Specific Features of Formation of Electron and Hole Trapping Centers in Irradiated CaSO4-Mn and BaSO4-Mn
Abstract
1. Introduction
2. Materials and Methods
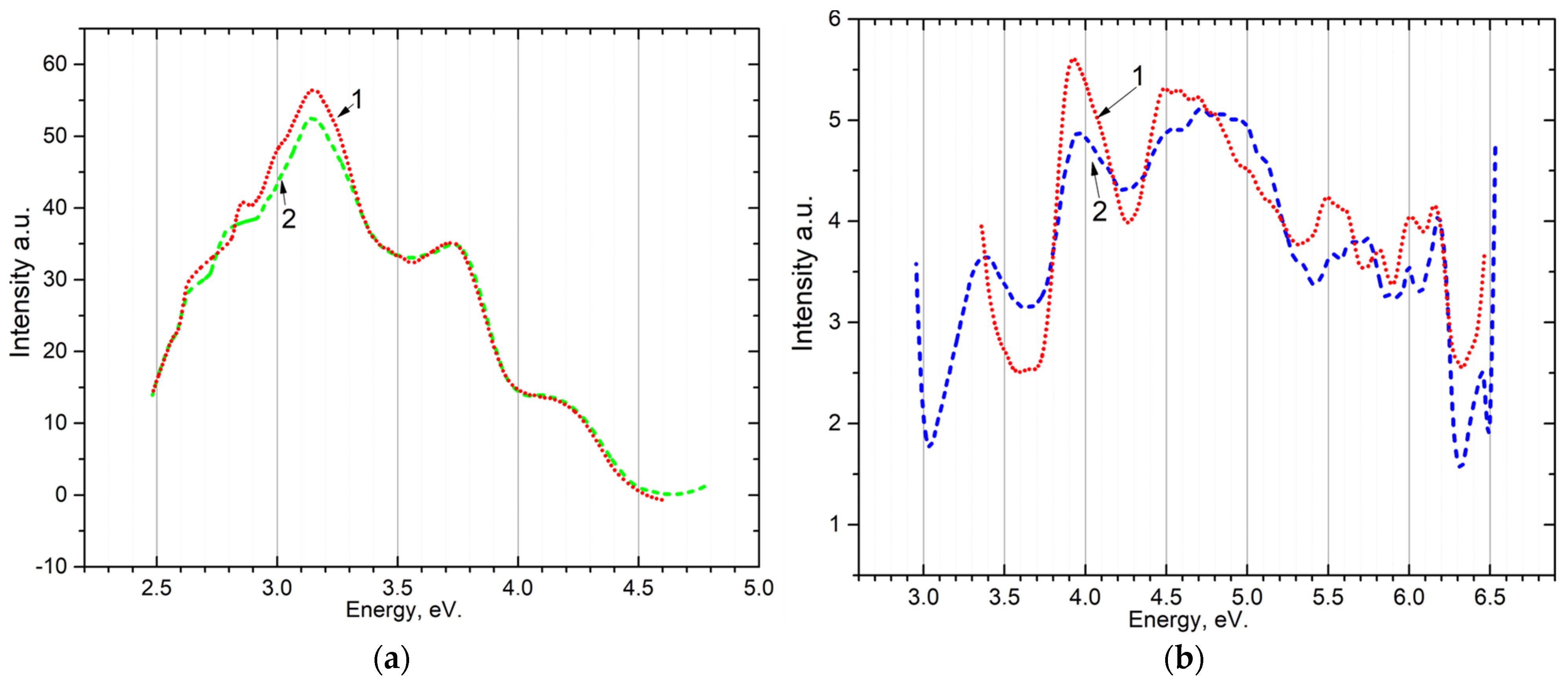
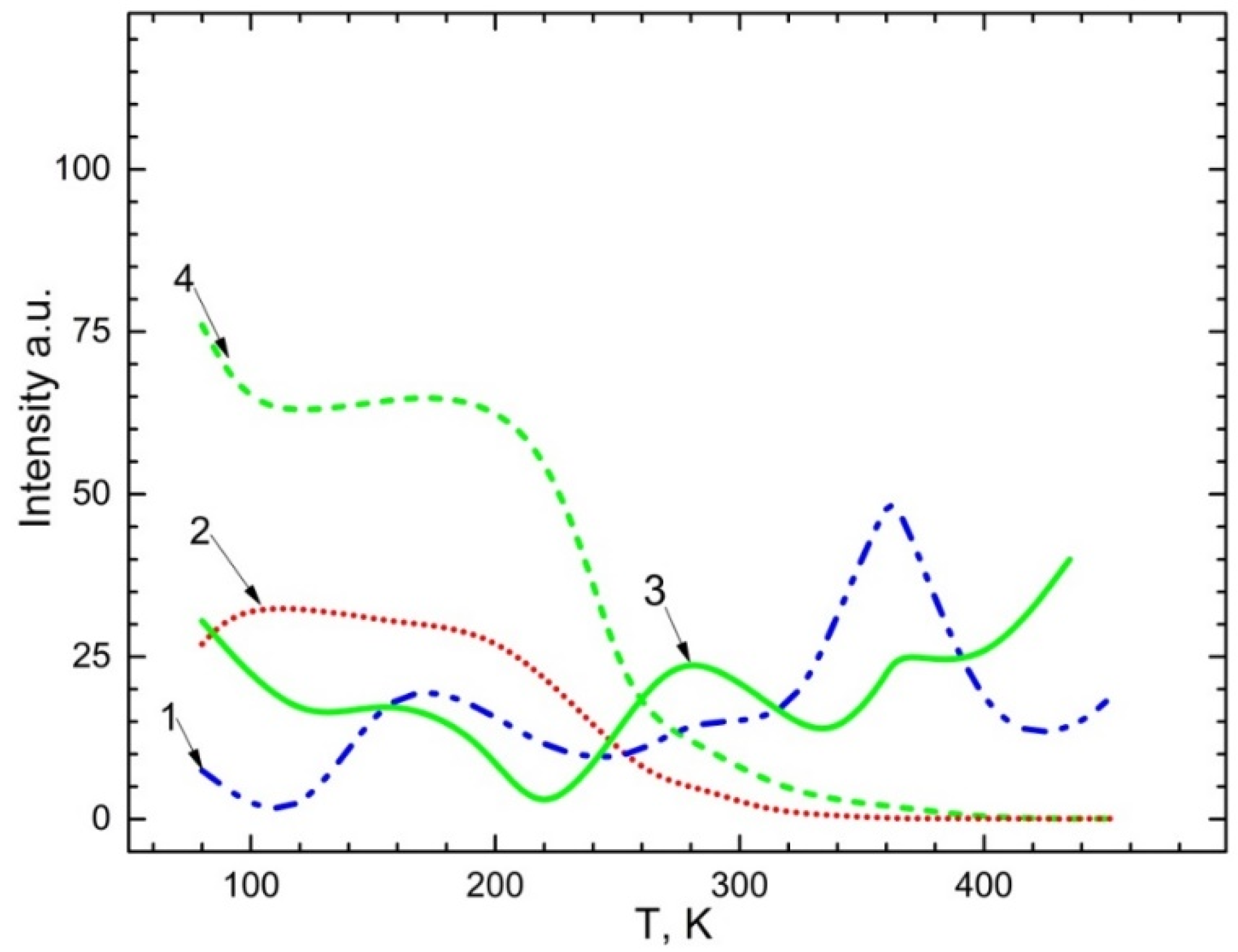
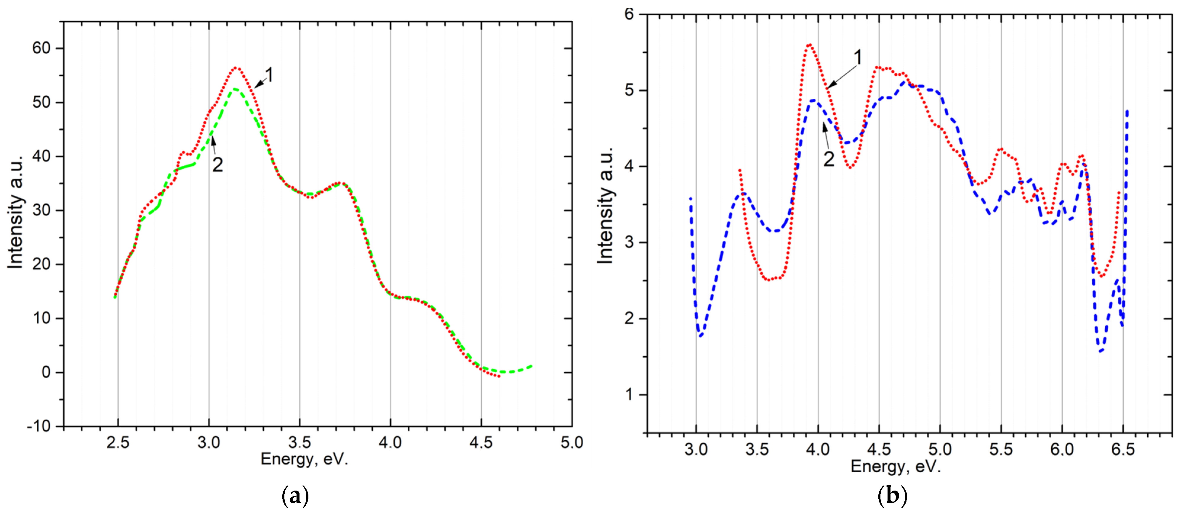
3. Results
4. Discussion
- -
- during charge transfer from oxygen to impurities ();
- -
- when electron-hole pairs are trapped by impurities.
- -
- when charge is transferred from oxygen () to the next to anionic complex , intrinsic electron-hole trapping centers are created near the impurity;
- -
- when an electron is captured by an anionic complex and a hole is localized in the form of , similar capture centers can be created.
5. Conclusions
- 1.
- The charge transfer by anionic complexes occurs during the excitation of . Trap centers are created as a result of charge transfer from . The alternative mechanism of formation occurs as trapping free electrons on .
- 2.
- Energy transfer to impurities occurs at the time of charge transfer . A common combined electronic state of 2.95–3.1 eV is created. The combined radiative state 2.95–3.1 eV consists of the radiative levels of and trapping centers.
- 3.
- In sulfates with Tl+, Cu+, and Mn2+ impurities, the combined radiative state 2.95–3.17 eV is formed during charge transfer (M-metall).
- 4.
- In sulfates, anionic complexes are excited mainly near impurities.
Author Contributions
Funding
Data Availability Statement
Acknowledgments
Conflicts of Interest
References
- Jamkhaneh, K.B.; Saraee, K.R.E. Thermoluminescence characterization of nanocrystalline powder of SrSO4: Sm exposed to gamma radiation for dosimetric applications. Appl. Radiat. Isot. 2020, 160, 109128. [Google Scholar] [CrossRef]
