Packing Motifs in [M(bpy)2X2] Coordination Compounds (bpy = 2,2′-bipyridine; X = F, Cl, Br, I)
Abstract
1. Introduction
2. Methods
3. Initial Search Results and Selection of Structures for Detailed Analysis
4. Non-Solvated cis-[M(bpy)2X2] Compounds
| REFCODE Space Group | M | X | Centroid...Centroid (Figure 3a,b)/Å | Centroid...Centroid (Figure 3c)/Å | CH...X, C...X (Figure 3a,b)/Å | ∠C–H...X (Figure 3a,b)/° | CH...X, C...X (Figure 3c)/Å | ∠C–H...X (Figure 3c)/° | Ref |
|---|---|---|---|---|---|---|---|---|---|
| GALMAH P21/c | Mn | Cl | 3.92 | 3.66 | 2.705, 3.639(5) | 143.5 | 2.669, 3.650(5) | 149.7 | [16] |
| GALMAH01 P21/c | Mn | Cl | 3.85 | 3.64 | 2.630, 3.587(3) | 146.4 | 2.670, 3.618(3) | 145.1 | [18] |
| IRUBAB P21/c | Co | Cl | 3.93 | 3.64 | 2.660, 3.648(2) | 150.5 | 2.662, 3.619(2) | 146.3 | [29] |
| WABWAZ P21/c | Cd | Cl | 3.91 | 3.70 | 2.699, 3.635(7) | 143.8 | 2.700, 3.654(7) | 146.0 | [30] |
| DEYQUU01 P21/c | Cd | Br | 4.06 | 3.84 | 2.814, 3.710(6) | 139.5 | 2.826, 3.748(6) | 142.4 | [31] |
| TIRCON P21/c | Mn | Br | 4.07 | 3.76 | 2.746, 3.673(3) | 142.8 | 2.760, 3.692(3) | 143.5 | [8] |
| TIRCON02 P21/c | Mn | Br | 4.05 | 3.75 | 2.713, 3.630(2) | 141.6 | 2.758, 3.655(2) | 139.6 | [32] |
| UPUTIJ P21/c | Co | Br | 4.14 | 3.77 | 2.751, 3.718(6) | 147.8 | 2.751, 3.700(6) | 145.4 | [33] |
| UPUTIJ01 P21/c | Co | Br | 4.07 | 3.75 | 2.704, 3.664(3) | 146.7 | 2.731, 3.648(3) | 141.7 | [34] |
| ISAFOY P21/c | Mn | I | 4.39 | 4.06 | 2.966, 3.820(6) | 135.5 | 2.985, 3.848(6) | 136.4 | [26] |
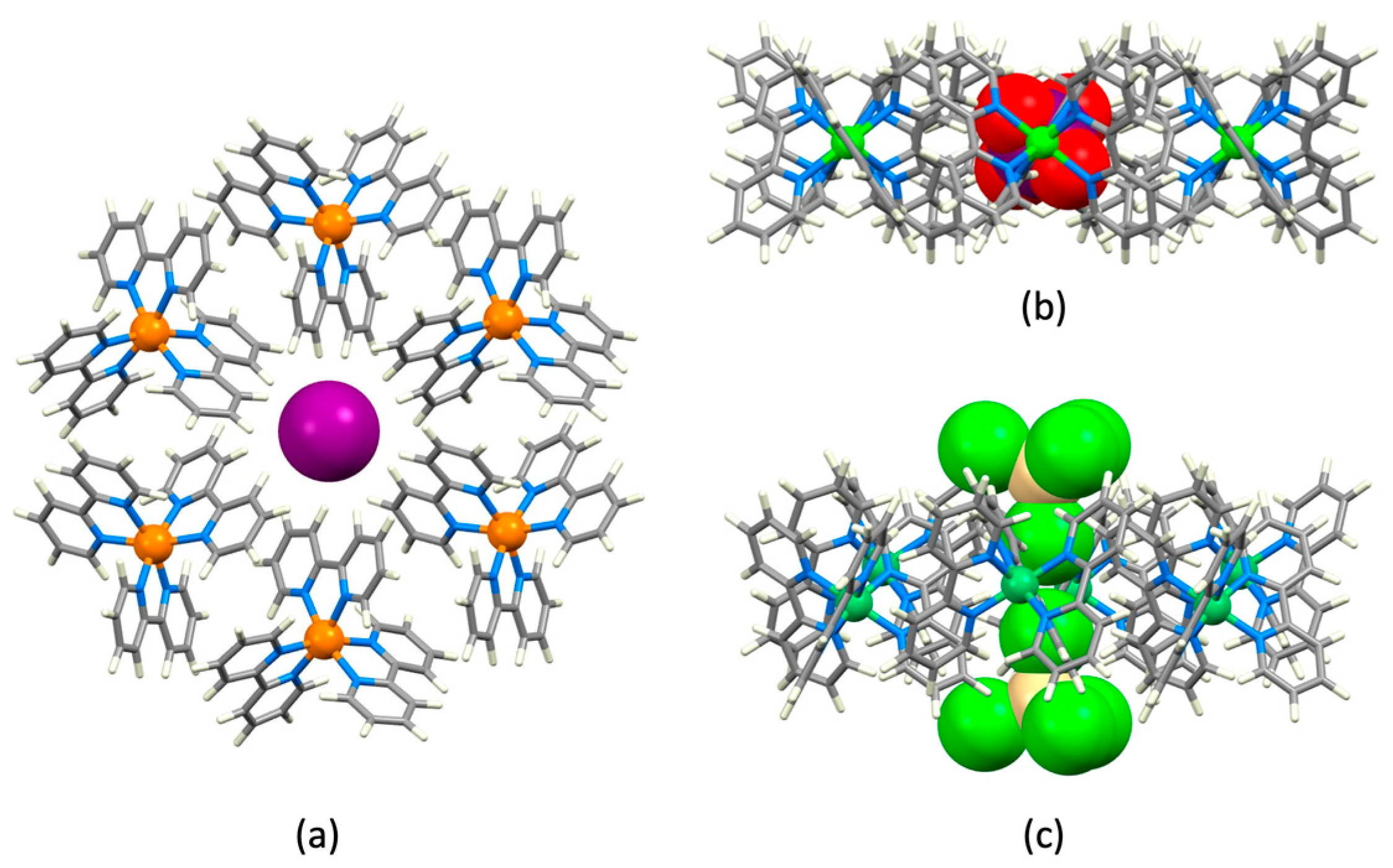
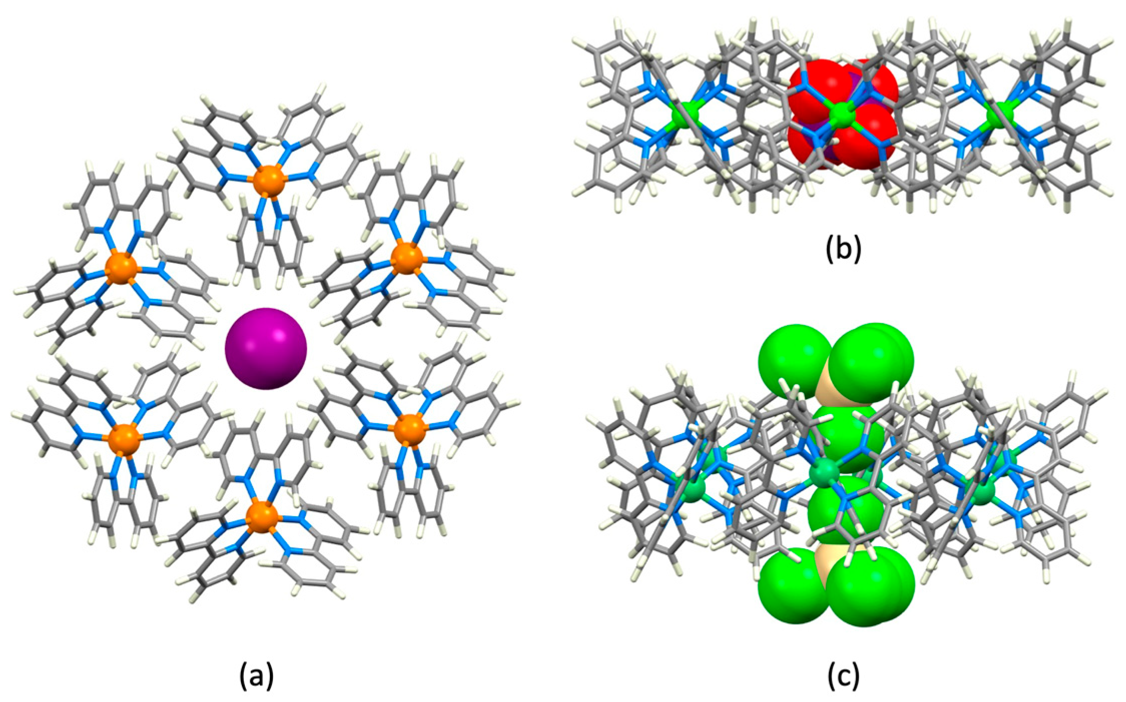
5. cis-[M(bpy)2X2] Compounds with Lattice Molecules
6. Conclusions
Author Contributions
Funding
Data Availability Statement
Acknowledgments
Conflicts of Interest
Sample Availability
References
- Groom, C.R.; Bruno, I.J.; Lightfoot, M.P.; Ward, S.C. The Cambridge Structural Database. Acta Crystallogr. Sect. B Struct. Sci. Cryst. Eng. Mater. 2016, B72, 171–179. [Google Scholar] [CrossRef]
- Constable, E.C.; Housecroft, C.E. Halide Ion Embraces in Tris(2,2′-bipyridine)metal Complexes. Crystals 2020, 10, 671. [Google Scholar] [CrossRef]
