Single-Crystal X-Ray Diffraction Studies of Derivatives of Phenolphthalein (3,3-Bis(4-hydroxyphenyl)isobenzofuran-1(3H)-one)
Abstract
1. Introduction
2. Materials and Methods
2.1. Experimental Details/Instruments
2.2. General Procedure 1: Synthesis of Compounds 3 and 4
- 3,3-bis(4-hydroxy-2,5-dimethylphenyl)isobenzofuran-1(3H)-one (3)
- 3,3-bis(4-hydroxy-2,6-dimethylphenyl)isobenzofuran-1(3H)-one (4)
2.3. General Procedure 2: Synthesis of Compounds 5, 6, and 7
- 3-(4-hydroxy-5-isopropyl-2-methylphenyl)-3-(4-hydroxyphenyl)isobenzofuran-1(3H)-one (5)
- 3-(4-hydroxy-2,5-dimethylphenyl)-3-(4-hydroxyphenyl)isobenzofuran-1(3H)-one (6)
- 3-(4-hydroxy-2,6-dimethylphenyl)-3-(4-hydroxyphenyl)isobenzofuran-1(3H)-one (7)
2.4. X-Ray Crystallography
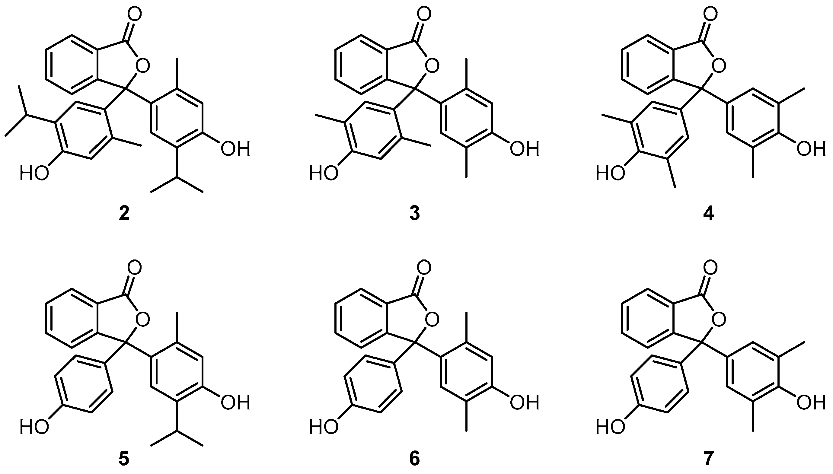
3. Results
3.1. Synthesis of Phenolphthalein Derivatives
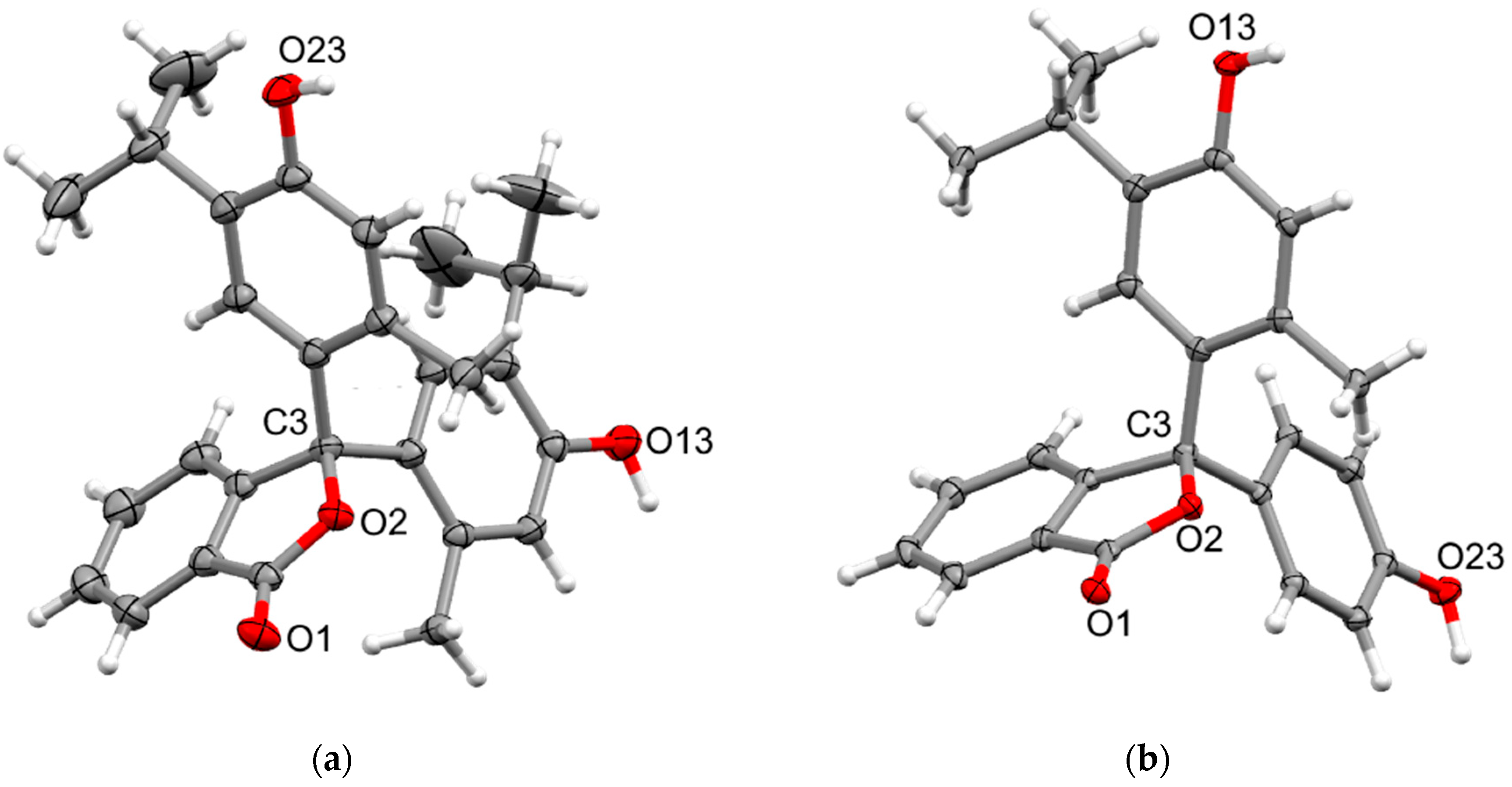
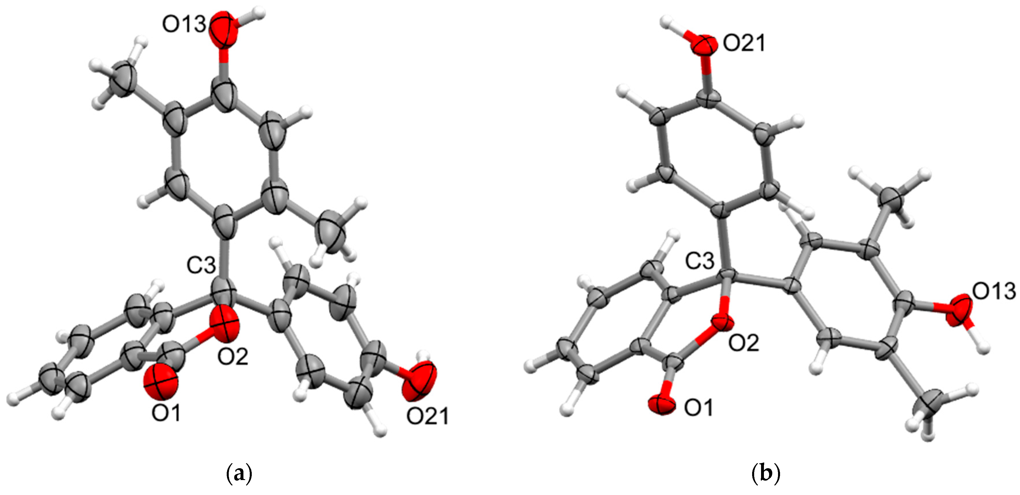
3.2. X-Ray Structure Determination
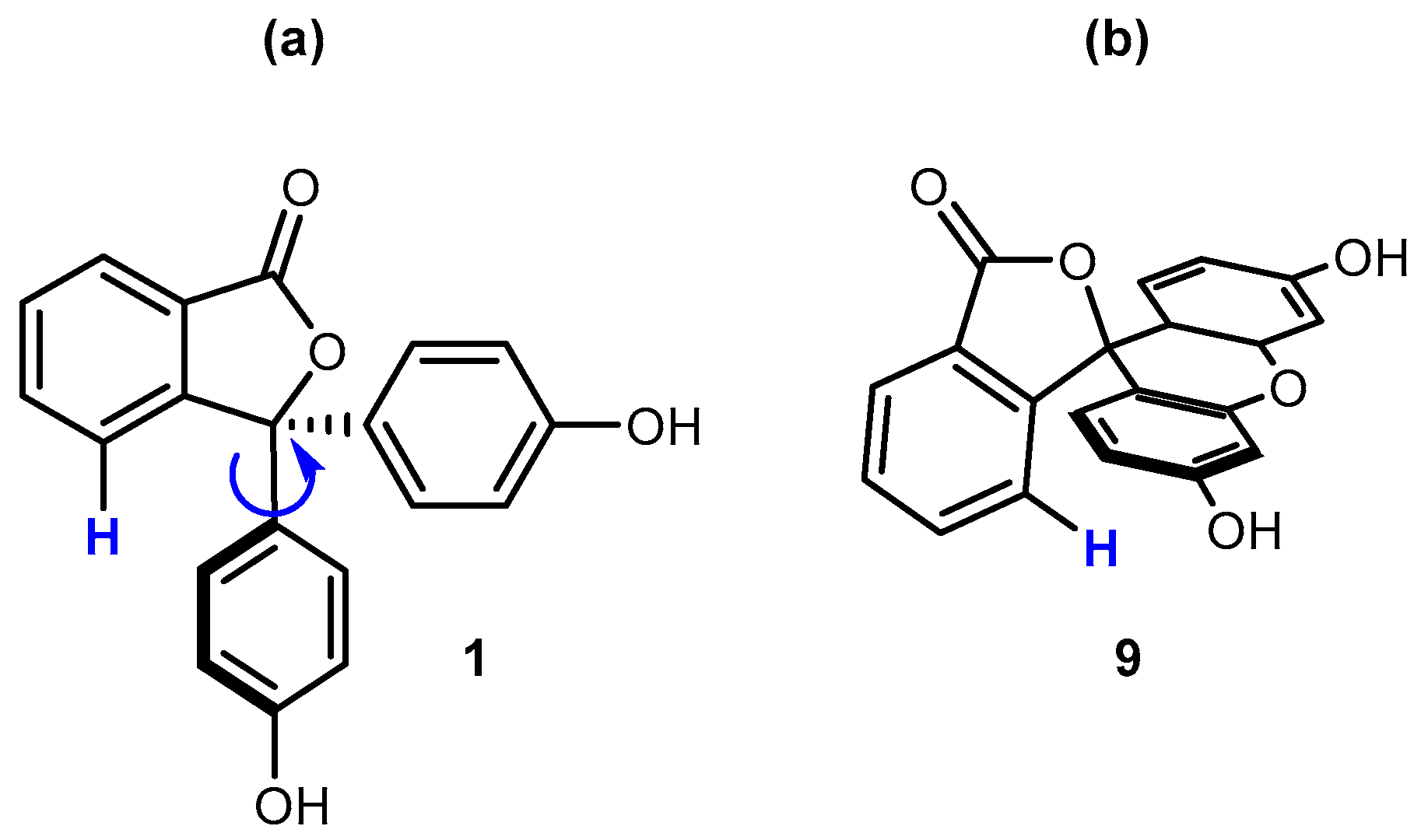
4. Discussion
5. Conclusions
Supplementary Materials
Author Contributions
Funding
Data Availability Statement
Acknowledgments
Conflicts of Interest
Abbreviations
| CCDC | Cambridge Crystallographic Data Centre |
| DMSO | Dimethylsulfoxide |
| DNA | Deoxyribonucleic acid |
| NMR | Nuclear Magnetic Resonance |
References
- Sabnis, R.W. A facile synthesis of phthalein dyes. Tetrahedron Lett. 2009, 50, 6261–6263. [Google Scholar] [CrossRef]
- Sabnis, R.W. Developments in the chemistry and applications of phthalein dyes. Part 1: Industrial applications. Color. Technol. 2018, 134, 187–205. [Google Scholar] [CrossRef]
- Wittke, G. Reactions of phenolphthalein at various pH values. J. Chem. Educ. 1983, 60, 239–240. [Google Scholar] [CrossRef]
