Human Eye Contrast Sensitivity to Vehicle Displays under Strong Ambient Light
Abstract
:1. Introduction
2. Infotainment Display under Different Ambient Light
2.1. Contrast Sensitivity and Barten’s Model
2.2. LCD and μLED Infotainment Displays under Different Ambient Conditions
2.3. Contrast Sensitivity Visual Test
3. Transparent μLED for Head-Up Displays
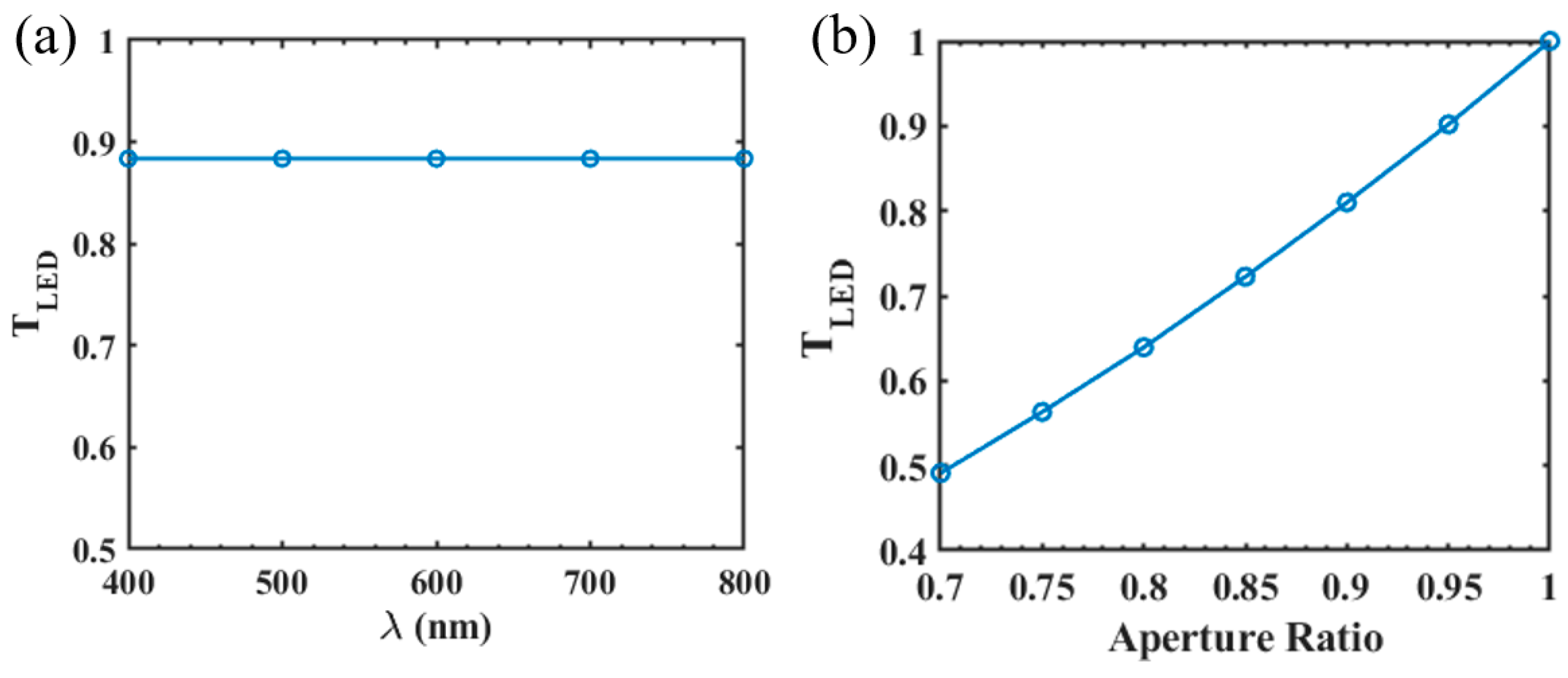
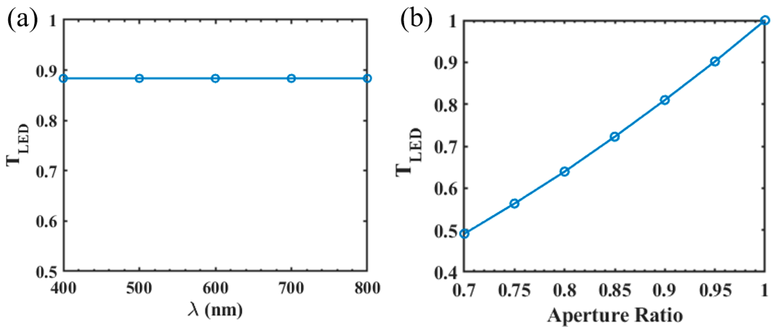
3.1. Transmittance of a Transparent μLED
3.2. Brightness Requirement for a Transparent μLED
3.3. Image Quality on Emissive Transparent Displays
4. Conclusions
Author Contributions
Funding
Institutional Review Board Statement
Informed Consent Statement
Data Availability Statement
Acknowledgments
Conflicts of Interest
References
- Bauer, J.; Kreuzer, M. Understanding the requirements for automotive displays in ambient light conditions. Inf. Disp. 2016, 32, 14–22. [Google Scholar] [CrossRef]
- O’Brien, B. Highlights from the Detroit SID Vehicle Display Symposium and Exposition. Inf. Disp. 2023, 39, 37–41. [Google Scholar] [CrossRef]
- Chen, H.-W.; Lee, J.-H.; Lin, B.-Y.; Chen, S.; Wu, S.-T. Liquid crystal display and organic light-emitting diode display: Present status and future perspectives. Light Sci. Appl. 2018, 7, 17168. [Google Scholar] [CrossRef]
- Fung, M.-K.; Li, Y.-Q.; Liao, L.-S. Tandem organic light-emitting diodes. Adv. Mater. 2016, 28, 10381–10408. [Google Scholar] [CrossRef] [PubMed]
- Cho, H.; Byun, C.-W.; Kang, C.-M.; Shin, J.-W.; Kwon, B.-H.; Choi, S.; Cho, N.S.; Lee, J.-I.; Kim, H.; Lee, J.H. White organic light-emitting diode (OLED) microdisplay with a tandem structure. J. Inf. Disp. 2019, 20, 249–255. [Google Scholar] [CrossRef]
- Baethis, J.; Hohmann, K. 61-2: Invited Paper: ShyTech Displays High Resolution Displays Hidden Behind Decorative Surfaces. In SID Symposium Digest of Technical Papers; John Wiley & Sons, Inc.: Hoboken, NJ, USA, 2022; pp. 798–801. [Google Scholar]
- Fan, R.; Zhang, X.; Tu, Z. Influence of ambient temperature on OLED lifetime and uniformity based on modified equivalent lifetime detection. J. Soc. Inf. Disp. 2019, 27, 597–607. [Google Scholar] [CrossRef]