- Constable, E.C.; Housecroft, C.E. Embracing [XY3]m− and [XY4]m− anions in salts of [M(bpy)3]q+. Crystals 2023, 13, 97. [Google Scholar] [CrossRef]
- Eggleston, D.S.; Goldsby, K.A.; Hodgson, D.J.; Meyer, T.J. Structural Variations Induced by Changes in Oxidation State and Their Role in Electron Transfer. Crystal and Molecular Structures of cis-[Ru(bpy)2Cl2]·3.5H2O and cis-[Ru(bpy)2Cl2]Cl·2H2O. Inorg. Chem. 1985, 24, 4573–4584. [Google Scholar] [CrossRef]
- McCann, S.; McCann, M.; Casey, M.T.; Jackman, M.; Devereux, M.; McKee, V. Syntheses and X-ray crystal structures of cis-[Mn(bipy)2Cl2]·2H2O·EtOH and cis-[Mn(phen)2Cl2] (bipy = 2,2′-bipyridine; phen = 1,10-phenanthroline); catalysts for the disproportionation of hydrogen peroxide. Inorg. Chim. Acta 1998, 279, 24–29. [Google Scholar] [CrossRef]
- Swiatkowski, M.; Kruszynski, R. Revealing the structural chemistry of the group 12 halide coordination compounds with 2,2′-bipyridine and 1,10-phenanthroline. J. Coord. Chem. 2017, 70, 642–675. [Google Scholar] [CrossRef]
- Toyama, M. Crystal Structure of cis-Bis(2,2′-bipyridine)dichlorocobalt(III) Nitrate Methanol Solvate. X-ray Struct. Anal. Online 2018, 34, 41–43. [Google Scholar] [CrossRef]
- Hwang, I.-C.; Ha, K. Crystal structure of bis(2,2′-bipyridine-N,N′)dibromomanganese(II), MnBr2(C10H8N2)2. Z. Kristallogr. New Cryst. Struct. 2007, 222, 209–210. [Google Scholar] [CrossRef]
- Kavitha, S.J.; Panchanatheswaran, K.; Low, J.N.; Glidewell, C. Racemic cis-bis(2,2′-bipyridyl)difluorovanadium(III) tetrafluoroborate. Acta Crystallogr. Sect. E Struct. Rep. Online 2005, E61, m1965–m1967. [Google Scholar] [CrossRef]
- Yamaguchi-Terasaki, Y.; Fujihara, T.; Nagasawa, A.; Kaizaki, S. cis-Bis(2,2′-bipyridine)difluorochromium(III) perchlorate. Acta Crystallogr. Sect. E Struct. Rep. Online 2007, E63, m593–m595. [Google Scholar] [CrossRef]
- Li, Z.; Xu, D.; Nie, J.; Wu, Z.; Wu, J.; Chiang, M.Y. Synthesis and Crystal Structure of Bis(2,2′-Bipyridine-N,N′)Dichloromanganese(II) Complex with Free 2,2′-Bipyridine. J. Coord. Chem. 2002, 55, 1155–1160. [Google Scholar] [CrossRef]
- Choudhury, S.R.; Dutta, A.; Mukhopadhyay, S.; Lu, L.-P.; Zhu, M.-L. cis-(2,2′-Bipyridyl)dichloromanganese(II)–thiourea (1/1). Acta Crystallogr. Sect. E Struct. Rep. Online 2006, E62, m1489–m1491. [Google Scholar] [CrossRef]
