Abstract
Steel slag waste produced by the steel industry accumulates in open areas or is disposed of in landfills, causing harm to the environment and human health. Valorizing steel slag through comprehensive data analysis is imperative and could add value to the product with respect to energy conversion and storage applications. This study investigated the morphological, structural, and optical characteristics of a thermally annealed steel slag composite generated from iron and steel factories. Scanning electron microscopy (SEM), energy-dispersive X-ray spectroscopy (EDS), X-ray diffraction (XRD), Raman spectroscopy, and UV–visible spectrophotometry were subsequently used to evaluate the impact of thermal treatment on the morphology, structure, elemental composition, and optical properties. It was found that the pre-treated slag composites contained a variety of irregular grain sizes and microscale fragments, primarily composed of C (18.55%), O (50.85%), and Fe (29.41%), with lower amounts of Mg (0.31%), Si (0.44%), and Ca (0.44%), indicating the natural formation of a disordered iron composite. Thermal treatment at different temperatures (300 °C, 600 °C, and 900 °C) increased the grain density and clustering, resulting in denser two-dimensional microstructures at 900 °C. Additionally, XRD and Raman analyses of both untreated and thermally treated slag composites revealed the presence of a disordered iron oxide composite, including (Fe3O4), hematite (α-Fe2O3), and maghemite (γ-Fe2O3) phases. A significant increase in optical absorbance was also observed after annealing at 600 °C, highlighting the successful optimization of the elemental composition of the slag composite. A band gap energy of approximately 2.2 eV was obtained from this optimization at 600 °C. The optical conductivity of the composite reached 2.1 × 106 S−1 at 600 °C, which indicates an enhancement in charge transfer among the optimized chemical elements in the waste composite. These findings suggest an optimization method for novel composites derived from steel slag waste, indicating its potential as a low-cost material for energy storage systems (batteries, supercapacitors, and fuel cells) and optoelectronic devices.
1. Introduction
Energy storage in a power system is any piece of equipment or mechanism, usually subject to independent control, which allows for the storage of energy created in the power system and its usage in the power system as needed [1,2,3]. Energy storage technologies have been in use for many years and have undergone constant development to reach the current levels of maturity for numerous storage types. The many types of energy-storage systems can be divided into several categories [4]. Therefore, offering and developing low-cost electroactive alternative materials for renewable energy systems is needed for the sustainable development of the energy conversion and storage sector. For example, iron oxide composites are attractive materials for electrochemical energy storage and conversion devices due to their low cost, good chemical stability, nontoxicity, and high theoretical capacity [4,5]. On the other hand, the management of metallurgical industry by-products and recycling processes has received significant interest from researchers intent on understanding the material properties and investing in and proposing innovative solutions for economical energy storage systems. Metallurgical slag waste, a by-product of steelmaking processes, poses environmental challenges because it is often stored in open areas or landfills, negatively impacting air quality and human health.
Waste recycling is a critical public health, environmental, and industrial issue. Following the circular economy principle, recycling waste into new materials has been a focus of research, which could potentially reduce the adverse environmental effects associated with landfills, thereby reducing production costs by preserving nonrenewable resources [6,7]. Metallurgical wastes have been recently valorized in the development of active electroactive products for sustainable energy storage and conversion technologies, including supercapacitors [8], lithium-ion batteries [9], fuel cells [10], and electrocatalysts [11]. Likewise, the steel slag composition varies depending on the fabrication process and raw materials from electric arc furnaces, basic oxygen furnaces, and ladle refining furnaces, thus suggesting standardized compositions for future use. With steel being one of the world’s most consumed construction material, the waste generated from steel production, particularly steel slag, is significant. In 2018, approximately 190 to 290 million tons of steel slag was produced globally, most of which was disposed of in landfills [6]. In this regard, large quantities of steel slag, a metallurgical industry derivative generated through steel engineering developments, are discarded mostly because of the difficulties associated with their recycling. Nevertheless, research has shown that the reuse of steel slag waste can be successfully implemented [12,13,14].
