Terahertz Dielectric Metasurface for Reconfigurable Multifunctional Holographic Dual-Mode Imaging Controlled by Graphene
Abstract
1. Introduction
2. Materials and Methods
’, ‘
’, and ‘
’ is achieved by switching LCP, RCP, and LP incidences, respectively. The operation frequency range is 1.15–1.35 THz (16%) for the reflection mode, and 1.32–1.6 THz (19%) for the transmission mode. The holographic imaging is co- and cross-polarization for reflection and transmission modes, respectively.2.1. Phase Change Principle of Graphene
2.2. The Phases (ϕx, ϕy, β) Calculation Principle for Geometry–Propagation Phase Unit
2.3. Gerchberg–Saxton Algorithm
’, ‘
’, in z-axis direction are established by computer holography technology based on MATLAB 2022. First, painting software is used to draw the required images (including the black background and the white images). Second, the amplitude matrix A0 (m × n) in the image area is obtained by the MATLAB function ‘imread’ and ‘binary’. In A0 (m × n), the intensities are “1” and “0” for points (x, y, 0) in white and black, respectively. Third, the MATLAB function ‘random’ generates a random phase matrix ΦGS0 (m × n). Apply Fourier transform to the matrices A0 and ΦGS0 and obtain the amplitude and phase matrices in the frequency domains A1 and ΦGS1. Then, update all the amplitude matrix values in A1 (m × n) to 1; that is, A′1 (x, y) = 1. Perform the inverse Fourier transform on A′1 and ΦGS1 and obtain the amplitude and phase matrices in the time domains A2 and ΦGS2. Repeat the iterative operations of step 2 and step 3 and update the i-th iteration amplitude Ai (x, y) to A′I (x, y) = 1 until the error threshold , where . Then, the phase distribution map for the metasurface is obtained.2.4. The Total Compensated Phase Calculation Based on Transmission Mode
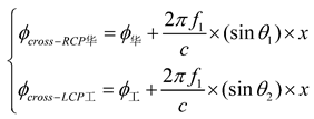
’ is generated in the direction (θ1, 0°). Under RCP incidence, a holographic imaging LCP ‘
’ is generated in the direction (θ2, 0°). The phase compensation for the metasurface obtained by GS algorithm is ΦGS, which is for the images in normal direction. An additional compensated phase is added for the desired imaging direction (θ, 0°), and the compensated phase for RCP ‘
’ or LCP ‘
’ for the metasurface unit located at (x, y, 0) is as follows:
’, ‘
’, and ‘
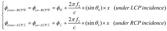
’ are calculated by Equations (5) and (8).2.5. The Imaging Direction Deduction for Reflection Mode
’, θ1, 0°) and (LCP, ‘
’, θ2, 0°), designed in the transmission mode, has changed into the co-polarized imaging of (LCP, ‘
’, θ3, 0°) and (RCP, ‘
’, θ4, 0°) in the reflection mode, as shown in Figure 3. Though the phase distribution map of the metasurface is calculated based on the transmission mode, (LCP, ‘
’, θ3, 0°) and (RCP, ‘
’, θ4, 0°) are generated under LCP and RCP incidences in reflection mode, respectively. Because the graphene permittivity is a function of its state, the operation frequency f2 and direction θ3(4) for the reflection mode are different from f1 and θ1(2) in the transmission mode. The direction θ3(4) is calculated as follows:
2.6. Unit Cell Design
’, −14°, 0°), (b) (LCP, ‘
’, 17.5°, 0°), and (c) both (RCP, ‘
’, −14°, 0°) and (LCP, ‘
