Synthesis and Study of Oxide Semiconductor Nanoheterostructures in SiO2/Si Track Template
Abstract
1. Introduction
2. Materials and Methods
2.1. Formation and Characterization of a Track Template
2.2. Methods for Filling Nanopores of Template
2.3. Study of Structural, Optical, Electrophysical Properties
3. Results and Discussion
3.1. Experimental and Theoretical Study of Ga2O3-NW/SiO2/Si and SnO2-NW/SiO2/Si Structures
3.1.1. Ga2O3-NW/SiO2/Si
3.1.2. Computer Modeling of the Crystalline and Electronic Structure of δ-Ga2O3
3.1.3. SnO2-NW/SiO2/Si
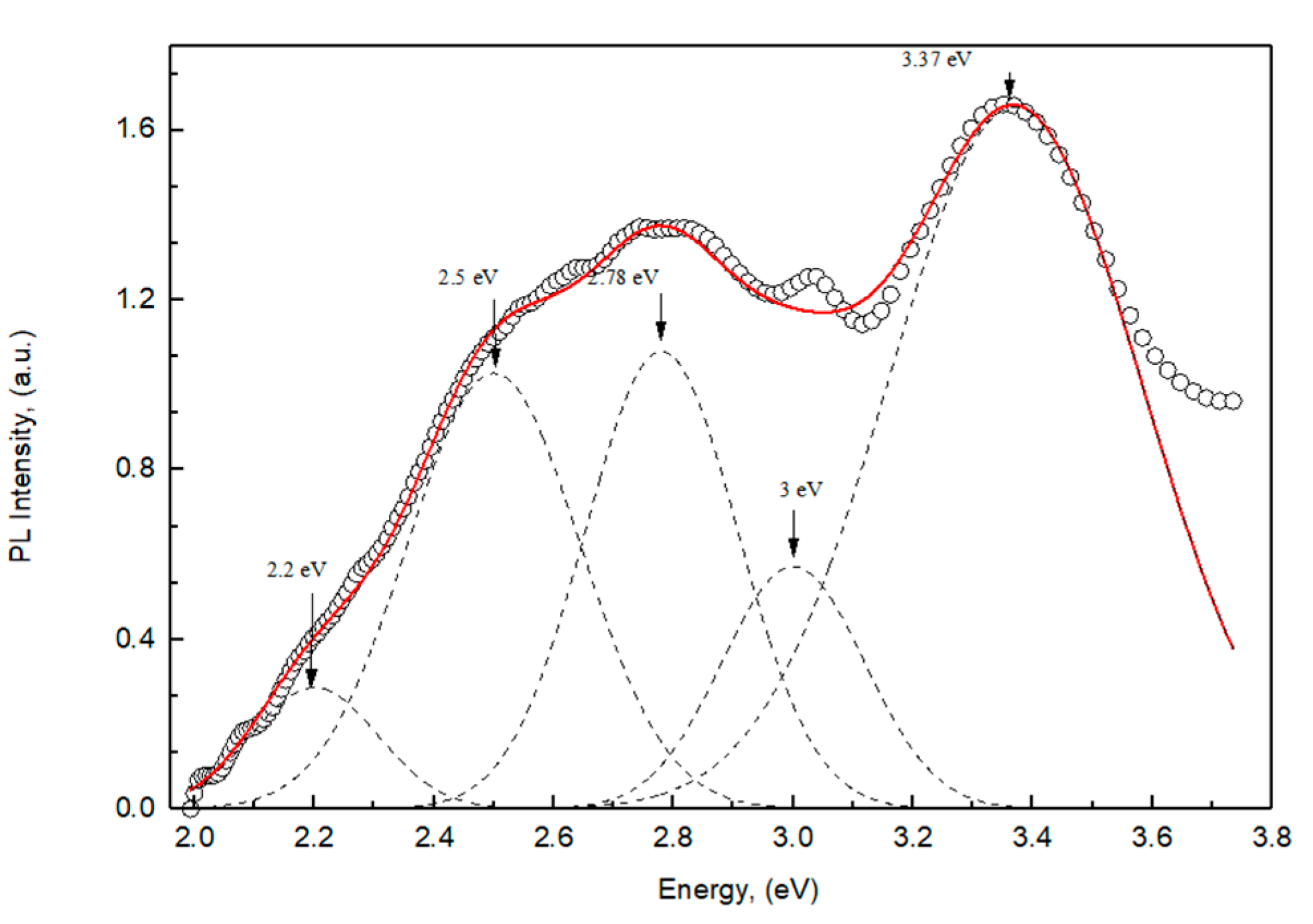
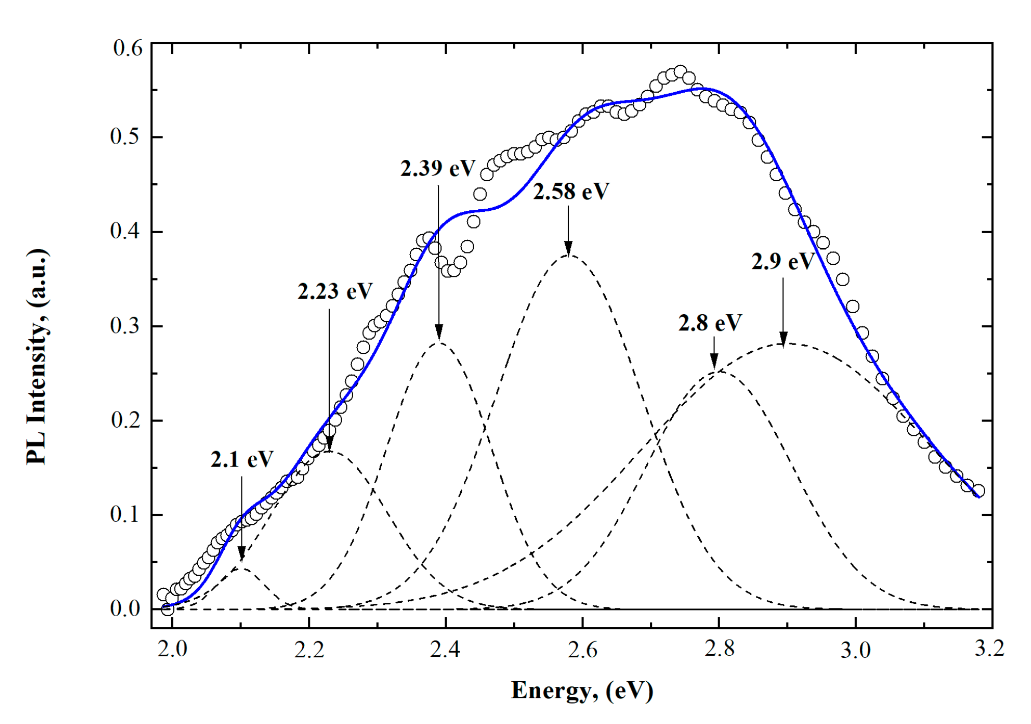
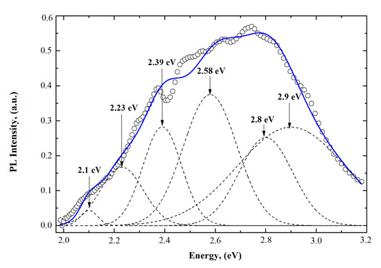
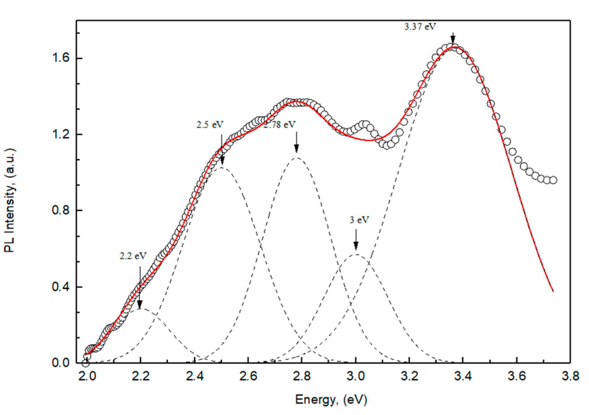
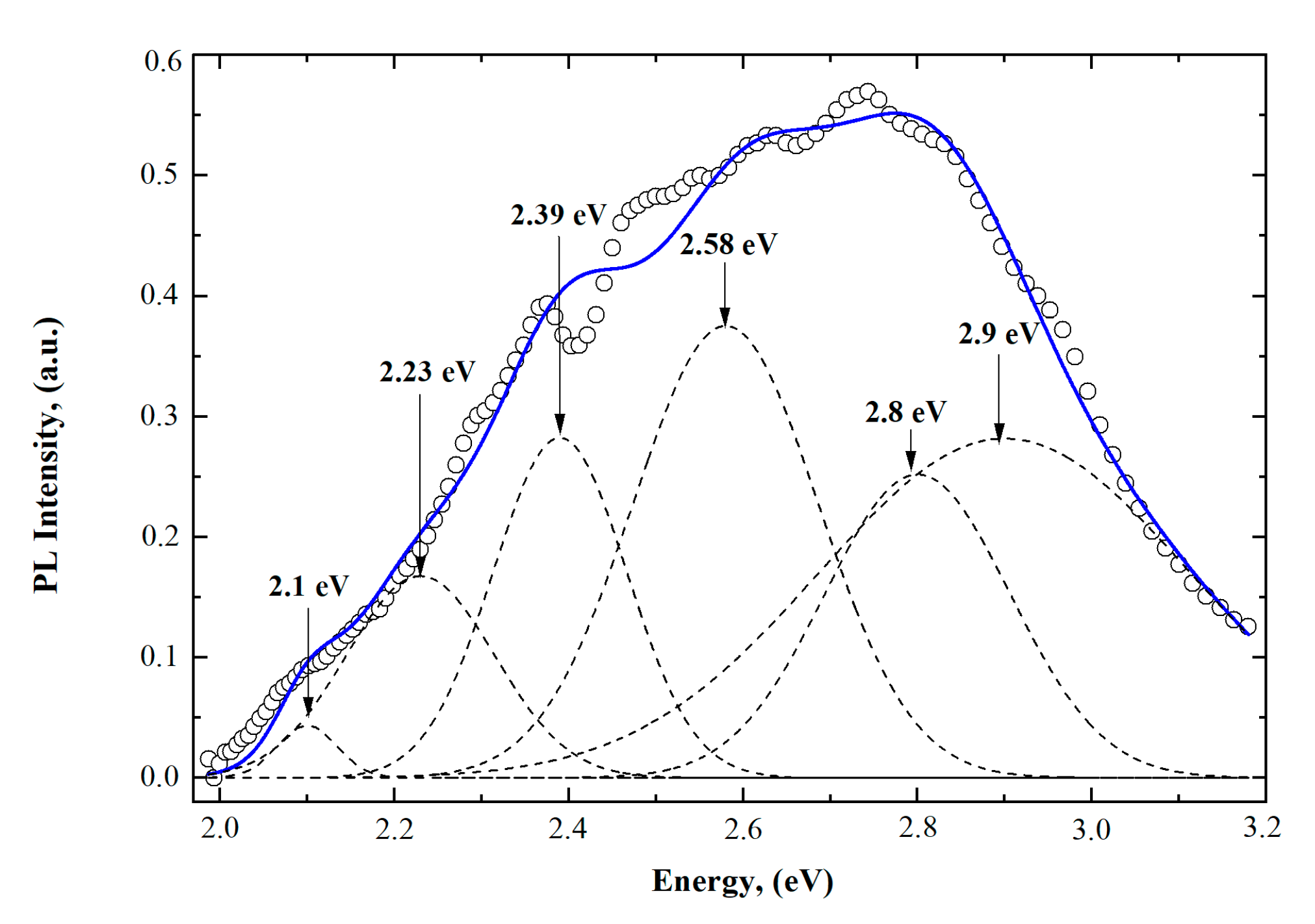
3.2. Photoluminescence of δ-Ga2O3-NW/SiO2/Si and SnO2-NW/SiO2/Si
3.3. Current–Voltage (I–V) Characteristics of δ-Ga2O3-NW/SiO2/Si and SnO2-NW/SiO2/Si
4. Conclusions
Author Contributions
Funding
Data Availability Statement
Acknowledgments
Conflicts of Interest
References
- Lorenz, M.; Ramachandra Rao, M.S.; Venkatesan, T.; Fortunato, E.; Barquinha, P.; Branquinho, R. Topical Review: The oxide electronic materials and oxide interfaces roadmap. J. Phys. D Appl. Phys. 2016, 49, 433001. [Google Scholar] [CrossRef]
- Varghese, B.; Hoong, T.C.; Yanwu, Z.; Reddy, M.V.; Chowdari, B.V.R.; Wee, A.T.S.; Vincent, T.B.C.; Lim, C.T.; Sow, C.H. Co3O4 nanostructures with different morphologies and their field-emission properties. Adv. Funct. Mater. 2007, 17, 1932–1939. [Google Scholar] [CrossRef]
- Fang, X.S.; Yan, J.; Hu, L.F.; Liu, H.; Lee, P.S. Thin SnO2 nanowires with uniform diameter as excellent field emitters: A stability of more than 2400 min. Adv. Funct. Mater. 2012, 22, 1613–1622. [Google Scholar] [CrossRef]
- Bie, Y.Q.; Liao, Z.M.; Zhang, H.Z.; Li, G.R.; Ye, Y.; Zhou, Y.B.; Xu, J.; Qin, Z.X.; Dai, L.; Yu, D.P. Self-powered, ultrafast, visible-blind UV detection and optical logical operation based on ZnO/GaN nanoscale p-n junctions. Adv. Funct. Mater. 2011, 23, 649–653. [Google Scholar] [CrossRef]
- Rigutti, L.; Tchernycheva, M.; Bugallo, A.D.; Jacopin, G.; Julien, F.H.; Zagonel, L.F.; March, K.; Stephan, O.; Kociak, M.; Songmuang, R. Ultraviolet photodetector based on GaN/AlN quantum discs in a single nanowire. Nano Lett. 2010, 10, 2939–2943. [Google Scholar] [CrossRef] [PubMed]
