The Growth and Properties of Lead-Free Ferroelectric Single Crystals
Abstract
:1. Introduction
2. Growth, Properties and Phase Structure of Lead-Free Ferroelectric Single Crystals
2.1. NBT Based Single Crystals
2.1.1. Crystal Growth of NBT-BT


2.1.2. Phases and Domains in NBT


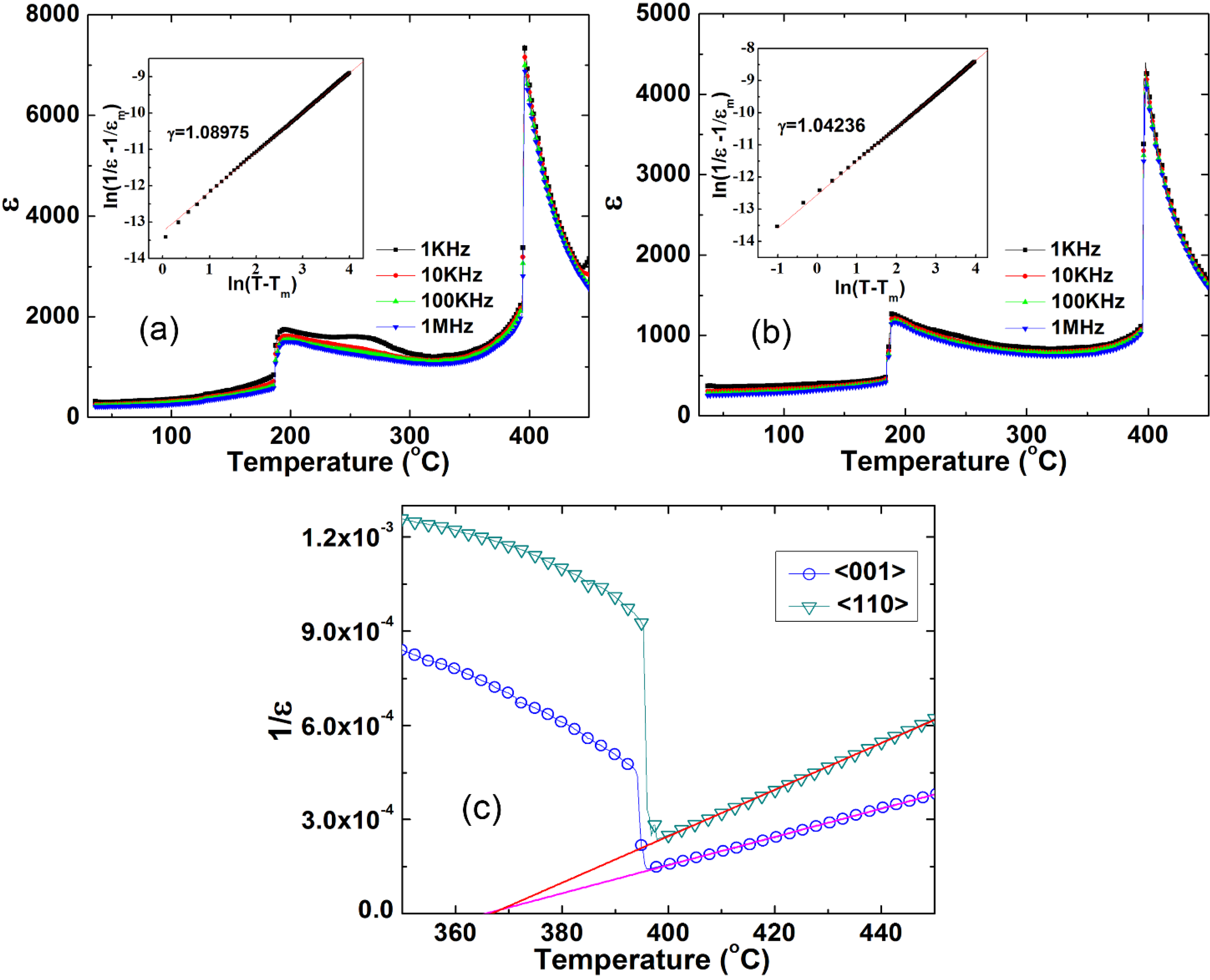
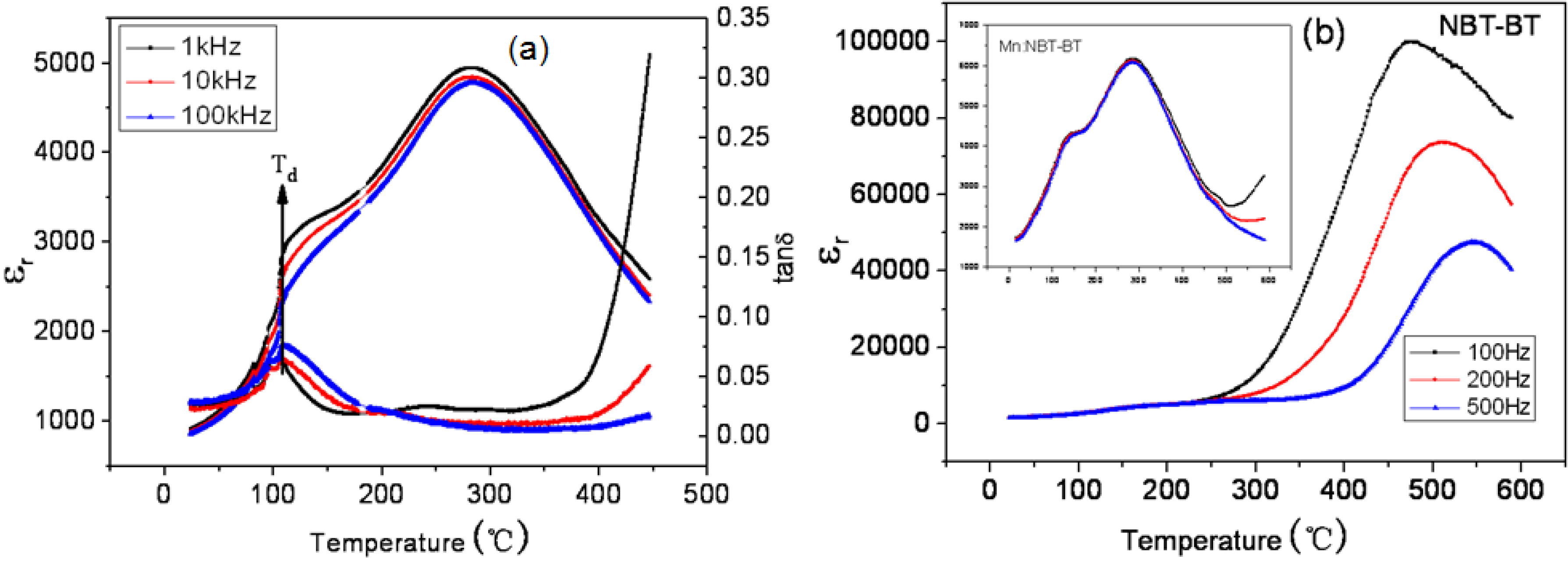
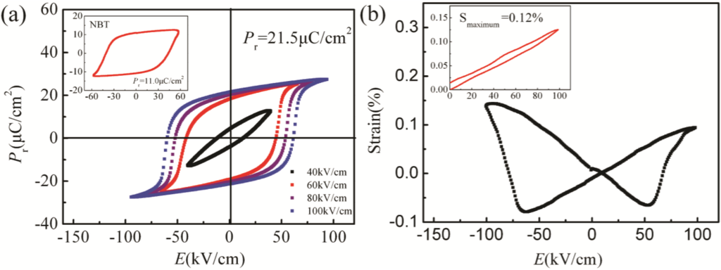
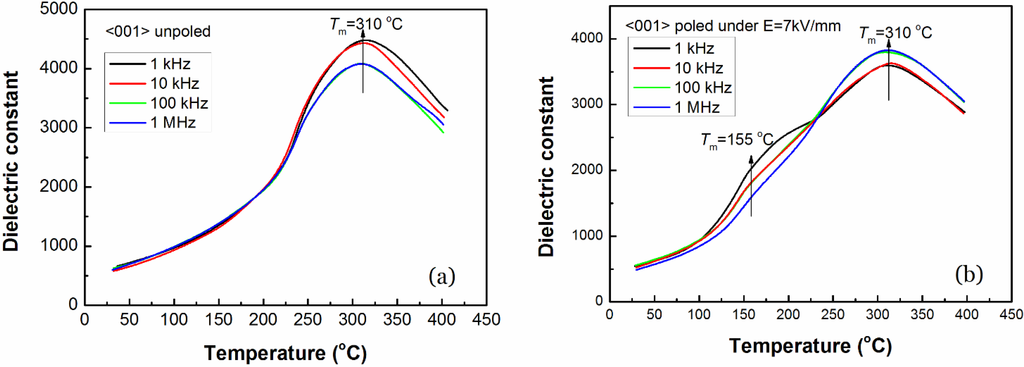
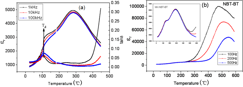
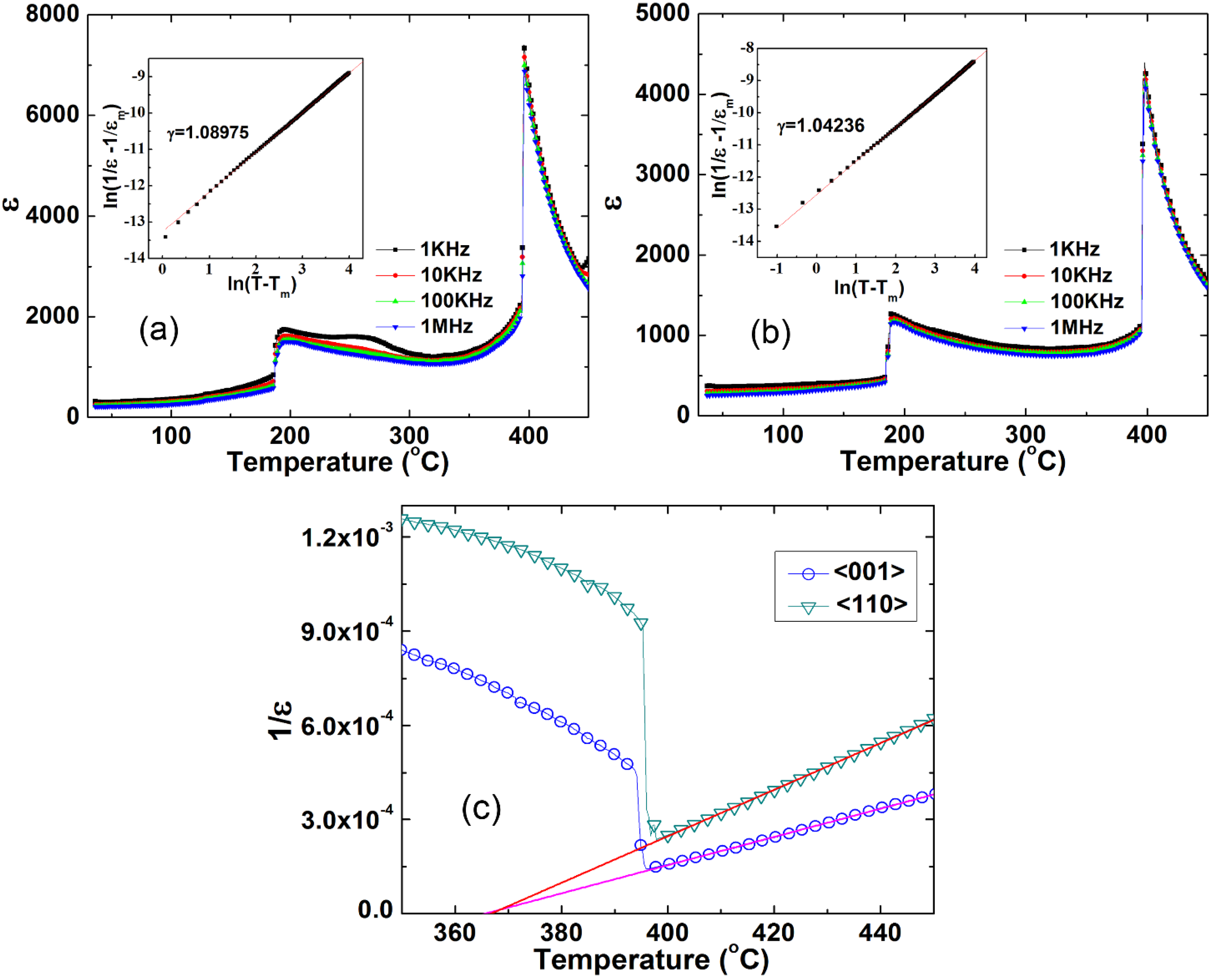
2.1.3. Dielectric, Piezoelectric, Ferroelectric Properties




| Orientation | Condition | εRM | tanθ | εm | Tm (°C) |
|---|---|---|---|---|---|
| <001> | unpoled | 805 | 0.040 | 4318 | 316 |
| poled | 683 | 0.031 | 4315 | 316 | |
| <110> | unpoled | 863 | 0.047 | 4160 | 317 |
| poled | 567 | 0.030 | 4154 | 318 | |
| <111> | unpoled | 910 | 0.046 | 4348 | 318 |
| poled | 435 | 0.038 | 4074 | 316 |
2.2. KNN Single Crystal
2.2.1. Crystal Growth of KNN

2.2.2. Phases and Domains in KNN

2.2.3. Dielectric, Piezoelectric, Ferroelectric Properties

| Orientation | εrt | εm | Pr (µC/cm2) | Ec (kV/mm−1) | d33 (pC/N) | Strain (%) | kt |
|---|---|---|---|---|---|---|---|
| (100)pc | 375 | 7407 | 7.2 | 0.84 | 145 | 0.025 | 0.69 |
| (110)pc | 423 | 4395 | 10.2 | 0.61 | 70 | 0.05 | 0.51 |


3. The Properties Modifications by Ions Doping and Defects Structure in Lead-Free Crystals
3.1. Mn-doped NBT-BT Single Crystals and Their Piezoelectric Properties



| Samples | d33 (pC/N) | kt (%) | k31 (%) | d31 (pC/N) | Pr | Ec (kV/mm) |