- Ferbinteanu, M.; Cimpoesu, F.; Andruh, M.; Rochon, F.D. Solid-state chemistry of [Ni(AA)3][PdCl4]·nH2O complexes (AA = bipy, phen) and crystal structures of cis-diaqua-bis(phenanthroline)nickel(II) tetrachlorozincate and cis-dichlorobis(bipyridine)nickel(II). Polyhedron 1998, 17, 3671–3679. [Google Scholar] [CrossRef]
- Ha, K. A second monoclinic polymorph of bis(2,2′-bipyridine-κ2N,N′)diiodidomanganese(II). Acta Crystallogr. Sect. E Struct. Rep. Online 2011, E67, m1351. [Google Scholar] [CrossRef]
- Kim, N.-H.; Hwang, I.-C.; Ha, K. Bis(2,2′-bipyridine-κ2N,N′)dichloridoplatinum(IV) dichloride monohydrate. Acta Crystallogr. Sect. E Struct. Rep. Online 2009, E65, m180. [Google Scholar] [CrossRef]
- Lumme, P.O.; Lindell, E. Structure of cis-Bis(2,2′-bipyridine-N,N′)dichloromanganese(II). Acta Crystallogr. Sect. C Cryst. Struct. Commun. 1988, C44, 463–465. [Google Scholar] [CrossRef]
- Prajapati, R.; Yadav, V.K.; Dubey, S.K.; Durham, B.; Mishra, L. Reactivity of metal (ZnII, RuII)-2,2′-bipyridyl with some bifunctional ligands. Ind. J. Chem. 2008, 47A, 1780–1786. [Google Scholar]
- Čechová, D.; Martišková, A.; Moncol, J. Structure of cis-dichlorobis(1,10-phenanthroline)manganese(II) and cis-dichlorobis(2,2′-bipyridine)manganese(II). Acta Chim. Slovaca 2014, 7, 15–19. [Google Scholar] [CrossRef]
- Fischer, E.; Hummel, H.-U. Untersuchungen im quasi-binären System LiI/2,2′-Bipyridin. Z. Anorg. Allg. Chem. 1997, 623, 483–486. [Google Scholar] [CrossRef]
- Wojciechowska, A.; Bronowska, W.; Pietraszko, A.; Staszak, Z.; Cieślak-Golonka, M. Synthesis, crystal structure and spectroscopic characterisation of double salt [Zn(bpy)3](CrO4)0.5NO3·6.5H2O. J. Mol. Struct. 2002, 608, 151–160. [Google Scholar] [CrossRef]
- Chesnut, D.J.; Haushalter, R.C.; Zubieta, J. The hydrothermal synthesis and structural characterization of a new class of compounds: Nickel organoamine-halocadmates. Inorg. Chim. Acta 1999, 292, 41–51. [Google Scholar] [CrossRef]
- Bruno, I.J.; Cole, J.C.; Edgington, P.R.; Kessler, M.; Macrae, C.F.; McCabe, P.; Pearson, J.; Taylor, R. New software for searching the Cambridge Structural Database and visualising crystal structures. Acta Crystallogr. Sect. B Struct. Crystallogr. Cryst. Chem. 2002, B58, 389–397. [Google Scholar] [CrossRef] [PubMed]
