Piezoelectric Properties and Thermal Stability of Pb(Yb1/2Nb1/2)O3-BiScO3-PbTiO3 Ternary Ceramics
Abstract
1. Introduction
2. Experimental Procedures
3. Results and Discussion
3.1. Structure and Phase Analysis
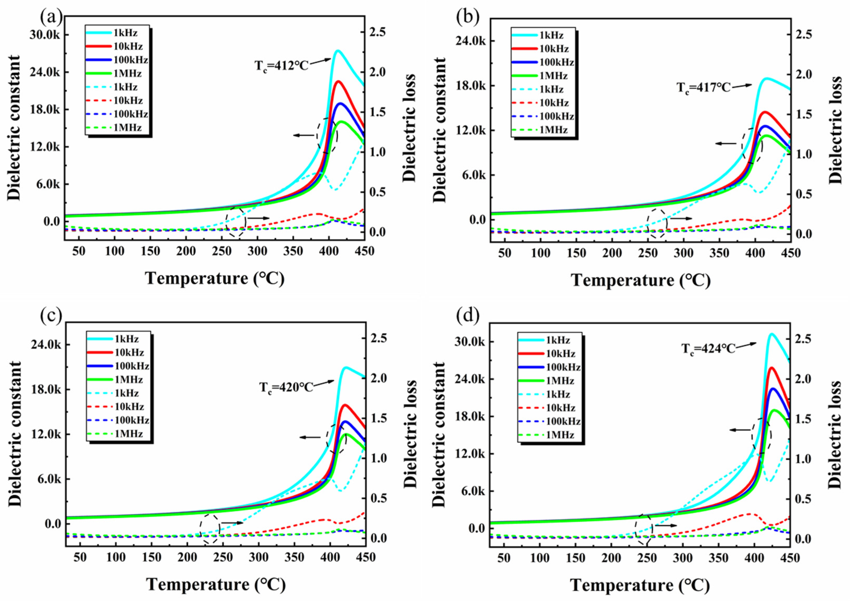
3.2. Dielectric Behavior
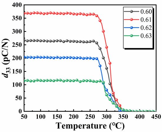
3.3. Piezoelectric and Ferroelectric Properties
3.4. Stability Analysis
4. Conclusions
Author Contributions
Funding
Data Availability Statement
Conflicts of Interest
References
- Zhao, H.; Yu, X.; Li, F.; Yang, H.; Guo, Q.; Zhang, Z. Large Piezoelectricity with Enhanced Thermal Stability in BiScO3-BiInO3-PbTiO3 Ternary Perovskite Ceramics. Ceram. Int. 2023, 49, 40953–40959. [Google Scholar] [CrossRef]
- Dai, Z.; Liu, W.; Lin, D.; Ren, X. Electrical Properties of Zirconium-Modified BiScO3-PbTiO3 Piezoelectric Ceramics at Re-Designed Phase Boundary. Mater. Lett. 2018, 215, 46–49. [Google Scholar] [CrossRef]
- Kang, W.; Li, Y.; Zheng, Z.; Zhao, R. Enhanced Dielectric and Piezoelectric Performance of (1 − x)Bi0.5(Na0.78K0.22)0.5TiO3-xBaTiO3 Ceramics. Ceram. Int. 2020, 46, 18089–18095. [Google Scholar] [CrossRef]
- Feng, Y.; Yang, C.; Guo, X.; Sun, W.; Wang, W.; Lin, X.; Huang, S. Achieving Both Large Piezoelectric Constant and Low Dielectric Loss in BiScO3-PbTiO3–Bi(Mn2/3Sb1/3)O3 High-Temperature Piezoelectric Ceramics. J. Adv. Dielectr. 2022, 12, 2250017. [Google Scholar] [CrossRef]
- Zhao, T.; Shi, K.; Fei, C.; Sun, X.; Quan, Y.; Liu, W.; Zhang, J.; Dai, X. Structure, Electrical Properties, and Thermal Stability of the Mn/Nb Co-Doped Aurivillius-Type Na0.5Bi4.5Ti4O15 High Temperature Piezoelectric Ceramics. Crystals 2023, 13, 433. [Google Scholar] [CrossRef]
- Mitsui, R.; Fujii, I.; Nakashima, K.; Kumada, N.; Kuroiwa, Y.; Wada, S. Chemical Composition Dependence of Ferroelectric Properties for BaTiO3-Bi(Mg1/2Ti1/2)O3-BiFeO3 Lead-Free Piezoelectric Ceramics. J. Ceram. Soc. Jpn. 2013, 121, 855–858. [Google Scholar] [CrossRef][Green Version]
- Liao, W.; Lu, Y.; He, X.; Li, T.; Liang, L.; Liu, X.; Li, H.; Liu, Y.; Zhou, L. High Piezoelectricity of Multicomponent Lead-Based Ceramics with High Temperature Stability. ACS Appl. Electron. Mater. 2023, 5, 6124–6133. [Google Scholar] [CrossRef]
- Dong, Y.; Zou, K.; Liang, R.; Zhou, Z. Review of BiScO3-PbTiO3 Piezoelectric Materials for High Temperature Applications: Fundamental, Progress, and Perspective. Prog. Mater. Sci. 2023, 132, 101026. [Google Scholar] [CrossRef]
