Abstract
We report on the single crystal growth of the single-layer perovskite cobaltate LaSrCoO4 that was grown by the optical floating zone method using high oxygen pressures. Phase purity and single crystallinity were confirmed by X-ray diffraction techniques. The pure Co3+ oxidation state was confirmed by X-ray absorbtion spectroscopy measurements. A transition to a spin glass state is observed at ∼7 K in magnetic susceptibility and specific heat measurements.
1. Introduction
After the discovery of high temperature superconductivity (HTSC) in the cuprates, transition metal oxides with single-layer perovskite structure have attracted enormous attention. A universal property of these HTSC cuprates is an hourglass-shaped magnetic excitation spectrum in energy–momentum space. Therefore, the discovery of a similar spectrum in the isostructural (but insulating) cobaltates La2−xSrxCoO4 (1/3 < x < 1/2) has attracted considerable attention recently [1,2,3].
Fermi surface effects can be neglected in these insulators, and therefore it was thought that charge stripes are responsible for the hourglass spectrum [1]. Hard X-ray diffraction measurements for x = 1/3 [3] and neutron measurements for x = 0.4 [2], however, were not able to detect any charge stripes. Instead, checkerboard charge correlations were detected, and the hourglass spectrum could be explained in by a novel nano phase separation scenario based on La2CoO4-like undoped clusters and La1.5Sr0.5CoO4-like checkerboard charge ordered clusters [2,3,4,5,6]. Nevertheless, the discussion of the possible presence or absence of additional fractions of charge stripes in these cobaltates still continues [7].
The undoped parent compound La2CoO4 is an antiferromagnetic insulator with a Néel temperature that amounts to = 275 K [8]. The Néel temperature is suppressed by hole doping x and, finally, incommensurate magnetic ordering appears for x > 1/3 [5]. At and below half-doping, the Co3+ ions are in the nonmagnetic (S = 0) low-spin (LS) state [5,9,10], and a partial population of the (S = 2) high-spin (HS) state was observed for higher Sr-concentrations x [5]. Additionally, for 1/2 < x ≤ 0.9, the hour-glass shaped magnetic excitations disappear [5], which was interpreted as an indication of the importance of nearest-neighbouring exchange interactions (within undoped Co2+ clusters) for generating the upper part of the hour-glass spectrum [5]. So far, single crystals with Sr-content x = 1 (i.e., LaSrCoO4) were not investigated in detail, due to the difficulties in growing sizeable single crystals for inelastic neutron scattering experiments that also have pure Co3+ oxidation states.
Studies reported in the literature on LaSrCoO4 show controversial results. A study on polycrystals reveals a spin glass transition below about 10 K [11]. Other studies on single- and polycrystalline samples indicate a paramagnetic state [12,13]. Note that there is no characterization of the Co valence state in these compounds. Insufficient Sr or oxygen content will result in Co2+ impurities, and a small amount of Co2+ impurities hampers the study of the intrinsic magnetic properties of LaSrCoO4. Moreover, small amounts of other Ruddlesden-Popper phases (e.g., double-layer perovskite phases) might appear as intergrowths which dominate the magnetic properties of the studied samples. Single crystal growth of LaSrCoO4 is reported in References [12,13], but the growing speed is rather fast and only small pieces of single crystalline samples were obtained. The lack of large impurity-free single crystals renders the investigation of LaSrCoO4 by means of inelastic neutron scattering difficult. So far, X-ray absorbtion spectroscopy (XAS) measurements on polycrystalline Co2+-free samples indicate a sizeable population of the Co3+ HS state in LaSrCoO4 [5].
Here, we report the successful growth of large high-quality LaSrCoO4 single crystals using the high O2-pressure floating zone technique. X-ray diffraction and magnetic susceptibility measurements indicate the absence of impurity phases in our single crystals. A cusp at ∼7 K can be observed in zero-field-cooled (ZFC) susceptibility measurements. This feature can be suppressed by higher magnetic fields H. However, no λ-like anomaly is observed in specific heat measurements. Our observations are indicative of a spin-glass transition in LaSrCoO4, which is related to Co3+ ions in the HS state.