- Tang, J.S.; Wang, C.Y.; Xiu, F.X.; Lang, M.R.; Chu, L.W.; Tsai, C.J.; Chueh, Y.L.; Chen, L.J.; Wang, K.L. Oxide-confined formation of germanium nanowire heterostructures for high-performance transistors. Am. Chem. Soc. Nano 2011, 5, 6008–6015. [Google Scholar] [CrossRef] [PubMed]
- Kulmala, T.S.; Colli, A.; Fasoli, A.; Lombardo, A.; Haque, S.; Ferrari, A.C. Self-Aligned coupled nanowire. Am. Chem. Soc. Nano 2011, 5, 6910–6915. [Google Scholar] [CrossRef]
- Kumar, S.; Tessarek, C.; Sarau, G.; Christiansen, S.; Singh, R. Self-Catalytic Growth of β-Ga2O3 Nanostructures by Chemical Vapor Deposition. Adv. Eng. Mater. 2015, 17, 709–715. [Google Scholar] [CrossRef]
- Kumar, S.; Singh, R. Nanofunctional gallium oxide (Ga2O3) nanowires/nanostructures and their applications in nanodevices. Phys. Status Solidi (RRL)–Rapid Res. Lett. 2013, 7, 781–792. [Google Scholar] [CrossRef]
- Murakami, H.; Nomura, K.; Goto, K.; Sasaki, K.; Kawara, K.; Thieu, Q.T.; Togashi, R.; Kumagai, Y.; Higashiwaki, M.; Kuramata, A.; et al. Homoepitaxial growth of β-Ga2O3 layers by halide vapor phase epitaxy. Appl. Phys. Express 2014, 8, 015503. [Google Scholar] [CrossRef]
- Edwards, D.D.; Mason, T.O.; Goutenoire, F.; Poeppelmeier, K.R. A new transparent conducting oxide in the Ga2O3–In2O3–SnO2 system. Appl. Phys. Lett. 1997, 70, 1706–1708. [Google Scholar] [CrossRef]
- Shan, F.K.; Liu, G.X.; Lee, W.J.; Lee, G.H.; Kim, I.S.; Shin, B.C. Structural, electrical, and optical properties of transparent gallium oxide thin films grown by plasma-enhanced atomic layer deposition. J. Appl. Phys. 2005, 98, 023504. [Google Scholar] [CrossRef]
- Ueda, N.; Hosono, H.; Waseda, R.; Kawazoe, H. Synthesis and control of conductivity of ultraviolet transmitting β-Ga2O3 single crystals. Appl. Phys. Lett. 1997, 70, 3561–3563. [Google Scholar] [CrossRef]
- Matsuzaki, K.; Yanagi, H.; Kamiya, T.; Hiramatsu, H.; Nomura, K.; Hirano, M.; Hosono, H. Field-induced current modulation in epitaxial film of deep-ultraviolet transparent oxide semiconductor Ga2O3. Appl. Phys. Lett. 2006, 88, 092106. [Google Scholar] [CrossRef]
- Fleischer, M.; Kornely, S.; Weh, T.; Frank, J.; Meixner, H. Selective gas detection with high-temperature operated metal oxides using catalytic filters. Sens. Actuators B Chem. 2000, 69, 205–210. [Google Scholar] [CrossRef]