- Bahl, S.; Kumar, V.; Bihari, R.R.; Kumar, P. Investigations of OSL properties of CaSO4: Mn phosphor exposed to gamma and beta radiations. J. Lumin. 2017, 181, 36. [Google Scholar] [CrossRef]
- Tang, Q.; Tang, H.; Luo, D.; Zhang, C.; Guo, J.; Wu, H. Thermoluminescence spectra and dose responses of SrSO4 phosphors doped with rare earths (Eu, Dy, Tm) and phosphorus. Rad. Protec. Dos. 2019, 187, 164. [Google Scholar] [CrossRef] [PubMed]
- Plekhanov, V.G.; Os’minin, V.S. Issledovaniye spektrov otrazheniya i lyuminestsentsii kristallov sul’fata kaliya pri nizkoy temperature. OiS 1975, 38, 120–123. [Google Scholar]
- Zhai, B.G.; Xu, H.; Zhang, Q.; Huang, Y.M. Blue Photoluminescence and Cyan-Colored Afterglow of Undoped SrSO4 Nanoplates. ACS Omega 2021, 6, 10129. [Google Scholar] [CrossRef] [PubMed]
- Boroznovskaya, N.N.; Zyryanova, L.A.; Pekov, I.V. Luminescent properties of natural barite: Evidence for its genesis. Dokl. Earth Sci. 2016, 471, 1171. [Google Scholar]
- Rao, T.G.; Bhatt, B.C.; Srivastava, J.K.; Nambi KS, V. On the sulphoxy radicals in CaSO4: Dy, Na thermoluminescent phosphor: Electron paramagnetic resonance studies. J. Phys. Condens. Matter 1993, 5, 1791. [Google Scholar] [CrossRef]
- Petö, Á.; Kelemen, A.; Ötvös, N. Radioluminescence characteristics of CaSO4:Dy, Cu. J. Lumin. 1997, 72, 778. [Google Scholar] [CrossRef]
- Morgan, M.D.; Stoebe, T.G. Optical absorption and luminescent processes in thermoluminescent CaSO4:Dy. J. Phys. Condens. Matter 1989, 1, 5773. [Google Scholar] [CrossRef]
- Okada, G.; Hirasawa, K.; Kusano, E.; Yanagida, T.; Nanto, H. Radio-photoluminescence properties of samarium-doped alkaline earth sulfates. NIMP B 2020, 466, 56. [Google Scholar] [CrossRef]
- Ávila, O.; Ramírez-Barbosa, E.; Gamboa-deBuen, I. Energy dependence of TLD-900 dosimeters exposed to low energy X-rays. Rad. Meas. 2014, 71, 127–132. [Google Scholar] [CrossRef]