’, 17.5°, 0°) are achieved by switching between LCP, RCP, and LP incidences, respectively. (2) Reconfigurable multifunctional holographic imaging (Chinese characters) with co-polarization are achieved in reflection mode when Ef = 0.9 eV: (a) (RCP, ‘
’, −16°, 0°), (b) (LCP, ‘
’, 20°, 0°), (c) both (RCP, ‘
’, −16°, 0°) and (LCP, ‘
’, 20°, 0°), achieved by switching between the RCP, LCP, and LP incidences, respectively. All the curves and field patterns are simulated by CST Microwave Studio software (version 2020).2.7. Metasurface Design
’, −14°, 0°), (b) (LCP, ‘
’, 17.5°, 0°), and (c) both (RCP, ‘
’, −14°, 0°) and (LCP, ‘
’, 17.5°, 0°), achieved by switching LCP, RCP, and LP incidences, respectively. (2) Reconfigurable multifunctional co-polarized holographic imaging in reflection mode when Ef = 0.9 eV: (a) (RCP, ‘
’, −16°, 0°), (b) (LCP, ‘
’, 20°, 0°), (c) both (RCP, ‘
’, −16°, 0°) and (LCP, ‘
’, 20°, 0°), achieved by switching the RCP, LCP, and LP incidences, respectively.3. Results
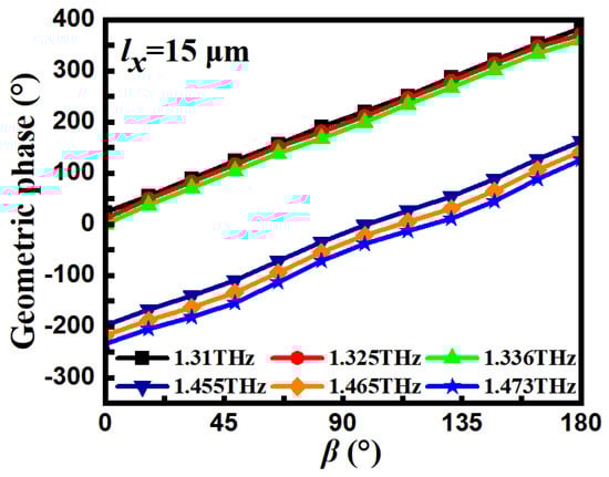
3.1. 2D and 3D Far-Field Properties
’, RCP, θ = −14°, φ = 0°), (‘
’, LCP, θ = 17.5°, φ = 0°), and both (‘
’, RCP, θ = −14°, φ = 0°) and (‘
’, LCP, θ = 17.5°, φ = 0°), achieved by switching LCP, RCP, and LP incidences, respectively. Reconfigurable multifunctional co-polarized holographic imaging is achieved at 1.325 THz in reflection mode among (‘
’, RCP, θ = −16°, φ = 0°), ‘
’, LCP, θ = 20°, φ = 0°), and both (‘
’, RCP, θ = −16°, φ = 0°) and (‘
’, LCP, θ = 20°, φ = 0°), achieved by switching the RCP, LCP, and LP incidences, respectively. The simulated and calculated holographic imaging are in good agreement. Because LP wave can be decomposed into two equal LCP and RCP waves, both the LCP and RCP excitation are performed simultaneously, and the holographic imaging for the LP incidence is the holographic imaging sum of the LCP and RCP incidences.3.2. Analysis of the Bandwidth Characteristics
3.3. Holographic Efficiencies
4. Discussion
5. Conclusions
’, RCP, θ = −14°, φ = 0°), (‘
’, LCP, θ = 17.5°, φ = 0°), and (‘
’, RCP, θ = −14°, φ = 0° and ‘
’, LCP, θ = 17.5°, φ = 0°) by switching LCP, RCP, and LP incidences, respectively; (2) reconfigurable co-polarized three-channel holographic imaging in reflection mode from 1.15 THz to 1.35 THz: (‘
’, RCP, θ = −16°, φ = 0°), (‘
’, LCP, θ = 20°, φ = 0°), and (‘
’, RCP, θ = −16°, φ = 0°, and ‘
’, LCP, θ = 20°, φ = 0°) by switching the RCP, LCP, and LP incidences, respectively. Compared to published holographic imaging, ours has more channel numbers (six holographic imaging channels) and higher holographic efficiency (42.5% to 49%). These characteristics make the proposed metasurface potentially applicable in information encryption transmission, multi-channel imaging, and other related fields.Author Contributions
Funding
Data Availability Statement
Acknowledgments
Conflicts of Interest
References
- Tian, Y.; Wei, Q.; Cheng, Y.; Liu, X. Acoustic holography based on composite metasurface with decoupled modulation of phase and amplitude. Appl. Phys. Lett. 2017, 110, 19190. [Google Scholar] [CrossRef]
- Xie, Y.; Shen, C.; Wang, W.; Li, J.; Suo, D.; Popa, B.-I.; Jing, Y.; Cummer, S.A. Acoustic holographic rendering with two-dimensional metamaterial-based passive phased array. Sci. Rep. 2016, 6, 35437. [Google Scholar] [CrossRef]
