Abstract
Curcuminoids are widely studied due to their well-recognized therapeutic properties. These molecules are often derivatized with metals, producing their corresponding homoleptic metal complexes. Numerous crystal structures of homoleptic symmetric curcuminoids with physiologically essential metals are known, although the literature lacks reports of homoleptic metal complexes of unsymmetric curcuminoids (or hemi-curcuminoids) as ligands. Three unknowns must be solved when an unsymmetric curcuminoid ligand is reacted with a metal ion: (a) the degree of coordination (MLn); (b) the spatial geometry; and (c) the conformational nature (syn or anti) of the complex. Herein, we report the structure of the anti-isomer of the Zn complex of the hemi-curcuminoid 5-hydroxy-1-(4-methoxyphenyl)hexa-1,4-dien-3-one. While the NMR shows only one set of signals for this homoleptic complex, the unambiguous stereochemistry was established through single-crystal X-ray diffractometry, revealing an anti-hexacoordinated octahedral ML2 structure.
1. Introduction
Curcumin, the main active metabolite [1] of the spice Curcuma sp., has garnered scientific interest due to its potential in the treatment of Alzheimer’s disease. Its therapeutic properties, such as anti-cancer, antioxidant, and anti-inflammatory [2], offer a promising avenue for research in biochemistry and pharmacology. Structurally, curcumin’s beta-diketone group involves the equilibrium of two possible tautomers in solution (keto and enol [3]); it also comprises two α,β-unsaturated systems [4] and a chain of seven carbon atoms [5] flanked by two aromatic rings substituted with para-hydroxy (-OH) and meta-methoxy (-OCH3) groups (see Figure 1).
Figure 1.
Curcumin structure.
The synthetic derivation of curcumin and the preparation of analogous compounds give rise to different families of compounds called curcuminoids, such as diaryl-heptanoids [6], hemi-curcuminoids [7] (monoaryl-hexanoids), monocarbonyl curcuminoids [8,9] (diaryl-pentanoids), and half-curcuminoids [10] (monoaryl-propanoids), and are exemplified in Figure 2.
Figure 2.
Families of curcuminoids.
After the derivatization of phenolic groups to methoxy or acetyl groups, the diarylheptanoids dimethoxy-curcumin and diacetyl curcumin (DAC) are obtained. However, when the double bonds are hydrogenated [11], curcuminoids (e.g., tetrahydrocurcumin or hexahydrocurcumin) are obtained but still are considered part of the diarylheptanoid family.
It is important to note that curcuminoids are commonly derivatized with metals, aiming to overcome inherent problems such as reduced aqueous solubility and low bioavailability [12,13]. Structural studies of curcuminoids with transition metals (e.g., Mg or Zn) have established stoichiometric ratios of 1:1 or 1:2. It is known that the two types of metal complexes that have been reported in the literature are homoleptic and heteroleptic complexes with symmetrical structural characteristics. Heteroleptic curcuminoid complexes [14] occur when complexation involves different ligands (e.g., bipyridines or phenanthrolines [15]), while homoleptic complexes arise when the same curcuminoid ligand occupies all the complexation sites (see Figure 3).
Figure 3.
Types of metal complexes from curcumin; M = metal ion.
Analog compounds inspired by the skeleton of curcumin [16] are named hemi-curcuminoids [17]. They can be obtained synthetically by preserving the skeleton’s structural half, i.e., an aromatic ring, the beta-diketone system, and α,β-unsaturated function. A characteristic of this type of compound is its unsymmetrical nature [16], involving different molecular fragments at each side of the β-diketone function (see Figure 2). These compounds containing the β-diketone function can be readily deprotonated, giving rise to enolates capable of chelating with different metal ions. Although the metal coordination chemistry of the symmetric curcuminoid family has received much attention, the synthesis of unsymmetric curcuminoid metal complexes is unexplored, with few examples in the literature [5,18,19]. In the latter case, the possible syn- or anti-isomerism resulting from this new type of metal complex must be assessed. In addition, unsymmetric curcuminoids are not readily available, and their synthesis using the commonly described methods also leads to symmetric curcuminoids [20].
Zinc is an element involved in various biochemical processes [21] and is considered crucial in healthy metabolism. However, zinc metal curcuminoid complexes are biologically active against different cancer cell lines, and their physicochemical properties (e.g., aqueous solubility) exceed those of their parent curcuminoid ligands.
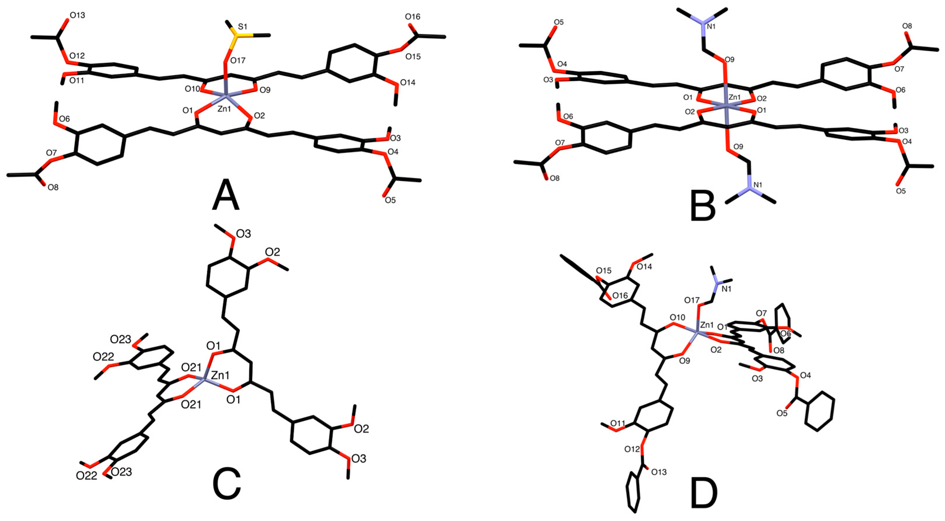
Zinc complexes are interesting in coordination chemistry due to their structural variety and diverse geometries [22] observed when a ligand (symmetric or unsymmetric) is reacted with such a metal ion. In addition, the degree of coordination (MLn) and the unambiguous geometry are best answered when established by X-ray via the single-crystal technique. Several zinc homoleptic complexes of curcuminoids have been authenticated by single-crystal studies [23,24], with the following geometries: square pyramidal, trigonal pyramidal, trigonal bipyramidal, or octahedral. In all these cases, symmetric curcuminoid ligands are used, and the solvent of crystallization plays an important role in defining the geometry, as shown in Figure 4.
