossRef] [PubMed]
 - Tian, T.; Kong, Y.F.; Liu, S.G.; Li, W.; Wu, L.; Chen, S.L.; Xu, J.J. Photorefraction of molybdenum-doped lithium niobate crystals. Opt. Lett. 2012, 37, 2679–2681. [Google Scholar] [CrossRef] [PubMed]
 - Schirmer, O.F.; Thiemann, O.; Wöehlecke, M. Defects in LiNbO3. I. Experimental aspects. J. Phys. Chem. Solids 1991, 52, 185–200. [Google Scholar] [CrossRef]
 - Akhmadullin, I.S.; Golenishchev-Kutuzov, V.A.; Migachev, S.A. Electronic structure of deep centers in LiNbO3. Phys. Solid State 1998, 40, 1012–1018. [Google Scholar] [CrossRef]
 - Yan, W.B.; Kong, Y.F.; Shi, L.H.; Sun, L.; Liu, H.D.; Li, X.C.; Zhao, D.; Xu, J.J.; Chen, S.L.; Zhang, L.; et al. Influence of composition on the photorefractive centers in pure LiNbO3 at low light intensity. Appl. Opt. 2006, 45, 2453–2458. [Google Scholar] [CrossRef] [PubMed]
 - Yan, W.B.; Shi, L.H.; Chen, H.J.; Li, Y.X.; Kong, Y.F. The UV-light-induced absorption in pure LiNbO3 investigated by varying compositions. J. Phys. D Appl. Phys. 2008, 41, 085410. [Google Scholar] [CrossRef]
 - Lüdtke, F.; Waasem, N.; Buse, K.; Sturman, B. Light-induced charge-transport in undoped LiNbO3 crystals. Appl. Phys. B 2011, 105, 35–50. [Google Scholar] [CrossRef]
 - Pei, Z.; Hu, Q.; Kong, Y.F.; Liu, S.G.; Chen, S.L.; Xu, J.J. Investigation on p-type lithium niobate crystals. AIP Adv. 2011, 1, 032171. [Google Scholar] [CrossRef]
 - Tian, T.; Kong, Y.F.; Liu, H.D.; Liu, S.G.; Li, W.; Chen, S.L.; Xu, J.J.; Xu, J.Y.; Zeng, H.B. Fabrication and formation mechanism of p-type lithium niobate crystals by molybdenum doping and polarization. J. Mater. Sci. Mater. Electron. 2016, 27, 5886–5891. [Google Scholar] [CrossRef]
 - Jungen, R.; Angelow, G.; Laeri, F.; Grabmaier, C. Efficient ultraviolet photorefraction in LiNbO3. Appl. Phys. A 1992, 55, 101–103. [Google Scholar] [CrossRef]
 - Xu, J.J.; Zhang, G.Y.; Li, F.F.; Zhang, X.Z.; Sun, Q.; Liu, S.M.; Song, F.; Kong, Y.F.; Chen, X.J.; Qiao, H.J.; et al. Enhancement of ultraviolet photorefraction in highly magnesium-doped lithium niobate crystals. Opt. Lett. 2000, 25, 129–131. [Google Scholar] [CrossRef] [PubMed]
 - Kong, Y.F.; Wu, S.Q.; Liu, S.G.; Chen, S.L.; Xu, J.J. Fast photorefractive response and high sensitivity of Zr and Fe codoped LiNbO3 crystals. Appl. Phys. Lett. 2008, 92, 251107. [Google Scholar] [CrossRef]
 - Yan, W.B.; Shi, L.H.; Chen, H.J.; Zhang, X.Z.; Kong, Y.F. Investigations on the UV photorefractivity of LiNbO3:Hf. Opt. Lett. 2010, 35, 601–603. [Google Scholar] [CrossRef] [PubMed]
 - Staebler, D.L.; Amodei, J.J. Coupled-wave analysis of holographic storage in LiNbO3. J. Appl. Phys. 1972, 43, 1042–1049. [Google Scholar] [CrossRef]
 - Bhatt, R.; Bhaumik, I.; Ganesamoorthy, S.; Bright, R.; Soharab, M.; Karnal, A.K.; Gupta, P.K. Control of intrinsic defects in lithium niobate single crystal for optoelectronic applications. Crystals 2017, 7, 23. [Google Scholar] [CrossRef]
 - Zhao, H.Q.; Wang, J.O.; Zhang, L.X.; Rong, Y.C.; Chen, J.; Ibrahim, K.; Xing, X.R. Effects of oxygen vacancy on the electronic structure and multiferroics in sol–gel derived Pb0.8Co0.2TiO3 thin films. Dalton Trans. 2013, 42, 10358–10364. [Google Scholar] [CrossRef] [PubMed]
 - Li, X.C.; Kong, Y.F.; Liu, H.D.; Sun, L.; Xu, J.J.; Chen, S.L.; Zhang, L.; Huang, Z.H.; Liu, S.G.; Zhang, G.Y. Origin of the generally defined absorption edge of non-stoichiometric lithium niobate crystals. Solid State Commun. 2007, 141, 113–116. [Google Scholar] [CrossRef]
 - Ketchum, J.L.; Sweeney, K.L.; Halliburton, L.E.; Armington, A.F. Vacuum annealing effects in lithium niobate. Phys. Lett. A 1983, 94, 450–453. [Google Scholar] [CrossRef]
 







| One-Center | Two-Center | ||||
|---|---|---|---|---|---|
| η0 | τ0 (s) | η1 | τ1 (s) | η2 | τ2 (s) | 
| 0.96 ± 0.006 | 1.65 ± 0.014 | 0.86 ± 0.003 | 1.23 ± 0.005 | 0.14 ± 0.005 | 5.28 ± 0.006 | 
© 2017 by the authors. Licensee MDPI, Basel, Switzerland. This article is an open access article distributed under the terms and conditions of the Creative Commons Attribution (CC BY) license (http://creativecommons.org/licenses/by/4.0/).
Share and Cite
Tian, T.; Yan, X.; Kong, Y.; Liu, H.; Zheng, D.; Liu, S.; Chen, S.; Xu, J.; Xu, J. Improvement in the Photorefractive Response Speed and Mechanism of Pure Congruent Lithium Niobate Crystals by Increasing the Polarization Current. Crystals 2017, 7, 368. https://doi.org/10.3390/cryst7120368
Tian T, Yan X, Kong Y, Liu H, Zheng D, Liu S, Chen S, Xu J, Xu J. Improvement in the Photorefractive Response Speed and Mechanism of Pure Congruent Lithium Niobate Crystals by Increasing the Polarization Current. Crystals. 2017; 7(12):368. https://doi.org/10.3390/cryst7120368
Chicago/Turabian StyleTian, Tian, Xiaodong Yan, Yongfa Kong, Hongde Liu, Dahuai Zheng, Shiguo Liu, Shaolin Chen, Jingjun Xu, and Jiayue Xu. 2017. "Improvement in the Photorefractive Response Speed and Mechanism of Pure Congruent Lithium Niobate Crystals by Increasing the Polarization Current" Crystals 7, no. 12: 368. https://doi.org/10.3390/cryst7120368
APA StyleTian, T., Yan, X., Kong, Y., Liu, H., Zheng, D., Liu, S., Chen, S., Xu, J., & Xu, J. (2017). Improvement in the Photorefractive Response Speed and Mechanism of Pure Congruent Lithium Niobate Crystals by Increasing the Polarization Current. Crystals, 7(12), 368. https://doi.org/10.3390/cryst7120368
        
                                                