- Hu, Q.; Wang, Y.; Wu, L.; Yin, J.; Chen, L.; Yuan, G.; Yang, Y. Effects of LiNbO3 Doping on the Microstructures and Electrical Properties of BiScO3–PbTiO3 Piezoelectric System. J. Mater. Sci. Mater. Electron. 2018, 29, 18036–18044. [Google Scholar] [CrossRef]
- Zhang, L.; Li, S.; Zhu, Z.; Rui, G.; Du, B.; Chen, D.; Huang, Y.F.; Zhu, L. Recent Progress on Structure Manipulation of Poly(Vinylidene Fluoride)-Based Ferroelectric Polymers for Enhanced Piezoelectricity and Applications. Adv. Funct. Mater. 2023, 33, 2301302. [Google Scholar] [CrossRef]
- Gao, M.; Yu, Z.; Fu, J.; Zhang, Y.; Zuo, R. Enhanced Piezoelectricity and Excellent Thermal Stability in Modified BiFeO3–PbTiO3-Based High-Temperature Piezoelectric Ceramics. J. Mater. Sci. Mater. Electron. 2023, 34, 1085. [Google Scholar] [CrossRef]
- Kumar, A.; Hussain, A.; Joseph, A.J.; Goel, S.; Gupta, R.; Singh, N.S.; Singh, U. Synthesis of Ternary 0.49BF-0.20PMN-0.31PT Ceramic at Morphotropic Phase Boundary for Excellent Die-/Piezo-/Ferro-/Pyro-Electric Response. Appl. Phys. A Mater. Sci. Process 2022, 128, 655. [Google Scholar] [CrossRef]
- Zheng, F.; Tian, X.; Fang, Z.; Lin, J.; Lu, Y.; Gao, W.; Xin, R.; Fu, D.; Qi, Y.; Ma, Z.; et al. Sm-Doped PIN-PMN-PT Transparent Ceramics with High Curie Temperature, Good Piezoelectricity, and Excellent Electro-Optical Properties. ACS Appl. Mater. Interfaces 2023, 15, 7053–7062. [Google Scholar] [CrossRef] [PubMed]
- Ryu, J.; Priya, S.; Sakaki, C.; Uchino, K. High Power Piezoelectric Characteristics of BiScO3-PbTiO3-Pb(Mn1/3Nb2/3)O3. Jpn. J. Appl. Phys. 2002, 41, 6040–6044. [Google Scholar] [CrossRef]
- Yao, Z.; Liu, H.; Liu, Y.; Li, Z.; Cheng, X.; Cao, M.; Hao, H. Morphotropic Phase Boundary in Pb(Sc1/2Nb1/2)O3-BiScO3-PbTiO3 High Temperature Piezoelectrics. Mater. Lett. 2008, 62, 4449–4451. [Google Scholar] [CrossRef]
- Liu, G.; Kong, L.; Hu, Q.; Zhang, S. Diffused Morphotropic Phase Boundary in Relaxor-PbTiO3crystals: High Piezoelectricity with Improved Thermal Stability. Appl. Phys. Rev. 2020, 7, 021405. [Google Scholar] [CrossRef]
- Han, X.; Wei, L.; Yang, Z.; Zhang, T. Phase Formation, Dielectric and Ferroelectric Properties of CaxBa1−xNb2O6 Ceramics. Ceram. Int. 2013, 39, 4853–4860. [Google Scholar] [CrossRef]