Figure 4.
Several geometries of homoleptic zinc complexes: (A) square pyramidal (CCDC 1453160) [23], (B) octahedral (CCDC 2234961) [24], (C) trigonal pyramidal (CCDC 2234962) and (D) distorted trigonal-bipyramidal (CCDC 2234963); hydrogens have been omitted.
Herein, we report the preparation of an unsymmetric ligand (hemi-curcuminoid type) using a new synthetic approach. Thus, a mono-ketalization reaction of 2,4-pentanedione with ethanediol, followed by an aldol mono condensation reaction with anisaldehyde in alkaline media, and further hydrolysis of the mono-ketal, produced the target compound containing the beta diketone function.
Finally, the synthetic unsymmetric curcuminoid (5-hydroxy-1-(4-methoxyphenyl)hexa-1,4-dien-3-one) was reacted with zinc acetate and a suitable single crystal was obtained successfully by slow evaporation in methanol, which provided three important structural features: (a) the metal–ligand relationship (MLn), (b) coordination geometry, and (c) possible syn- or anti-isomerism (the latter being a new structural descriptor for these type of complexes). All compounds were fully characterized using spectroscopic techniques.
2. Materials and Methods
Acetylacetone (acac, 2,4-pentanodione), ethanediol, p-toluenesulfonic acid, 4-methoxybenzaldehyde (anisaldehyde, CAS 123-11-5), zinc acetate, high-purity silica gel with an average pore size of 60 Å (52–73 Å) and a 70–230 mesh (CAS 112926-00-8), and all solvents of HPLC grade were purchased from Sigma-Aldrich and were used without prior purification.
The melting points were obtained in Electrothermal Engineering IA9100 digital melting point apparatus in open capillary tubes and were uncorrected [25]. The 1H and 13C NMR spectra were obtained with a Bruker Fourier 400 MHz spectrometer using TMS as an internal reference and DMSO-d6 or CDCl3 as a solvent. The NMR spectra were processed with Mestre Nova software 12.0.3-21384 [26] and are found in the Supplementary Materials. The IR absorption spectra were recorded using an FT-IR NICOLET IS-50, Thermo Fisher Scientific spectrophotometer (Waltham, MA, USA) in the range of 4000–400 cm−1 with a reflectance technique using an ATR diamond accessory [27]. The mass spectra were recorded using MStation JMS-700 JEOL (JEOL de Mexico, S.A. de C.V., Mexico City, Mexico) equipment (Electron Ionization impact positive mode), AccuTOF JMS-T100LC JEOL equipment (DART+, positive ion mode), and Bruker Esquire 6000 equipment (Billerica, MA. USA) [28] (ESI-TI, APCI-TI).
Single-crystal X-ray Diffraction: A Rigaku Diffraction Xcalibur Atlas, Gemini, CCD diffractometer was used in the single-crystal X-ray diffraction analysis of compound 4, with a graphite monochromator and MoKα as the source of radiation (λ = 0.71073 Å), with a ω scan at a 130 K temperature. The collection of and reduction in data were performed by the CrysAlis software package v1.171.36.32 [29]. The crystal structure was solved using direct methods by SHELXS (v2019/3) [30] and refined by the SHELXL [31] program. The structure was refined by the full-matrix least-squares method based on F2 against all reflections. All non-hydrogen atoms were refined anisotropically. The hydrogen atom of the methanol ligand was found in the Fourier difference map, and its positional parameters were refined. The methoxy phenyl moiety is disordered and was modeled over two positions, with occupancies refined to about 0.5. The structure was visualized using the software MERCURY (v2021.3.0) [32], and the geometrical parameters were calculated using PLATON (v1.16) [33]. The crystallographic data for compound 4 are summarized in the Supplementary Materials.
Preparation of Compound 1 (Mono-ketal).
In a 250 mL round flask equipped with Dean-Stark apparatus, 5 mL of 2,4-pentanodione (50 mmol) was dissolved in 50 mL of benzene; then, 1.4 mL of ethanediol (23 mmol) was added, and after that, 10 mg of p-toluenesulfonic acid monohydrate was added, and the reaction was left in reflux for 3 h. Finally, after the removal of the solvent, the title product was purified by reduced-pressure distillation (50 °C and 5 mm Hg).
Reaction of mono-condensation. Preparation of compound 2.
In a 100 mL round flask, 1.7 mL of 4-methoxybenzaldehyde (14 mmol, anisaldehyde) was dissolved in 50 mL of methanol; then, 2 g of compound 1 (12 mmol) dissolved in methanol was added dropwise. Later 0.5 g de NaOH (12.5 mmol), finely powdered, was added to the vessel. The reaction was left with magnetic stirring at room temperature for 3 days. The solvent was evaporated in vacuo, and extraction with water (100 mL) and ethyl acetate (100 mL) 1:1 was carried out. The organic phase was dried with Na2SO4 and concentrated. The product was purified by SiO2 column chromatography using a 6:4 hexane/ethyl acetate mixture as an eluent.
