Abstract
New radical cation salts (BEDT-TTF)[8,8',(7)-Cl2(Cl0.09)-3,3'-Co(1,2-C2B9H9.91)(1',2'-C2B9H10)] (1), (BEDT-TTF)[8,8'-Br0.75Cl1.25-3,3'-Co(1,2-C2B9H10)2] (2), and (BMDT-TTF)4[8,8'-Br1.16(OH)0.72-3,3'-Co(1,2-C2B9H10.06)2] (3) were synthesized, and their crystal structures and electrical conductivities were determined. All the radical cation salts are semiconductors. Compounds 1 and 2 were found to be isostructural, however their electrical conductivities strongly differ (σ293 = 2 Ω−1cm−1 and 10−5 Ω−1cm−1, respectively).
1. Introduction
Tetrathiafulvalene based radical cation salts and charge transfer complexes constitute a wide class of organic materials with transport properties ranging from insulating to superconducting [1,2]. Conductivity in these materials occurs via the π-electron donor network made up of stacks or sheets of closely packed radical cations. A crucial parameter determining conductivity of the target compounds is packing of the radical cations, which depends strongly on the nature of counterions. Organometallic chemistry provides a wide choice of metal complexes of various shapes and sizes that can be used as counterions in conducting radical cation salts and organometallic crystal engineering of molecular materials has become a rapidly developing research field [3]. The bis(1,2-dicarbollide) complexes of the iron group metals, [commo-3,3'-M(1,2-C2B9H11)2]− (M = Fe, Co, Ni), demonstrate extraordinary high stability due to delocalized cluster bonding of the metal atom with π orbitals of the dicarbollide ligands [4,5] and can be considered as charge-compensating counterions for synthesis of new radical cation–based molecular materials [6,7]. Substitution of hydrogen atoms in these compounds for various non-hydrogen atoms and groups discovers practically unlimited perspectives of their modification [4,5,8]. Moreover, an introduction of substituents which are capable of hydrogen bond formation provides an important strategy for molecular design to control molecular arrangement in crystals based on organometallic compounds.
Recently we studied the effect of iodo- [9,10,11], bromo- [12] and hydroxy- [13] substituents in cobalt bis(1,2-dicarbollide) complexes on crystal packing and physical properties of their salts with TTF-based radical cations. In this paper, we report the crystal structures and electrical conductivities of tetrathiafulvalenium salts of dichloro and mixed bromo-chloro and bromo-hydroxy derivatives of cobalt bis(dicarbollide) anion.
2. Results and Discussion
2.1. (BEDT-TTF)[8,8',(7)-Cl2(Cl0.09)-3,3'-Co(1,2-C2B9H9.91)(1',2'-C2B9H10)]
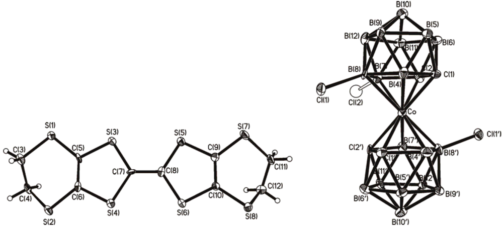
The crystals of (BEDT-TTF)[8,8',(7)-Cl2(Cl0.09)-3,3'-Co(1,2-C2B9H9.91)(1',2'-C2B9H10)] (1) were prepared by electrochemical oxidation of bis(ethylenedithio)tetrathiafulvalene (BEDT-TTF) in 1,2,2-trichloroethane–acetonitrile with (Me4N)[8,8'-Cl2-3,3'-Co(1,2-C2B9H10)2] as an electrolyte under galvanostatic conditions. The X-ray structure analysis revealed partial substitution of a hydrogen atom at position 7 of the metallacarborane anion by a chlorine atom. The substitution can be the result of electrochemical reaction of cobaltacarborane with 1,2,2-trichloroethane as a source of chlorine and is not typical for the chemistry of cobalt bis(1,2-dicarbollide) [4,14].
The crystal structure of 1 belongs to the triclinic system (space group P-1) with two BEDT-TTF radical cations and two [8,8',(7)-Cl2(Cl0.09)-3,3'-Co(1,2-C2B9H9.91)(1',2'-C2B9H10)]− anions in general positions of unit cell (Figure 1).