- Macrae, C.F.; Sovago, I.; Cottrell, S.J.; Galek, P.T.A.; McCabe, P.; Pidcock, E.; Platings, M.; Shields, G.P.; Stevens, J.S.; Towler, M.; et al. Mercury 4.0: From visualization to analysis, design and prediction. J. Appl. Crystallogr. 2020, 53, 226–235. [Google Scholar] [CrossRef] [PubMed]
- Miloserdov, F.M.; Kirillova, M.S.; Muratore, M.E.; Echavarren, A.M. Unified Total Synthesis of Pyrroloazocine Indole Alkaloids Sheds Light on Their Biosynthetic Relationship. J. Am. Chem. Soc. 2018, 140, 5393–5400. [Google Scholar] [CrossRef] [PubMed]
- Janiak, C. A critical account on π–π stacking in metal complexes with aromatic nitrogen-containing ligands. J. Chem. Soc. Dalton Trans. 2000, 3885–3896. [Google Scholar] [CrossRef]
- Ha, K. Crystal structure of bis(2,2′-bipyridine-N,N′)diiodomanganese(II), MnI2(C10H8N2)2. Z. Kristallogr. New Cryst. Struct. 2011, 226, 187–188. [Google Scholar] [CrossRef]
- Park, H.-M.; Hwang, I.-H.; Bae, J.-M.; Jo, Y.-D.; Kim, C.; Kim, H.-Y.; Kim, Y.-M.; Kim, S.-J. Anion Effects on Crystal Structures of CdII Complexes Containing 2,2′-Bipyridine: Photoluminescence and Catalytic Reactivity. Bull. Korean Chem. Soc. 2012, 33, 1517–1522. [Google Scholar] [CrossRef]
- Skelton, B.W.; Waters, A.F.; White, A.H. Synthesis and Structural Systematics of Nitrogen Base Adducts of Group 2 Salts. VII: Some Complexes of Group 2 Metal Halides with Aromatic N,N′-Bidentate Ligands. Aust. J. Chem. 1996, 49, 99–115. [Google Scholar] [CrossRef]
- Ruiz, A.C.; Damodaran, K.K.; Suman, S.G. Towards a selective synthetic route for cobalt amino acid complexes and their application in ring opening polymerization of rac-lactide. RSC Adv. 2021, 11, 16326–16338. [Google Scholar] [CrossRef]
- Gao, S.; Ng, S.W. Bis(2,2′-bipyridine-κ2N,N′)dichloridocadmium(II). Acta Crystallogr. Sect. E Struct. Rep. Online 2010, E66, m1692. [Google Scholar] [CrossRef]
- Zhang, B.-S. Bis(2,2′-bipyridine-κ2N,N′)dibromidocadmium(II). Acta Crystallogr. Sect. E Struct. Rep. Online 2009, E65, m1413. [Google Scholar] [CrossRef] [PubMed]