- Yang, Z.; Hsiang, E.-L.; Qian, Y.; Wu, S.-T. Performance comparison between mini-LED backlit LCD and OLED display for 15.6-inch notebook computers. Appl. Sci. 2022, 12, 1239. [Google Scholar] [CrossRef]
- Schmidt, M.; Grüning, M.; Ritter, J.; Hudak, A.; Xu, C. Impact of high-resolution matrix backlight on local-dimming performance and its characterization. J. Inf. Disp. 2019, 20, 95–104. [Google Scholar] [CrossRef]
- Gao, Z.; Ning, H.; Yao, R.; Xu, W.; Zou, W.; Guo, C.; Luo, D.; Xu, H.; Xiao, J. Mini-LED backlight technology progress for liquid crystal display. Crystals 2022, 12, 313. [Google Scholar] [CrossRef]
- Huang, Y.; Hsiang, E.-L.; Deng, M.-Y.; Wu, S.-T. Mini-LED, Micro-LED and OLED displays: Present status and future perspectives. Light Sci. Appl. 2020, 9, 105. [Google Scholar] [CrossRef] [PubMed]
- Liu, Z.; Lin, C.-H.; Hyun, B.-R.; Sher, C.-W.; Lv, Z.; Luo, B.; Jiang, F.; Wu, T.; Ho, C.-H.; Kuo, H.-C. Micro-light-emitting diodes with quantum dots in display technology. Light Sci. Appl. 2020, 9, 83. [Google Scholar] [CrossRef] [PubMed]
- Liu, Y.; Zhang, K.; Hyun, B.-R.; Kwok, H.S.; Liu, Z. High-brightness InGaN/GaN micro-LEDs with secondary peak effect for displays. IEEE Electron Device Lett. 2020, 41, 1380–1383. [Google Scholar] [CrossRef]
- Lin, J.-Y.; Jiang, H.-X. Development of microLED. Appl. Phys. Lett. 2020, 116, 100502. [Google Scholar] [CrossRef]
- Gabbard, J.L.; Fitch, G.M.; Kim, H. Behind the glass: Driver challenges and opportunities for AR automotive applications. Proc. IEEE 2014, 102, 124–136. [Google Scholar] [CrossRef]
- Blankenbach, K.; Buckley, E. Perceptual effects of laser-based HUDs. J. Disp. Technol. 2012, 8, 194–197. [Google Scholar] [CrossRef]
- Hedili, M.K.; Freeman, M.O.; Urey, H. Microlens array-based high-gain screen design for direct projection head-up displays. Appl. Opt. 2013, 52, 1351–1357. [Google Scholar] [CrossRef]