Figure 1.
Atom designations in (BEDT-TTF)[8,8',(7)-Cl2(Cl0.09)-3,3'-Co(1,2-C2B9H9.91)(1',2'-C2B9H10)] (1).
Figure 1.
Atom designations in (BEDT-TTF)[8,8',(7)-Cl2(Cl0.09)-3,3'-Co(1,2-C2B9H9.91)(1',2'-C2B9H10)] (1).

The cobaltacarborane anions and pairs of the BEDT-TTF+· radical cations alternate along the a axis, forming the mixed stacks (Figure 2). The radical cation pairs are formed by a nearly eclipsed overlap of the BEDT-TTF units, related by an inversion centre with interplanar distance of 3.50 Å (Figure 3). The shortest S…S intermolecular distances in the pairs (3.417(2)–3.506(2) Å) are less than the sum of the van der Waals radii of two sulfur atoms (3.68 Å [15]). The estimation of the donor charge through the bond distance analysis [16] is in a good agreement with the donor charge +1 deduced from the 1:1 compound stoichiometry. The BEDT-TTF+· radical cations are slightly bent, the maximum deviation of sulfur atoms from the cation plane being 0.13 Å and deviations of carbon atoms of the ethylene groups reaching 1.35 Å.
Figure 2.
A fragment of crystal structure of (BEDT-TTF)[8,8',(7)-Cl2(Cl0.09)-3,3'-Co(1,2-C2B9H9.91)(1',2'-C2B9H10)] (1).
Figure 2.
A fragment of crystal structure of (BEDT-TTF)[8,8',(7)-Cl2(Cl0.09)-3,3'-Co(1,2-C2B9H9.91)(1',2'-C2B9H10)] (1).

Figure 3.
The pair of the BEDT-TTF radical cations in (BEDT-TTF)[8,8',(7)-Cl2(Cl0.09)-3,3'-Co(1,2-C2B9H9.91)(1',2'-C2B9H10)] (1).
Figure 3.
The pair of the BEDT-TTF radical cations in (BEDT-TTF)[8,8',(7)-Cl2(Cl0.09)-3,3'-Co(1,2-C2B9H9.91)(1',2'-C2B9H10)] (1).

The dicarbollide ligands in the cobaltacarborane anion are mutually rotated by 180° producing transoid conformation. The C2B3 faces of the dicarbollide ligands are nearly parallel (the dihedral angle is 1.8°). The distances from the cobalt atom to the C2B3 planes are equal 1.47 Å. The Co-C and Co-B distances in the [8,8',(7)-Cl2(Cl0.09)-3,3'-Co(1,2-C2B9H9.91)(1',2'-C2B9H10)]− anion are 2.014(5)–2.027(5) Å and 2.097(5)–2.154(6) Ǻ, respectively. The B(8)-Cl(1) and B(8')-Cl(1') distances are 1.821(6)–1.822(6) Å, that is close to similar ones found in K[8,8'-Cl2-3,3'-Co(1,2-C2B9H10)2] [17] and (PPN)[8,8'-Cl2-3,3'-Co(1,2-C2B9H10)2] [18], whereas the B(7)-Cl(2) distance is some shorter and equals 1.77(1) Å.
Additional intermolecular contacts Cl(1)…S(5) and Cl(1')…S(3) (3.547(2) and 3.334(2) Å, respectively, sum of van der Waals radii is 3.74 Å [15]) were found between the BEDT-TTF+· radical cations and the cobaltacarborane anions.
Figure 4.
Temperature dependence of resistance for a single crystal of (BEDT-TTF)[8,8',(7)-Cl2(Cl0.09)-3,3'-Co(1,2-C2B9H9.91)(1',2'-C2B9H10)] (1).
Figure 4.
Temperature dependence of resistance for a single crystal of (BEDT-TTF)[8,8',(7)-Cl2(Cl0.09)-3,3'-Co(1,2-C2B9H9.91)(1',2'-C2B9H10)] (1).

