Influence Mechanisms of Cold Rolling Reduction Rate on Microstructure, Texture and Magnetic Properties of Non-Oriented Silicon Steel
Abstract
1. Introduction
2. Materials and Methods
3. Experimental Results
3.1. Microstructure and Texture Characteristics of Hot Rolled Sheet and Normalized Sheet
3.2. Microstructure and Texture Characteristics of Cold Rolled Sheet
3.3. Microstructure and Texture Characteristics of Annealed Sheet
4. Analysis and Discussion
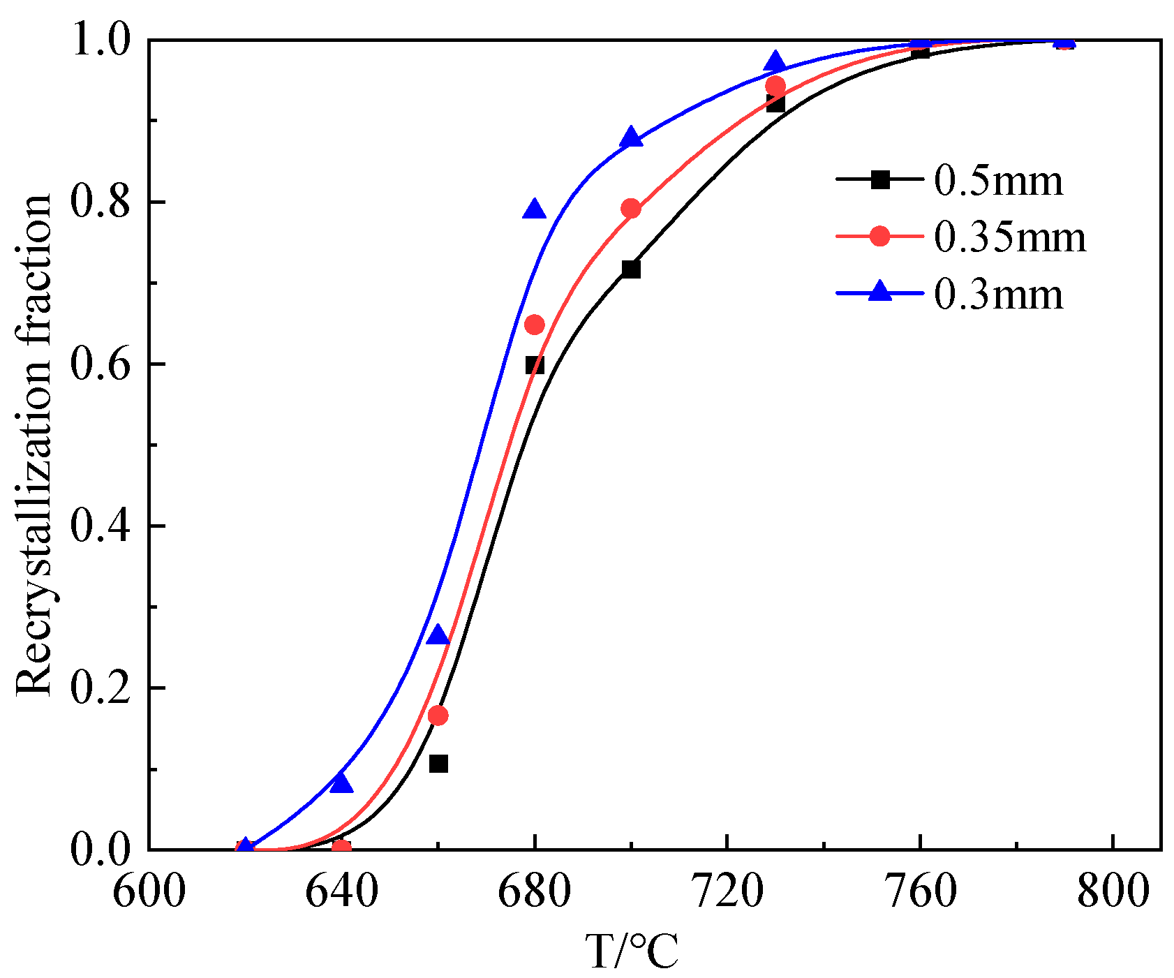
4.1. Recrystallization Kinetics
4.2. Texture Evolution during Recrystallization Process
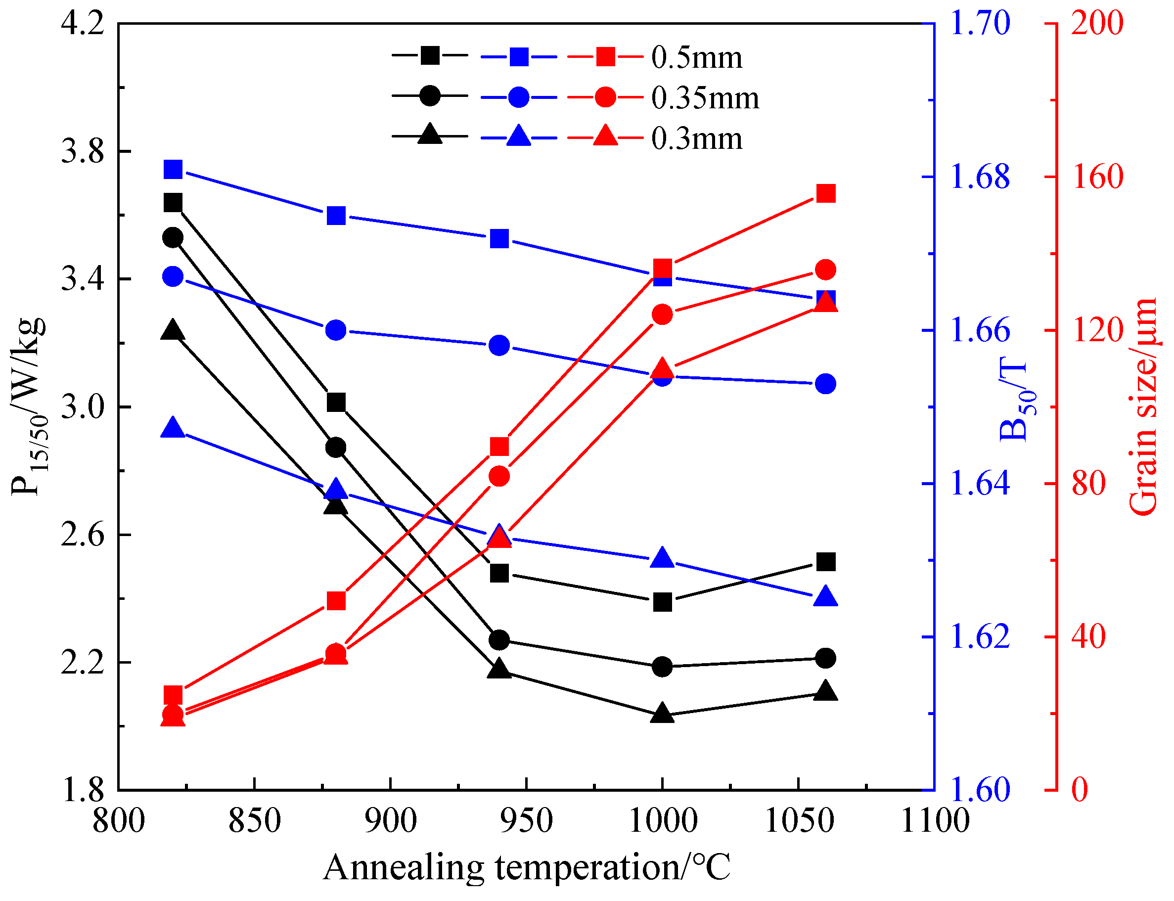
4.3. Effect of Microstructure and Texture on Magnetic Properties
5. Conclusions
Author Contributions
Funding
Data Availability Statement
Acknowledgments
Conflicts of Interest
References
- Oda, Y.; Kohno, M.; Honda, A. Recent development of non-oriented electrical steel sheet for automobile electrical devices. J. Magn. Magn. Mater. 2008, 320, 2430–2435. [Google Scholar] [CrossRef]
- Lin, Y.; Wang, H.X.; Zhang, W.K.; Wang, S.J.; Sun, Y.; Wang, Y.D. Texture evolution and properties of cold rolled non-oriented silicon steel with high reduction rate. China Metall. 2022, 32, 64–70. [Google Scholar]
- Cheng, C.Y.; Zhong, B.L.; Ni, Z.X.; Jing, W.Q.; Zhang, S.Q.; Liu, J. Research progress on the control of force and magnetic properties of high-strength non-oriented silicon steel for driving motors of new energy vehicles. J. Eng. Sci. 2023, 45, 1482–1492. [Google Scholar]
- Zhu, C.Y.; Bao, Y.K.; Wang, Y.; Ma, J.H.; Li, G.Q. Research progress on application status and performance control of non-oriented silicon steel for drive motor of new energy vehicles. Mater. Rep. 2021, 35, 23089–23096. [Google Scholar]
- Bian, X.H.; Zeng, Y.P.; Nan, D.; Wu, M. The effect of copper precipitates on the recrystallization textures and magnetic properties of non-oriented electrical steels. J. Alloys Compd. 2014, 588, 108–113. [Google Scholar] [CrossRef]
- Fan, L.F.; Qin, M.M.; Yue, E.B.; Xiao, L.J.; He, J.Z. Technical challenges of new energy vehicles to non-oriented silicon steel. Mater. Rep. 2021, 35, 15183–15188. [Google Scholar]
- De Campos, M.F.; Yonamine, T.; Fukuhara, M.; Landgraf, F.J.G.; Achete, C.A.; Missell, F.P. Effect of frequency on the iron losses of 0.5% and 1.5% Si non-oriented electrical steels. IEEE Trans. Magn. 2006, 42, 2812–2814. [Google Scholar] [CrossRef]