- Deng, X.; Guo, H.; Meng, X.; Wang, K.; Zou, B.; Ma, Y. Visible responses under high pressure in crystals: Phenolphthalein and its analogues with adjustable ring-opening threshold pressures. Chem. Commun. 2019, 55, 4663. [Google Scholar] [CrossRef] [PubMed]
- Sugira, H.; Kato, T.; Senda, H.; Kunimoto, K.K.; Kuwae, A.; Hanai, K. Crystal Structure of Phenolphthalein. Anal. Sci. 1999, 15, 611–612. [Google Scholar] [CrossRef]
- Ghelli, S.; Rastelli, G.; Barlocco, D.; Rinaldi, M.; Tondi, D.; Pecorari, P.; Costi, M.P. Conformational Analysis of Phthalein Derivatives Acting as Thymidylate Synthase Inhibitors by Means of 1H NMR and Quantum Chemical Calculations. Bioorg. Med. Chem. 1996, 4, 1783–1794. [Google Scholar] [CrossRef] [PubMed]
- Costi, P.M.; Rinaldi, M.; Tondi, D.; Pecorari, P.; Barlocco, D.; Ghelli, S.; Stroud, R.M.; Santi, D.V.; Stout, T.J.; Musiu, C.; et al. Phthalein Derivatives as a New Tool for Selectivity in Thymidylate Synthase Inhibition. J. Med. Chem. 1999, 42, 2112–2124. [Google Scholar] [CrossRef] [PubMed]
- Ghelli, S.; Rinaldi, M.; Barlocco, D.; Gelain, A.; Pecorari, P.; Tondi, D.; Rastelli, G.; Costi, M.P. ortho-Halogen Naphthaleins as Specific Inhibitors of Lactobacillus casei Thymidylate Synthase. Conformational Properties and Biological Activity. Bioorg. Med. Chem. 2003, 11, 951–963. [Google Scholar] [CrossRef] [PubMed]
- Shoichet, B.K.; Stroud, R.M.; Santi, D.V.; Kuntz, I.D.; Perry, K.M. Structure-Based Discovery of Inhibitors of Thymidylate Synthase. Science 1993, 259, 1445–1450. [Google Scholar] [CrossRef] [PubMed]
- Hubacher, M.H. The Preparation of 2-(Hydroxybenzoyl)-benzoic Acid. J. Am. Chem. Soc. 1946, 68, 718–719. [Google Scholar] [CrossRef]