The conductivity study revealed that 1 is a semiconductor with a maximum activation energy Ea ≅ 0.09 eV in the range 125–140 K. When the temperature is lowered to 12–40 K the activation energy decreases to 0.01 eV. Lowering the temperature from 300 to 215 K leads to a decrease in resistance by 10%, with a further decrease in temperature resulting in an increase of the resistance. The room temperature conductivity of 1, σ293 is 2 Ω−1cm−1 (Figure 4).
2.2. (BEDT-TTF)[8,8'-Br0.75Cl1.25-3,3'-Co(1,2-C2B9H10)2]
The crystals of (BEDT-TTF)[8,8'-Br0.75Cl1.25-3,3'-Co(1,2-C2B9H10)2] (2) were prepared by electrochemical oxidation of bis(ethylenedithio)tetrathiafulvalene (BEDT-TTF) in 1,2,2-trichloroethane–acetonitrile with (Me4N)[8,8'-Br2-3,3'-Co(1,2-C2B9H10)2] as an electrolyte. The X-ray structure analysis revealed partial substitution of bromine atoms by chlorine atoms. 2 was found to be isostructural to the dichloro derivative 1. The crystal structure of 2 is formed by the BEDT-TTF+· radical cations and [8,8'-Br0.75Cl1.25-3,3'-Co(1,2-C2B9H10)2]− anions in general positions (Figure 5).
Figure 5.
Atom designations in (BEDT-TTF)[8,8'-Br0.75Cl1.25-3,3'-Co(1,2-C2B9H10)2] (2). The dashed line denotes position of the atom Cl(2) populated by 25%, the position of the atom Br(1) is populated by 75%.
Figure 5.
Atom designations in (BEDT-TTF)[8,8'-Br0.75Cl1.25-3,3'-Co(1,2-C2B9H10)2] (2). The dashed line denotes position of the atom Cl(2) populated by 25%, the position of the atom Br(1) is populated by 75%.

The cobaltacarborane anions and pairs of the BEDT-TTF+· radical cations alternate along the a axis, forming the mixed stacks (Figure 6). The BEDT-TTF+· radical cations form pairs possessing an inversion center. The distances between averaged planes the radical cations in the pairs are 3.47 Å and the shortest S…S intermolecular distances between the BEDT-TTF+· cations in the pairs are 3.436(3)–3.502(3) Å (Figure 7). The bond lengths in the BEDT-TTF skeleton are in a good agreement with +1 donor charge and the overall compound stoichiometry [16]. The BEDT-TTF+· radical cations are slightly bent, the maximum deviation of sulfur atoms from the cation plane being 0.12 Å and deviations of carbon atoms of the ethylene groups reaching 1.33 Å.
Figure 6.
A fragment of crystal structure of (BEDT-TTF)[8,8'-Br0.75Cl1.25-3,3'-Co(1,2-C2B9H10)2] (2).
Figure 6.
A fragment of crystal structure of (BEDT-TTF)[8,8'-Br0.75Cl1.25-3,3'-Co(1,2-C2B9H10)2] (2).

Figure 7.
The pair of the BEDT-TTF radical cations in (BEDT-TTF)[8,8'-Br0.75Cl1.25-3,3'-Co(1,2-C2B9H10)2] (2).
Figure 7.
The pair of the BEDT-TTF radical cations in (BEDT-TTF)[8,8'-Br0.75Cl1.25-3,3'-Co(1,2-C2B9H10)2] (2).

The C2B3 faces of the dicarbollide ligands are nearly parallel (the dihedral angle is 1.4°). The distances from the cobalt atom to the C2B3 planes are equal to 1.47 Å. The Co-C and Co-B distances are 2.014(8)–2.045(8) Å and 2.06(1)–2.160(9) Ǻ, respectively, suggesting transoid conformation for the [8-Br-8-Cl-3,3'-Co(1,2-C2B9H10)2]− anion and gauche conformation for the [8,8'-Cl2-3,3'-Co(1,2-C2B9H10)2]− anion. The B(8)-Br(1) distance is 1.941(10) Å, which is close to similar ones in radical cation salts of the [8,8'-Br2-3,3'-Co(1,2-C2B9H10)2] anion [12].
Additional intermolecular contacts Br(1)…S(5) (3.630(2) Å) and Cl(1')…S(3) (3.295(2) Å) (sum of van der Waals radii are 3.81 and 3.74 Å, respectively [13]) were found between the BEDT-TTF+· radical cations and the cobaltacarborane anions.