- Gong, J.; Luo, H.W. Research and progress of high strength non-oriented silicon steel sheet for new energy vehicle drive motor. J. Mater. Eng. 2015, 43, 102–112. [Google Scholar]
- He, Z.Z.; Zhao, Y.; Luo, H.W. Electrical Steel; Metallurgical Industry Press: Beijing, China, 2012. [Google Scholar]
- Chu, S.J.; Shen, K.Y.; Sha, Y.H.; Chen, X. Orientation dependence of deformation energy storage and its effect on recrystallization texture of non-oriented silicon steel. J. Mater. Eng. 2019, 47, 147–153. [Google Scholar]
- Shan, N.; Sha, Y.H.; Zhang, F.; Liu, J.L.; Zuo, L. Recrystallization texture transition in Fe-2.1 Wt Pct Si steel by different cold rolling reduction. Metall. Mater. Trans. A 2016, 47, 5777–5782. [Google Scholar] [CrossRef]
- Yang, H.P.; Sha, Y.H.; Zhang, F.; Zuo, L. Recrystallization texture evolution of cold rolled non-oriented silicon steel with large reduction. J. Northeast. Univ. Nat. Sci. Edit. 2013, 34, 658–662. [Google Scholar]
- Wu, S.; Jia, J.; Song, X.L.; Cheng, C.Y.; Wu, J.; Liu, J. Effect of cold rolling reduction rate on deformation microstructure and magnetic properties of high strength non-oriented electrical steel. J. Mater. Eng. 2024, 52, 158–165. [Google Scholar]
- Jiao, H.T.; Xu, Y.B.; Xiong, W.; Zhang, Y.X.; Cao, G.M.; Li, C.G.; Niu, J.; Misra, R.D.K. High-permeability and thin-gauge non-oriented electrical steel through twin-roll strip casting. Mater. Design. 2017, 136, 23–33. [Google Scholar] [CrossRef]
- Hawezy, D.; Birosca, S. Disparity in recrystallization of α-& γ-fibers and its impact on Cube texture formation in non-oriented electrical steel. Acta Mater. 2021, 216, 117141. [Google Scholar]
- Sha, Y.H.; Sun, C.; Zhang, F.; Patel, D.; Chen, X.; Kalidindi, S.R.; Zuo, L. Strong cube recrystallization texture in silicon steel by twin-roll casting process. Acta Mater. 2014, 76, 106–117. [Google Scholar] [CrossRef]
- Park, J.T.; Szpunar, J.A. Evolution of recrystallization texture in non-oriented electrical steels. Acta Mater. 2003, 51, 3037–3051. [Google Scholar] [CrossRef]
- Sun, C.; Sha, Y.H.; Zhang, F.; Zuo, L. Effect of cold rolling reduction rate on deformation and recrystallization texture of twin-roll casting silicon steel. J. Northeast. Univ. Nat. Sci. Edit. 2016, 37, 1311–1316. [Google Scholar]