- Higashiwaki, M.; Sasaki, K.; Kuramata, A.; Masui, T.; Yamakoshi, S. Gallium oxide (Ga2O3) metal-semiconductor field-effect transistors on single-crystal β-Ga2O3 (010) substrates. Appl. Phys. Lett. 2012, 100, 013504. [Google Scholar] [CrossRef]
- Higashiwaki, M.; Sasaki, K.; Kamimura, T.; Wong, M.H.; Krishnamurthy, D.; Kuramata, A.; Masui, T.; Yamakoshi, S. Depletion-mode Ga2O3 metal-oxide-semiconductor field-effect transistors on β-Ga2O3 (010) substrates and temperature dependence of their device characteristics. Appl. Phys. Lett. 2013, 103, 123511. [Google Scholar] [CrossRef]
- Li, Y.; Tokizono, T.; Liao, M.; Zhong, M.; Koide, Y.; Yamada, I.; Delaunay, J.J. Efficient assembly of bridged β-Ga2O3 nanowires for solar-blind photodetection. Adv. Funct. Mater. 2010, 20, 3972–3978. [Google Scholar] [CrossRef]
- Zou, R.; Zhang, Z.; Liu, Q.; Hu, J.; Sang, L.; Liao, M.; Zhang, W. High detectivity solar-blind high-temperature deep-ultraviolet photodetector based on multi-layered (l00) facet-oriented β-Ga2O3 nanobelts. Small 2014, 10, 1848–1856. [Google Scholar] [CrossRef]
- Feng, W.; Wang, X.; Zhang, J.; Wang, L.; Zheng, W.; Hu, P.; Cao, W.; Yang, B. Synthesis of two-dimensional β-Ga2O3 nanosheets for high-performance solar blind photodetectors. J. Mater. Chem. C 2014, 2, 3254–3259. [Google Scholar] [CrossRef]
- Chang, P.C.; Fan, Z.; Tseng, W.Y.; Rajagopal, A.; Lu, J.G. β-Ga2O3 nanowires: Synthesis, characterization, and p-channel field-effect transistor. Appl. Phys. Lett. 2005, 87, 222102. [Google Scholar] [CrossRef]
- Huang, Y.; Yue, S.; Wang, Z.; Wang, Q.; Shi, C.; Xu, Z.; Bai, X.D.; Tang, C.; Gu, C. Preparation and electrical properties of ultrafine Ga2O3 nanowires. J. Phys. Chem. B 2006, 110, 796–800. [Google Scholar] [CrossRef] [PubMed]
- Hsieh, C.H.; Chou, L.J.; Lin, G.R.; Bando, Y.; Golberg, D. Nanophotonic switch: Gold-in-Ga2O3 peapod nanowires. Nano Lett. 2008, 8, 3081–3085. [Google Scholar] [CrossRef] [PubMed]
- Tien, L.C.; Ho, C.H. Synthesis, optical characterization, and environmental applications of β-Ga2O3 nanowires. In Gallium Oxide; Pearton, S., Ren, F., Mastro, M., Eds.; Elsevier: Amsterdam, The Netherlands, 2019; pp. 67–90. [Google Scholar]
- Dai, L.; Chen, X.L.; Zhang, X.N.; Jin, A.Z.; Zhou, T.; Hu, B.Q.; Zhang, Z.; Dai, L.; Chen, X.L.; Zhang, X.N.; et al. Growth and optical characterization of Ga2O3 nanobelts and nanosheets. J. Appl. Phys. 2002, 92, 1062–1064. [Google Scholar] [CrossRef]