The conductivity study revealed that 2 is a semiconductor with a maximum activation energy Ea ≅ 0.26 eV in the range 250–300 K. The room temperature conductivity of 1, σ293 is 10−5 Ω−1cm−1 (Figure 8).
Figure 8.
Temperature dependence of resistance for polycrystalline of (BEDT-TTF)[8,8'-Br0.75Cl1.25-3,3'-Co(1,2-C2B9H10)2] (2).
Figure 8.
Temperature dependence of resistance for polycrystalline of (BEDT-TTF)[8,8'-Br0.75Cl1.25-3,3'-Co(1,2-C2B9H10)2] (2).

2.3. (BMDT-TTF)4[8,8'-Br1.16(OH)0.72-3,3'-Co(1,2-C2B9H10.06)2]
The crystals of (BMDT-TTF)4[8,8'-Br1.16(OH)0.72-3,3'-Co(1,2-C2B9H10.06)2] (3) were prepared by electrochemical oxidation of bis(methylenedithio)tetrathiafulvalene (BMDT-TTF) in 1,2,2-trichloroethane–acetonitrile with (Me4N)[8-Br-8'-HO-3,3'-Co(1,2-C2B9H10)2] as an electrolyte under galvanostatic conditions. Compound 3 was found to be isostructural with the corresponding 8,8'-dibromo [12] and 8,8'-diiodo [10] derivatives. The asymmetric cell unit of 3 contains four crystallographically independent BMDT-TTF radical cations, labeled C, D, E and F, in general positions and two independent halves of the cobaltcarborane anions (A and B) in the special centrosymmetric positions (Figure 9). In common with many BEDT-TTF charge transfer salts, the crystal packing consists of cationic and anionic layers alternating along the c axis (Figure 10). The structure of the organic layer is reminiscent of the well known α-type in the BEDT-TTF series. In the BMDT-TTF layer, there are two types of different stacks, the first one is formed by the C and D donor molecules alternating in the -C-C-D-D- order and second one is formed by the E and F molecules in the -E-E-F-F- alternate arrangement (Figure 11). The radical cations are nearly planar, the maximum deviation of sulfur atoms from the cation plane being 0.12 Ǻ and deviations of terminal carbon atoms mounting 0.66 Ǻ. Dihedral angles formed by the BMDT-TTF molecules from different stacks were found to be C-E 61.0°, D-E 58.0°, C-F 60.6°, and D-F 57.6°. The donor molecules of different types in stacks (C-D and E-F) are near parallel (dihedral angles are 0.7–3.0°), whereas donors of the same type (C-C, D-D, E-E, and F-F) are parallel on the symmetry conditions. The distances between the donor planes are 3.44 Ǻ for C-C, 3.47 Ǻ for C-D, 3.60 Ǻ for D-D, 3.54 Ǻ for E-E, 3.54 Ǻ for E-F, and 3.49 Ǻ for F-F. There are many shortened S…S contacts of side-to-side mode between adjacent BMDT-TTF cation stacks (interstack contacts) ranging from 3.374(2) to 3.644(2) Ǻ.
Figure 9.
Atom designations in (BMDT-TTF)4[8,8'-Br1.16(OH)0.72-3,3'-Co(1,2-C2B9H10.06)2] (3). The dashed line denotes bonds with atoms in partially populated positions.
Figure 9.
Atom designations in (BMDT-TTF)4[8,8'-Br1.16(OH)0.72-3,3'-Co(1,2-C2B9H10.06)2] (3). The dashed line denotes bonds with atoms in partially populated positions.

Figure 10.
A fragment of crystal structure of (BMDT-TTF)4[8,8'-Br1.16(OH)0.72-3,3'-Co(1,2-C2B9H10.06)2] (3).
Figure 10.
A fragment of crystal structure of (BMDT-TTF)4[8,8'-Br1.16(OH)0.72-3,3'-Co(1,2-C2B9H10.06)2] (3).

Figure 11.
Packing the BMDT-TTF cation radicals in (BMDT-TTF)4[8,8'-Br1.16(OH)0.72-3,3'-Co(1,2-C2B9H10.06)2] (3).