- CrysAlisPro, v1.171.42.94a, 43.109a, 43.129a, and 43.144a; Rigaku Oxford Diffraction; Rigaku Corporation: Tokyo, Japan, 2023, 2024.
- Sheldrick, G.M. SHELXT—Integrated space-group and crystal structure determination. Acta Crystallogr. Sect. A Found. Adv. 2015, 71, 3–8. [Google Scholar] [CrossRef]
- Sheldrick, G.M. Crystal structure refinement with SHELXL. Acta Crystallogr. Sect. C Struct. Chem. 2015, 71, 3–8. [Google Scholar] [CrossRef] [PubMed]
- Dolomanov, O.V.; Bourhis, L.J.; Gildea, R.J.; Howard, J.A.K.; Puschmann, H. OLEX2: A complete structure solution, refinement and analysis program. J. Appl. Crystallogr. 2009, 42, 339–341. [Google Scholar] [CrossRef]
- Lövgren, S. Eine Methode zur maßanalytischen Bestimmung von Ammoniumsalzen. Fresenius Z. Anal. Chem. 1924, 64, 457–470. [Google Scholar] [CrossRef]
- Schollenberger, C.J. Thymolphthalein as Indicator for Titrimetric Estimation of Carbon Dioxide. Ind. Eng. Chem. 1928, 20, 1101. [Google Scholar] [CrossRef]
- Romiński, J.K. 3,3-Diarylphthalides. Part I. Friedländer reaction of 3′-alkylphenolphthaleins. Pol. J. Chem. 1997, 71, 908–914. [Google Scholar]
- Lund, H. The constitution of phenolphthalein. Part 1. Preparation of some compounds of the phthalein type. J. Chem. Soc. 1928, 1569–1575. [Google Scholar] [CrossRef]
- Nekhoroshev, S.V.; Nekhoroshev, V.P.; Poleshchuk, O.K.; Yarkova, A.G.; Nekhorosheva, A.V.; Gasparyan, A.K. New chemical markers based on phthaleins. Russ. J. Appl. Chem. 2015, 88, 711–718. [Google Scholar] [CrossRef]
- Fitzgerald, L.J.; Gerkin, R.E. Phenolphthalein and 3′,3″-Dinitrophenolphthalein. Acta Crystallogr. Sect. C Cryst. Struct. Commun. 1998, 54, 535. [Google Scholar] [CrossRef] [PubMed]