Synthesis of compound 3 (Unsymmetric hemi-curcuminoid ligand).
In a 100 mL round flask, 1.05 g of compound 2 was dissolved in 40 mL of methanol. Further, 2 mL of HCl (4.6 mmol) was added and the reaction was conducted with magnetic stirring at room temperature for 6 h. The solvent was evaporated and the residue was extracted with a sodium bicarbonate saturated solution (50 mL) and ethyl acetate (50 mL) 1:1; then, the organic phase was dried with Na2SO4 and concentrated.
Synthesis of homoleptic complex 4 with unsymmetric ligand 3.
In a 100 mL round flask, 0.2 g of compound 3 was dissolved in 10 mL of ethyl acetate. Then, 0.085 g of zinc acetate (4.6 mmol) was dissolved in methanol and added dropwise. The reaction proceeded for 3 h with magnetic stirring, yielding compound 4 as a precipitate. Thus, 30 mg of the complex dissolved in methanol produced suitable single crystals for X-ray studies after slow evaporation for 24 h in the dark. Compound 1. 1-(2-methyl-1,3-dioxolan-2-yl)propan-2-one, yield 60%. Colorless liquid. 1H NMR (300 MHz, CDCl3) δ 3.98 (m, 4H), 2.78 (s, 2H), 2.22 (s, 3H), 1.41 (s, 3H). 13C NMR (75 MHz, CDCl3) δ 206.00, 107.82, 64.61, 52.52, 31.58, 24.37. IR-ATR 2985 cm−1, 2886 cm−1, 1707 cm−1, 1183 cm−1, 1047 cm−1. DART+-MS: m/z = [M + H]+ 145.
Compound 2. Yield 40%. Oily brown liquid. (E)-4-(4-methoxyphenyl)-1-(2-methyl-1,3-dioxolan-2-yl)but-3-en-2-one. 1H NMR (400 MHz, CDCl3) δ 7.54 (d, J = 16.0 Hz, 1H), 7.51 (d, J = 8.7 Hz, 2H), 6.91 (m, 2H), 6.76 (d, J = 16.0 Hz, 1H), 3.98 (m, 4H), 3.84 (s, 3H), 2.98 (s, 2H), 1.46 (s, 3H). 13C NMR (100 MHz, CDCl3) δ 196.85, 161.78, 143.07, 130.30, 127.41, 124.72, 114.54, 108.56, 64.88, 55.54, 50.64, 24.97. IR 1677 cm−1, 1644 cm−1, 1592 cm−1, 1510 cm−1. DART+-MS: m/z = [M + H]+ 263.
Compound 3. (1E,4Z)-5-hydroxy-1-(4-methoxyphenyl)hexa-1,4-dien-3-one. Yield 50%. Crystalline yellow solid. Melting point 68.5 °C. 1H NMR (400 MHz, CDCl3) δ 15.48 (s, 1H), 7.55 (d, J = 15.8 Hz, 1H), 7.46 (m, 2H), 6.89 (m, 2H), 6.33 (d, J = 15.8 Hz, 1H), 5.61 (s, 1H), 3.83 (s, 3H), 2.14 (s, 3H).13C NMR (100 MHz, CDCl3) δ 197.15, 178.09, 161.29, 139.75, 129.69, 127.93, 120.51, 114.50, 100.86, 55.49, 26.95. IR-ATR 1629 cm−1, 1282 cm−1, 1109 cm−1. IE+-MS: m/z = [M]+ 218.
Compound 4. Zinc Complex of 5-hydroxy-1-(4-methoxyphenyl)hexa-1,4-dien-3-one acetate. Yield 75%. Yellow powder. Melting point 94 °C. 1H NMR (400 MHz, DMSO-d6) δ 7.59 (m, 4H), 7.38 (d, J = 15.7 Hz, 2H), 6.95 (m, 4H), 6.59 (d, J = 15.7 Hz, 2H), 5.48 (s, 2H), 3.78 (s, 6H), 2.08 (s, 6H), 1.96 (s, 6H). 13C NMR (100 MHz, DMSO-d6) δ 206.50, 193.27, 181.93, 160.21, 137.03, 129.31, 128.04, 127.00, 114.32, 100.63, 55.25, 30.68, 28.28. IR-ATR 1632 cm−1, 1602 cm−1, 1505 cm−1, 450 cm−1. ESI+-MS: m/z = 521.4 [M + Na]+. Crystal Data for C28H34O8Zn (M = 563.92 g/mol): triclinic, space group P-1 (no. 14), a = 5.3048(14) Å, b = 9.150(4) Å, c = 14.855(6) Å, α = 104.96(3)°, β = 96.89(3)°, γ = 101.66(3)°, V = 670.8(5) Å3, Z = 1, T = 130(2)K, μ(MoKα) = 0.963 mm−1, Dcalc = 1.396 g/cm3, 7535 reflections measured (7.97° ≤ 2Θ ≤ 58.84°), 3135 unique (Rint = 0.0595, Rsigma = 0.099) which were used in all calculations. The final R1 was 0.0574 (I > 2σ(I)), and wR2 was 0.1335 (all data).