2. Results and Discussion
Single crystals of LaSrCoO4 were grown using a high pressure floating zone furnace that can reach pressures of up to 150 bar. The starting materials La2O3, SrCO3, and Co3O4 were mixed in stoichiometric molar ratios. After thorough grinding, the mixture was pressed into rods of ∼5 mm in diameter and up to ∼14 cm in length. These rods were sintered at 1100 °C in air for several days with several intermediate re-grindings. The subsequent crystal growth was performed under an O2 pressure of 150 bar with a growth speed of 2 mm/h. Thus, black shiny single crystals of ∼60 mm length could be obtained (see Figure 1). The crystal growth direction was close to the crystallographic [1 1 0]. The composition of the obtained single crystal was analyzed by inductively coupled plasma (ICP) measurements, and the molar ratio La:Sr:Co that was indicated by these measurements amounts to 1.012(3):1.003(3):1, which is close to stoichiometric. Therefore, the chemical composition LaSrCoO4+δ could be confirmed within the expected accuracy of these measurements. The powder XRD pattern of our crushed and pulverized single crystals of LaSrCoO4 are shown in Figure 2a. A Rietveld fit was made using the FullProf software. The crystal structure appears to be tetragonal, with space group with lattice parameters a = 3.80102(3) Å and c = 12.47669(13) Å. No impurity phase was detectable in these XRD measurements. The refinement reliability factors are = 4.74%, = 6.08%, and = 2.17.
Figure 1.
(Color online) A photo of the as-grown LaSrCoO4 crystal. The last ∼6 cm (on the right side) are single crystalline—i.e., roughly the part starting from number 4 on the ruler to somewhat below number 10 where the growth was finished.
Figure 2.
(Color online) (a) Rietveld refinement of an XRD pattern of LaSrCoO4 measured at room temperature; (b) Laue diffraction pattern of LaSrCoO4. (c) X-ray absorbtion spectroscopy (XAS) spectra of LaSrCoO4 together with reference spectra of a Co3+ reference sample (LaCoO3) [14] and of another Co2+ reference sample (CoO). These XAS spectra unambiguously show that our single crystals contain no detectable Co2+ impurities.
The single crystal quality was further confirmed by Laue diffraction. The measured diffraction patterns are shown in Figure 2b. All Bragg peaks could be indexed using the tetragonal symmetry with space group I4/mmm.
Using soft X-rays at the synchrotron, XAS measurements have been performed on our LaSrCoO4 single crystals at room-temperature (see Figure 2c). The XAS spectrum of a CoO reference sample is shown below. Within the accuracy of these measurements, there are almost no (less than ∼1%) Co2+ impurities visible in our XAS spectra. Additionally, we show LaCoO3 reference spectra [14], which are at the same energy as those of our LaSrCoO4 single crystals. Hence, our XAS measurements confirm that we synthesized almost-pure Co3+ LaSrCoO4 single crystals.