Emerging from various furnaces under distinct operational conditions, steel slag comprises metal oxides (ferrous oxide, calcium oxide, and silicon dioxide) [15] formed during reactions between lime flux, molten iron ore, and scrap metal. The chemical composition and physical attributes of steel slag are influenced not only by the initial formulation but also by the solidification method employed, including air cooling facilitated by the introduction of additives during manufacturing [16]. Ferber et al. [17] reported that manufacturing thermal energy storage ceramics from electric arc furnace steel slag steel is possible and applicable. Núñez et al. [18] studied the use of steelmaking slag pebbles as a filler material in thermocline tanks. They found that steelmaking slag pebbles are essential to increase the storage capacity of the thermocline tanks. Bielsa et al. [19] also demonstrated the performance of steelmaking slag as an inventory material for concentrated solar power tower plants. However, the chemical composition and physical properties of the resulting steel slag material are influenced by several factors, such as its morphology and crystal structure, the temperature, the manufacturing process and its duration, and the introduction of oxidants, which play a key role in its specific application and performance.
Iron oxide exists within steel slag in various phases, including in hematite (α-Fe2O3), maghemite (γ-Fe2O3), and magnetite (Fe3O4) phases, each with its own set of iron oxidation states. These phases are commonly available, affordable, non-toxic, and ecofriendly [20]. The ferrimagnetic behavior exhibited by Fe3O4 is technologically significant for the fabrication of electro-optical devices; due to its high Curie temperature (Tc = 585 C) and 100% spin polarization, Fe3O4 thin films have various uses in spintronics [21]. In addition, Fe2O3 is an ecofriendly and cost-effective pseudocapacitive material used in alkaline electrolytes due to its high theoretical capacity resulting from the reversible oxidation/reduction of Fe3+ and Fe2+ states [22]. α-Fe2O3 possesses an optical band gap within the visible spectrum, making it applicable for hydrogen production based on water photocatalysis [23]. The optoelectronic and chemical characteristics of α-Fe2O3, γ-Fe2O3, and Fe3O4 are linked to their small size, surface area, and pore volume and morphology, which can be engineered using diverse synthetic methods [24]. Supercapacitors engineered using iron-based additives on the nanoscale have been found to be superior materials for supercapacitor electrodes [25]. Therefore, the development of low-cost electroactive iron oxide materials for advanced energy devices is promising in the design of maintenance of energy storage systems [21,26]. An effective route to enhance the overall performance of iron oxides is to optimize their size and morphology and to dope them with species to synthesize novel composites. These novel composites offer cost-effectiveness, a high surface area, and an enhanced chemical and structural stability [26,27]. Despite successful research exploring the various applications of these materials, addressing the cost-effectiveness of raw material sources and developing rapid synthetic methodologies remain imperative. This study explores the internal properties of steel slag powder generated from a local iron and steel factory. Heat treatment in a conventional furnace is a commonly applied method to improve the crystallization and optical properties of iron oxide [28]. However, the physical and chemical properties of the transformation of the samples generated from metallurgical slag waste differ from those prepared and heated under inert gas. In this paper, optimization of the morphology, elemental composition, crystallinity, and optical behavior was achieved via thermal treatment under different temperatures in an air atmosphere. We aim to offer new, sustainable precursors to natural iron oxide composites and demonstrate potential areas of utilization and innovative applications of steel slag, driven by advanced technologies in the energy storage and environmental fields.
This study was focused on three objectives: (i) exploring steel slag waste properties under ambient conditions, (ii) observing the effects of elevated temperatures on its physical and chemical properties, and (iii) presenting a potential low-cost precursor to natural iron oxide composites to produce new products on the nanoscale.
2. Materials and Method
2.1. Sample Collection and Preparation
Steel slag powder waste samples were collected from an Al Rajhi factory in Jeddah City, Saudi Arabia. The elemental composition of the as-received samples is presented in Table 1. A total of 50 g of steel slag was ground in an agate mortar for 10 min at room temperature and sieved through a 1 mm sieve to remove the large clusters. One sample remained untreated, whereas the other three were heated in a furnace in order to improve the properties of the steel slag material. The three powder samples selected for thermal treatment were heated for two hours at 300 °C, 600 °C, and 900 °C in an air atmosphere at a rate of 5 °C/min. Then, samples were taken for characterization and investigation.
Table 1.
Elemental composition of the as-received slag composite powder.
2.2. Techniques for Characterization
The prepared samples were characterized using scanning electron microscopy (SEM) coupled with energy-dispersive X-ray spectroscopy (EDS) using a JEOL-7600F field emission scanning electron microscope. Further, the structure was studied via Raman microscopy (DXR-I, Thermo Scientific, Waltham, MA, USA) using a 532 nm laser as the excitation source at a power of 7 mW.