3. Results
The production of a target hemi-curcuminoid compound (enol type) was achieved through the aldol mono-condensation reaction of 2,4-pentanedione (ACAC). Since there are two reactive terminal carbons at both ends susceptible to condensation, ACAC was functionalized, blocking, via ketalization, one of the carbonyl groups with 1,2-ethanediol in an acidic medium (mono-ketal synthesis; see Figure 5). The structure of the mono-ketal from 2,4-pentanedione was determined spectroscopically. Thus, the proton magnetic resonance [34] (1H NMR) showed multiple signals near 4 ppm assigned to the AA’BB´ system corresponding to compound 1 (see Supplementary Materials). In addition, mass spectrometry revealed a prominent peak at m/z = 145 for the molecular ion that corresponds adequately to the formula C7H12O3.
Figure 5.
Preparation of mono-ketal from 2,4-pentanodione.
The adequate reactivity of the terminal methyl of compound 1 allows the aldol mono-condensation reaction with anisaldehyde in basic media (see Figure 6). The 1H NMR signals of compound 2 showed two doublets at δ 7.54 ppm (b) and 6.76 ppm (a) assigned to the α,β-unsaturated vinyl system with coupling constants J of 16 Hz, correlating appropriately for the trans configuration. Additionally, the proton spectrum (see Supplementary Materials) showed multiple signals at δ 4 ppm due to the ketal group. The mass spectrum of compound 2 showed a peak at m/z = 263 [M + H]+, which corresponds to the molecular formula C15H18O4
Figure 6.
Synthesis of unsymmetric hemi-curcuminoid from anisaldehyde.
The opening of the mono-ketal (compound 2) in an acidic medium is illustrated in Figure 6, producing hemi-curcuminoid 3 (recovery of the keto-enol system). The 1H NMR spectrum of compound 3 showed two simple signals characteristic of enol, i.e., hydroxyl (-OH) was observed at 15. 48 ppm (hydrogen bond) [35] and methine (-CH-) at 5.61 ppm. In addition, the vinyl system characteristic of this compound was confirmed by the presence of two double signals at δ 7.55 ppm (β) and δ 6.33 ppm (α) with trans couplings J of 16 Hz [36] (see Supplementary Materials). Compound 3 has a molecular formula C13H14O3 and was verified by a peak in the mass spectrum at m/z = 218 [M]+, which is expected for the molecular ion.
In principle, the reaction of the hemi-curcuminoid with zinc acetate can lead to two geometric isomers, i.e., syn and anti, as illustrated in Figure 7. The liquid state NMR data helped in the characterization of the complex but were not conclusive regarding the authentication of the molecular geometry. Therefore, a detailed single-crystal X-ray analysis was imperative to answer this question.
Figure 7.
Synthesis of homoleptic symmetric metal complexes with unsymmetric ligands.
Proton magnetic resonance was indicative of the presence of the metal ion in the complex. When comparing the chemical shifts in the pure ligand with those in the zinc complex, a shift towards lower frequencies was observed [24] (Table 1). Surprisingly, compound 4 showed only one set of hydrogen and carbon-13 signals (see Supplementary Materials), which is indicative of the presence of a single isomer in solution (DMSO-d6).
Table 1.
Chemical shifts in ligand (compound 3) and its zinc complex (compound 4).
4. Discussion
The most desirable and common trend in the synthesis of curcuminoid-derived compounds in the form of metal complexes is to find new biologically active compounds that respond to the needs of human ailments such as inflammation, cancer, and Alzheimer’s disease. However, the architectural design of such relatively simple compounds may require unambiguous structural determination before any biological testing is performed. From this perspective, the core of this research is to answer the structural unknowns of a new zinc complex (compound 4) that is obtained with an unsymmetric curcuminoid ligand.
The nuclear magnetic resonance spectrum for compound 4 showed signals corresponding to a single isomer, and this is the first time that a resonance spectrum of an unsymmetric curcuminoid ligand with zinc has been shown (see Figure 8 and Supplementary Materials). Finding a single set of NMR signals is unexpected because other zinc homoleptic complexes have shown two or more sets of NMR signals [37]; thus, the explanation will be in conjunction with X-rays. The NMR spectrum of compound 4 shows a singlet at 2.08 ppm (see Supplementary Materials) which corresponds to the acetate group coordinated with zinc. Upon crystallization of the crude precipitate in methanol, these acetate groups are replaced by methanol molecules, as revealed by the x-ray crystal structure. Furthermore, the integration of signals normalized to two protons for the methine group (-CH at 5.48 ppm) allowed us to propose an ML2-type hexacoordinated complex [24]. Although the geometry could not be unambiguously determined until the X-rays were available, the new complex of zinc was clearly of the homoleptic type.
Figure 8.
1H NMR spectra of hemi-curcuminoid and its zinc complex (400 MHz, DMSO-d6).
The work of D. Jędrzkiewicz et.al. [37] found that a zinc complex (L2Zn) with an unsymmetric ligand (named O-dtBu, N-C12) produced more than one set of signals for the H-NMR spectrum, which was attributed to a mixture of isomers in solution (syn-dimer and anti-dimer). The single set of signals observed in the proton spectrum of compound 4 in Figure 8 could correspond in principle to the syn- or anti-isomer, but remarkably, only one isomer is observed in solution.
As can be seen in Figure 9, both possible structures, syn and anti, have symmetry elements C2 [38], and both would show a complete overlap of signals with possible differences in chemical shifts due to anisotropic effects from aromatic rings. Therefore, the optimal way to assess the geometry and configuration of the complex is X-ray crystallography.
Figure 9.
Symmetry operations for syn- and anti-isomer complexes.
The anti-isomer has a C2 rotation axis (shown in Figure 9). This explains the magnetically equivalent signals (from homotopic hydrogens) for each ligand around zinc. It is also interesting to note that the unsymmetric curcuminoid ligand has magnetically equivalent hydrogens in the anti-form. The same criteria apply to the syn-isomer.