- Chen, W.; Javidi, B.; Chen, X. Advances in optical security systems. Adv. Opt. Photonics 2014, 6, 120–155. [Google Scholar] [CrossRef]
- Jiang, Q.; Jin, G.; Cao, L. When metasurface meets hologram: Principle and advances. Adv. Opt. Photonics 2019, 11, 518–576. [Google Scholar] [CrossRef]
- Huang, L.; Chen, X.; Mühlenbernd, H.; Zhang, H.; Chen, S.; Bai, B.; Tan, Q.; Jin, G.; Cheah, K.-W.; Qiu, C.-W.; et al. Three-dimensional optical holography using a plasmonic metasurface. Nat. Commun. 2013, 4, 2808. [Google Scholar] [CrossRef]
- Li, Z.; Dai, Q.; Mehmood, M.Q.; Hu, G.; Yanchuk, B.L.; Tao, J.; Hao, C.; Kim, I.; Jeong, H.; Zheng, G.; et al. Full-space cloud of random points with a scrambling metasurface. Light Sci. Appl. 2018, 7, 63. [Google Scholar] [CrossRef] [PubMed]
- Deng, L.; Deng, J.; Guan, Z.; Tao, J.; Chen, Y.; Yang, Y.; Zhang, D.; Tang, J.; Li, Z.; Li, Z.; et al. Malus-metasurface-assisted polarization multiplexing. Light Sci. Appl. 2020, 9, 101. [Google Scholar] [CrossRef] [PubMed]
- Li, Z.; Chen, C.; Guan, Z.; Tao, J.; Chang, S.; Dai, Q.; Xiao, Y.; Cui, Y.; Wang, Y.; Yu, S.; et al. Three-Channel Metasurfaces for Simultaneous Meta-Holography and Meta-Nanoprinting: A Single-Cell Design Approach. Laser Photonics Rev. 2020, 14, 200003. [Google Scholar] [CrossRef]
- Wang, H.; Zhang, B.; Han, C.; Ding, J. Polarization-multiplexed wavefront-engineering by all-dielectric metasurface with asymmetric polarization-decoupled meta-atoms. Opt. Express 2021, 29, 32377–32387. [Google Scholar] [CrossRef] [PubMed]
- Zhang, Q.; Wang, J.; Xie, R.; Gu, Z.; Zhang, Z.; Wang, X.; Zhang, H.; Chen, C.; Chen, W.; Ding, J.; et al. Four-channel joint- polarization-frequency-multiplexing encryption meta-hologram based on dual-band polarization multiplexing meta-atoms. Opt. Express 2023, 31, 17569–17579. [Google Scholar] [CrossRef] [PubMed]
- Zhu, L.; Wei, J.; Dong, L.; Shang, G.; Guan, C.; Burokur, S.N.; Ding, X. Four-channel meta-hologram enabled by a frequency-multiplexed mono-layered geometric phase metasurface. Opt. Express 2024, 32, 4553–4563. [Google Scholar] [CrossRef] [PubMed]
- Zhu, L.; Zhou, W.; Dong, L.; Guan, C.; Shang, G.; Ding, X.; Burokur, S.N.; Wu, Q. Full Space Control of Meta-Holograms Utilizing a Bilayered Patterned Coding Metasurface. IEEE Antennas Wirel. Propag. Lett. 2022, 21, 322–326. [Google Scholar] [CrossRef]
- Wang, K.; Liao, D.; Wang, H. Reconfigurable origami hologram based on deep neural networks. Opt. Lett. 2024, 49, 2041–2044. [Google Scholar] [CrossRef] [PubMed]
- Chen, S.C.; Du, L.H.; Meng, K.; Li, J.; Zhai, Z.H.; Shi, Q.W.; Li, Z.R.; Zhu, L.G. Terahertz wave near-field compressive imaging with a spatial resolution of over λ/100. Opt. Lett. 2019, 44, 21–24. [Google Scholar] [CrossRef] [PubMed]
- Liu, H.C.; Yang, B.; Guo, Q.; Shi, J.; Guan, C.; Zheng, G.; Mühlenbernd, H.; Li, G.; Zentgraf, T.; Zhang, S. Single-pixel computational ghost imaging with helicity-dependent metasurface hologram. Sci. Adv. 2017, 3, e1701477. [Google Scholar] [CrossRef] [PubMed]
- Dai, Y.; Chen, C.; Gao, P.; Lu, X.; Zhao, J.; Wan, Y.; Wang, X.; Zhao, S.; Liu, H. 3-bit reconfigurable THz metasurface based on structured light illumination for vortex beams and holographic imaging. Opt. Laser Technol. 2024, 169, 109951. [Google Scholar] [CrossRef]