- Li, Z.H.; Xie, S.K.; Wang, G.D.; Liu, H.T. Dependence of recrystallization behavior and magnetic properties on grain size prior to cold rolling in high silicon non-oriented electrical steel. J. Alloys Compd. 2021, 888, 161576. [Google Scholar] [CrossRef]
- Qin, J.; Yang, J.F.; Zhang, Y.H.; Zhou, Q.Y.; Cao, Y.Y. Strong {100}<012>-{411}<148> recrystallization textures in heavily hot-rolled non-oriented electrical steels. Mater. Lett. 2020, 259, 126844. [Google Scholar]
- Xu, H.J.; Xu, Y.B.; He, Y.L.; Jiao, H.T.; Yue, S.; Li, J.P. A quasi in-situ EBSD study of the nucleation and growth of Goss grains during primary and secondary recrystallization of a strip-cast Fe-6.5 wt% Si alloy. J. Alloys Compd. 2021, 861, 158550. [Google Scholar] [CrossRef]
- Wang, S.J.; Li, M.; Wang, H.X.; Xu, C.X.; Lin, Y.; Wei, H.; Zhang, W.K.; Qiu, S.Y.; Wang, Y.D. Effect of grain size before cold rolling on microstructure, texture and magnetic properties of ultra-thin low-Si non-oriented silicon steel. JOM 2023, 75, 1824–1838. [Google Scholar] [CrossRef]
- Lee, H.H.; Jung, J.; Yoon, J.I.; Kim, J.K.; Kim, H.S. Modelling the evolution of recrystallization texture for a non-grain oriented electrical steel. Comp. Mater. Sci. 2018, 149, 57–64. [Google Scholar] [CrossRef]
- Yu, L.; Luo, H.W. Effect of partial recrystallization annealing on magnetic and mechanical properties of non-oriented silicon steel. Acta Metall. Sin. 2020, 56, 291–300. [Google Scholar]
- Shan, N.; Liu, J.L.; Sha, Y.H.; Zhang, F.; Zuo, L. Development of through-thickness Cube recrystallization texture in non-oriented electrical steels by optimizing nucleation environment. Metall. Mate. Trans. A 2019, 50, 2486–2494. [Google Scholar] [CrossRef]
- Dillamore, I.L.; Morris, P.L.; Smith, C.J.E.; Hutchinson, W.B. Transition bands and recrystallization in metals. Proc. R. Soc. Lond. A Math. Phy. Eng. Sci. 1972, 329, 405–420. [Google Scholar]
- Kestens, L.; Jacobs, S. Texture control during the manufacturing of non-oriented electrical steels. Texture Stress Microstruct. 2008, 2008, 173083. [Google Scholar] [CrossRef]
- Suehiro, R.; Hayakawa, Y.; Takamiya, T. Effect of Sn addition on evolution of primary recrystallization texture in 3% Si steel. ISIJ Int. 2019, 59, 351–358. [Google Scholar] [CrossRef]