- Niroomand-Rad, A.; DeWerd, L.A. The application of CaSO4:Dy (TLD-900) to diagnostic x-ray exposures. Med. Phys. 1983, 10, 691–694. [Google Scholar] [CrossRef] [PubMed]
- Ji, Y.; Wang, M.; Yang, Z.; Wang, H.; Padhiar, M.A.; Qiu, H.; Dang, J.; Miao, Y.; Zhou, Y.; Bhatti, A.S. Strong violet emission from ultra-stable strontium-doped CsPbCl3 superlattices. Nanoscale 2022, 14, 2359–2366. [Google Scholar] [CrossRef]
- Omanwar, S.K.; Palan, C.B. Synthesis and preliminary OSL studies of Ce3+ activated calcium sulfate (CaSO4) for radiation dosimetry. J. Mater. Sci. Mater. Electron. 2018, 29, 7388. [Google Scholar] [CrossRef]
- Yüksel, M.; Dogan, T.; Balci-Yegen, S.; Akca, S.; Portakal, Z.G.; Kucuk, N.; Topaksu, M. Heating rate properties and kinetic parameters of thermoluminescence glow curves of La-doped zinc borate. Radiat. Phys. Chem. 2019, 148, 197. [Google Scholar] [CrossRef]
- Beaugnon, F.; Quiligotti, S.; Chevreux, S.; Wallez, G. On the monoclinic distortion of β-anhydrite CaSO4. Solid State Sci. 2020, 108, 106399. [Google Scholar] [CrossRef]
- Nurakhmetov, T.N.; Salikhodzha, Z.M.; Zhunusbekov, A.M.; Kainarbay, A.Z.; Daurenbekov, D.H.; Alibay, T.T.; Sadykova, B.M.; Zhangylyssov, K.B.; Yussupbekova, B.; Tolekov, D.A. Intrinsic emission and electron-hole trapping centers in irradiated Na2SO4. Optik 2021, 242, 167081. [Google Scholar] [CrossRef]
- Yussupbekova, B.N.; Nurakhmetov, T.N.; Salikhodzha, Z.M.; Zhunusbekov, A.M.; Kainarbay, A.Z.; Daurenbekov, D.H.; Sadykova, B.M.; Zhangylyssov, K.B. Intrinsic and impurity emission and formation mechanism of trapping centers in LiKSO4-Cu crystals. NIMP B. 2020, 481, 19–23. [Google Scholar] [CrossRef]