- Lan, Z.; Chen, K.; He, X.; Zhou, S.; Zheng, X.; Liu, J.; Fang, L.; Lei, X.; Wang, D.; Peng, B.; et al. Phase Evolution and Thermal Stability of High Curie Temperature BiScO3-PbTiO3-Pb(Cd1/3Nb2/3)O3 Ceramics near MPB. J. Appl. Phys. 2019, 126, 234103. [Google Scholar] [CrossRef]
- Ginting, F.H.S.; Tetuko, A.P.; Asri, N.S.; Nurdiyansah, L.F.; Setiadi, E.A.; Humaidi, S.; Sebayang, P. Surface Treatment on Metal Foam Wick of a Ferrofluid Heat Pipe. Surf. Interfaces 2023, 36, 102499. [Google Scholar] [CrossRef]
- Ren, X.; Liu, X.; Tang, M.; Wang, Y.; Xu, Z.; Yan, Y. Enhanced Electromechanical Properties and Thermal Stability of Antimony-Modified BiScO3-PbTiO3 High-Temperature Piezoelectric Ceramics. Ceram. Int. 2023, 49, 25658–25664. [Google Scholar] [CrossRef]
- Liu, R.; Chu, X.; Su, J.; Fu, X.; Kan, Q.; Wang, X.; Zhang, X. Enzyme-Assisted Ultrasonic Extraction of Total Flavonoids from Acanthopanax senticosus and Their Enrichment and Antioxidant Properties. Processes 2021, 9, 1708. [Google Scholar] [CrossRef]
- Son, S.; Lee, J.; Asghari-Rad, P.; Kim, R.E.; Park, H.; Jang, J.I.; Chen, W.; Heo, Y.U.; Kim, H.S. Hierarchically Heterogeneous Microstructure and Mechanical Behavior of the Multi-Materials Prepared by Powder Severe Plastic Deformation. Mater. Res. Lett. 2023, 11, 915–924. [Google Scholar] [CrossRef]
- Li, C.X.; Hong, Y.N.; Yang, B.; Zhang, S.T.; Liu, D.Q.; Wang, X.M.; Liu, Q.; Zhao, L.; Cao, W.W. Phase Transition, Ferroelectric and Piezoelectric Properties of B-Site Complex Cations (Fe0.5Nb0.5)4+-Modified Ba0.70Ca0.30TiO3 Ceramics. Ceram. Int. 2020, 46, 9519–9529. [Google Scholar] [CrossRef]
- Liu, H.; Hu, J.; Zhang, Y.; Zhao, J.; Wang, X.; Song, J. A Dual Role of D-Sorbitol in Crystallizing and Processing Poly (Lactic Acid). J. Polym. Res. 2023, 30, 102. [Google Scholar] [CrossRef]
- Phelan, D.; Long, X.; Xie, Y.; Ye, Z.G.; Glazer, A.M.; Yokota, H.; Thomas, P.A.; Gehring, P.M. Single Crystal Study of Competing Rhombohedral and Monoclinic Order in Lead Zirconate Titanate. Phys. Rev. Lett. 2010, 105, 207601. [Google Scholar] [CrossRef]
- Yue, Y.; Zhang, Q.; Nie, R.; Yu, P.; Chen, Q.; Liu, H.; Zhu, J.; Xiao, D.; Song, H. Influence of Sintering Temperature on Phase Structure and Electrical Properties of 0.55Pb(Ni1/3Nb2/3)O3–0.45Pb(Zr0.3Ti0.7)O3 Ceramics. Mater. Res. Bull. 2017, 92, 123–128. [Google Scholar] [CrossRef]