- Allen, F.H.; Watson, D.G.; Brammer, L.; Orpen, A.G.; Taylor, R. International Tables for Crystallography; Fuess, H., Hahn, T., Wondratschek, H., Müller, U., Shmueli, U., Prince, E., Authier, A., Kopský, V., Litvin, D.B., Rossmann, M.G., et al., Eds.; John Wiley & Sons: Hoboken, NJ, USA, 2006; Volume C, pp. 790–811. [Google Scholar] [CrossRef]












| Compound | O2-C3 (Å) |
|---|---|
| 1 a | 1.4880(2) |
| 1.4813(19) | |
| 2 | 1.4828(14) |
| 3 | 1.5030(10) |
| 4 | 1.4879(13) |
| 5 | 1.4822(13) |
| 6 a | 1.4760(3) |
| 1.4840(4) | |
| 7 a | 1.4810(3) |
| 1.4970(4) |
| Compound | Angle Between Phthalide Ring and Phenol Substituent (°) | Twist Angle with Respect to Phthalide Ring (°) | Angle Between Phenol Rings (°) |
|---|---|---|---|
| 1 a | 118.69(7) | 50.07(8) | 76.16(7) |
| 119.81(7) | 61.55(8) | ||
| 113.82(7) | 49.56(8) | 79.98(7) | |
| 127.79(7) | 55.17(7) | ||
| 2 | 125.34(5) | 70.94(5) | 88.71(4) |
| 122.82(4) | 27.32(5) | ||
| 3 | 120.11(7) | 82.15(7) | 83.30(6) |
| 113.55(6) | 35.25(2) | ||
| 4 | 127.87(4) | 49.60(5) | 80.36(4) |
| 113.87(5) | 58.30(3) | ||
| 5 | 122.92(4) | 30.81(5) b | 85.73(4) |
| 121.09(4) | 61.38(5) c | ||
| 6 a | 120.50(9) | 32.93(10) b | 81.10(10) |
| 121.54(8) | 57.06(9) c | ||
| 118.24(10) | 37.07(11) b | 81.70(10) | |
| 121.41(8) | 52.65(9) c | ||
| 7 a | 122.30(12) | 44.81(14) b | 84.16(11) |
| 116.74(14) | 46.54(14) c | ||
| 121.69(12) | 42.92(14) b | 82.36(11) | |
| 116.74(14) | 48.41(15) c |
| Compound | H-5 δH (ppm) | Δ δH (ppm) b |
|---|---|---|
| 1 | 7.75 c | - |
| 2 | 7.41 | −0.34 |
| 3 | 7.49 | −0.26 |
| 4 | 7.62 | −0.13 |
| 5 | 7.57 | −0.19 |
| 6 | 7.56 | −0.18 |
| 7 | 7.63 | −0.12 |
Disclaimer/Publisher’s Note: The statements, opinions and data contained in all publications are solely those of the individual author(s) and contributor(s) and not of MDPI and/or the editor(s). MDPI and/or the editor(s) disclaim responsibility for any injury to people or property resulting from any ideas, methods, instructions or products referred to in the content. |