|---|---|---|---|---|---|---|
| PZT4 | 250 | 48 | 33 | 170 | – | – |
| NBT-BT | 280 | – | – | – | 16.44 | 3.27 |
| Mn:NBT-BT(Pt) | 287 | 56 | – | – | 35 | 2.67 |
| Mn:NBT-BT | 483 | 55.6 | 39.7 | 155 | 45.3 | 2.91 |
3.2. Eu-Doped NBT Single Crystals and Their Electrical Properties

3.3. Zn-doped NBT Single Crystals and Their Electrical Properties



4. Conclusions
Author Contributions
Conflicts of Interest
References
- Cross, L.E. Relaxor ferroelectrics. Ferroelectrics 1987, 76, 241–267. [Google Scholar] [CrossRef]
- Ye, Z.G. Relaxor ferroelectric complex perovskites: Structure, properties and phase transitions. Key Eng. Mater. 1998, 81, 155–156. [Google Scholar]
- Noheda, B.; Cox, D.E.; Shirane, G.; Gonzalo, J.A.; Cross, L.E.; Park, S.E. A monoclinic ferroelectric phase in the Pb(Zr1−xTix)O3 solid solution. Appl. Phys. Lett. 1999, 74, 2059–2061. [Google Scholar] [CrossRef]
- Noheda, B.; Cox, D.E.; Shirane, G.; Guo, R.; Jones, B.; Cross, L.E. Stability of the monoclinic phase in the ferroelectric perovskite Pb(Zr1−xTix)O3. Phys. Rev. B 2000, 63. [Google Scholar] [CrossRef]
- Guo, R.; Cross, L.E.; Park, S.E.; Noheda, B.; Cox, D.E.; Shirane, G. Origin of the high piezoelectric response in Pb(Zr1−xTix)O3. Phys. Rev. Lett. 2000, 84, 5423–5426. [Google Scholar] [CrossRef] [PubMed]
- Wada, S.; Yako, K.; Kakemoto, H.; Tsurumi, T.; Kiguchi, T. Enhanced piezoelectric properties of barium titanate single crystals with different engineered-domain sizes. J. Appl. Phys. 2005, 98. [Google Scholar] [CrossRef]