- Dai, Z.R.; Pan, Z.W.; Wang, Z.L. Novel nanostructures of functional oxides synthesized by thermal evaporation. Adv. Funct. Mater. 2003, 13, 9–24. [Google Scholar] [CrossRef]
- Zhang, H.Z.; Kong, Y.; Wang, Y.; Du, X.; Bai, Z.; Wang, J.; Yu, D.; Ding, Y.; Hang, Q.; Feng, S. Ga2O3 nanowires prepared by physical evaporation. Solid State Commun. 1999, 109, 677–682. [Google Scholar] [CrossRef]
- Liang, C.H.; Meng, G.W.; Wang, G.Z.; Wang, Y.W.; Zhang, L.D.; Zhang, S.Y. Catalytic synthesis and photoluminescence of β-Ga2O3 nanowires. Appl. Phys. Lett. 2001, 78, 3202–3204. [Google Scholar] [CrossRef]
- Zhang, J.; Liu, Z.; Lin, C.; Lin, J. A simple method to synthesize β-Ga2O3 nanorods and their photoluminescence properties. J. Cryst. Growth 2005, 280, 99–106. [Google Scholar] [CrossRef]
- Yu, M.F.; Atashbar, M.Z.; Chen, X. Mechanical and electrical characterization of/spl beta/-Ga2O3/nanostructures for sensing applications. IEEE Sens. J. 2005, 5, 20–25. [Google Scholar] [CrossRef]
- Gao, L.Y.; Zheng, M.J.; Zhong, M.; Li, M.; Ma, L. Preparation and photoinduced wettability conversion of superhydrophobic β-Ga2O3 nanowire film. Appl. Phys. Lett. 2007, 91, 013101. [Google Scholar] [CrossRef]
- Periyasamy, M.; Kar, A. Modulating the properties of SnO2 nanocrystals: Morphological effects on structural, photoluminescence, photocatalytic, electrochemical and gas sensing properties. J. Mater. Chem. 2020, 8, 4604–4635. [Google Scholar] [CrossRef]
- Shi, H.; Cheng, B.; Cai, Q.; Su, X.; Xiao, Y.; Lei, S. Surface state controlled ultrahigh selectivity and sensitivity for UV photodetectors based on individual SnO2 nanowires. J. Mater. Chem. 2016, 4, 8399–8406. [Google Scholar] [CrossRef]
- Li, Y.; Valle, F.D.; Simonnet, M.; Yamada, I.; Delaunay, J. High-performance UV detector made of ultra-long ZnO bridging nanowires. Nanotechnology 2009, 20, 045501. [Google Scholar] [CrossRef] [PubMed]
- Jiang, J.; Heck, F.; Hofmann, D.M.; Eickhoff, M. Synthesis of SnO2 Nanowires Using SnI2 as Precursor and Their Application as High-Performance Self-Powered Ultraviolet Photodetectors. Phys. Status Solidi B 2018, 255, 1700426. [Google Scholar] [CrossRef]
- Luo, L.; Liang, F.; Jie, J. Sn-catalyzed synthesis of SnO2 nanowires and their optoelectronic characteristics. Nanotechnology 2011, 22, 485701–485708. [Google Scholar] [CrossRef]