The synthesis and characterization of transition metal complexes of hemi-curcuminoids are scarce. There are only a couple of studies in which monoaryl-hexanoids appear as a ligand in metal complexes [39,40], and a survey using CSD (Version 5.45, update of June 2024) [41] revealed only three structure determinations (Ref Codes: JELZAF, JELZIN and JELZEJ), all of them for heteroleptic Ru(η6-p-cymene) complexes of three hispolon derivatives. To the best of our knowledge, this constitutes the synthesis and chemical characterization of the first homoleptic anti-Zn complex from an unsymmetric curcuminoid.
The asymmetric unit of compound 4 consists of one half of the neutral complex with Zn with Ci symmetry lying on an inversion center, one deprotonated (1E,4Z)-5-hydroxy-1-(4-methoxyphenyl)hexa-1,4-dien-3-one molecule (Compound 3) in the equatorial plane, and one coordinated methanol molecule in the apical position (Figure 10). The coordination geometry of compound 4 corresponds to a slightly apical distorted octahedron, presumed by the Jahn–Teller effect, with zinc–oxygen from the coordinated methanol in the apical/axial positions (2.201(3) longer than the equatorial zinc–oxygen bonds from the ligand (2.010(2)— 2.070(2)Å)). All these values are slightly longer than zinc–oxygen bonds (equatorial: 1.986(3)–2.037(5) Å, axial 2.252(6) Å) of the closely related compound B shown in Figure 4.
Figure 10.
ORTEP-like drawing and coordination geometry of Compound 4, 50% probability level of thermal ellipsoids, and unlabeled atoms generated by an inversion symmetry center (minor disordered 4-methoxyphenyl atoms are omitted for clarity).
In the complex, the deprotonated (1E,4Z)-5-hydroxy-1-(4-methoxyphenyl)hexa-1,4-dien-3-one ligand displays a fully extended conformation with a significant deviation in planarity. Two planes can be observed corresponding to the 5-hydroxy-hexa-1,4-dien-3-one moiety (Rms deviation = 0.0212 Å) and the 4-methoxyphenyl group (Rms deviation of fitted atoms = 0.0395 Å), making a dihedral angle of 28.85(0.18)°. A similar trend is observed in the heteroleptic Ru(η6-p-cymene) complexes of three hispolon derivatives (JELZAF: 28.01°, JELZIN: 14.32°, and JELZEJ: 4.93°), revealing the high flexibility of this type of ligand. In the crystal complex, molecules are held together by hydrogen bonds O4-H4A⋯O1(x-1, y, z): 2.10(5) Å, forming dimers (Figure 11).
Figure 11.
Crystal structure of Compound 4 along the b-axis. Hydrogen bonds represented by broken lines.
5. Conclusions
This research has established the guidelines for a structural problem of isomerism in unsymmetric curcuminoid metal complexes. It is also crucial to recognize the value of complementary single-crystal X-ray structural analyses for curcuminoid-derived metal complexes. It is important to note that an apparent simple molecular design demands detailed structural studies before carrying out a series of biological assays.
To the best of our knowledge, this report constitutes the first crystal structure of a metal complex of an unsymmetric curcuminoid. Although the structure found has an anti-configuration, it remains unknown if the syn configuration is also present at some stage of the complex formation. X-ray crystallography offered the most conclusive answer regarding the preferred geometry of the complex. A detailed study of the thermodynamics associated with the complex’s formation may provide insight into determining the selectivity of the preferred geometric isomer.
Supplementary Materials
The deposit number CCDC 2376717 (Compound 4) contains the supplementary crystallographic data for this article, including structure factors. These data can be obtained free of charge at https://www.ccdc.cam.ac.uk/structures/ (accessed date 9 August 2024). The following supporting information can be downloaded at: https://www.mdpi.com/article/10.3390/cryst14090751/s1. Figure S1: 1H NMR spectrum of compound 1 (CDCl3-300 MHz). Figure S2. 13C NMR spectrum of compound 1 (CDCl3-75 MHz), Table S1. NMR assignments of compound 1, Figure S3. IR spectrum of compound 1, Figure S4. MS of compound 1 (DART +), Figure S5. 1H NMR spectrum of compound 2 (CDCl3-400 MHz), Figure S6. 13C NMR spectrum of compound 2, (CDCl3-100 MHz), Table S2. NMR assignments of compound 2, Figure S7. IR spectrum of compound 2, Figure S8. MS spectrum of compound 2 (DART +), Figure S9. 1H NMR spectrum of compound 3 (CDCl3-400 MHz), Figure S10. 13C NMR spectrum of compound 3 (CDCl3-100 MHz), Table S3. NMR assignments of compound 3, Figure S11. IR spectrum of compound 3, Figure S12. MS of compound 3 (EI +), Figure S13. 1H NMR spectrum of compound 4 (DMSO-d6-400MHz), Figure S14. 13C NMR spectrum of compound 4 (DMSO-d6-100 MHz), Table S4. NMR assignments of compound 4, Figure S15. MS of compound 4 (ESI +), Figure S16. IR spectrum of compound 4, Check CIF 1, Table S5. Crystal data and structure refinement for Compound 4, Table S6. Atomic coordinates (×104) and equivalent isotropic displacement parameters (Å2 × 103) for Compound 4. U(eq) is defined as one third of the trace of the orthogonalized Uij tensor., Table S7. Bond lengths [Å] and angles [°] for Compound 4, Table S7. Cont. Bond lengths [Å] and angles [°] for Compound 4, Table S8. Anisotropic displacement parameters (Å2 × 103) for Compound 4. The anisotropic displacement factor exponent takes the form: −2π2[h2 a*2U11 + … + 2 h k a* b* U12], Table S9. Hydrogen coordinates (×104) and isotropic displacement parameters (Å2 × 103) for Compound 4, Table S10. Torsion angles [°] for Compound 4, Table S11. Hydrogen bonds for Compound 4 [Å and °].