- Shirley, H.; Parkin, S.; Delcamp, J.H. Photoinduced Generation of a Durable Thermal Proton Reduction Catalyst with in Situ Conversion of Mn(bpy)(CO)3Br to Mn(bpy)2Br2. Inorg. Chem. 2020, 59, 11266–11272. [Google Scholar] [CrossRef] [PubMed]
- Yang, E.-L.; Zhang, N.; Shan, Z.-M.; Wang, Y.-L.; Hu, H.-C.; Liu, Q.-Y. Ionothermal Syntheses and Crystal Structures of Two Cobalt(II) Compounds: Co(2,2′-bpy)2Br2 and Co(1,10-phen)2Br2. Chin. J. Struct. Chem. 2011, 30, 196–201. [Google Scholar]
- Dorval, C.; Tricoire, M.; Begouin, J.-M.; Gandon, V.; Gosmini, C. Cobalt-Catalyzed C(sp2)–CN Bond Activation: Cross-Electrophile Coupling for Biaryl Formation and Mechanistic Insight. ACS Catal. 2020, 10, 12819–12827. [Google Scholar] [CrossRef]
- Guo, H.-X.; Lin, H.-B.; Wang, Q.-H. cis-Bis(2,2′-bipyridine)diiodocadmium(II). Acta Crystallogr. Sect. E Struct. Rep. Online 2006, E62, m1239–m1240. [Google Scholar] [CrossRef]
- Nishio, M. CH/π hydrogen bonds in crystals. CrystEngComm 2004, 6, 130–158. [Google Scholar] [CrossRef]
- Ha, K. Crystal structure of cis-bis(2,2′-bipyridine-κ2N,N′)dibromidomanganese(II), C20H16Br2MnN4. Z. Kristallogr. New Cryst. Struct. 2017, 232, 149–150. [Google Scholar] [CrossRef]
- Zhu, J.-W.; Yang, E.; Song, X.-C.; Lin, Y.-D. Bis(2,2′-bipyridine-κ2N,N′)dibromidocadmium(II). Acta Crystallogr. Sect. E Struct. Rep. Online 2007, E63, m1044–m1045. [Google Scholar] [CrossRef]
- Muley, A.; Karumban, K.S.; Kumbhakar, S.; Giri, B.; Maji, S. High phenoxazinone synthase activity of two mononuclear cis-dichlorocobalt(II) complexes with a rigid pyridyl scaffold. New J. Chem. 2021, 46, 521–532. [Google Scholar] [CrossRef]
- Kumar, K.A.; Amuthaselvi, M.; Dayalan, A. cis-Bis(2,2′-bipyridine-κ2N,N′)dichloridocobalt(II) trihydrate. Acta Crystallogr. Sect. E Struct. Rep. Online 2011, E67, m468. [Google Scholar] [CrossRef]
- Blasberg, F.; Bolte, M.; Wagner, M. CCDC 2158871: Experimental Crystal Structure Determination; CCDC: Cambridge, UK, 2022. [Google Scholar] [CrossRef]
- Nag, S.; Drew, M.G.B.; Datta, D. Intercalation of diiodine molecules in cis-Ru(bpy)2Cl2. Inorg. Chem. Commun. 2006, 9, 310–312. [Google Scholar] [CrossRef]
- Kramer, T.; Strahle, J. Synthese, Eigenschaften und Struktur von Bipyridin-Halogeno-Komplexen des Cobalts. Z. Naturforsch. 1986, B41, 692–696. [Google Scholar] [CrossRef]