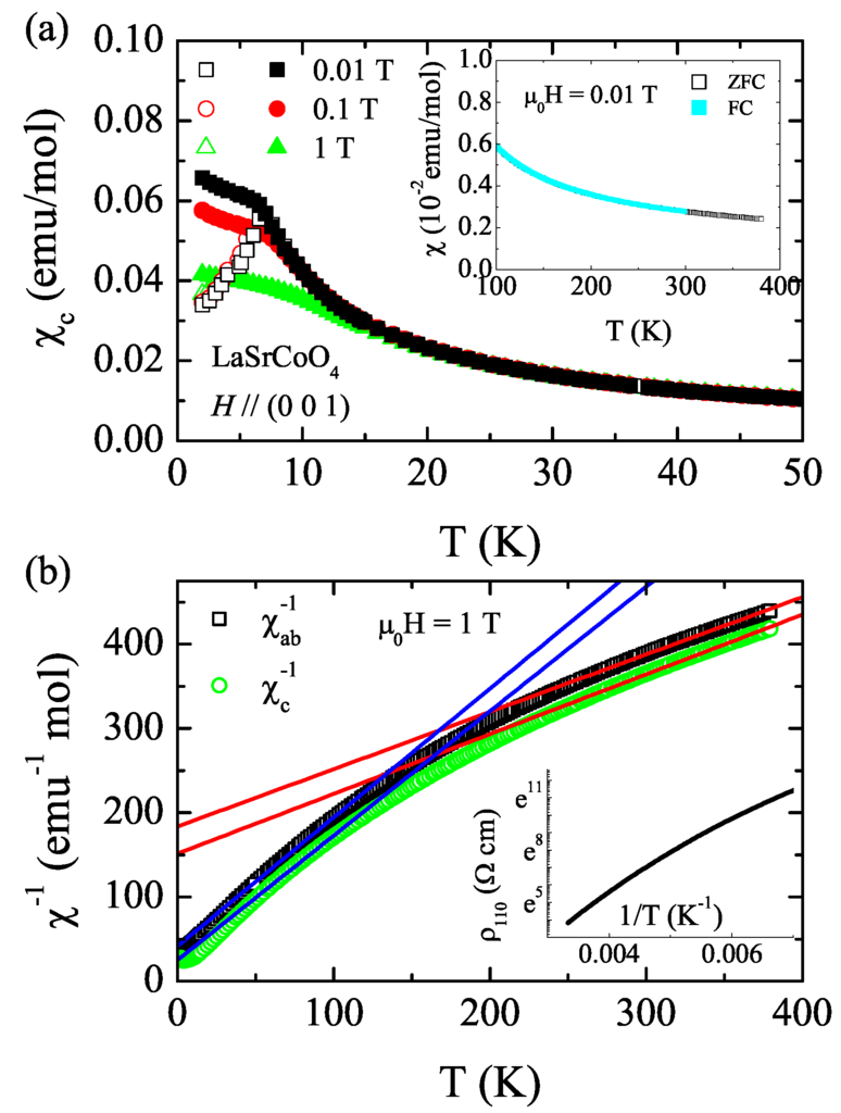
The magnetic susceptibility below 50 K is plotted in Figure 3a. For measurement of , magnetic fields with magnitudes of 0.01, 0.1, and 1 T were applied along the crystallographic c-direction. As can be seen in the ZFC measurements of , a cusp-like feature appears at ∼ 7 K concomitant with a bifurcation of ZFC and FC measurements. can be suppressed with increasing magnetic field within the range of 0.01 T to 1 T from about 7.1 K to 4.0 K. Such a behavior might be indicative of a ferromagnetic or a spin glass transition. Furthermore, in our single crystals, any intergrowths of other Ruddlesden-Popper phases which are known to exhibit ferro-/ferri-magnetic transitions around 250 K [11,13] are absent in our single crystals, as is shown in the inset of Figure 3a. All of these measurements indicate the high quality of our crystals.
Figure 3.
(Color online) (a) Magnetic susceptibility of our LaSrCoO4 single crystals measured with applied magnetic field of 0.01, 0.1, and 1 T along the [0 0 1]-direction (T < 50 K). The inset shows the entire measured temperature range for = 0.01 T, and indicates the absence of typical ferro-/ferri-magnetic impurity phases or intergrowths. Open and solid symbols represent the zero-field-cooled (ZFC) and FC measurements, respectively. (b) Temperature dependence of the inverse magnetic susceptibility and with magnetic field along the [0 0 1]- and [1 1 0]-direction, respectively. The red curve is a fit to the Curie–Weiss (in the range of 250 K and 380 K), whereas the blue curve is a corresponding fit in the range of 50 K to 100 K. The inset shows the temperature dependence of the electrical resistivity for a current along the [1 1 0]-direction.