- Tsai, Y.-H.; Wu, Y.-L.; Liou, W.-T.; Kung, Y.-R.; Huang, Y.-H.; Lee, K.-C. P-202: A Flexible Transparent OLED Display with FlexUPTM Technology. In SID Symposium Digest of Technical Papers; John Wiley & Sons, Inc.: Hoboken, NJ, USA, 2017; pp. 2021–2024. [Google Scholar]
- Feng, Z.; Wu, Y.; Shi, Z.; Surigalatu; Mei, Z.; Chen, S.-J.; Lee, C.-Y.; Zhang, X. 28-3: Pixel Design for Transparent MicroLED Display with Low Blurring. In SID Symposium Digest of Technical Papers; John Wiley & Sons, Inc.: Hoboken, NJ, USA, 2020; pp. 410–412. [Google Scholar]
- Liu, Y.-T.; Liao, K.-Y.; Lin, C.-L.; Li, Y.-L. 66-2: Invited Paper: PixeLED display for transparent applications. In SID Symposium Digest of Technical Papers; John Wiley & Sons, Inc.: Hoboken, NJ, USA, 2018; pp. 874–875. [Google Scholar]
- Roka, A.; Galambos, P.; Baranyi, P. Contrast sensitivity model of the human eye. In Proceedings of the 2009 4th International Symposium on Computational Intelligence and Intelligent Informatics, Huangshi, China, 23–25 October 2009; pp. 93–99. [Google Scholar]
- Westland, S.; Owens, H.; Cheung, V.; Paterson-Stephens, I. Model of luminance contrast-sensitivity function for application to image assessment. Color Res. Appl. 2006, 31, 315–319. [Google Scholar] [CrossRef]
- Watson, A.B. The field of view, the field of resolution, and the field of contrast sensitivity. Electron. Imaging 2018, 1, 10505. [Google Scholar] [CrossRef]
- Sund, P.; Båth, M.; Månsson, L.G. Investigation of the effect of ambient lighting on contrast sensitivity using a novel method for conducting visual research on LCDs. Radiat. Prot. Dosim. 2010, 139, 62–70. [Google Scholar] [CrossRef]
- Rovamo, J.; Franssila, R.; Näsänen, R. Contrast sensitivity as a function of spatial frequency, viewing distance and eccentricity with and without spatial noise. Vis. Res. 1992, 32, 631–637. [Google Scholar] [CrossRef]
- Barten, P.G. Contrast Sensitivity of the Human Eye and its Effects on Image Quality; SPIE Press: Bellingham, WA, USA, 1999. [Google Scholar]
- SAE J1757/1_201505; Standard Metrology for Vehicular Displays. SAE International: Warrendale, PA, USA, 2015.