- Dudkina, Y.B.; Fayzullin, R.R.; Lyssenko, K.A.; Gubaidullin, A.T.; Kholin, K.V.; Levitskaya, A.I.; Balakina, M.Y.; Budnikova, Y.H. Cyclometalated Nickel Complexes as Key Intermediates in C(sp2)–H Bond Functionalization: Synthesis, Catalysis, Electrochemical Properties, and DFT Calculations. Organometallics 2018, 38, 1254–1263. [Google Scholar] [CrossRef]
- Blasberg, F.; Bolte, M. CCDC 795576: Experimental Crystal Structure Determination; CCDC: Cambridge, UK, 2010. [Google Scholar] [CrossRef]
- Florke, U.; Ortmeyer, J. CCDC 1587638: Experimental Crystal Structure Determination; CCDC: Cambridge, UK, 2017. [Google Scholar] [CrossRef]
- Florke, U. CCDC 1581275: Experimental Crystal Structure Determination; CCDC: Cambridge, UK, 2017. [Google Scholar] [CrossRef]
- Fontaine, F.G. cis-Bis(2,2-bipyridine)dichloronickel(II) methanol solvate. Acta Crystallogr. Sect. E Struct. Rep. Online 2001, E51, m270–m271. [Google Scholar] [CrossRef]
- Yu, M.; Wang, Y.; Hu, J.-M. Synthesis, Crystal Structure and Spectroscopy Studies on Complex cis-OsII(bpy)2Cl2 and Its Oxidation Product [cis-OsIII(bpy)2Cl2](PF6). Chin. J. Struct. Chem. 2018, 37, 995–1003. [Google Scholar] [CrossRef]
- Al-Noaimi, M.; Haddad, S.F. cis-Bis(2,2′-bipyridyl)dichloridoruthenium(II) dichloromethane solvate. Acta Crystallogr. Sect. E Struct. Rep. Online 2007, E63, m2332. [Google Scholar] [CrossRef]
- Groppi, J.; Bartlett, P.N.; Kilburn, J.D. Toward the Control of the Creation of Mixed Monolayers on Glassy Carbon Surfaces by Amine Oxidation. Chem. Eur. J. 2016, 22, 1030–1036. [Google Scholar] [CrossRef]
- Parsons, S.; Winpenny, R.; Wood, P.A. CCDC 248214: Experimental Crystal Structure Determination; CCDC: Cambridge, UK, 2004. [Google Scholar] [CrossRef]
- Hipler, B.; Doring, M.; Dubs, C.; Görls, H.; Hübler, T.; Uhlig, E. Bildung und Strukturen von Nickelacyclen des Typs (LL′) NiCH2CH2C(O)O. Z. Anorg. Allg. Chem. 1998, 624, 1329–1335. [Google Scholar] [CrossRef]













| REFCODE Space Group | Range CH...Br/Å (Mean CH...Br/Å) | Range C...Br/Å (Mean C...Br/Å) |
Range C–H...Br/° (Mean C–H...Br/°) | Ref |
|---|---|---|---|---|
|
NEZTEU P | 2.851–3.080 (2.995) | 3.701–3.779 (3.743) | 120.9–134.8 (126.5) | [24] |