The inverse magnetic susceptibility of LaSrCoO4 is shown in Figure 3b. We have fitted the data to the Curie-Weiss function :
in two temperature ranges 50 K < T < 100 K and 250 K < T < 380 K. A temperature-independent term was not included. These Curie-Weiss fits yield effective moments = 3.43(22) /f.u. and 2.28(13) /f.u., = 3.36(20) /f.u. and 2.33(15) /f.u., as well as Weiss temperatures = −269(2) K and −27.1(4) K, = −213(2) K and −16.9(4) K for the high and low temperature regimes, respectively. Basically, these results would be in accordance with a partial population of the Co3+ HS state, which increases with temperature.
In Figure 3b, the anisotropy between and is also visible. An anisotropy of χ has been already observed in the lower hole-doped regime of La2−xSrxCoO4 with 0.3 0.8 [15]. Based on the crystal field splitting for an elongated CoO6 octahedron, the Co3+ HS and IS state will result in , while Co2+ HS will result in [15]. This interpretation accounts for the anisotropy observed in the lower hole-doped regime of La2−xSrxCoO4, which is mainly hosting Co2+ HS ions and Co3+ LS ions [15]. From our structural refinement, the basal Co-O1 and apical Co-O2 distances amount to 1.9 Å and 2.1 Å, respectively. Our results indicate that the CoO6 octahedron is elongated in the c-direction. Thus, our observed anisotropy in would be consistent with the occurrence of a Co3+ HS or IS state. Wang et al. have shown that the IS state is unlikely to be the ground state of LaSrCoO4 [16]. Instead, a mixture of HS and LS states can be expected. It is well known that in LaCoO3, the Co3+ spin state changes at around 100 K from the LS state at low temperatures to the (thermally excited) HS state above roughly 100 K. Assuming that the spin only moment for Co3+ HS ions amounts to 4.9 , we can roughly estimate the population of Co3+ HS state from our Curie-Weiss fits: we obtain populations of about 20 % and 50 % for low temperatures (∼75 K) and room-temperature, respectively.
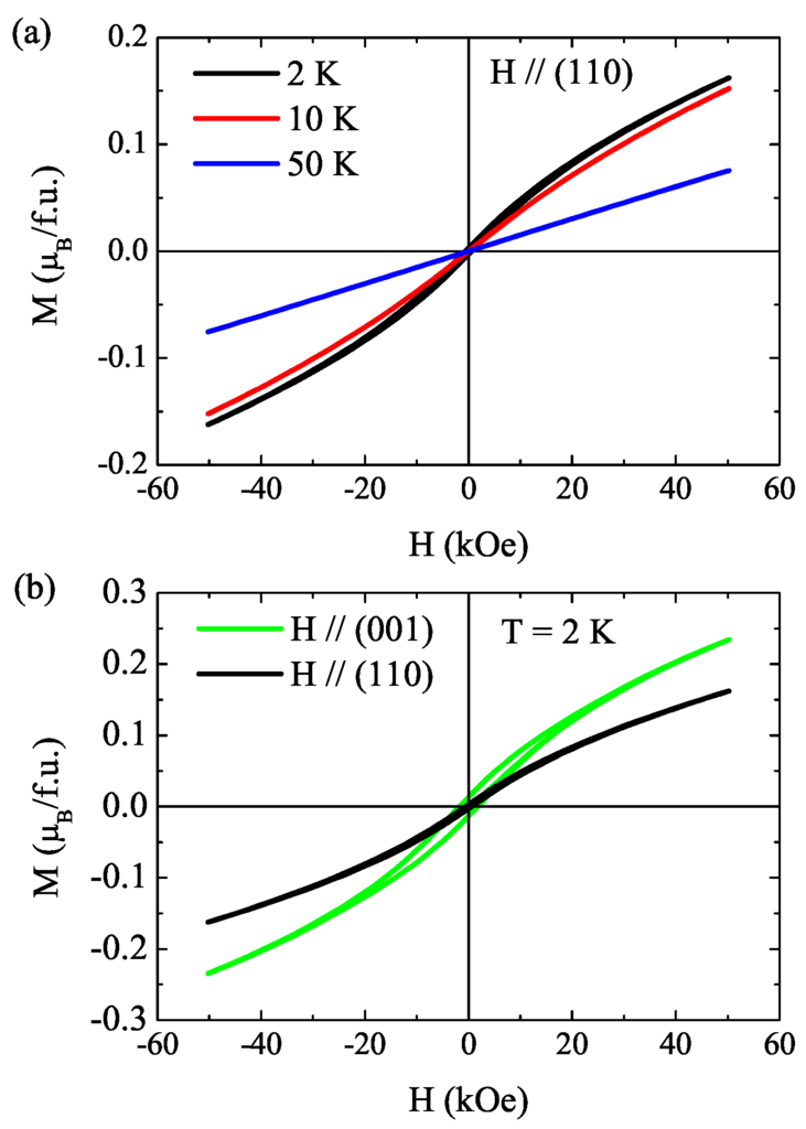
Figure 4a shows the isothermal in-plane magnetization measurements at 2 K, 10 K, and 50 K, respectively. A small hysteresis effect can be observed at 2 K with a remanence of 0.003 /f.u. and coercivity of about 550 Oe. The hysteresis effect is already absent for T = 10 K (above ). The magnetization curve becomes straight at 50 K, as can be expected for a paramagnetic state. The magnetization is small and does not saturate yet. This suggests that the ground state of LaSrCoO4 is a spin glass rather than a ferromagnetic state.
Figure 4.