- Wu, J.M.; Kuo, C.H. Ultraviolet photodetectors made from SnO2 nanowires. Thin Solid Film. 2009, 517, 3870–3873. [Google Scholar] [CrossRef]
- Jones, M.R.; Osberg, K.D.; MacFarlane, R.J.; Langille, M.R.; Mirkin, C.A. Templated techniques for the synthesis and assembly of plasmonic nanostructures. Chem. Rev. 2011, 111, 3736–3827. [Google Scholar] [CrossRef] [PubMed]
- Routkevitch, D.; Bigioni, T.; Moskovits, M.; Xu, J.M. Electrochemical fabrication of CdS nanowire arrays in porous anodic aluminum oxide templates. J. Phys. Chem. 1996, 100, 14037–14047. [Google Scholar] [CrossRef]
- Zhang, F.; Zhao, D. Fabrication of ordered magnetite-doped rare earth fluoride nanotube arrays by nanocrystal self-assembly. Nano Res. 2009, 2, 292–305. [Google Scholar] [CrossRef]
- Kenzhina, I.E.; Zdorovets, M.V.; Kozlovskiy, A.L.; Kadyrzhanov, K.K. Synthesis and properties of Cu/CuO nanostructures obtained by electrochemical deposition. Mater. Res. Express 2018, 3, 035052. [Google Scholar] [CrossRef]
- Kozlovskii, A.L.; Kadyrzhanov, K.K.; Zdorovets, M.V. Structural and Conductive Characteristics of Fe/Co Nanotubes. Russ. J. Electrochem. 2018, 54, 178–185. [Google Scholar] [CrossRef]
- Kadyrzhanov, K.K.; Kozlovskiy, A.L.; Kanyukov, E.Y.; Mashentseva, A.A.; Zdorovets, M.V.; Shumskaya, A.E. Variation of polymer-template pore geometry as a means of controlling the magnetic properties of metallic nanostructures. Pet. Chem. 2017, 57, 790–795. [Google Scholar] [CrossRef]
- Mashentseva, A.A.; Ibragimova, M.A.; Akhmetova, S.B.; Kozlovskiy, A.L.; Zdorovets, M.V.; Amirkhanova, Z.T. Synthesis, radical scavenging, and antimicrobial activities of core–shell Au/Ni microtubes. Chem. Pap. 2020, 74, 2189–2199. [Google Scholar] [CrossRef]
- Dauletbekova, A.; Akylbekova, A.; Sarsekhan, G.; Usseinov, A.; Baimukhanov, Z.; Kozlovskiy, A.; Vlasukova, L.A.; Komarov, F.F.; Popov, A.I.; Akilbekov, A.T. Ion-Track Template Synthesis and Characterization of ZnSeO3 Nanocrystals. Crystals 2022, 12, 817. [Google Scholar] [CrossRef]
- Akylbekova, A.; Dauletbekova, A.; Baymukhanov, Z.; Kozlovsky, A.; Usseinov, A. ZnSe2O5 nanocrystals synthesis in a nanoporous layer of silicon dioxide on silicon In Proceedings of the 6th International Young Researchers’ Conference on Physics, Technologies and Innovation, PTI 2019, Ekaterinburg, Russia, 20–23 May 2019.