The crystal structure was evaluated using X-ray diffraction (XRD). A structural pattern was obtained using a Rigaku Ultima- IV X-ray Diffractometer with Cu-Kα radiation (λ = 0.15418 nm). Solid-state reflection and absorption spectra were determined using a UV–visible spectrophotometer (Shimadzu UV3600, spectrophotometer, Kyoto, Japan).
3. Results and Discussion
3.1. Morphological and Chemical Composition
This study investigated how the structure of disordered slag composites can be controlled via thermal processing. EDS can reveal the sample composition and the volume excited by the energy source. Peak positions in the spectrum are related to the elements in the sample, while the signal intensity indicates the element amount. Figure 1a shows random grains of the as-received sample of slag powder with varying outer spaces.
Figure 1.
SEM image of untreated steel slag powder (a) and quantitative and qualitative EDS analyses (b).
The quantification of the main elements in the as-received samples at room temperature (RT) (Figure 1b) and in the samples after thermal treatment at 300 °C, 600 °C, and 900 °C was performed via EDS and the results are presented in Table 2. The results showed that the main elements present in the untreated slag sample were iron (Fe—60.46%) and oxygen (O—29.95%), indicating that disordered iron oxides were the main mineralogical phases. In addition, minor elements such as carbon (C—8.2%), calcium (Ca—0.65%), silicon (Si—0.46%), and magnesium (Mg—0.28%) were found. Under thermal treatment, the slag elemental composition varied, as shown in Table 2. Fe contents increased at elevated temperatures, while other elements decreased. At 900 °C, C, Ca, Mg, and Si disappeared, whereas Fe (40.04%) and O (59.96%) were dominant, suggesting that the elemental map and the amount of oxidized iron could possibly be controlled in thermally treated slag composites. The metals observed in our slag samples have been observed in work published elsewhere [29,30]. The slag material chemical composition and disorder depend significantly on the manufacturing process and conditions.
Table 2.
Elemental composition of thermally treated slag composite materials.
A morphological analysis of the steel slag powder was carried out using SEM, as shown in Figure 2a–d. The image of raw powder particles revealed porosity and irregularities in size and shape, as depicted in Figure 2a. SEM images of the top surface of the treated steel slag powder at different heating temperatures showed significant changes in grain boundaries, indicating that heating the particles caused them to grow larger, as shown in Figure 2b–d. Table 2 also shows the elemental composition and change in particle size at different temperatures. Thermal treatment of disordered slag powders has notable effects on the densification degree, which controls their resultant properties. The density of the slag powder composite increased with increasing annealing temperature. The highest densification was obtained at a temperature of 900 °C. The densification and porosity behavior observed in this study agree with published work in the literature [31].
Figure 2.
SEM images of samples (a) before heating and after heating to (b) 300 °C, (c) 600 °C, and (d) 900 °C.
The particle size of the slag steel powder was estimated using SEM images. Figure 3 shows the histogram plots of the particle size distribution of the slag samples. The distribution is narrower in the received sample at RT (untreated) and broadens as it is heated from 300 °C to 600 °C due to the increase in particle size as a result of annealing. The distribution is even broader at 900 °C because of the extremely large particles, and it does not fit well to a Gaussian distribution The average sizes of slag particles for samples that were untreated, treated at 300 °C, 600 °C, and 900 °C, estimated approximately by fitting, were determined as 295 nm, 313 nm, 422 nm, and 1151 nm, respectively.
Figure 3.
The average particle sizes are 295 nm, 313 nm, 422 nm, and 1150 nm for the untreated sample and samples heated at 300 °C, 600 °C, and 900 °C, respectively.
3.2. X-ray Diffractometry Patterns
Figure 4 shows a representative X-ray diffraction (XRD) pattern obtained from the untreated steel slag sample and thermally treated samples at 300 °C, 600 °C, and 900 °C. Thermal annealing led to changes in XRD peak intensities in comparison with the patterns of the raw slag material. The nearly identical XRD patterns of the steel slag samples before and after the heat treatment are attributed to the disordered spinal structures of magnetite (Fe3O4), hematite (α-Fe2O3), and maghemite (γ-Fe2O3) influenced by the heat, meaning that the samples were magnetically enriched [32,33,34]. The results of this analysis confirmed the notable presence of disordered hematite (α-Fe2O3), as demonstrated by the notable peak at 104 in the XRD spectrum which increases at elevated temperatures [35]. X-ray diffraction analysis revealed a well-defined crystalline structure in the hematite phase, providing insight into its primary mineral composition [36].