(Color online) (a) Isothermal magnetization measurement at different temperatures with the magnetic field along the [1 1 0]-direction; (b) Comparison of the magnetization at 2 K for magnetic fields along the [0 0 1]-direction and the[1 1 0]-direction, respectively.
Figure 4b shows the direction-dependent comparison of the magnetization curves. The hysteresis effect is more pronounced in the c-direction (with remanence of 0.013 /f.u. and coercivity of 1800 Oe). The magnetization along the c-direction at the maximum applied magnetic field is about 40% larger than that along the [1 1 0]-direction, suggesting that the moment is preferably aligned along the c-direction.
Heat capacity measurements have been performed in order to study the low temperature magnetic anomaly. A dependence of is plotted in Figure 5a. No λ-like anomaly related to long-ranged magnetic ordering can be observed at . The red curve shows a fit according to the equation
The fit gives a nonzero γ = 0.028(1) J/mol-K2 and β = 2.16(2) J/mol-K4, thus yielding a Debye temperature = = 398 K (with the number of atoms N and the ideal gas constant R). LaSrCoO4 shows an insulating behavior, as shown in the inset of Figure 3b. This shows that the nonzero γ term does not arise from an electronic contribution. Thus, it could be attributed to the spin glass state which has a highly degenerate ground state [17,18]. In order to estimate the magnetic contribution , the phonon contribution has been subtracted from . The latter contribution was obtained by a polynomial fit above 20 K (see Figure 5b). The magnetic entropy has been integrated from 3 K to 30 K. Temperature dependence of is plotted in the inset of Figure 5a. Assuming a Co3+ HS population of ∼20 % at low temperatures, the expected entropy release amounts to 0.2Rln(2S + 1) = 2.67 J/mol-K, while at is only 0.21 J/mol-K, and reaches 0.53 J/mol-K (∼20% of the total entropy) at 20 K. The large difference between the experimental and estimated value could be indicative for short-ranged magnetic fluctuations well above and substantial zero-point entropy due to the highly degenerated ground state.
Figure 5.
(Color online) (a) Cp/T vs. plot at low temperatures. The red curve is a fit as described in the text. The inset shows the entropy change below 30 K; (b) Subtraction of the phonon component from Cp/T by a polynomial fit.
3. Materials and Methods
Floating zone single crystal growth has been performed using a one-mirror floating zone furnace from Scientific Instruments Dresden GmbH (Dresden, Germany). Using a sapphire cell, gas pressures of up to 150 bar can be applied during the growth in this mirror furnace that is equipped with a Xe lamp and with one single ellipsoidal mirror that focuses the light to the sample position within the sapphire cell.