| REFCODE Space Group | M | X | Centroid...Centroid/Å | CH...I; C...I/Å | ∠C–H...I/° | Ref |
|---|---|---|---|---|---|---|
| TIBLAT Pbcn | Cd | I | 3.94 | 3.200, 3.247; 3.950(5), 3.979(3) | 126.8, 125.5 | [27] |
| TAQQEH Pnca | Ca | I | 3.83 | 3.220, 3.255; 3.970(7), 3.991(6) | 126.9, 125.8 | [28] |
| REFCODE Space Group | M | X | Centroid...Centroid/Å | CH...X; C...X/Å | ∠C–H...X/° | Ref |
|---|---|---|---|---|---|---|
| ISAFOY01 C2/c | Mn | I | 3.91 | 3.007, 2.985; 3.930(9), 3.918(9) | 142.9, 143.9 | [14] |
| ABEBIV C2/c | Cd | I | 3.92 | 3.012, 3.037; 3.967(8), 3.982(8) | 146.6, 145.4 | [35] |
| REFCODE Space Group | M | X | CH3...X, C...X/Å | ∠C–H3...X/° | CH5...X; C...X/Å | ∠C–H5...X/° | Ref |
|---|---|---|---|---|---|---|---|
| TIRCON01 C2/c | Mn | Br | 2.937, 3.596(5) | 119.2 | 3.006, 2.835; 3.722(5), 3.795(4) | 123.7, 147.1 | [37] |
| TIBLIB a C2/c | Cd | Br | 2.959, 3.613(7) | 118.9 | 3.007, 2.865; 3.728(7), 3.829(6) | 124.0, 147.6 | [27] |
| DEYQUU C2/c | Cd | Br | 2.964, 3.612(5) | 118.4 | 3.023, 2.865; 3.737(4), 3.838(3) | 123.6, 147.5 | [38] |
| REFCODE Space Group | M | X | Centroid...Centroid/Å | CH...X; C...X/Å | ∠C–H...X/° | Ref |
|---|---|---|---|---|---|---|
| SASQAE C2/c | Mn | Cl | 3.79 | 2.639, 2.676; 3.671(5), 3.730(3) | 157.9, 162.8 | [5] |
| NAPBIT C2/c | Co | Cl | 3.92 | 2.623, 2.703; 3.643(3), 3.750(2) | 155.7, 161.2 | [39] |
| UNOJEN C2/c | Co | Cl | 3.89 | 2.663, 2.707; 3.683(6), 3.757(3) | 155.7, 161.7 | [40] |
| CEFHIE C2/c | Ni | Cl | 3.92 | 2.682, 2.757; 3.704(4), 3.788(3) | 156.0, 157.8 | [13] |
| DOGMOB C2/c | Ru | Cl | 3.94 | 2.723, 2.795; 3.705(5), 3.823(4) | 149.8, 157.3 | [4] |
| BAYCEN C2/c | Ru | Cl | 4.07 | 2.763, 2.918; 3.818(3), 3.948(3) | 157.9; 163.0 | [41] |
| OCERUK C2/c | Ru | Cl | 4.17 | 2.817; 3.729(9) b | 141.3 b | [42] |
| DUYWEZ P21/n | Co | Cl | 3.83 | 2.608, 2.798; 3.64(1), 3.85(1) | 157.5, 162.7 | [43] |
| NIGTEF C2/c | Ni | Br | 3.90, 4.17 | 2.797, 2.842, 2.670; 3.842(3), 3.882(3), 3.558(3) c | 159.7, 160.8, 138.4 c | [44] |
|
XURZOZ P | Mn | Cl | 3.76, 3.85 | 2.789, 2.854, 2.550, 2.707; 3.810(5), 3.824(6), 3.559(4), 3.791(6) | 156.1, 148.4, 153.7, 173.4 | [11] |
|