- Vlasukova, L.A.; Komarov, F.F.; Yuvchenko, V.N.; Wesch, W.; Wendler, E.; Didyk, A.Y.; Skuratov, V.A.; Kislitsin, S.B. Threshold and criterion for ion track etching in SiO2 layers grown on Si. Vacuum 2014, 105, 107–110. [Google Scholar] [CrossRef]
- Akylbekova, A.; Dauletbekova, A.; Baimukhanov, Z.; Vlasukova, L.A.; Usseinov, A.; Saduova, N.; Akilbekov, A.T.; Pankratov, V.A.; Popov, A.I. Annealing Effect on Structural, Optical and Electrophysical Properties of ZnSe Nanocrystals Synthesized into SiO2/Si Ion Track Template. Materials 2024, 17, 4149. [Google Scholar] [CrossRef]
- Aralbayeva, G.; Sarsekhan, G.; Akylbekova, A.; Vlasukova, L.A.; Baimukhanov, Z.; Yuvchenko, V.; Bazarbek, A.-D.; Dauletbekova, A.; Kabdrakhimova, G.; Akilbekov, A.T. The Thermal Stability and Photoluminescence of ZnSeO3 Nanocrystals Chemically Synthesized into SiO2/Si Track Templates. Crystals 2024, 14, 730. [Google Scholar] [CrossRef]
- Vlasukova, L.; Komarov, F.; Yuvchenko, V.; Baran, L.; Milchanin, O.; Dauletbekova, A.; Alzhanova, A.; Akilbekov, A. Etching of latent tracks in amorphous SiO2 and Si3N4: Simulation and experiment. Vacuum 2016, 29, 137. [Google Scholar] [CrossRef]
- Ziegler, J.F.; Biersack, J.P.; Ziegler, M.D. SRIM. The Stopping and Range of Ions in Matter. In Treatise on Heavy-Ion Science; Springer: Boston, MA, USA, 1985; Volume 278. [Google Scholar] [CrossRef]
- Kaniukov, E.Y.; Ustarroz, J.; Yakimchuk, D.V.; Petrova, M.; Terryn, H.; Sivakov, V.; Petrov, A.V. Tunable nanoporous silicon oxide templates by swift heavy ion tracks technology. Nanotechnology 2016, 27, 115305. [Google Scholar] [CrossRef]
- Roy, R.; Hill, V.G.; Osborn, E.F. Polymorphism of Ga2O3 and the system Ga2O3—H2O. J. Am. Chem. Soc. 1952, 74, 719–722. [Google Scholar] [CrossRef]
- Yoshioka, S.; Hayashi, H.; Kuwabara, A.; Oba, F.; Matsunaga, K.; Tanaka, I. Structures and energetics of Ga2O3 polymorphs. J. Phys. Condens. Matter 2007, 19, 346211. [Google Scholar] [CrossRef]
- Erba, A.; Desmarais, J.K.; Casassa, S.; Civalleri, B.; Donà, L.; Bush, I.J.; Searle, B.; Maschio, L.; Edith-Daga, L.; Cossard, A.; et al. CRYSTAL23: A program for computational solid state physics and chemistry. J. Chem. Theory Comput. 2022, 19, 6891–6932. [Google Scholar] [CrossRef]
- Adamo, C.; Barone, V. Toward reliable density functional methods without adjustable parameters: The PBE0 model. J. Chem. Phys. 1999, 110, 6158–6170. [Google Scholar] [CrossRef]
- Ernzerhof, M.; Scuseria, G.E. Assessment of the Perdew–Burke–Ernzerhof exchange-correlation functional. J. Chem. Phys. 1999, 110, 5029–5036. [Google Scholar] [CrossRef]
- Vilela Oliveira, D.; Laun, J.; Peintinger, M.F.; Bredow, T. BSSE-correction scheme for consistent gaussian basis sets of double-and triple-zeta valence with polarization quality for solid-state calculations. J. Comput. Chem. 2019, 40, 2364–2376. [Google Scholar] [CrossRef] [PubMed]
- Baimukhanov, Z.; Dauletbekova, A.; Junisbekova, D.; Kalytka, V.; Akilbekov, A.; Akylbekova, A.; Baubekova, G.; Aralbayeva, G.; Bazarbek, A.-D.; Usseinov, A.; et al. Synthesis of Orthorhombic Tin Dioxide Nanowires in Track Templates. Materials 2024, 17, 1226. [Google Scholar] [CrossRef]
- He, H.; Orlando, R.; Blanco, M.A.; Pandey, R.; Amzallag, E.; Baraille, I.; Rérat, M. First-principles study of the structural, electronic, and optical properties of Ga2O3 in its monoclinic and hexagonal phases. Phys. Rev. B Condens. Matter Mater. Phys. 2006, 74, 195123. [Google Scholar] [CrossRef]
- Varley, J.B.; Weber, J.R.; Janotti, A.; Van De Walle, C.G. Oxygen vacancies and donor impurities in β-Ga2O3. Appl. Phys. Lett. 2010, 97, 142106. [Google Scholar] [CrossRef]
- Peelaers, H.; Van de Walle, C.G. Brillouin zone and band structure of β-Ga2O3. Phys. Status Solidi 2015, 252, 828–832. [Google Scholar] [CrossRef]
- Harwig, T.; Kellendonk, F.; Slappendel, S. The ultraviolet luminescence of β-galliumsesquioxide. J. Phys. Chem. Solids 1978, 39, 675–680. [Google Scholar] [CrossRef]
- Blasse, G.; Bril, A. Some observations on the luminescence of β-Ga2O3. J. Phys. Chem. Solids 1970, 31, 707–711. [Google Scholar] [CrossRef]