Figure 4.
XRD pattern of the steel slag composite.
Furthermore, the dominant XRD peaks at 311, 222, 400, 442, 511, 440, and 620, all of which increased at elevated temperatures, can be attributed to disordered magnetite (Fe3O4) [37,38]. A minor fraction of disordered maghemite (γ-Fe2O3) was present at 220 and decreased at high temperatures, likely linked to surface oxidation attributed to magnetite [32]. XRD analyses demonstrated that the heat treatment leads to the growth of aggregates with a high degree of crystallinity and densification compared to untreated samples. This observation aligns seamlessly with the visual evidence presented in SEM images and the EDS analyses, further corroborating the existence of iron oxides, specifically hematite, within the sample.
3.3. Raman Analysis
Raman spectroscopy was used to gain deeper insights into the structure of the untreated and thermally treated slag composite samples. Figure 5 shows the spectra of the disordered slag composite before and after thermal processing. The composites exhibit seven notable Raman peaks attributed to disordered iron oxide [39]. The spectrum shows a significant characteristic peak at 1342 cm−1 (Eg mode vibration). The high-intensity peaks of the untreated and treated composites at 600 °C are linked to the reaction of the incident excitation wavelength of the laser and the optical transition of α-Fe2O3 [40]. The peaks at 252 cm−1 and 527 cm−1 correspond to the A1g mode, and those at 322 cm−1, 435 cm−1, and 635 cm−1 correspond to the Eg mode, respectively [41,42,43]. The additional peak observed at around 683 cm−1 was attributed to the presence of magnetite content [43]. Notably, the shift in the peak positions to higher wavenumbers is ascribed to the high amount of disorder introduced in the iron oxide material crystal lattices during the production process. The characteristic carbon peak of the material was absent in the spectral range of the vibrational modes, indicating that the sample has poor crystallinity [42].
Figure 5.
Raman spectra of the untreated steel slag composite and composites treated with different thermal treatments.
3.4. Optical Properties
Figure 6a,b depicts the UV–VIS absorption spectra of the untreated disordered sample and the steel slag composite samples thermally treated at various temperatures—300 °C, 600 °C, and 900 °C. The peak at 310 nm was ascribed to the charge transfer from the metal oxide ligand O2 to Fe3+ of the isolated Fe oxide species [44,45]. The peak at 370–380 nm in unannealed samples and samples annealed at 300 °C and at 390–430 nm in samples annealed at 600 °C and 900 °C is due to the presence of small clusters of Fe oxide particles interacting with metal ions, whereas the peak at 690 nm was assigned to Fe2+ oxide [45]. The wide peaks that appear around 490 nm for the samples annealed at 600 °C and 900 °C are associated with indirect electronic transitions. It was observed that surface oxidation increased with a commensurate increase in absorbance. Furthermore, the high intensity of the annealed sample at 600 °C is attributed to a high concentration of 3d (Fe+) [38,45].
Figure 6.
Transmittance spectra (a); UV–VIS absorption spectra of steel slag samples at different annealing temperatures (b).
Figure 6 reveals that the transmittance significantly declined when the annealing temperature was increased from 600 °C to 900 °C. This demonstrates that the welding level of the particle interface plays a crucial role in the weakness of the optical transparency, which is attributed to the scattering effect of the diffused particles of the powdered material. However, an impressive transparency above 80% in the visible region was achieved in the slag composite sintered at 300 °C; this improvement was attributed to the enhancement in the crystalline structure of the treated disordered slag composites. This result agrees with the morphological properties observed in the representative SEM analysis in Figure 2a–d.
Figure 7 displays the plot of the variations in refractive index (n) as a function of wavelength and temperature for untreated slag samples and samples treated at 300 °C, 600 °C, and 900 °C. The refractive index (n) was calculated using Equation (1) [16,46]:
where n is the refractive index and Ts represents the % transmission coefficient.
Figure 7.
Variation in the refractive index with temperature change in the slags.
The maximum values of n were observed at 600 °C and at a wavelength of 300 nm.