Figure 11.
Packing the BMDT-TTF cation radicals in (BMDT-TTF)4[8,8'-Br1.16(OH)0.72-3,3'-Co(1,2-C2B9H10.06)2] (3).

In the cobaltacarborane anion the distances from the cobalt atom to the C2B3 planes of the ligands are equal to 1.48 Ǻ. The Co-C and Co-B bonds lie in the range 2.023(6)–2.139(8) Ǻ, indicating strong rotational disorder of the dicarbollide ligands. Short intermolecular contacts Br(2B)…S(8D), Br(4B)…S(8D) and Br(2A)…S(8E) (3.350(7)–3.576(3) Å) were found between the BMDT-TTF radical cations and the cobaltacarborane anions.
The conductivity study (Figure 12) revealed that 3 is a semiconductor with a maximum activation energy Ea ≅ 0.02 eV in the range 140–293 K. When temperature is lowered to 16–35 K the activation energy decreases to 0.004 eV. The room temperature conductivity of 3σ293 is 0.5 Ω−1 cm−1 that is close to conductivities of the isostructural 8,8'-dibromo and 8,8'-diiodo derivatives (1.0 Ω−1 cm−1 and 0.25 Ω−1 cm−1, respectively).
Figure 12.
Temperature dependence of resistance for a single crystal of (BMDT-TTF)4[8,8'-Br1.16(OH)0.72-3,3'-Co(1,2-C2B9H10.06)2] (3).
Figure 12.
Temperature dependence of resistance for a single crystal of (BMDT-TTF)4[8,8'-Br1.16(OH)0.72-3,3'-Co(1,2-C2B9H10.06)2] (3).

3. Experimental Section
3.1. Synthesis
BEDT-TTF and BMDT-TTF (Aldrich) were used as received. (Me4N)[8,8'-Cl2-3,3'-Co(1,2-C2B9H10)2], (Me4N)[8,8'-Br2-3,3'-Co(1,2-C2B9H10)2] and (Me4N)[8-Br-8'-HO-3,3'-Co(1,2-C2B9H10)2] were prepared by the literature methods [17,18,19]. The purity of cobalt bis(dicarbollide) derivatives was monitored using 11B{1H} NMR spectroscopy. The single crystals were grown by electrochemical crystallization in two-electrode glass U-cell with platinum electrodes separated by glass frit under galvanostatic conditions at 25 °C during 4–5 weeks under argon atmosphere. The current applied was changed discretely on 0.05 μA per day from 0.20 to 0.70 μA.
Crystals of 1 were obtained from the (Me4N)[8,8'-Cl2-3,3'-Co(1,2-C2B9H10)2] (1 ×10−2 mol/L)–BEDT-TTF (2 × 10−3 mol/L) system using the 1,2,2-trichloroethane–acetonitrile mixture (5.5:1 v/v) as a solvent.
Crystals of 2 were obtained from the (Me4N)[8,8'-Br2-3,3'-Co(1,2-C2B9H10)2] (1 × 10−2 mol/L)-BEDT-TTF (2 × 10−3 mol/L) system using the 1,2,2-trichloroethane – acetonitrile mixture (5.5:1 v/v) as a solvent.
Crystals of 3 were obtained from the (Me4N)[8-Br-8'-HO-3,3'-Co(1,2-C2B9H10)2] (1 × 10−2 mol/L)–BMDT-TTF (2 × 10−3 mol/L) system using the 1,2,2-trichloroethane–acetonitrile mixture (5.5:1 v/v) as a solvent.