- Yang, Q.; Yang, Z.; Lan, Y.-F.; Wu, S.-T. Low-diffraction transparent micro light-emitting diode displays with optimized pixel structure. J. Soc. Inf. Disp. 2022, 30, 395–403. [Google Scholar] [CrossRef]
- Qin, Z.; Xie, J.; Lin, F.-C.; Huang, Y.-P.; Shieh, H.-P.D. Evaluation of a transparent display’s pixel structure regarding subjective quality of diffracted see-through images. IEEE Photonics J. 2017, 9, 1–14. [Google Scholar] [CrossRef]
- Qian, Y.; Yang, Z.; Huang, Y.-H.; Lin, K.-H.; Wu, S.-T. Directional high-efficiency nanowire LEDs with reduced angular color shift for AR and VR displays. Opto-Electron. Sci. 2022, 1, 220021. [Google Scholar] [CrossRef]
- Fan, K.; Tao, J.; Zhao, Y.; Li, P.; Sun, W.; Zhu, L.; Lv, J.; Qin, Y.; Wang, Q.; Liang, J. Size effects of AlGaInP red vertical micro-LEDs on silicon substrate. Results Phys. 2022, 36, 105449. [Google Scholar] [CrossRef]
- Olivier, F.; Tirano, S.; Dupré, L.; Aventurier, B.; Largeron, C.; Templier, F. Influence of size-reduction on the performances of GaN-based micro-LEDs for display application. J. Lumin. 2017, 191, 112–116. [Google Scholar] [CrossRef]
- Wang, Z.; Simoncelli, E.P.; Bovik, A.C. Multiscale structural similarity for image quality assessment. In Proceedings of the Thirty-Seventh Asilomar Conference on Signals, Systems & Computers, Pacific Grove, CA, USA, 9–12 November 2003; pp. 1398–1402. [Google Scholar]









| PPD | Distance to Screen (cm) | Pattern Size (cm) |
|---|---|---|
| 60 | 27.5 | 5.0 |
| 55 | 24.7 | 4.3 |
| 50 | 22.0 | 3.8 |
| 45 | 18.7 | 3.3 |
| 40 | 15.5 | 2.7 |
Disclaimer/Publisher’s Note: The statements, opinions and data contained in all publications are solely those of the individual author(s) and contributor(s) and not of MDPI and/or the editor(s). MDPI and/or the editor(s) disclaim responsibility for any injury to people or property resulting from any ideas, methods, instructions or products referred to in the content. |
© 2023 by the authors. Licensee MDPI, Basel, Switzerland. This article is an open access article distributed under the terms and conditions of the Creative Commons Attribution (CC BY) license (https://creativecommons.org/licenses/by/4.0/).
Share and Cite
Qian, Y.; Yang, Z.; Hsiang, E.-L.; Yang, Q.; Nilsen, K.; Huang, Y.-H.; Lin, K.-H.; Wu, S.-T. Human Eye Contrast Sensitivity to Vehicle Displays under Strong Ambient Light. Crystals 2023, 13, 1384. https://doi.org/10.3390/cryst13091384
Qian Y, Yang Z, Hsiang E-L, Yang Q, Nilsen K, Huang Y-H, Lin K-H, Wu S-T. Human Eye Contrast Sensitivity to Vehicle Displays under Strong Ambient Light. Crystals. 2023; 13(9):1384. https://doi.org/10.3390/cryst13091384
Chicago/Turabian StyleQian, Yizhou, Zhiyong Yang, En-Lin Hsiang, Qian Yang, Kevin Nilsen, Yu-Hsin Huang, Kuan-Heng Lin, and Shin-Tson Wu. 2023. "Human Eye Contrast Sensitivity to Vehicle Displays under Strong Ambient Light" Crystals 13, no. 9: 1384. https://doi.org/10.3390/cryst13091384
APA StyleQian, Y., Yang, Z., Hsiang, E.-L., Yang, Q., Nilsen, K., Huang, Y.-H., Lin, K.-H., & Wu, S.-T. (2023). Human Eye Contrast Sensitivity to Vehicle Displays under Strong Ambient Light. Crystals, 13(9), 1384. https://doi.org/10.3390/cryst13091384