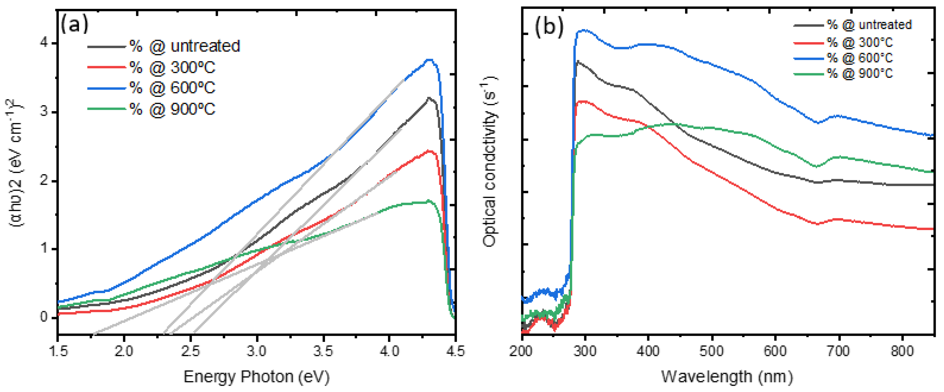
The optical band gap was evaluated using a Tauc plot, as shown in Figure 8a, by extrapolating the linear region of (αhν)2 to the photon energy. The relation between the absorption coefficient (α) and incident photon energy (hν) is displayed in Equation (2) [47]:
where A is a constant and Eg is the optical band gap energy of the sample.
Figure 8.
Plots of (αhυ)2 as a function of the photon energy (eV) (a); the optical conductivity as a function of wavelength (b).
The optical band gap values of discarded slag composites annealed at different temperatures ranged from 1.8 eV to 2.5 eV. With an increase in temperature, the band edge shifted towards lower energies, consistent with the reduction in the energy gap and morphological variation from an amorphous to a more crystalline structure. The band gap energy values of the samples are inversely proportional to the particle size, mainly due to the condition density change in the conduction band, as seen in Table 3 [28]. Figure 7 displays the dependence of the optical conductivity on the wavelength for both the annealed and unannealed slag composites. The slag composite annealed at 600 °C exhibited a maximum optical conductivity of ~2.1 × 106 S−1 at 280 nm, with a wider noticeable spectrum extended in the visible range depending on the elemental concentration of C, O, and Fe in this sample.
Table 3.
Band gap energy and optical conductivity of unannealed and annealed slag composites.
The optical conductivity () was calculated using Equation (3) [16,47].
where c is the speed of light, is the absorption coefficient, and n is the refractive index.
The increase in the optical conductivity was ascribed to the decrease in band gap energy from 2.5 eV to 2.2 eV as the temperature was increased from room temperature to 600 °C. The lowest optical conductivity value was ~1.2 × 106 s−1 for the annealed slag composite at 900 °C.
The band gap energy exhibited maximum values of optical conductivity at 300 nm for the slag composites, as shown in Table 3 The optimum value for optical conductivity was 2.1 × 106 s−1 for the slag composite annealed at 600 °C and at a wavelength of 300 nm due to the increase in the energy states. These results give insight into the optical properties of disordered slag composite samples and their potential use as a component in energy conversion applications, storage, and optical devices [48,49].
4. Conclusions
In the present study, industrial slag properties were explored and optimized via thermal annealing at 300 °C, 600 °C, and 900 °C for 2 h under an air atmosphere. SEM results showed that thermal treatment enabled diffusion to reduce the porosity and improve the densification of disordered iron oxide composites of slag material with various elemental slag compositions. With regard to the structural properties of samples explored using XRD and Raman analysis, the XRD patterns exhibit highly crystalline phases for Fe3O4 and γ-Fe2O3, whereas α-Fe2O3 gradually converts to a weakly crystalline structure at high temperatures. The revealed data showed that the band gap and optical properties of the slag composite can be controlled by thermal treatment. The optical conductivity is related to absorption, governed by the band gap (except at 600 °C). An annealing temperature of 600 °C increased the optical conductivity of the disordered slag composite in the visible region, thereby allowing the material to serve as a precursor for the fabrication of iron oxide composites, paving the way for innovative solutions in energy storage systems and water treatment. Our study underscores the transformative potential of industrial slag waste, particularly steel slag, combating pollution and promoting sustainable waste management and resource recycling. This enables the recycling and reuse of steel slag, which is particularly significant considering its wide availability, ease of use, and cost-effectiveness, and opens a pathway to tailor the material characteristics for specific applications, such as potential electroactive iron oxide materials for energy-storage systems and as a composite for optoelectronic device components, contributing to the efficient utilization of steel slag.