© 2025 by the authors. Licensee MDPI, Basel, Switzerland. This article is an open access article distributed under the terms and conditions of the Creative Commons Attribution (CC BY) license (https://creativecommons.org/licenses/by/4.0/).
Share and Cite
Chalmers, B.A.; Cordes, D.B.; McKay, A.P.; Patterson, I.L.J.; Pearson, R.J.; Sequeira-Shuker, J.H.; Smellie, I.A.; Vladymyrova, N. Single-Crystal X-Ray Diffraction Studies of Derivatives of Phenolphthalein (3,3-Bis(4-hydroxyphenyl)isobenzofuran-1(3H)-one). Crystals 2025, 15, 901. https://doi.org/10.3390/cryst15100901
Chalmers BA, Cordes DB, McKay AP, Patterson ILJ, Pearson RJ, Sequeira-Shuker JH, Smellie IA, Vladymyrova N. Single-Crystal X-Ray Diffraction Studies of Derivatives of Phenolphthalein (3,3-Bis(4-hydroxyphenyl)isobenzofuran-1(3H)-one). Crystals. 2025; 15(10):901. https://doi.org/10.3390/cryst15100901
Chicago/Turabian StyleChalmers, Brian A., David B. Cordes, Aidan P. McKay, Iain L. J. Patterson, Russell J. Pearson, Joscelyn H. Sequeira-Shuker, Iain A. Smellie, and Nadiia Vladymyrova. 2025. "Single-Crystal X-Ray Diffraction Studies of Derivatives of Phenolphthalein (3,3-Bis(4-hydroxyphenyl)isobenzofuran-1(3H)-one)" Crystals 15, no. 10: 901. https://doi.org/10.3390/cryst15100901
APA StyleChalmers, B. A., Cordes, D. B., McKay, A. P., Patterson, I. L. J., Pearson, R. J., Sequeira-Shuker, J. H., Smellie, I. A., & Vladymyrova, N. (2025). Single-Crystal X-Ray Diffraction Studies of Derivatives of Phenolphthalein (3,3-Bis(4-hydroxyphenyl)isobenzofuran-1(3H)-one). Crystals, 15(10), 901. https://doi.org/10.3390/cryst15100901

