Heat-Affected Zone Microstructural Study via Coupled Numerical/Physical Simulation in Welded Superduplex Stainless Steels
Abstract
1. Introduction
2. Materials and Methods
2.1. General Procedure
2.2. Materials
2.3. Calibration Welding
2.3.1. Calibration Welding with Weaving
2.3.2. Calibration Welding without Weaving
2.3.3. Numerical Simulation
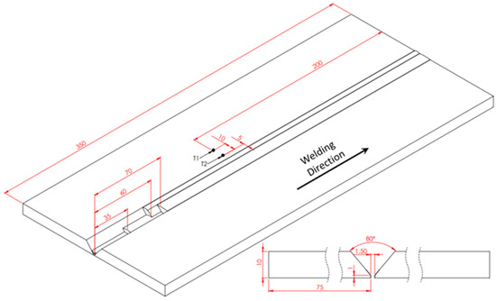
2.4. Production of Test Specimens
2.4.1. Parameter Selection
2.4.2. Physical Simulation
2.4.3. Real Welding
2.5. Microstructural Characterization
3. Results and Discussion
3.1. Welding Calibration and Numerical Simulation
3.2. Numerical Simulation and Physical Simulation
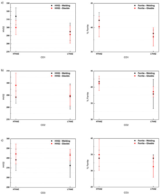
3.3. Physical Simulation and Real Welding
4. Conclusions
Author Contributions
Funding
Data Availability Statement
Acknowledgments
Conflicts of Interest
References
- Zhao, G.; Zhang, R.; Li, J.; Li, H.; Ma, L.; Li, Y. Study on Microstructure and Tensile Damage Evolution of 2205 Duplex Steel at Different Solution Temperatures. Mater. Today Commun. 2022, 33, 104472. [Google Scholar] [CrossRef]
- Calderon-Uriszar-aldaca, I.; Briz, E.; Garcia, H.; Matanza, A. The Weldability of Duplex Stainless-Steel in Structural Components to Withstand Corrosive Marine Environments. Metals 2020, 10, 1475. [Google Scholar] [CrossRef]
- Arun, D.; Devendranath Ramkumar, K.; Vimala, R. Multi-Pass Arc Welding Techniques of 12 mm Thick Super-Duplex Stainless Steel. J. Mater. Process Technol. 2019, 271, 126–143. [Google Scholar] [CrossRef]
- Tavares, S.S.M.; Silva, V.G.; Pardal, J.M.; Corte, J.S. Investigation of Stress Corrosion Cracks in a UNS S32750 Superduplex Stainless Steel. Eng. Fail. Anal. 2013, 35, 88–94. [Google Scholar] [CrossRef]
- Pardal, J.M.; Tavares, S.S.M.; Fonseca, M.D.P.C.; Souza, J.A.D.; Vieira, L.M.; Abreu, H.F.G.D. Deleterious Phases Precipitation on Superduplex Stainless Steel UNS S32750: Characterization by Light Optical and Scanning Electron Microscopy. Mater. Res. 2010, 13, 401–407. [Google Scholar] [CrossRef]
- Freitas, G.C.L.D.; da Fonseca, G.S.; Moreira, L.P.; Leite, D.N.F. Phase Transformations of the Duplex Stainless Steel UNS S31803 under Non-Isothermal Conditions. J. Mater. Res. Technol. 2021, 11, 1847–1851. [Google Scholar] [CrossRef]
- de Farias Azevedo, C.R.; Boschetti Pereira, H.; Wolynec, S.; Padilha, A.F. An Overview of the Recurrent Failures of Duplex Stainless Steels. Eng. Fail. Anal. 2019, 97, 161–188. [Google Scholar] [CrossRef]
- Fonseca, C.S.; da Silva, S.N.; Gomes, H.G.; Silva, D.W.; Júnior, J.B.G.; Pinheiro, I.P. Evaluation of the Sigma Phase Precipitation Susceptibility in Duplex Stainless Steel SAF2205 Welding. Rev. Mater. 2019, 24, e12470. [Google Scholar] [CrossRef]
- Acuna, A.; Ramirez, A.J. Sigma Phase Formation Kinetics in Hyper Duplex Stainless Steel Welding Filler Metal. Mater. Charact. 2023, 200, 112832. [Google Scholar] [CrossRef]