3.2. Data Collection and Refinements
X-ray diffraction studies were carried out with a Bruker SMART APEX2 CCD diffractometer, using graphite-monochromated Mo-Kα radiation (w scanning). The structures were solved by direct methods followed by Fourier difference syntheses using SHELXS-97 software [20] and refined by the full-matrix least-squares method in an anisotropic approximation for all non-hydrogen atoms using SHELXL-97 software [21]. The reflection intensities were corrected for absorption using APEX2 software [22]. The hydrogen atoms were fixed in positions of ideal geometry. A refinement of the positional population of the chlorine atoms in structure of 1 revealed that one ligand in the cobaltacarborane anion is the mixture of 8- and 7-Cl-substituted ligands with the Cl(2) position occupancy equal to 0.09, while the second one is 8-Cl-substituted, the positions of the Cl(1) and Cl(1') atoms being fully populated. According to the refinement of the positional population of halogen atoms in the structure of 2, one ligand in the cobaltacarborane anion is the mixture of 8-Br- and 7-Cl-substituted ligands in the ratio 3:1, while the second one is 8-Cl-substituted. A refinement of the positional population of bromine and oxygen atoms in the structure of 3 revealed that both ligands in the cobaltacarborane anion are a mixture of Br- and OH-substituted ligands with approximate ratio of the bromo- and hydroxy- substituents 5:3. The total population of the bromine atom positions in each crystallographically unique anion is 0.58. The populations of the oxygen atom positions are 0.32 and 0.40 for different crystallographically unique anions. The positions of carbon and boron atoms in the pentagonal faces of the dicarbollide ligands are disordered with the carbon occupancy varying from 0.09 to 0.77. Details concerning the crystal data collection and refinement parameters for compounds 1–3 are summarized in Table 1. CCDC-767910, CCDC-769707 and CCDC-855901 (for 1, 2 and 3 respectively) contain the supplementary crystallographic data for this paper. These data can be obtained free of charge from The Cambridge Crystallographic Data Centre via www.ccdc.cam.ac.uk/data_request/cif.
Table 1.
Crystal data and structure refinement for (BEDT-TTF)[8,8',(7)-Cl2(Cl0.09)-3,3'-Co(1,2-C2B9H9.91)(1',2'-C2B9H10)] (1), (BEDT-TTF)[8-Br0.75Cl0.25-8'-Cl-3,3'-Co(1,2-C2B9H10)2] (2) and (BMDT-TTF)4[8,8'-Br1.16(OH)0.72-3,3'-Co(1,2-C2B9H10.06)2] (3).
| Compound | 1 | 2 | 3 |
|---|---|---|---|
| Empirical formula | C14H27.91B18Cl2.09CoS8 | C14H27.75B18Br0.75Cl1.25CoS8 | C36H36.84B18Br1.16CoO0.72S32 |
| Formula weight | 780.54 | 810.51 | 1853.14 |
| Crystal system | Triclinic | Triclinic | Triclinic |
| Space group | P-1 | P-1 | P-1 |
| a (Å) | 8.8565(7) | 8.711(2) | 10.809(1) |
| b (Å) | 13.349(1) | 13.441(2) | 16.187(1) |
| c (Å) | 14.654(1) | 14.742(3) | 20.412(1) |
| α (°) | 106.617(2) | 106.991(3) | 100.22(1) |
| β (°) | 102.684(2) | 101.784(3) | 100.43(1) |
| γ (°) | 98.963(2) | 99.504(3) | 107.21(1) |
| U (Å3) | 1574.7(2) | 1568.6(5) | 3252.1(4) |
| Z | 2 | 2 | 2 |
| λ (Å) | 0.71073 | 0.71073 | 0.71073 |
| Dcalc (mg m−3) | 1.64 | 1.72 | 1.89 |
| μ (mm−1) | 1.268 | 2.159 | 2.043 |
| Number of reflections collected | 10902 | 13848 | 11525 |
| Number of independent reflections | 6081 | 6324 | 11525 |
| Number of reflections with [ F0 > 4σ(F0)] | 3391 | 2424 | 6107 |
| Number of parameters refined | 395 | 393 | 865 |
| (2θ)max, (°) | 53.68 | 52.98 | 61.22 |
| R | 0.059 | 0.076 | 0.051 |
3.3. Electric Conductivity Measurements
The temperature dependence of electric resistivity of single crystals and polycrystalline materials was measured using standard dc-four-probe technique. The samples preliminary were glued on the module with 4 platinum thin wire of diameter 15 µm with the aid of conducting graphite paint. The module was mounted inside of thin-wall stainless-steel pipe (diameter ~11 mm), and the tube was slowly inserted to the portable helium jar with gradual cooling of the sample from 300 K to 4.2 K with cooling rate of 50–60 K/h.