Room temperature powder X-ray diffraction (XRD) measurements have been performed on a Bruker D8 Discover A25 (Karlsruhe, Germany) X-ray diffractometer using Cu Kα1 radiation.
Magnetic susceptibility measurements have been performed using a Quantum Design Magnetic Property Measuring System (MPMS) (San Diego, CA, USA).
Resistivity and specific heat capacity were measured in a Quantum Design Physical Property Measuring System (PPMS) (San Diego, CA, USA).
The soft X-ray absorption spectroscopy (XAS) of LaSrCoO4 were measured beamline 08B at the NSRRC in Taiwan.
4. Conclusions
We have successfully grown single crystals of the high oxidation state material LaSrCoO4. No impurity phase could be detected in XRD and magnetic susceptibility measurements. The magnetic anisotropy, , is consistent with a partial population of the Co3+ HS state. Magnetic susceptibility and specific heat measurements are indicative of a spin glass transition at of ∼7 K.
Acknowledgments
We thank the team of G. Auffermann for the ICP measurements.
Author Contributions
Alexander Christoph Komarek conceived and designed the experiments; Hanjie Guo and Alexander Christoph Komarek performed the experiments; Hanjie Guo analyzed the data; Zhiwei Hu and Tun-Wen Pi performed and analyzed the XAS measurements. Hanjie Guo, Liu Hao Tjeng and Alexander Christoph Komarek wrote the paper.
Conflicts of Interest
The authors declare no conflict of interest.
References
- Boothroyd, A.T.; Babkevich, P.; Prabhakaran, D.; Freeman, P.G. An hour-glass magnetic spectrum in an insulating, hole-doped antiferromagnet. Nature 2011, 471, 341–344. [Google Scholar] [CrossRef] [PubMed]
- Drees, Y.; Lamago, D.; Piovano, A.; Komarek, A.C. Hour-glass magnetic spectrum in a stripeless insulating transition metal oxide. Nat. Commun. 2013, 4, 2449. [Google Scholar] [CrossRef] [PubMed]
- Drees, Y.; Li, Z.W.; Ricci, A.; Rotter, M.; Schmidt, W.; Lamago, D.; Sobolev, O.; Rütt, U.; Gutowski, O.; Sprung, M.; et al. Hour-glass magnetic excitations induced by nanoscopic phase separation in cobalt oxides. Nat. Commun. 2014, 5, 5731. [Google Scholar] [CrossRef] [PubMed]
- Guo, H.; Schmidt, W.; Tjeng, L.H.; Komarek, A.C. Charge correlations in cobaltates La2−xSrxCoO4. Phys. Status Solidi RRL 2015, 9, 580–582. [Google Scholar] [CrossRef]
- Li, Z.; Drees, Y.; Kuo, C.Y.; Guo, H.; Ricci, A.; Lamago, D.; Sobolev, O.; Rütt, U.; Gutowski, O.; Pi, T.W.; et al. Incommensurate spin correlations in highly oxidized cobaltates La2−xSrxCoO4. Sci. Rep. 2016, 6, 25117. [Google Scholar] [CrossRef] [PubMed]
- Li, Z.W.; Drees, Y.; Ricci, A.; Lamago, D.; Piovano, A.; Rotter, M.; Schmidt, W.; Sobolev, O.; Rütt, U.; Gutowski, O.; et al. Electronic and Magnetic Nano Phase Separation in Cobaltates La2−xSrxCoO4. J. Supercond. Novel Magn. 2016, 29, 727. [Google Scholar] [CrossRef]