Author Contributions
Conceptualization, R.G.E.; methodology, M.A.O.M., G.M.E., R.T.-H., and R.S.-O.; software, M.A.O.M., G.M.E., R.T.-H., R.S.-O., and R.A.T.; validation, R.G.E. and R.A.T.; formal analysis, M.A.O.M., G.M.E., R.T.-H., R.S.-O., R.A.T., and R.G.E.; investigation, M.A.O.M., G.M.E., R.T.-H., and R.S.-O.; resources, R.G.E.; data curation, R.G.E. and R.A.T.; writing—original draft preparation, R.G.E.; writing—review and editing, R.G.E.; visualization, R.G.E.; supervision, R.G.E.; project administration, R.G.E.; funding acquisition, R.G.E. All authors have read and agreed to the published version of the manuscript.
Funding
This research was funded by CONAHCyT, grant number FOINS-PRONACES-307152, and PAPIIT DGAPA-UNAM, grant number IT200720.
Data Availability Statement
The original contributions presented in the study are included in the article/Supplementary Materials, further inquiries can be directed to the corresponding author.
Acknowledgments
Raúl G. Enríquez acknowledges support from CONAHCyT (FOINS-PRONACES-307152) and DGAPA-UNAM (IT200720). Marco A. Obregón-Mendoza acknowledges honorary payment from CONAHCyT (FOINS-PRONACES-307152). R.T.H. acknowledges support from CONAHCyT for their postdoctoral fellowship (CVU-662794), and G.M.E. acknowledges receipt of the CVU-1347017 CONAHCyT scholarship. Acknowledgments are extended to Elizabeth Huerta (NMR), Isabel Chávez (NMR), Adriana Romo (IR), María del Carmen García (MS), Eréndira García Ríos (ESI), and Lucero Ríos (ESI) from the Instituto de Química, UNAM.
Conflicts of Interest
The authors declare no conflicts of interest.
References
- Jiang, Y.; Du, Z.; Xue, G.; Chen, Q.; Lu, Y.; Zheng, X.; Conney, A.H.; Zhang, K. Synthesis and Biological Evaluation of Unsymmetrical Curcumin Analogues as Tyrosinase Inhibitors. Molecules 2013, 18, 3948–3961. [Google Scholar] [CrossRef]
- Saladini, M.; Lazzari, S.; Pignedoli, F.; Rosa, R.; Spagnolo, F.; Ferrari, E. New Synthetic Glucosyl-Curcuminoids, and Their 1H and 13C NMR Characterization, from Curcuma longa L. Plant Foods Hum. Nutr. 2009, 64, 224–229. [Google Scholar] [CrossRef]
- Torres-Rodríguez, E.; Arias-Cedeño, Q.; Almeida-Saavedra, M.; Michalik-Michalik, M.; Vogel-Vogel, C. Study of the Keto-Enolic Equilibrium in Structures of Synthetic Curcuminoids by Means of RMN and X Rays Diffraction. Rev. Cuba. Química 2013, XXV, 206. [Google Scholar]
- Haritakun, W.; Changtam, C. Cytotoxic Activity of Curcuminoids and Curcuminoid Analogues Against Human Oral Cancer KB Cells. SDU Res. J. 2016, 9, 141–158. [Google Scholar]
- Deepthi, T.V.; Venugopalan, P. Synthesis, DNA-Binding, and Cytotoxic Studies on Three Copper(II) Complexes of Unsymmetrical Synthetic Analogues of Curcumin. J. Coord. Chem. 2016, 69, 3403–3416. [Google Scholar] [CrossRef]
- Singh, R.; Tønnesen, H.H.; Vogensen, S.B.; Loftsson, T.; Másson, M. Studies of Curcumin and Curcuminoids. XXXVI. The Stoichiometry and Complexation Constants of Cyclodextrin Complexes as Determined by the Phase-Solubility Method and UV-Vis Titration. J. Incl. Phenom. Macrocycl. Chem. 2010, 66, 335–348. [Google Scholar] [CrossRef]
- Cornago, P.; Cabildo, P.; Sanz, D.; Claramunt, R.M.; Torralba, M.C.; Torres, M.R.; Elguero, J. Structures of Hemi-Curcuminoids in the Solid State and in Solution. Eur. J. Org. Chem. 2013, 2013, 6043–6054. [Google Scholar] [CrossRef]
- Shetty, D.; Kim, Y.J.; Shim, H.; Snyder, J.P. Eliminating the Heart from the Curcumin Molecule: Monocarbonyl Curcumin Mimics (MACs). Molecules 2015, 20, 249–292. [Google Scholar] [CrossRef]
- Dong, L.; Zheng, S.; Zhang, Y.; Jiang, X.; Wu, J.; Zhang, X.; Shan, X.; Liang, D.; Ying, S.; Feng, J.; et al. Design, Synthesis, and Evaluation of Semi-Conservative Mono-Carbonyl Analogs of Curcumin as Anti-Inflammatory Agents against Lipopolysaccharide-Induced Acute Lung Injury. Medchemcomm 2015, 6, 1544–1553. [Google Scholar] [CrossRef]
- Obregón-Mendoza, M.A.; Arias-Olguín, I.I.; Meza-Morales, W.; Alvarez-Ricardo, Y.; Chávez, M.I.; Toscano, R.A.; Cassani, J.; Enríquez, R.G. Expected and Unexpected Products in Half Curcuminoid Synthesis: Crystal Structures of but-3-En-2-Ones and 3-Methylcyclohex-2-Enones. Crystals 2021, 11, 404. [Google Scholar] [CrossRef]