- Du, Z.; He, C.; Xin, J.; Song, Z. Terahertz dynamic multichannel holograms generated by spin-multiplexing reflective metasurface. Opt. Express 2023, 32, 248–259. [Google Scholar] [CrossRef]
- Ren, B.; Tang, S.; Feng, Y.; Cui, Y.; Liu, J.; Song, J.; Jiang, Y. Dynamic and complete terahertz wavefront manipulation via an anisotropic coding metasurface. Appl. Opt. 2022, 61, 7558–7564. [Google Scholar] [CrossRef] [PubMed]
- Cao, G.; Lin, H.; Jia, B.; Yuan, X.; Somekh, M.; Wei, S. Design of a dynamic multi-topological charge graphene orbital angular momentum metalens. Opt. Express 2023, 31, 2102–2111. [Google Scholar] [CrossRef] [PubMed]
- Yao, G.; Ling, F.; Yue, J.; Luo, C.; Ji, J.; Yao, J. Dual-band tunable perfect metamaterial absorber in the THz range. Opt. Express 2016, 24, 1518–1527. [Google Scholar] [CrossRef] [PubMed]
- Cheng, Y.; Zhu, X.; Li, J.; Chen, F.; Luo, H.; Wu, L. Terahertz broadband tunable reflective cross-polarization convertor based on complementary cross-shaped graphene metasurface. Phys. E Low-Dimens. Syst. Nanostruct. 2021, 134, 114893. [Google Scholar] [CrossRef]
- Ding, G.; Chen, K.; Luo, X.; Zhao, J.; Jiang, T.; Feng, Y. Dual-Helicity Decoupled Coding Metasurface for Independent Spin-to-Orbital Angular Momentum Conversion. Phys. Rev. Appl. 2019, 11, 044043. [Google Scholar] [CrossRef]
- Gou, Y.; Ma, H.F.; Wu, L.W.; Wang, Z.X.; Xu, P.; Cui, T.J. Broadband Spin-Selective Wavefront Manipulations Based on Pancharatnam–Berry Coding Metasurfaces. ACS Omega 2021, 6, 30019–30026. [Google Scholar] [CrossRef]
- Toms, N.; Chapman, J.; Ferrier, R. The application of the gerchberg-saxton algorithm to lorentz microscopy. In Proceedings of the Electron Microscopy 1972: Proceedings of the Fifth European Congress on Electron Microscopy, Manchester, UK, 5–12 September 1972. [Google Scholar]
- Xu, J.; Liu, W.; Song, Z. Graphene-based terahertz metamirror with wavefront reconfiguration. Opt. Express 2021, 29, 39574–39585. [Google Scholar] [CrossRef] [PubMed]
- Wu, G.; Wang, W.; Zhang, R.; Yan, F.; Liang, L.; Yan, X.; Yao, H.; Wang, Z.; Li, Z.; Xu, L. Metamaterial graphene sensors for the detection of two food additives. Opt. Express 2023, 31, 32162–32171. [Google Scholar] [CrossRef] [PubMed]
- Qi, Y.; Zhou, Z.; Shi, Q.; Wen, Y.; Wang, L.; Zhao, S.; Zhang, S.; Wang, X. Dual-function tunable metasurface for polarization-insensitive electromagnetic induction transparency and dual-band absorption. Nanotechnology 2023, 35, 015204. [Google Scholar] [CrossRef] [PubMed]
- Zhu, X.; Cheng, Y.; Fan, J.; Chen, F.; Luo, H.; Wu, L. Switchable efficiency terahertz anomalous refraction and focusing based on graphene metasurface. Diam. Relat. Mater. 2022, 121, 108743. [Google Scholar] [CrossRef]
- Barzegar-Parizi, S.; Ebrahimi, A.; Ghorbani, K. Two bits dual-band switchable terahertz absorber enabled by composite graphene and vanadium dioxide metamaterials. Sci. Rep. 2024, 14, 5818. [Google Scholar] [CrossRef] [PubMed]
- Wang, P.; Han, W.; Tao, H.; Zhang, C.; Xu, Y.; Wang, Q. Multifunctional Graphene Metasurface for Highly Flexible Control of Microwave Absorption. ACS Appl. Mater. Interfaces 2024, 16, 2649–2658. [Google Scholar] [CrossRef] [PubMed]