AZAQUO P | Ru | Cl | 4.12, 4.37 | 2.627, 2.658, 2.896, 2.998; 3.68(2), 3.70(2), 3.67(2), 3.63(2) | 159.4, 161.5, 120.6, 124.6 | [45] |
|
KESYEP a P | Ru | Cl | 3.98, 4.02 | 2.761, 2.724, 2.594, 3.198; 3.825(4), 3.788(4), 3.559(5), 4.243(4) | 165.5, 165.5, 147.2, 161.1 | [46] |
|
JEMKEU P | Ru | Cl | 3.98, 4.01 | 2.768, 2.728, 2.601, 3.200; 3.834(3), 3.794(3), 3.566(4), 4.245(4) | 166.1, 166.2, 147.3, 161.1 | [47] |
| ABUWAV Pbca | Ni | Cl | 3.87 | 2.503, 2.807; 3.545(5), 3.861(4) | 159.8, 162.9 | [48] |
| CIBJIJ Pbca | Os | Cl | 3.97 | 2.578, 2.838; 3.61(1), 3.88(1) | 157.7, 160.1 | [49] |
| REFCODE Space Group | M | X | CH...X/Å | C...X/Å | ∠C–H...X/° | Ref |
|---|---|---|---|---|---|---|
| YAYMET P | Cd | F | 2.511, 2.733, 2.618 | 3.559(7), 3.816(8), 3.618(9) | 161.0, 172.8, 152.4 | [6] |
Disclaimer/Publisher’s Note: The statements, opinions and data contained in all publications are solely those of the individual author(s) and contributor(s) and not of MDPI and/or the editor(s). MDPI and/or the editor(s) disclaim responsibility for any injury to people or property resulting from any ideas, methods, instructions or products referred to in the content. |
© 2023 by the authors. Licensee MDPI, Basel, Switzerland. This article is an open access article distributed under the terms and conditions of the Creative Commons Attribution (CC BY) license (https://creativecommons.org/licenses/by/4.0/).
Share and Cite
Constable, E.C.; Housecroft, C.E. Packing Motifs in [M(bpy)2X2] Coordination Compounds (bpy = 2,2′-bipyridine; X = F, Cl, Br, I). Crystals 2023, 13, 505. https://doi.org/10.3390/cryst13030505
Constable EC, Housecroft CE. Packing Motifs in [M(bpy)2X2] Coordination Compounds (bpy = 2,2′-bipyridine; X = F, Cl, Br, I). Crystals. 2023; 13(3):505. https://doi.org/10.3390/cryst13030505
Chicago/Turabian StyleConstable, Edwin C., and Catherine E. Housecroft. 2023. "Packing Motifs in [M(bpy)2X2] Coordination Compounds (bpy = 2,2′-bipyridine; X = F, Cl, Br, I)" Crystals 13, no. 3: 505. https://doi.org/10.3390/cryst13030505
APA StyleConstable, E. C., & Housecroft, C. E. (2023). Packing Motifs in [M(bpy)2X2] Coordination Compounds (bpy = 2,2′-bipyridine; X = F, Cl, Br, I). Crystals, 13(3), 505. https://doi.org/10.3390/cryst13030505