- Masuda, T.; Matsumura, H.; Oyama, Y.; Takeda, Y.; Jitoe, A.; Kida, A.; Hidaka, K. Synthesis of (+/−)-Cassumunins A and B, New Curcuminoid Antioxidants Having Protective Activity of the Living Cell against Oxidative Damage. J. Nat. Prod. 1998, 61, 609–613. [Google Scholar] [CrossRef] [PubMed]
- Wanninger, S.; Lorenz, V.; Subhan, A.; Edelmann, F.T. Metal Complexes of Curcumin—Synthetic Strategies, Structures and Medicinal Applications. Chem. Soc. Rev. 2015, 44, 4986–5002. [Google Scholar] [CrossRef] [PubMed]
- Prasad, S.; Dubourdieu, D.; Srivastava, A.; Kumar, P.; Lall, R. Metal–Curcumin Complexes in Therapeutics: An Approach to Enhance Pharmacological Effects of Curcumin. Int. J. Mol. Sci. 2021, 22, 7094. [Google Scholar] [CrossRef] [PubMed]
- Mittal, A.; Nagpal, M.; Vashistha, V.K.; Arora, R.; Issar, U. Recent Advances in the Antioxidant Activity of Metal-Curcumin Complexes: A Combined Computational and Experimental Review. Free Radic. Res. 2024, 58, 11–26. [Google Scholar] [CrossRef]
- Figueroa-Depaz, Y.; Pérez-Villanueva, J.; Soria-Arteche, O.; Martínez-Otero, D.; Gómez-Vidales, V.; Ortiz-Frade, L.; Ruiz-Azuara, L. Casiopeinas of Third Generations: Synthesis, Characterization, Cytotoxic Activity and Structure–Activity Relationships of Mixed Chelate Compounds with Bioactive Secondary Ligands. Molecules 2022, 27, 3504. [Google Scholar] [CrossRef] [PubMed]
- Raduly, F.M.; Raditoiu, V.; Raditoiu, A.; Grapin, M.; Fierascu, R.C.; Raut, I.; Constantin, M. Functionalized Palygorskite as a Delivery Platforms for Bioactive Asymmetric Beta-Diketone Dyes. Crystals 2024, 14, 659. [Google Scholar] [CrossRef]
- Zimnitskiy, N.S.; Korotaev, V.Y.; Barkov, A.Y.; Kochnev, I.A.; Sosnovskikh, V.Y. Hemicurcuminoids (1-Styryl-1,3-Diketones)—Valuable Multi-Faceted Building Blocks for Organic Synthesis. New J. Chem. 2023, 47, 5110–5149. [Google Scholar] [CrossRef]
- Venugopalan, P.; Krishnankutty, K. Metal Chelates of 6-Aryl-5-Hexene-2,4-Diones. J. Indian Chem. Soc. 2001, 78, 472–473. [Google Scholar]
- Paul, M.; Krishnankutty, K. Synthesis and Characterisation of Co(II), Ni(II) and Cu(II) Complexes of Some 6-Aryl-5-Hexene-2,4-Diones. Asian J. Chem. 2002, 14, 949–954. [Google Scholar]
- Cheng, Y.J.; Li, C.W.; Kuo, C.L.; Shih, T.L.; Chen, J.J. Improved Synthesis of Asymmetric Curcuminoids and Their Assessment as Antioxidants. Molecules 2022, 27, 2547. [Google Scholar] [CrossRef]
- Maywald, M.; Rink, L. Zinc Deficiency and Zinc Supplementation in Allergic Diseases. Biomolecules 2024, 14, 863. [Google Scholar] [CrossRef] [PubMed]
- Bharti, A.; Bharati, P.; Chaudhari, U.K.; Singh, A.; Kushawaha, S.K.; Singh, N.K.; Bharty, M.K. Syntheses, Crystal Structures and Photoluminescent Properties of New Homoleptic and Heteroleptic Zinc(II) Dithiocarbamato Complexes. Polyhedron 2015, 85, 712–719. [Google Scholar] [CrossRef]
- Meza-Morales, W.; Mirian Estévez-Carmona, M.; Alvarez-Ricardo, Y.; Obregón-Mendoza, M.A.; Cassani, J.; Ramírez-Apan, M.T.; Escobedo-Martínez, C.; Soriano-García, M.; Reynolds, W.F.; Enríquez, R.G. Full Structural Characterization of Homoleptic Complexes of Diacetylcurcumin with Mg, Zn, Cu, and Mn: Cisplatin-Level Cytotoxicity in Vitro with Minimal Acute Toxicity In Vivo. Molecules 2019, 24, 1598. [Google Scholar] [CrossRef] [PubMed]
- Meza-Morales, W.; Alvarez-Ricardo, Y.; Obregón-Mendoza, M.A.; Arenaza-Corona, A.; Ramírez-Apan, M.T.; Toscano, R.A.; Poveda-Jaramillo, J.C.; Enríquez, R.G. Three New Coordination Geometries of Homoleptic Zn Complexes of Curcuminoids and Their High Antiproliferative Potential. RSC Adv. 2023, 13, 8577–8585. [Google Scholar] [CrossRef]
- Obregón-Mendoza, M.A.; Estévez-Carmona, M.M.; Alvarez-Ricardo, Y.; Meza-Morales, W.; Escobedo-Martínez, C.; Soriano-García, M.; Enríquez, R.G. Crystal Structure, Synthesis and Biological Activity of Ether and Ester Trans-Ferulic Acid Derivatives. Int. J. Org. Chem. 2018, 8, 359–377. [Google Scholar] [CrossRef]
- Mestrelab Research. MNova Software v15.0.1-35756. Available online: https://mestrelab.com/learn_support/mnova/ (accessed on 10 March 2024).