- Suchanicz, J.; Kwapulinshi, J. X-ray diffraction study of the phase transitions in Na0.5Bi0.5TiO3. Ferroelectrics 1995, 165, 249–253. [Google Scholar] [CrossRef]
- Suchanicz, J. Investigation of the phase transitions in Na0.5Bi0.5TiO3. Ferroelectrics 1995, 172, 455–458. [Google Scholar] [CrossRef]
- Suchanicz, J. Peculiarities of phase transitions in Na0.5Bi0.5TiO3. Ferroelectrics 1997, 190, 77–81. [Google Scholar] [CrossRef]
- Suchanicz, J.; Poparwski, R.; Maryjasik, S. Some properties of Na0.5Bi0.5TiO3. Ferroelectrics 1997, 192, 329–333. [Google Scholar] [CrossRef]
- Suchanicz, J. Behavior of Na0.5Bi0.5TiO3 ceramics in the A.C. electric fieled. Ferroelectrics 1998, 209, 561–568. [Google Scholar] [CrossRef]
- Isupov, V.; Pronin, I. Temperature dependence of birefringence and opalescence of Na0.5Bi0.5TiO3 crystals. Ferroelectr. Lett. 1984, 2, 205–208. [Google Scholar] [CrossRef]
- Jones, G.O.; Thomas, P.A. Investigation of the structure and phase transitions in the novel A-site substituted distorted perovskite compound Na0.5Bi0.5TiO3. Acta Crystallogr. Sect. B 2002, 58, 168–178. [Google Scholar] [CrossRef]
- Takenaka, T.; Maruyama, K.I.; Sakata, K. Na0.5Bi0.5TiO3-BaTiO3 system for lead-free piezoelectric ceramics. Jpn. J. Appl. Phys. 1991, 30, 2236–2239. [Google Scholar] [CrossRef]
- Chiang, Y.M.; Farrey, G.W.; Soukhojak, A.N. Lead-free high-strain single-crystal piezoelectrics in the alkaline-bismuth-titanate perovskite family. Appl. Phys. Lett. 1998, 73, 3683–3685. [Google Scholar] [CrossRef]