- Cheng, H.; Zhou, W.; Du, H.; Luo, F.; Zhu, D.; Jiang, D.; Xu, B. Enhanced Dielectric Relaxor Properties in (1 − x)(K0.5Na0.5)NbO3-x(Ba0.6Sr0.4)0.7Bi0.2TiO3 Lead-Free Ceramic. J. Alloy. Compd. 2013, 579, 192–197. [Google Scholar] [CrossRef]
- Talanov, M.V.; Bush, A.A.; Kamentsev, K.E.; Sirotinkin, V.P.; Segalla, A.G. Structure, Dielectric and Piezoelectric Properties of the BiScO3-PbTiO3-PbMg1/3Nb2/3O3 Ceramics. Ferroelectrics 2019, 538, 105–112. [Google Scholar] [CrossRef]
- Chen, Y.; Shi, H.; Zhang, M.; Zhang, D.; Li, Z.; Xu, Y.; Jin, L.; Yan, Y. Comprehensive Properties and Thermal Stability of Ta2O5-Doped PIN-PHT Ceramics. Ceram. Int. 2022, 48, 32908–32916. [Google Scholar] [CrossRef]
- Gezimu, G.; Taddesse, P.; Chufamo, A.; Lewetegn, K.; Tilahun, B.; Zinabe, B.; Babu, K.V.; Saxena, S. Nanostructured Ni0.8Co0.2MnxFe2-xO4 Ferrites: Structural, Elastic, Optical, and Electromagnetic Properties. J. Indian Chem. Soc. 2023, 100, 101103. [Google Scholar] [CrossRef]
- Qaiser, M.A.; Ma, X.Z.; Ma, R.; Ali, W.; Xu, X.; Yuan, G.; Chen, L. High-Temperature Multilayer Actuators Based on CuO Added BiScO3–PbTiO3 Piezoceramics and Ag Electrodes. J. Am. Ceram. Soc. 2019, 102, 5424–5431. [Google Scholar] [CrossRef]
- Ma, P.; Zhang, Z.; Liu, X.; Shi, X.; Prashanth, K.; Jia, Y. Microstructure and Nanoindentation Creep Behavior of Binary Al-Cu Alloy Synthesized at High Pressure. JOM 2023, 75, 176–183. [Google Scholar] [CrossRef]
- Li, Z.-W.; Ma, M.-G.; Li, C.-B.; Chen, Z.-H.; Xu, J.-J. Effect of La2O3 Doping on the Electrical Properties of 0.5Ba0.8Ca0.2TiO3-0.5BaTi0.8Sn0.2O3-0.02Pr6O11 Lead-Free Ceramics. J. Phys. Chem. Solids 2022, 160, 110366. [Google Scholar] [CrossRef]
- Mahmoud, A.E.R.; Babeer, A.M. Intrinsic and Extrinsic Contributions in Nonlinear Dielectric Response of (Bi0.5Na0.3K0.2)TiO3-(Ba0.8Ca0.2)TiO3-Based SrTiO3 Ceramics Driven by the Rayleigh Model. J. Electron. Mater. 2022, 51, 378–390. [Google Scholar] [CrossRef]
- Shen, Z.; Liu, H.; Shen, Y.; Hu, J.; Chen, L.; Nan, C. Machine Learning in Energy Storage Materials. Interdiscip. Mater. 2022, 1, 175–195. [Google Scholar] [CrossRef]
- Wang, C.; Shi, P. Bi0.2Sr0.7TiO3–Doped Bi0.5Na0.5TiO3–Based Lead-Free Ceramics with Good Energy Storage Properties. J. Mater. Sci. Mater. Electron. 2023, 34, 1774. [Google Scholar] [CrossRef]
- Zhao, H.; Yu, X.Y.; Guo, Q.; Yang, H.; Li, F.; Zhang, S.; Wu, X. Large Piezoelectricity and High Depolarization Temperature in BiScO3-BiYbO3-PbTiO3 Ceramics for Energy Harvesting at Elevated Temperatures. J. Mater. Chem. C 2023, 11, 16536–16544. [Google Scholar] [CrossRef]