4. Conclusions
New radical cation salts (BEDT-TTF)[8,8',(7)-Cl2(Cl0.09)-3,3'-Co(1,2-C2B9H9.91)(1',2'-C2B9H10)] (1), (BEDT-TTF)[8,8'-Br0.75Cl1.25-3,3'-Co(1,2-C2B9H10)2] (2), and (BMDT-TTF)4[8,8'-Br1.16(OH)0.72-3,3'-Co(1,2-C2B9H10.06)2] (3) were synthesized by electrochemical oxidation of BEDT-TTF and BMDT-TTF in 1,2,2-trichloroethane–acetonitrile in the presence of the corresponding cobalt bis(dicarbollide) derivatives as electrolytes. The crystal structures and electrical conductivities of the compounds prepared were determined. Compounds 1 and 2 are isostructural, however their electrical conductivities differ strongly (σ293 = 2 Ω−1 cm−1 and 10−5 Ω−1 cm−1, respectively). Compound 3 is isostructural to the corresponding salts with 8,8'-Br2- and 8,8'-I2- cobalt bis(dicarbollide) anions and has similar conductivity (σ293 = 0.5 Ω−1 cm−1, 1.0 Ω−1 cm−1 and 0.25 Ω−1 cm−1, respectively).
Acknowledgments
This work was supported by the Russian Foundation for Basic Research (Grants 10-03-00698 and 11-03-00702).
References
- Shibaeva, R.P.; Yagubskii, E.B. Molecular conductors and superconductors based on trihalides of BEDT-TTF and some of its analogues. Chem. Rev. 2004, 105, 5347–5378. [Google Scholar]
- Saito, G.; Yoshida, Y. Organic superconductors. Chem. Rec. 2011, 11, 124–145. [Google Scholar]
- Schlueter, J.A. Tetrathiafulvalene-based conductors containing organometallic compounds. In Conducting and Magnetic Organometallic Molecular Materials. (Topics in Organometallic Chemistry, V.27); Fourmigue, M., Ouahab, L., Eds.; Springer-Verlag: Berlin, Germany, 2009; pp. 1–33. [Google Scholar]
- Sivaev, I.B.; Bregadze, V.I. Chemistry of cobalt bis(dicarbollides). A review. Collect. Czech. Chem. Commun. 1999, 64, 783–805. [Google Scholar] [CrossRef]
- Sivaev, I.B.; Bregadze, V.I. Chemistry of nickel and iron bis(dicarbollides). A review. J. Organomet. Chem. 2000, 614-615, 27–36. [Google Scholar]
- Yan, Y.-K.; Mingos, D.M. Structural, magnetic, and conductivity properties of charge-transfer salts derived from metallacarboranes. Chem. Soc. Rev. 1995, 203–213. [Google Scholar]
- Bregadze, V.; Sivaev, I.; Lobanova, I.; Kazheva, O.; Alexandrov, G.; Kravchenko, A.; Starodub, V.; Buravov, L.; Titov, L.; Dyachenko, O. Synthesis, structure and electrical conductivity of fulvalenium salts of cobalt bis(dicarbollide) anion and its derivatives. J. Chem. Sci. 2010, 122, 37–41. [Google Scholar]
- Bregadze, V.I.; Timofeev, S.V.; Sivaev, I.B.; Lobanova, I.A. Substitution reactions at the boron atoms in metallacarboranes. Russ. Chem. Rev. 2004, 73, 470–491. [Google Scholar]
- Kazheva, O.N.; Alexandrov, G.G.; Kravchenko, A.V.; Starodub, V.A.; Sivaev, I.B.; Lobanova, I.A.; Bregadze, V.I.; Buravov, L.I.; Dyachenko, O.A. New fulvalenium salts of bis(dicarbollide) cobalt and iron: Synthesis, crystal structure and electrical conductivity. J. Organomet. Chem. 2007, 692, 5033–5043. [Google Scholar]