- Zhou, T.S.; Huang, R.X.; Shang, X.Z.; Peng, F.; Gu, H.S. Lead-free In2O3-doped (Bi0.5Na0.5)0.93Ba0.07TiO3 ceramics synthesized by direct reaction sintering. Appl. Phys. Lett. 2007, 90. [Google Scholar] [CrossRef]
- Feng, C.D.; Xiang, P.H.; Li, H.D. Electrical Properties of La-Doped (Na0.5Bi0.5)0.94Ba0.06TiO3 Ceramics. Jpn. J. Appl. Phys. 2003, 42, 7387–7391. [Google Scholar] [CrossRef]
- Zhu, M.K.; Liu, L.Y.; Hou, Y.D.; Wang, H.; Yan, H. Microstructure and Electrical Properties of MnO-Doped (Na0.5Bi0.5)0.92Ba0.08TiO3 Lead-Free Piezoceramics. J. Am. Ceram. Soc. 2007, 90, 120–124. [Google Scholar] [CrossRef]
- Wang, X.X.; Chan, H.L.W.; Choy, C.L. Piezoelectric and dielectric properties of CeO2-added 0.94NBT-0.06BT lead-free ceramics. Solid State Commun. 2003, 125, 395–399. [Google Scholar] [CrossRef]
- Yi, J.Y.; Lee, J.K.; Hong, K.S. The role of Cation Vacancies on Microstructure and Piezoelectricity of Lanthanum-Substituted NBT Ceramics. Jpn. J. Appl. Phys. 2004, 43, 6188–6192. [Google Scholar] [CrossRef]
- Herabut, A.; Safari, A. Processing and Electromechanical Properties of La-doped NBT Ceramics. J. Am. Ceram. Soc. 1997, 80, 2954–2958. [Google Scholar] [CrossRef]
- Nagata, H.; Takenaka, T. Additive effects on electrical properties of (Bi0.5Na0.5)TiO3 ferroelectric ceramics. J. Eur. Ceram. Soc. 2001, 21, 1299–1302. [Google Scholar] [CrossRef]
- Zhou, X.Y.; Gu, H.S.; Wang, T.Y.; Li, W.Y.; Zhou, T.S. Piezoelectric properties of Mn-doped (Na0.5Bi0.5)0.92Ba0.08TiO3 ceramics. Mater. Lett. 2005, 59, 1649–1652. [Google Scholar] [CrossRef]