- Sidor, J.J.; Verbeken, K.; Gomes, E.; Schneider, J.; Calvillo, P.R.; Kestens, L.A.I. Through process texture evolution and magnetic properties of high Si non-oriented electrical steels. Mater. Charact. 2012, 71, 49–57. [Google Scholar] [CrossRef]
- Qin, J.; Yang, P.; Mao, W.M.; Ye, F. Effect of texture and grain size on the magnetic flux density and core loss of cold-rolled high silicon steel sheets. J. Magn. Magn. Mater. 2015, 393, 537–543. [Google Scholar] [CrossRef]
- Lee, K.M.; Park, S.Y.; Huh, M.Y.; Kim, J.S.; Engler, O. Effect of texture and grain size on magnetic flux density and core loss in non-oriented electrical steel containing 3.15% Si. J. Magn. Magn. Mater. 2014, 354, 324–332. [Google Scholar] [CrossRef]


















Disclaimer/Publisher’s Note: The statements, opinions and data contained in all publications are solely those of the individual author(s) and contributor(s) and not of MDPI and/or the editor(s). MDPI and/or the editor(s) disclaim responsibility for any injury to people or property resulting from any ideas, methods, instructions or products referred to in the content. |
© 2024 by the authors. Licensee MDPI, Basel, Switzerland. This article is an open access article distributed under the terms and conditions of the Creative Commons Attribution (CC BY) license (https://creativecommons.org/licenses/by/4.0/).
Share and Cite
Guo, F.; Niu, Y.; Fu, B.; Qiao, J.; Qiu, S. Influence Mechanisms of Cold Rolling Reduction Rate on Microstructure, Texture and Magnetic Properties of Non-Oriented Silicon Steel. Crystals 2024, 14, 853. https://doi.org/10.3390/cryst14100853
Guo F, Niu Y, Fu B, Qiao J, Qiu S. Influence Mechanisms of Cold Rolling Reduction Rate on Microstructure, Texture and Magnetic Properties of Non-Oriented Silicon Steel. Crystals. 2024; 14(10):853. https://doi.org/10.3390/cryst14100853
Chicago/Turabian StyleGuo, Feihu, Yuhao Niu, Bing Fu, Jialong Qiao, and Shengtao Qiu. 2024. "Influence Mechanisms of Cold Rolling Reduction Rate on Microstructure, Texture and Magnetic Properties of Non-Oriented Silicon Steel" Crystals 14, no. 10: 853. https://doi.org/10.3390/cryst14100853
APA StyleGuo, F., Niu, Y., Fu, B., Qiao, J., & Qiu, S. (2024). Influence Mechanisms of Cold Rolling Reduction Rate on Microstructure, Texture and Magnetic Properties of Non-Oriented Silicon Steel. Crystals, 14(10), 853. https://doi.org/10.3390/cryst14100853