- Singh, J.; Shahi, A.S. Impact Toughness, Fatigue Crack Growth and Corrosion Behavior of Thermally Aged UNS S32205 Duplex Stainless Steel. Trans. Indian Inst. Met. 2019, 72, 1497–1502. [Google Scholar] [CrossRef]
- Chaudhari, A.N.; Dixit, K.; Bhatia, G.S.; Singh, B.; Singhal, P.; Saxena, K.K. Welding Behaviour of Duplex Stainless Steel AISI 2205: AReview. Mater. Today Proc. 2019, 18, 2731–2737. [Google Scholar] [CrossRef]
- Zhang, Z.; Zhang, H.; Hu, J.; Qi, X.; Bian, Y.; Shen, A.; Xu, P.; Zhao, Y. Microstructure Evolution and Mechanical Properties of Briefly Heat-Treated SAF 2507 Super Duplex Stainless Steel Welds. Constr. Build. Mater. 2018, 168, 338–345. [Google Scholar] [CrossRef]
- Deepu, M.J.; Phanikumar, G. ICME Framework for Simulation of Microstructure and Property Evolution During Gas Metal Arc Welding in DP980 Steel. Integr. Mater. Manuf. Innov. 2020, 9, 228–239. [Google Scholar] [CrossRef]
- Hosseini, V.A.; Cederberg, E.; Hurtig, K.; Karlsson, L. A Physical Simulation Technique for Cleaner and More Sustainable Research in Additive Manufacturing. J. Clean. Prod. 2021, 285, 124910. [Google Scholar] [CrossRef]
- Gáspár, M.; Sisodia, R.P.S.; Dobosy, A. Physical Simulation-Based Characterization of HAZ Properties in Steels. Part 2. Dual-Phase Steels. Strength. Mater. 2019, 51, 805–815. [Google Scholar] [CrossRef]
- Genchev, G.; Doynov, N.; Ossenbrink, R.; Michailov, V.; Bokuchava, G.; Petrov, P. Residual Stresses Formation in Multi-Pass Weldment: A Numerical and Experimental Study. J. Constr. Steel Res. 2017, 138, 633–641. [Google Scholar] [CrossRef]
- Varbai, B.; Pickle, T.; Májlinger, K. Effect of Heat Input and Role of Nitrogen on the Phase Evolution of 2205 Duplex Stainless Steel Weldment. Int. J. Press. Vessel. Pip. 2019, 176, 103952. [Google Scholar] [CrossRef]
- Sakata, M.; Kadoi, K.; Inoue, H. Age-Hardening Behaviors of the Weld Metals of 22% Cr and 25% Cr Duplex Stainless Steels at 400 °C. J. Nucl. Mater. 2023, 581, 154438. [Google Scholar] [CrossRef]
- Dornelas, P.H.G.; Filho, J.d.C.P.; Farias, F.W.C.; e Oliveira, V.H.P.M.; Moraes, D.d.O.; Júnior, P.Z. FEM-Thermodynamic Simulation Methodology to Predict the Influence of T8/5 on the Coarse Grain Heat-Affected Zone of a Cr-Mo Low-Alloy Steel Pipe. J. Manuf. Process 2020, 60, 520–529. [Google Scholar] [CrossRef]
- Palmieri, M.E.; Lorusso, V.D.; Tricarico, L. Investigation of Material Properties of Tailored Press Hardening Parts Using Numerical and Physical Simulation. Procedia Manuf. 2020, 50, 104–109. [Google Scholar] [CrossRef]
- Hosseini, V.A.; Hurtig, K.; Karlsson, L. Effect of Multipass TIG Welding on the Corrosion Resistance and Microstructure of a Super Duplex Stainless Steel. Mater. Corros. 2017, 68, 405–415. [Google Scholar] [CrossRef]
- Rikken, M.; Pijpers, R.; Slot, H.; Maljaars, J. A Combined Experimental and Numerical Examination of Welding Residual Stresses. J. Mater. Process Technol. 2018, 261, 98–106. [Google Scholar] [CrossRef]