- Ge, W.W.; Liu, H.; Zhao, X.Y.; Pan, X.M.; He, T.H.; Lin, D.; Xu, H.Q.; Luo, H.S. Growth and characterization of Na0.5Bi0.5TiO3-BaTiO3 lead-free piezoelectric crystal by the TSSG method. J. Alloy. Compd. 2008, 456, 503–507. [Google Scholar] [CrossRef]
- Sun, R.B.; Zhao, X.Y.; Zhang, Q.H.; Fang, B.J.; Zhang, H.W.; Li, X.B.; Luo, H.S. Growth and orientation dependence of electrical properties of 0.92Na0.5Bi0.5TiO3–0.08 K0.5Bi0.5TiO3 lead-free piezoelectric single crystal. J. Appl. Phys. 2011, 109. [Google Scholar] [CrossRef]
- Smolensky, G.A.; Isupov, V.A.; Agranovskaya, A.I.; Krainik, N.N. New ferroelectrics of complex composition. Sov. Phys. Solid State 1961, 2, 2651–2654. [Google Scholar]
- Liu, H.; Ge, W.W.; Jiang, X.P.; Zhao, X.Y.; Luo, H.S. Growth and characterization of Mn-doped Na1/2Bi1/2TiO3 lead-free ferroelectric single crystal. Mater. Lett. 2008, 62, 2721–2724. [Google Scholar] [CrossRef]
- Deng, H; Zhao, X.Y.; Zhang, H.W.; Chen, C.; Li, X.B.; Luo, H.S. Orientation dependence of electrical properties of large-sized sodium potassium niobate lead-free single crystals. CrystEngComm 2014, 16, 2760–2765. [Google Scholar] [CrossRef]
- Zhang, Q.H.; Zhang, Y.Y.; Wang, F.F.; Wang, Y.J.; Lin, D.; Zhao, X.Y.; Luo, H.S. Enhanced piezoelectric and ferroelectric properties in Mn-doped Na0.5Bi0.5TiO3-BaTiO3 single crystals. Appl. Phys. Lett. 2009, 95, 2760–2765. [Google Scholar] [CrossRef]