- Nurakhmetov, T.N.; Salikhodzha, Z.M.; Zhunusbekov, A.M.; Kainarbay, A.Z.; Daurenbekov, D.H.; Alibay, T.T.; Sadykova, B.M.; Zhangylyssov, K.B.; Yussupbekova, B.N.; Tolekov D., A. Mechanisms formation of electron hole trap centers in LiKSO4 crystall. Eur. J. Ph. Fun. Mat. 2021, 5, 24–30. [Google Scholar] [CrossRef]
- Nurakhmetov, T.N.; Alibay, T.T.; Pazylbek, S.; Zhunusbekov, A.M.; Sadykova, B.M.; Tolekov, D.A.; Shamieva, R.K.; Nurpeissov, A.S. Electron-hole trapping centers in Na2SO4 with a transition metal impurity Mn. Eur. J. Ph. Fun. Mat. 2023, 7, 38–44. [Google Scholar] [CrossRef]
- Osminin, V.S.; Plekhanov, V.G.; Silkin, N.I. Recombination processes in potassium sulfate with thallium as an impurity. J. Appl. Spectrosc. 1974, 21, 908. [Google Scholar] [CrossRef]
- Zhou, R.; Lin, L.; Liu, C.; Dorenbos, P.; Tao, Y.; Huang, Y.; Liang, H. Insight into Eu redox and Pr3+ 5d emission in KSrPO4 by VRBE scheme construction. Dalton Trans. 2018, 47, 306–313. [Google Scholar] [CrossRef]
- Byberg, J.R. O—Detected by ESR as a primary electron-excess defect in x-irradiated K2SO4. J. Chem. Phys. 1986, 84, 6083–6085. [Google Scholar] [CrossRef]
- Nair, S.R.; Kondawar, V.K.; Upadeo, S.V.; Moharil, S.V.; Gundurao, T.K. Redox reactions, radio-photoluminescence and thermoluminescence in CaSO4-Eu. J. Ph. Con. Mat. 1997, 9, 8307. [Google Scholar] [CrossRef]
- Danby, R.J.; Boas, J.F.; Calvert, R.L.; Pilbrow, J.R. ESR of thermoluminescent centres in CaSO4 single crystals. J. Ph. C Sol. St. Ph. 1982, 15, 2483. [Google Scholar] [CrossRef]








Disclaimer/Publisher’s Note: The statements, opinions and data contained in all publications are solely those of the individual author(s) and contributor(s) and not of MDPI and/or the editor(s). MDPI and/or the editor(s) disclaim responsibility for any injury to people or property resulting from any ideas, methods, instructions or products referred to in the content. |