- Hosseini, V.A.; Karlsson, L. Physical and Kinetic Simulation of Nitrogen Loss in High Temperature Heat Affected Zone of Duplex Stainless Steels. Materialia 2019, 6, 100325. [Google Scholar] [CrossRef]
- American Welding Society. AWS A5.9/A5.9:2017 Welding Consumables–Wire Electrodes, Strip Electrodes, Wires, and Rods for Arc Welding of Stainless and Heat Resisting Steels–Classification, 9th ed.; The American Society of Mechanical Engineers: New York, NY, USA, 2017; ISBN 978-0-7918-7079-2. [Google Scholar]
- Chail, G.; Kangas, P. Super and Hyper Duplex Stainless Steels: Structures, Properties and Applications. Procedia Struct. Integr. 2016, 2, 1755–1762. [Google Scholar] [CrossRef]
- Goldak, J.; Chakravarti, A.; Bibby, M. A New Finite Element Model for Welding Heat Sources. Metall. Trans. B 1984, 15, 299–305. [Google Scholar] [CrossRef]
- Hemmesi, K.; Mallet, P.; Farajian, M. Numerical Evaluation of Surface Welding Residual Stress Behavior under Multiaxial Mechanical Loading and Experimental Validations. Int. J. Mech. Sci. 2020, 168, 105127. [Google Scholar] [CrossRef]
- Wang, Z.; Wang, K.; Liu, Y.; Zhu, B.; Zhang, Y.; Li, S. Multi-Scale Simulation for Hot Stamping Quenching & Partitioning Process of High-Strength Steel. J. Mater. Process Technol. 2019, 269, 150–162. [Google Scholar] [CrossRef]
- Putz, A.; Althuber, M.; Zelić, A.; Westin, E.M.; Willidal, T.; Enzinger, N. Methods for the Measurement of Ferrite Content in Multipass Duplex Stainless Steel Welds. Weld. World 2019, 63, 1075–1086. [Google Scholar] [CrossRef]
- ASTM E562; Standard Test Method for Determining Volume Fraction by Systematic Manual Point Count. ASTM International: West Conshohocken, PA, USA, 2000.
- ASTM A370; Standard Test Methods and Definitions for Mechanical Testing of Steel Products. ASTM International: West Conshohocken, PA, USA, 2019.
- Vieira, D.; Andrade, E.; Jorge, V.L.; Araújo, D.B.; Scotti, A. Determinação de “Overshoot” Em Simulação Física de ZAC de Soldagem. In Proceedings of the XLIV CONSOLDA—Congresso Nacional de Soldagem, Uberlândia, MG, Brazil, 10–13 September 2018; Volume 12. [Google Scholar]
- Nuñez de la Rosa, Y.E.; Calabokis, O.P.; Pena Uris, G.M.; Borges, P.C. Pitting and Crevice Corrosion Behavior of the Duplex Stainless Steel UNS S32205 Welded by Using the GTAW Process. Mater. Res. 2022, 25, e20220179. [Google Scholar] [CrossRef]
- Mohammed, G.; Ishak, M.; Aqida, S.; Abdulhadi, H. Effects of Heat Input on Microstructure, Corrosion and Mechanical Characteristics of Welded Austenitic and Duplex Stainless Steels: A Review. Metals 2017, 7, 39. [Google Scholar] [CrossRef]
- Biezmaa, M.V.; Berlangab, C.; Argandonac, G. Relationship between Microstructure and Fracture Types in a UNS S32205 Duplex Stainless Steel. Mater. Res. 2013, 16, 965–969. [Google Scholar] [CrossRef]