- Harwig, T.; Kellendonk, F. Some observations on the photoluminescence of doped β-galliumsesquioxide. J. Solid-State Chem. 1978, 24, 255–263. [Google Scholar] [CrossRef]
- Villora, E.G.; Hatanaka, K.; Odaka, H.; Sugawara, T.; Miura, T.; Fukumura, H.; Fukuda, T. Luminescence of undoped β-Ga2O3 single crystals excited by picosecond X-ray and sub-picosecond UV pulses. Solid State Commun. 2003, 127, 385–388. [Google Scholar] [CrossRef]
- Zhou, X.T.; Heigl, F.; Ko, J.Y.P.; Murphy, M.W.; Zhou, J.G.; Regier, T.; Blyth, R.I.R.; Sham, T.K. Origin of luminescence from Ga2O3 nanostructures studied using x-ray absorption and luminescence spectroscopy. Phys. Rev. B—Condens. Matter Mater. Phys. 2007, 75, 125303. [Google Scholar] [CrossRef]
- Guzman-Navarro, G.; Herrera-Zaldivar, M.; ValenzuelaBenavides, J.; Maestre, D. CL study of blue and UV emissions in β-Ga2O3 nanowires grown by thermal evaporation of GaN. J. Appl. Phys. 2011, 110, 034315. [Google Scholar] [CrossRef]
- Lopez, I.; Utrilla, A.D.; Nogales, E.; Mendez, B.; Piqueras, J.; Peche, A.; Ramirez-Castellanos, J.; GonzalezCalbet, J.M. In-doped gallium oxide micro-and nanostructures: Morphology, structure, and luminescence properties. J. Phys. Chem. C 2012, 116, 3935–3943. [Google Scholar] [CrossRef]
- Varley, J.B.; Janotti, A.; Franchini, C.; Van De Walle, C.G. Role of self-trapping in luminescence and p-type conductivity of wide-band-gap oxides. Phys. Rev. B—Condens. Matter Mater. Phys. 2012, 85, 081109. [Google Scholar] [CrossRef]
- Villora, E.G.; Yamaga, M.; Inoue, T.; Yabasi, S.; Mausi, Y.; Sugawara, T.; Fukuda, T. Optical spectroscopy study on β-Ga2O3. Jpn. J. Appl. Phys. 2002, 41, L622. [Google Scholar] [CrossRef]
- Yamahara, H.; Seki, M.; Tabata, H. Growth of gallium oxide nanowires by pulsed laser deposition. J. Cryst. Process Technol. 2012, 2, 125–129. [Google Scholar] [CrossRef]
- Munnix, S.; Schmeits, M. Electronic structure of tin dioxide surfaces. Phys. Rev. B 1983, 27, 7624. [Google Scholar] [CrossRef]
- Chiodini, N.; Paleari, A.; DiMartino, D.; Spinolo, G. SnO2 nanocrystals in SiO2: A wide-band-gap quantum-dot system. Appl. Phys. Lett. 2002, 81, 1702–1704. [Google Scholar] [CrossRef]
- Vanheusden, K.; Warren, W.L.; Seager, C.H.; Tallant, D.R.; Voigt, J.A.; Gnade, B.E. Mechanisms behind green photoluminescence in ZnO phosphor powders. J. Appl. Phys. 1996, 79, 7983–7990. [Google Scholar] [CrossRef]
- Liu, Y.; Yang, Q.; Xu, C. Single-narrow-band red upconversion fluorescence of ZnO nanocrystals codoped with Er and Yb and its achieving mechanism. J. Appl. Phys. 2008, 104, 064701. [Google Scholar] [CrossRef]
- Godinho, K.G.; Walsh, A.; Watson, G.W. Energetic and electronic structure analysis of intrinsic defects in SnO2. J. Phys. Chem. C 2009, 113, 439–448. [Google Scholar] [CrossRef]
- Her, Y.C.; Wu, J.Y.; Lin, Y.R.; Tsai, S.Y. Low-temperature growth and blue luminescence of SnO2 nanoblades. Appl. Phys. Lett. 2006, 89, 043115. [Google Scholar] [CrossRef]
- Rani, S.; Roy, S.; Karar, N.; Bhatnagar, M. Structure, microstructure and photoluminescence properties of Fe doped SnO2 thin films. Solid State Commun. 2007, 141, 214–218. [Google Scholar] [CrossRef]
- Bhatnagar, M.; Kaushik, V.; Kaushal, A.; Singh, M.; Mehta, B. Structural and photoluminescence properties of tin oxide and tin oxide: C core–shell and alloy nanoparticles synthesised using gas phase technique. AIP Adv. 2016, 6, 095321. [Google Scholar] [CrossRef]
- Duan, J.; Gong, J.; Huang, H.; Zhao, X.; Cheng, G.; Yu, Z.; Yang, S. Multiform structures of SnO2 nanobelts. Nanotechnology 2007, 18, 055607. [Google Scholar] [CrossRef]
- Zhang, L.; Ge, S.; Zuo, Y.; Zhang, B.; Xi, L. Influence of oxygen flow rate on the morphology and magnetism of SnO2 nanostructures. J. Phys. Chem. C 2010, 114, 7541–7547. [Google Scholar] [CrossRef]
- Hu, J.Q.; Bando, Y.; Liu, Q.L.; Golberg, D. Laser-ablation growth and optical properties of wide and long single-crystal SnO2 ribbons. Adv. Funct. Mater. 2003, 13, 493–496. [Google Scholar] [CrossRef]