© 2023 by the authors. Licensee MDPI, Basel, Switzerland. This article is an open access article distributed under the terms and conditions of the Creative Commons Attribution (CC BY) license (https://creativecommons.org/licenses/by/4.0/).
Share and Cite
Nurakhmetov, T.N.; Alibay, T.T.; Zhangylyssov, K.B.; Daurenbekov, D.H.; Zhunusbekov, A.M.; Kainarbay, A.Z.; Sadykova, B.M.; Tolekov, D.A.; Shamiyeva, R.K. Specific Features of Formation of Electron and Hole Trapping Centers in Irradiated CaSO4-Mn and BaSO4-Mn. Crystals 2023, 13, 1054. https://doi.org/10.3390/cryst13071054
Nurakhmetov TN, Alibay TT, Zhangylyssov KB, Daurenbekov DH, Zhunusbekov AM, Kainarbay AZ, Sadykova BM, Tolekov DA, Shamiyeva RK. Specific Features of Formation of Electron and Hole Trapping Centers in Irradiated CaSO4-Mn and BaSO4-Mn. Crystals. 2023; 13(7):1054. https://doi.org/10.3390/cryst13071054
Chicago/Turabian StyleNurakhmetov, Turlybek. N., Temirulan. T. Alibay, Keleshek. B. Zhangylyssov, Dulat. H. Daurenbekov, Amangeldy. M. Zhunusbekov, Aset. Zh. Kainarbay, Batsaiy. M. Sadykova, Doszhan. A. Tolekov, and Raushan. K. Shamiyeva. 2023. "Specific Features of Formation of Electron and Hole Trapping Centers in Irradiated CaSO4-Mn and BaSO4-Mn" Crystals 13, no. 7: 1054. https://doi.org/10.3390/cryst13071054
APA StyleNurakhmetov, T. N., Alibay, T. T., Zhangylyssov, K. B., Daurenbekov, D. H., Zhunusbekov, A. M., Kainarbay, A. Z., Sadykova, B. M., Tolekov, D. A., & Shamiyeva, R. K. (2023). Specific Features of Formation of Electron and Hole Trapping Centers in Irradiated CaSO4-Mn and BaSO4-Mn. Crystals, 13(7), 1054. https://doi.org/10.3390/cryst13071054