- Chen, L.; Tan, H.; Wang, Z.; Li, J.; Jiang, Y. Influence of Cooling Rate on Microstructure Evolution and Pitting Corrosion Resistance in the Simulated Heat-Affected Zone of 2304 Duplex Stainless Steels. Corros. Sci. 2012, 58, 168–174. [Google Scholar] [CrossRef]
- Da Fonseca, G.S.; Barbosa, L.O.R.; Ferreira, E.A.; Xavier, C.R.; De Castro, J.A. Microstructural, Mechanical, and Electrochemical Analysis of Duplex and Superduplex Stainless Steels Welded with the Autogenous TIG Process Using Different Heat Input. Metals 2017, 7, 538. [Google Scholar] [CrossRef]
- Olaya-Luengas, L.; Morejón, J.A.P.; Rezende, M.C.; Bott, I.d.S. Análise Microestrutural Da Zta Simulada Na Gleeble Do Aço Duplex Saf 2205. In Proceedings of the 71th ABM Annual Congress, Rio de Janeiro, RJ, Brazil, 27–29 September 2016; pp. 956–965. [Google Scholar] [CrossRef][Green Version]
- Verma, J.; Taiwade, R.V. Effect of Welding Processes and Conditions on the Microstructure, Mechanical Properties and Corrosion Resistance of Duplex Stainless Steel Weldments—A Review. J. Manuf. Process 2017, 25, 134–152. [Google Scholar] [CrossRef]
- Hosseini, V.A.; Valiente Bermejo, M.A.; Gårdstam, J.; Hurtig, K.; Karlsson, L. Influence of Multiple Thermal Cycles on Microstructure of Heat-Affected Zone in TIG-Welded Super Duplex Stainless Steel. Weld. World 2016, 60, 233–245. [Google Scholar] [CrossRef]










| Material | C | Cr | Ni | Mo | Mn | Si | N | P | S | Cu | W | PREN 1 |
|---|---|---|---|---|---|---|---|---|---|---|---|---|
| SDSS | 0.015 | 24.72 | 6.88 | 3.80 | 0.74 | 0.42 | 0.27 | 0.029 | 0.01 | - | - | 41.58 |
| ER2594 | 0.003 | 24.0–27.0 | 8.0–10.5 | 2.5–4.5 | 2.5 | 0.03 | 0.20–0.30 | 0.03 | 0.02 | 1.5 | 1.0 | 35.45–46.65 |
| Parameter | PASS 1 | PASS 2 | PASS 3 | PASS 4 | PASS 5 |
|---|---|---|---|---|---|
| Start (s) | 0 | 703 | 2626 | 4298.6 | 5073 |
| End (s) | 360 | 1030 | 2940 | 4625 | 5172 |
| Interpass waiting time (s) | 0 | 343 | 1596 | 1358.6 | 448 |
| Welding time (s) | 360 | 327 | 314 | 326.4 | 99 |
| Bead size (mm) | 350 | 350 | 315 | 290 | 280 |
| Speed (mm/s) | 2.70 | 2.77 | 6.09 | 6.09 | 5.42 |
| Voltage (V) | 12.5 | 12.5 | 32 | 32 | 32 |
| Current (A) | 154 | 146 | 114 | 112 | 103 |
| Efficiency (η) | 0.4 | 0.55 | 0.45 | 0.5 | 0.6 |
| Parameter | GTAW | GMAW | Unit |
|---|---|---|---|
| Front length (af) | 2 | 4.5 | mm |
| Rear length (ar) | 8 | 14 | mm |
| Depth (d) | 4 | 7 | mm |
| Width (b) | 1 | 5 | mm |
| Gaussian parameter (M) | 3 | 3 | - |
| Convective heat transfer coefficient (h) | 20 | 20 | W/m2k |
| Contact heat transfer coefficient (α) | 1000 | 1000 | W/m2k |
| Emissivity (ε) | 0.6 | 0.6 | - |
| Condition | 1st Pass (GTAW) [kJ/mm] | 2nd Pass (GTAW) [kJ/mm] | Subsequent Passes (GMAW) [kJ/mm] | Interpass Temperature [°C] |
|---|---|---|---|---|
| CD1 | 0.84 | 0.63 | 0.84 | 100 |
| CD2 | 1.32 | 0.99 | 1.32 | 100 |
| CD3 | 1.98 | 1.49 | 1.98 | 100 |
| Condition | Pass | Speed [mm/min] | Voltage [V] | Current [A] | HI [kJ/mm] |
|---|---|---|---|---|---|
| CD1 | 1 | 79.96 ± 7.01 | 10.29 ± 0.52 | 114.00 ± 0.01 | 0.88 |