- Fu, C.; Zhang, L.; Zhang, Y.; Li, N.; Gu, S.; Ju, J.; Pan, R.; Liu, X.; Han, L. Bifunctional flexible metasurface based on graphene and vanadium dioxide for polarization conversion and absorption. Diam. Relat. Mater. 2024, 142, 110862. [Google Scholar] [CrossRef]
- Shi, H.; Tian, J.; Chen, N.; Zhu, W. Wideband high-efficiency scattering reduction in a graphene based optically transparent and flexible metasurface. Carbon 2024, 225, 119150. [Google Scholar] [CrossRef]
- Sabaruddin, N.R.; Tan, Y.M.; Chen, S.H.; Chou Chao, C.T.; Lim, C.M.; Thotagamuge, R.; Kooh, M.R.; Chou Chau, Y.F. Designing a broadband terahertz metamaterial absorber through bi-Layer hybridization of metal and graphene. Plasmonics 2024, 1–14. [Google Scholar] [CrossRef]
- Zheng, B.; Zhang, J.; Shan, Y.; Li, N.; Zhang, Y. Wideband RCS Reduction Metasurface Based on Printing Resistive Graphene Ink. IEEE Antennas Wirel. Propag. Lett. 2024, 23, 2041–2045. [Google Scholar] [CrossRef]











| Incidence | Fermi Energy | Frequency | Channel | Hologram (Polarization, Pattern, Reflection Angle) |
|---|---|---|---|---|
| LCP | 0.1 eV | f1 | T1 1 | RCP, ‘ ’, (θ1, 0°) |
| 0.9 eV | f2 | R1 | LCP, ‘ ’, (θ3, 0°) | |
| RCP | 0.1 eV | f1 | T2 | LCP, ‘ ’, (θ2, 0°) |
| 0.9 eV | f2 | R2 | RCP, ‘ ’, (θ4, 0°) | |
| LP | 0.1 eV | f1 | T3 | RCP, ‘ ’, (θ1, 0°), and LCP, ‘ ’, (θ2, 0°) |
| 0.9 eV | f2 | R3 | RCP, ‘ ’, (θ4, 0°), and LCP, ‘ ’, (θ3,0°), |
| Reference | Frequency | Number of Channels | TS or RS | Relative Bandwidth | Holographic Efficiency |
|---|---|---|---|---|---|
| [9] | 375 THz | 2 | TS | 0 | NA 1 |
| [10] | 7.5, 13 GHz | 4 | RS | 0 | NA |
| [11] | 7.2, 9.1, 10.9, 15.2 GHz | 4 | TS | 0 | NA |
| [17] | 1.1–1.6 THz | 4 | RS | 37% | 44.2%, 45.9% |
| This work | 1.15–1.35, 1.32–1.6 THz | 6 | TS, RS | 16%(TS), 19% (RS) | 42.5%, 42.8%, 49% (TS), 44.8%, 45.1%, 47% (RS) |
Disclaimer/Publisher’s Note: The statements, opinions and data contained in all publications are solely those of the individual author(s) and contributor(s) and not of MDPI and/or the editor(s). MDPI and/or the editor(s) disclaim responsibility for any injury to people or property resulting from any ideas, methods, instructions or products referred to in the content. |
© 2024 by the authors. Licensee MDPI, Basel, Switzerland. This article is an open access article distributed under the terms and conditions of the Creative Commons Attribution (CC BY) license (https://creativecommons.org/licenses/by/4.0/).
Share and Cite
Huang, H.-F.; Wang, J.-Y. Terahertz Dielectric Metasurface for Reconfigurable Multifunctional Holographic Dual-Mode Imaging Controlled by Graphene. Crystals 2024, 14, 713. https://doi.org/10.3390/cryst14080713
Huang H-F, Wang J-Y. Terahertz Dielectric Metasurface for Reconfigurable Multifunctional Holographic Dual-Mode Imaging Controlled by Graphene. Crystals. 2024; 14(8):713. https://doi.org/10.3390/cryst14080713
Chicago/Turabian StyleHuang, Hui-Fen, and Jian-Yuan Wang. 2024. "Terahertz Dielectric Metasurface for Reconfigurable Multifunctional Holographic Dual-Mode Imaging Controlled by Graphene" Crystals 14, no. 8: 713. https://doi.org/10.3390/cryst14080713
APA StyleHuang, H.-F., & Wang, J.-Y. (2024). Terahertz Dielectric Metasurface for Reconfigurable Multifunctional Holographic Dual-Mode Imaging Controlled by Graphene. Crystals, 14(8), 713. https://doi.org/10.3390/cryst14080713