- Cheng, B.; Russell, J.M.; Shi Zhang, L.; Samulski, E.T. Large-scale, solution-phase growth of single-crystalline SnO2 nanorods. J. Am. Chem. Soc. 2004, 126, 5972–5973. [Google Scholar] [CrossRef]
- Touskova, J.; Tousek, J.; Klier, E.; Kuzel, R. Preparation and basic electrical properties of CdTe thick flms. Phys. Status Solidi 1979, 56, 315–322. [Google Scholar] [CrossRef]
- Davis, E.A. States in the gap and defects in amorphous semiconductors. Amorph. Semicond. 2005, 36, 41–72. [Google Scholar]














| Phase Name | Structure Type | Space Group | (hkl) | 2θ | d, Å | Cell Parameters, Å | Volume, Å3 | Size of Crystallite, Å | Density, g/cm3 |
|---|---|---|---|---|---|---|---|---|---|
| N1 | |||||||||
| Ga2O3 | Cubic | 206: Ia-3 | (622) | 61.271 (6) | 1.51165 (13) | a = 10.027141; α = β = γ = 90 | 1008.164311 | 100.0 | 4.940 |
| N2 | |||||||||
| Ga2O3 | Cubic | 206: Ia-3 | (622) | 61.33 (3) | 1.6377 | a = 10.018919; α = β = γ = 90 | 1005.686444 | 100.0 | 4.952 |
| Phase Name | Structure Type | Space Group | (hkl) | 2θ | d, Å | Cell Parameters, Å | Volume, Å3 | Size of Crystallite, Å | Density, g/cm3 |
|---|---|---|---|---|---|---|---|---|---|
| N3 | |||||||||
| Ga2O3 | Cubic | 206: Ia-3 | (444) | 65.76 (9) | 1.4190 (17) | a = 9.830884; α = β = γ = 90 | 950.118314 | 5.242 | |
| Ga2O3 | Hexagonal | 167: R-3c | (116) | 55.98 (8) | 1.641 (2) | a = 4.933100; b = 4.933100; c = 13.422600 α = β = 90; γ = 120 | 282.883201 | 100.0 | 6.602 |
| N4 | |||||||||
| Ga2O3 | Cubic | 206: Ia-3 | (622) | 61.226 (10) | 1.5126 (2) | a = 10.033777; α = β = γ = 90 | 1010.167374 | 100.0 | 4.930 |
| Phase Name | Structure Type | Space Group | (hkl) | 2θ | d, Å | Cell Parameters, Å | Volume, Å3 | Size of Crystallite, Å | Density, g/cm3 |
|---|---|---|---|---|---|---|---|---|---|
| Sn | Tetragonal | 139: I4/mmm | (002) | 54.271 | 1.6889 | A = 3.674736; b = 3.674736; c = 3.377628 | 45.610417 | 58.0 | 8.644 |
| SnO2 | Orthorhombic | 58: Pnnm | (220) | 56.113 | 1.6377 | a = 4.655800; b = 4.599800; c = 3.151400 | 67.489592 | 58.71 | 7.416 |
Disclaimer/Publisher’s Note: The statements, opinions and data contained in all publications are solely those of the individual author(s) and contributor(s) and not of MDPI and/or the editor(s). MDPI and/or the editor(s) disclaim responsibility for any injury to people or property resulting from any ideas, methods, instructions or products referred to in the content. |
© 2024 by the authors. Licensee MDPI, Basel, Switzerland. This article is an open access article distributed under the terms and conditions of the Creative Commons Attribution (CC BY) license (https://creativecommons.org/licenses/by/4.0/).
Share and Cite
Dauletbekova, A.; Junisbekova, D.; Baimukhanov, Z.; Kareiva, A.; Popov, A.I.; Platonenko, A.; Akilbekov, A.; Abdrakhmetova, A.; Aralbayeva, G.; Koishybayeva, Z.; et al. Synthesis and Study of Oxide Semiconductor Nanoheterostructures in SiO2/Si Track Template. Crystals 2024, 14, 1087. https://doi.org/10.3390/cryst14121087
Dauletbekova A, Junisbekova D, Baimukhanov Z, Kareiva A, Popov AI, Platonenko A, Akilbekov A, Abdrakhmetova A, Aralbayeva G, Koishybayeva Z, et al. Synthesis and Study of Oxide Semiconductor Nanoheterostructures in SiO2/Si Track Template. Crystals. 2024; 14(12):1087. https://doi.org/10.3390/cryst14121087
Chicago/Turabian StyleDauletbekova, Alma, Diana Junisbekova, Zein Baimukhanov, Aivaras Kareiva, Anatoli I. Popov, Alexander Platonenko, Abdirash Akilbekov, Ainash Abdrakhmetova, Gulnara Aralbayeva, Zhanymgul Koishybayeva, and et al. 2024. "Synthesis and Study of Oxide Semiconductor Nanoheterostructures in SiO2/Si Track Template" Crystals 14, no. 12: 1087. https://doi.org/10.3390/cryst14121087
APA StyleDauletbekova, A., Junisbekova, D., Baimukhanov, Z., Kareiva, A., Popov, A. I., Platonenko, A., Akilbekov, A., Abdrakhmetova, A., Aralbayeva, G., Koishybayeva, Z., & Khamdamov, J. (2024). Synthesis and Study of Oxide Semiconductor Nanoheterostructures in SiO2/Si Track Template. Crystals, 14(12), 1087. https://doi.org/10.3390/cryst14121087