| 2 | 105.62 ± 9.23 | 10.20 ± 0.47 | 114.00 ± 0.01 | 0.66 | |
| 3–7 | 360–370 | 23.89 ± 0.10 | 160–175 | 0.66–0.68 | |
| CD2 | 1 | 79.96 ± 7.01 | 10.29 ± 0.52 | 114.00 ± 0.01 | 0.88 |
| 2 | 105.62 ± 9.23 | 10.20 ± 0.47 | 114.00 ± 0.01 | 0.66 | |
| 3–7 | 360–370 | 23.89 ± 0.10 | 160–175 | 0.66–0.68 | |
| CD3 | 1 | 54.45 ± 4.89 | 12.23 ± 0.34 | 148.00 ± 0.01 | 1.99 |
| 2 | 108.43 ± 5.24 | 13.17 ± 0.43 | 219.00 ± 0.01 | 1.60 | |
| 3–5 | 200–230 | 29.25 ± 0.10 | 240–260 | 1.83–2.15 |
| Region | CD1 | CD2 | CD3 | |||
|---|---|---|---|---|---|---|
| Gleeble (%) | Welded (%) | Gleeble (%) | Gleeble (%) | Welded (%) | Gleeble (%) | |
| LTHAZ | 38.5 ± 1.9 | 38.8 ± 0.7 | 38.6 ± 1.6 | 37.9 ± 4.5 | 31.3 ± 3.3 | 33.9 ± 1.1 |
| HTHAZ | 40.2 ± 2.1 | 41.5 ± 1.6 | 41.2 ± 2.2 | 41.7 ± 0.9 | 35 ± 4.8 | 33.9 ± 2.5 |
| Gleeble (HV02) | Welded (HV02) | Gleeble (HV02) | Welded (HV02) | Gleeble (HV02) | Welded (HV02) | |
| LTHAZ | 291.4 ± 10.7 | 295 ± 10.2 | 289.8 ± 8.6 | 288.5 ± 5.0 | 283.2 ± 5.8 | 272.5 ± 12.2 |
| HTHAZ | 300.1 ± 8.8 | 314.0 ± 10.5 | 298.2 ± 10.1 | 289 ± 10.4 | 284.4 ± 10.2 | 278.3 ± 11.02 |
Disclaimer/Publisher’s Note: The statements, opinions and data contained in all publications are solely those of the individual author(s) and contributor(s) and not of MDPI and/or the editor(s). MDPI and/or the editor(s) disclaim responsibility for any injury to people or property resulting from any ideas, methods, instructions or products referred to in the content. |
© 2024 by the authors. Licensee MDPI, Basel, Switzerland. This article is an open access article distributed under the terms and conditions of the Creative Commons Attribution (CC BY) license (https://creativecommons.org/licenses/by/4.0/).
Share and Cite
da Silva, L.O.P.; Lima, T.N.; Júnior, F.M.d.S.; Callegari, B.; Folle, L.F.; Coelho, R.S. Heat-Affected Zone Microstructural Study via Coupled Numerical/Physical Simulation in Welded Superduplex Stainless Steels. Crystals 2024, 14, 204. https://doi.org/10.3390/cryst14030204
da Silva LOP, Lima TN, Júnior FMdS, Callegari B, Folle LF, Coelho RS. Heat-Affected Zone Microstructural Study via Coupled Numerical/Physical Simulation in Welded Superduplex Stainless Steels. Crystals. 2024; 14(3):204. https://doi.org/10.3390/cryst14030204
Chicago/Turabian Styleda Silva, Leonardo Oliveira Passos, Tiago Nunes Lima, Francisco Magalhães dos Santos Júnior, Bruna Callegari, Luís Fernando Folle, and Rodrigo Santiago Coelho. 2024. "Heat-Affected Zone Microstructural Study via Coupled Numerical/Physical Simulation in Welded Superduplex Stainless Steels" Crystals 14, no. 3: 204. https://doi.org/10.3390/cryst14030204
APA Styleda Silva, L. O. P., Lima, T. N., Júnior, F. M. d. S., Callegari, B., Folle, L. F., & Coelho, R. S. (2024). Heat-Affected Zone Microstructural Study via Coupled Numerical/Physical Simulation in Welded Superduplex Stainless Steels. Crystals, 14(3), 204. https://doi.org/10.3390/cryst14030204