- Zhang, H.W.; Zhao, X.Y.; Deng, H.; Chen, C.; Lin, D.; Li, X.B.; Luo, H.S. Photoluminescence and electrical properties of Eu-doped (Na0.5Bi0.5)TiO3 ferroelectric single crystals. Appl. Phys. A 2014, 114, 357–361. [Google Scholar] [CrossRef]
- Chen, C.; Zhang, H.W.; Zhao, X.Y.; Deng, H.; Li, X.B.; Luo, H.S. Structure, Electrical, and Optical Properties of (Na1/2Bi1/2)TiO3–1.5at.%Bi(Zn1/2Ti1/2)O3 Lead-free Single Crystal Grown by a TSSG Technique. J. Am. Ceram. Soc. 2014, 97, 1–5. [Google Scholar] [CrossRef]
© 2015 by the authors; licensee MDPI, Basel, Switzerland. This article is an open access article distributed under the terms and conditions of the Creative Commons Attribution license (http://creativecommons.org/licenses/by/4.0/).
Share and Cite
Li, X.; Chen, C.; Deng, H.; Zhang, H.; Lin, D.; Zhao, X.; Luo, H. The Growth and Properties of Lead-Free Ferroelectric Single Crystals. Crystals 2015, 5, 172-192. https://doi.org/10.3390/cryst5020172
Li X, Chen C, Deng H, Zhang H, Lin D, Zhao X, Luo H. The Growth and Properties of Lead-Free Ferroelectric Single Crystals. Crystals. 2015; 5(2):172-192. https://doi.org/10.3390/cryst5020172
Chicago/Turabian StyleLi, Xiaobing, Chao Chen, Hao Deng, Haiwu Zhang, Di Lin, Xiangyong Zhao, and Haosu Luo. 2015. "The Growth and Properties of Lead-Free Ferroelectric Single Crystals" Crystals 5, no. 2: 172-192. https://doi.org/10.3390/cryst5020172
APA StyleLi, X., Chen, C., Deng, H., Zhang, H., Lin, D., Zhao, X., & Luo, H. (2015). The Growth and Properties of Lead-Free Ferroelectric Single Crystals. Crystals, 5(2), 172-192. https://doi.org/10.3390/cryst5020172