- Babkevich, P.; Freeman, P.G.; Enderle, M.; Prabhakaran, D.; Boothroyd, A.T. Direct evidence for charge stripes in a layered cobalt oxide. Nat. Commun. 2016, 7, 11632. [Google Scholar] [CrossRef] [PubMed]
- Yamada, K.; Matsuda, M.; Endoh, Y.; Keimer, B.; Birgeneau, R.; Onodera, S.; Mizusaki, J.; Matsuura, T.; Shirane, G. Successive antiferromagnetic phase transitions in single-crystal La2CoO4. Phys. Rev. B 1989, 39, 2336–2343. [Google Scholar] [CrossRef]
- Chang, C.F.; Hu, Z.; Wu, H.; Burnus, T.; Hollmann, N.; Benomar, M.; Lorenz, T.; Tanaka, A.; Lin, H.J.; Hsieh, H.H.; et al. Spin Blockade, Orbital Occupation, and Charge Ordering in La1.5Sr0.5CoO4. Phys. Rev. Lett. 2009, 102, 116401. [Google Scholar] [CrossRef] [PubMed]
- Hollmann, N.; Haverkort, M.W.; Benomar, M.; Cwik, M.; Braden, M.; Lorenz, T. Evidence for a temperature-induced spin-state transition of Co3+ in La2−xSrxCoO4. Phys. Rev. B 2011, 83, 174435. [Google Scholar] [CrossRef]
- Shimada, Y.; Miyasaka, S.; Kumai, R.; Tokura, Y. Semiconducting ferromagnetic states in La1−xSr1+xCoO4. Phys. Rev. B 2006, 73, 134424. [Google Scholar] [CrossRef]
- Moritomo, Y.; Arima, T.h.; Tokura, Y. Electronic Structure of Layered Perovskite LaSrMO4 (M = Cr, Mn, Fe and Co). J. Phys. Soc. Jpn. 1995, 64, 4117–4120. [Google Scholar] [CrossRef]
- Chichev, A.V.; Dlouhá, M.; Vratislav, S.; Knížek, K.; Hejtmánek, J.; Maryško, M.; Veverka, M.; Jirák, Z.; Golosova, N.O.; Kozlenko, D.P.; et al. Structural, magnetic, and transport properties of the single-layered perovskites La2−xSrxCoO4 (x = 1.0 − 1.4). Phys. Rev. B 2006, 74, 134414. [Google Scholar]
- Haverkort, M.W.; Hu, Z.; Cezar, J.C.; Burnus, T.; Hartmann, H.; Reuther, M.; Zobel, C.; Lorenz, T.; Tanaka, A.; Brookes, N.B.; et al. Spin State Transition in LaCoO3 Studied Using Soft X-ray Absorption Spectroscopy and Magnetic Circular Dichroism. Phys. Rev. Lett. 2006, 97, 176405. [Google Scholar] [CrossRef] [PubMed]
- Hollmann, N.; Haverkort, M.W.; Cwik, M.; Benomar, M.; Reuther, M.; Tanaka, A.; Lorenz, T. Anisotropic susceptibility of La2−xSrxCoO4 related to the spin states of cobalt. New J. Phys. 2008, 10, 023018. [Google Scholar] [CrossRef]
- Wang, J.; Zhang, W.; Xing, D.Y. Magnetic structure of the layered perovskite LaSrCoO4. Phys. Rev. B 2000, 62, 14140–14144. [Google Scholar] [CrossRef]
- Wiebe, C.R.; Greedan, J.E.; Kyriakou, P.P.; Luke, G.M.; Gardner, J.S.; Fukaya, A.; Gat-Malureanu, I.M.; Russo, P.L.; Savici, A.T.; Uemura, Y.J. Frustration-driven spin freezing in the S = fcc perovskite Sr2MgReO6. Phys. Rev. B 2003, 68, 134410. [Google Scholar] [CrossRef]
- Bieringer, M.; Greedan, J.E.; Luke, G.M. Li4MgReO6: An S = 1/2 antiferromagnet exhibiting spin-glass behavior. Phys. Rev. B 2000, 62, 6521–6529. [Google Scholar] [CrossRef]
© 2016 by the authors; licensee MDPI, Basel, Switzerland. This article is an open access article distributed under the terms and conditions of the Creative Commons Attribution (CC-BY) license (http://creativecommons.org/licenses/by/4.0/).