- Kazheva, O.N.; Alexandrov, G.G.; Kravchenko, A.V.; Starodub, V.A.; Lobanova, I.A.; Sivaev, I.B.; Bregadze, V.I.; Titov, L.V.; Buravov, L.I.; Dyachenko, O.A. Molecular conductors with 8,8'-diiodo cobalt bis(dicarbollide) anion. J. Organomet. Chem. 2009, 694, 2336–2342. [Google Scholar]
- Kazheva, O.N.; Alexandrov, G.G.; Kravchenko, A.V.; Starodub, V.A.; Zhigareva, G.G.; Sivaev, I.B.; Bregadze, V.I.; Buravov, L.I.; Titov, L.V.; Dyachenko, O.A. Synthesis, structures and conductivities of salts (BEDT-TTF)[9,9'(12')-I2-3,3'-Co(1,2-C2B9H10)2] and (TTF)[9,9',12,12'-I4-3,3'-Co(1,2-C2B9H9)2]. Russ. Chem. Bull. 2010, 59, 1137–1144. [Google Scholar]
- Kazheva, O.; Alexandrov, G.; Kravchenko, A.; Starodub, V.; Lobanova, I.; Sivaev, I.; Bregadze, V.; Buravov, L.; Dyachenko, O. First molecular conductors with 8,8'-dibromo cobalt bis(dicarbollide) anion. Solid State Sci. 2008, 10, 1734–1739. [Google Scholar]
- Kazheva, O.N.; Alexandrov, G.G.; Kravchenko, A.V.; Kosenko, I.D.; Lobanova, I.A.; Sivaev, I.B.; Filippov, O.A.; Shubina, E.S.; Bregadze, V.I.; Starodub, V.A.; et al. Molecular conductors with 8-hydroxy cobalt bis(dicarbollide) anion. Inorg. Chem. 2011, 50, 444–450. [Google Scholar]
- Rudakov, D.A.; Shirokii, V.L.; Knizhnikov, V.A.; Bazhanov, A.V.; Vecher, E.I.; Maier, N.A.; Potkin, V.I.; Ryabtsev, A.N.; Petrovskii, P.V.; Sivaev, I.B.; et al. Electrochemical synthesis of halogen derivatives of bis(dicarbollyl)cobalt(III). Russ. Chem. Bull. 2004, 53, 2554–2557. [Google Scholar]
- Zefirov, Y.V. Reduced intermolecular contacts and specific interactions in molecular crystals. Crystallogr. Rep. 1997, 42, 865–886. [Google Scholar]
- Guionneau, P.; Kepert, C.J.; Bravic, G.; Chasseau, D.; Truter, M.R.; Kurmoo, M.; Day, P. Determining the charge distribution in BEDT-TTF salts. Synth. Met. 1997, 86, 1973–1974. [Google Scholar]
- Kirillova, N.I.; Zhdanov, A.S; Gusev, A.I.; Kirin, V.N.; Knyazev, S.P.; Sokolova, T.V. The molecular structures of the dicarbaboryl derivatives [3,3'-M(8,1,2-ClC2B9H10)2]K. Organomet. Chem. USSR 1989, 2, 448–450. [Google Scholar]
- Hurlburt, P.K.; Miller, R.L.; Abney, K.D.; Foreman, T.M.; Butcher, R.J.; Kinkead, S.A. New synthetic routes to B-halogenated derivatives of cobalt dicarbollide. Inorg. Chem. 1995, 34, 5215–5219. [Google Scholar]
- Kosenko, I.D.; Lobanova, I.A.; Sivaev, I.B.; Petrovskii, P.V.; Bregadze, V.I. Synthesis of heterosubstituted derivatives of cobalt bis(1,2-dicarbollide). Izv. Akad. Nauk, Ser. Khim. 2011, 60, 2308–2311, Russ. Chem. Bull. 2011, 60, in press. [Google Scholar]
- Sheldrick, G.M. SHELXS-97, Program for Solution of Crystal Structures; University of Göttingen: Göttingen, Germany, 1997. [Google Scholar]
- Sheldrick, G.M. SHELXL-97, Program for Refinement of Crystal Structures; University of Göttingen: Göttingen, Germany, 1997. [Google Scholar]
- APEX2 Softwarwe Package, Bruker AXS: Madison, WI, USA, 2005.
© 2012 by the authors; licensee MDPI, Basel, Switzerland. This article is an open-access article distributed under the terms and conditions of the Creative Commons Attribution license (http://creativecommons.org/licenses/by/3.0/).