- Obregón-Mendoza, M.A.; Meza-Morales, W.; Alvarez-Ricardo, Y.; Estévez-Carmona, M.M.; Enríquez, R.G. High Yield Synthesis of Curcumin and Symmetric Curcuminoids: A “Click” and “Unclick” Chemistry Approach. Molecules 2023, 28, 289. [Google Scholar] [CrossRef]
- Arenaza-Corona, A.; Obregón-Mendoza, M.A.; Meza-Morales, W.; Ramírez-Apan, M.T.; Nieto-Camacho, A.; Toscano, R.A.; Pérez-González, L.L.; Sánchez-Obregón, R.; Enríquez, R.G. The Homoleptic Curcumin–Copper Single Crystal (ML2): A Long Awaited Breakthrough in the Field of Curcumin Metal Complexes. Molecules 2023, 28, 6033. [Google Scholar] [CrossRef]
- Rigaku Oxford Diffraction: Yarnton, U. CrysAlisPRO Software System. 2024. Available online: https://rigaku.com/products/crystallography/x-ray-diffraction/crysalispro (accessed on 10 August 2024).
- Sheldrick, G.M. A Short History of SHELX. Acta Crystallogr. A 2008, 64, 112–122. [Google Scholar] [CrossRef] [PubMed]
- Sheldrick, G.M. SHELXT—Integrated Space-Group and Crystal-Structure Determination. Acta Crystallogr. A 2015, 71, 3–8. [Google Scholar] [CrossRef]
- MacRae, C.F.; Sovago, I.; Cottrell, S.J.; Galek, P.T.A.; McCabe, P.; Pidcock, E.; Platings, M.; Shields, G.P.; Stevens, J.S.; Towler, M.; et al. Mercury 4.0: From Visualization to Analysis, Design and Prediction. J. Appl. Crystallogr. 2020, 53, 226–235. [Google Scholar] [CrossRef]
- Spek, A.L. Single-Crystal Structure Validation with the Program PLATON. J. Appl. Cryst. 2003, 36, 7–13. [Google Scholar] [CrossRef]
- Coffin, A.; Ready, J.M. Selective Synthesis of (+)-Dysoline. Org. Lett. 2019, 21, 648–651. [Google Scholar] [CrossRef] [PubMed]
- Zawadiak, J.; Mrzyczek, M. Correlation of Substituted Aromatic β-Diketones’ Characteristic Protons Chemical Shifts with Hammett Substituent Constants. Magn. Reson. Chem. 2013, 51, 689–694. [Google Scholar] [CrossRef] [PubMed]
- Li, W.; Wang, S.; Feng, J.; Xiao, Y.; Xue, X.; Zhang, H.; Wang, Y.; Liang, X. Structure Elucidation and NMR Assignments for Curcuminoids from the Rhizomes of Curcuma Longa. Magn. Reson. Chem. 2009, 47, 902–908. [Google Scholar] [CrossRef]
- Jȩdrzkiewicz, D.; Marszałek-Harych, A.; Ejfler, J. Serendipitous Synthesis Found in the Nuances of Homoleptic Zinc Complex Formation. Inorg. Chem. 2018, 57, 8169–8180. [Google Scholar] [CrossRef]
- Rachwalski, M. Special Issue: Asymmetry and Symmetry in Organic Chemistry. Symmetry 2023, 15, 1363. [Google Scholar] [CrossRef]
- Wei, X.; Yang, Y.; Ge, J.; Lin, X.; Liu, D.; Wang, S.; Zhang, J.; Zhou, G.; Li, S. Synthesis, Characterization, DNA/BSA Interactions and in Vitro Cytotoxicity Study of Palladium(II) Complexes of Hispolon Derivatives. J. Inorg. Biochem. 2020, 202, 110857. [Google Scholar] [CrossRef]
- Caruso, F.; Subbaraju, G.V.; Ramani, M.V.; Gariboldi, M.; Marras, E.; Kloer, C.; Sulovari, A.; Kaur, S.; Rossi, M. Synthesis, X-ray Diffraction and Anti-Proliferative Biological Activity of Hispolon Derivatives and Their (H6-p-Cymene)(Hispolonato)Ruthenium[II] Chloride Complexes. Inorg. Chim. Acta 2022, 542, 121099. [Google Scholar] [CrossRef]
- Groom, C.R.; Bruno, I.J.; Lightfoot, M.P.; Ward, S.C. The Cambridge Structural Database. Acta Crystallogr. B Struct. Sci. Cryst. Eng. Mater. 2016, 72, 171–179. [Google Scholar] [CrossRef]
Disclaimer/Publisher’s Note: The statements, opinions and data contained in all publications are solely those of the individual author(s) and contributor(s) and not of MDPI and/or the editor(s). MDPI and/or the editor(s) disclaim responsibility for any injury to people or property resulting from any ideas, methods, instructions or products referred to in the content. |
© 2024 by the authors. Licensee MDPI, Basel, Switzerland. This article is an open access article distributed under the terms and conditions of the Creative Commons Attribution (CC BY) license (https://creativecommons.org/licenses/by/4.0/).