- Wang, H.; Yuan, H.; Hu, Q.; Wu, K.; Zheng, Q.; Lin, D. Exploring the High-Performance (1 − x)BaTiO3-xCaZrO3 Piezoceramics with Multiphase Coexistence (R-O-T) from Internal Lattice Distortion and Domain Features. J. Alloy. Compd. 2021, 853, 157167. [Google Scholar] [CrossRef]
- Yun, H.; Kong, D.; Aoyagi, M. Characteristics of Thickness-Vibration-Mode PZT Transducer for Acoustic Micropumps. Sens. Actuators A Phys. 2021, 332, 113206. [Google Scholar] [CrossRef]
- Cheng, H.; Zhou, W.; Du, H.; Luo, F.; Wang, W. Microstructure and Dielectric Properties of (K0.5Na0.5)NbO3–Bi(Zn2/3Nb1/3)O3−xmol%CeO2 Lead-Free Ceramics for High Temperature Capacitor Applications. J. Mater. Sci. Mater. Electron. 2015, 26, 9097–9106. [Google Scholar] [CrossRef]










Disclaimer/Publisher’s Note: The statements, opinions and data contained in all publications are solely those of the individual author(s) and contributor(s) and not of MDPI and/or the editor(s). MDPI and/or the editor(s) disclaim responsibility for any injury to people or property resulting from any ideas, methods, instructions or products referred to in the content. |
© 2024 by the authors. Licensee MDPI, Basel, Switzerland. This article is an open access article distributed under the terms and conditions of the Creative Commons Attribution (CC BY) license (https://creativecommons.org/licenses/by/4.0/).
Share and Cite
Zhang, F.; Hao, H.; Cao, M.; Yao, Z.; Fu, S.; Liu, H. Piezoelectric Properties and Thermal Stability of Pb(Yb1/2Nb1/2)O3-BiScO3-PbTiO3 Ternary Ceramics. Crystals 2024, 14, 91. https://doi.org/10.3390/cryst14010091
Zhang F, Hao H, Cao M, Yao Z, Fu S, Liu H. Piezoelectric Properties and Thermal Stability of Pb(Yb1/2Nb1/2)O3-BiScO3-PbTiO3 Ternary Ceramics. Crystals. 2024; 14(1):91. https://doi.org/10.3390/cryst14010091
Chicago/Turabian StyleZhang, Fan, Hua Hao, Minghe Cao, Zhonghua Yao, Shuai Fu, and Hanxing Liu. 2024. "Piezoelectric Properties and Thermal Stability of Pb(Yb1/2Nb1/2)O3-BiScO3-PbTiO3 Ternary Ceramics" Crystals 14, no. 1: 91. https://doi.org/10.3390/cryst14010091
APA StyleZhang, F., Hao, H., Cao, M., Yao, Z., Fu, S., & Liu, H. (2024). Piezoelectric Properties and Thermal Stability of Pb(Yb1/2Nb1/2)O3-BiScO3-PbTiO3 Ternary Ceramics. Crystals, 14(1), 91. https://doi.org/10.3390/cryst14010091