Author Contributions
Methodology, A.M.S., H.M.A., N.M.A., F.A.A. and S.M.A.; Validation, A.M.S., H.M.A., H.S.A., A.R.A. and S.M.A. Formal analysis, A.M.S. and S.M.A.; Investigation, H.M.A. and M.A.A.; Resources, N.M.A.; Writing—original draft, A.M.S., M.A.A. and H.S.A.; Writing—review & editing, A.R.A. and S.M.A.; Visualization, S.M.A.; Supervision, S.M.A.; Project administration, A.M.S. All authors have read and agreed to the published version of the manuscript.
Funding
This research was funded by the Deanship of Scientific Research at Umm Al-Qura University, grant code: 22UQU4350207DSR01.
Data Availability Statement
The data presented in this study are available on request from the corresponding author.
Acknowledgments
The authors would like to thank the Deanship of Scientific Research at Umm Al-Qura University for supporting this study (grant code: 22UQU4350207DSR01). The authors would also like to express their sincere gratitude to Ahmed Alshahrie (Center of Nanotechnology, King Abdulaziz University) for his assistance with the characterization.
Conflicts of Interest
The authors declare no conflict of interest.
References
- Cabra, I.P.; Sharma, S.; Callahan, C.; Jani, K.; Kumar, Y.; Toetz, V.; Shuster, E. Market analysis for the integration of new power technologies: A case study of the deployment of hybrid fossil-based generator plus energy storage (ES-FE). Appl. Energy 2023, 351, 121861. [Google Scholar] [CrossRef]
- Ibrahim, H.; Ilinca, A.; Perron, J. Energy storage systems—Characteristics and comparisons. Renew. Sustain. Energy Rev. 2008, 12, 1221–1250. [Google Scholar] [CrossRef]
- Liu, C.; Li, F.; Ma, L.-P.; Cheng, H.-M. Advanced materials for energy storage. Adv. Mater. 2010, 22, E28–E62. [Google Scholar] [CrossRef]
- Koohi-Fayegh, S.; Rosen, M.A. A review of energy storage types, applications and recent developments. J. Energy Storage 2020, 27, 101047. [Google Scholar] [CrossRef]
- Block, T.; Schmücker, M. Metal oxides for thermochemical energy storage: A comparison of several metal oxide systems. Sol. Energy 2016, 126, 195–207. [Google Scholar] [CrossRef]
- Guo, J.; Bao, Y.; Wang, M. Steel slag in China: Treatment, recycling, and management. Waste Manag. 2018, 78, 318–330. [Google Scholar] [CrossRef]
- Ying, L.; Honghui, F.; Lijun, L. Research Progress of Steel Slag Treatment and Comprehensive Utilization Technology. Chem. Eng. Equip. 2014, 9, 190–192. [Google Scholar]
- Chen, J.; Qian, L.; Fu, Z.; Li, G.; Zeng, Y. Recycling of iron from vanadium titanium magnetite tailings and its application in an asymmetric supercapacitor. New J. Chem. 2023, 47, 9383–9391. [Google Scholar] [CrossRef]
- Yao, J.; Yang, Y.; Li, Y.; Jiang, J.; Xiao, S.; Yang, J. Interconnected α-Fe2O3 nanoparticles prepared from leaching liquor of tin ore tailings as anode materials for lithium-ion batteries. J. Alloys Compd. 2021, 855, 157288. [Google Scholar] [CrossRef]
- Jadhav, D.A.; Ghadge, A.N.; Ghangrekar, M.M. Enhancing the power generation in microbial fuel cells with effective utilization of goethite recovered from mining mud as anodic catalyst. Bioresour. Technol. 2015, 191, 110–116. [Google Scholar] [CrossRef]
- Chen, Z.; Yun, S.; Wu, L.; Zhang, J.; Shi, X.; Wei, W.; Liu, Y.; Zheng, R.; Han, N.; Ni, B.-J. Waste-Derived Catalysts for Water Electrolysis: Circular Economy-Driven Sustainable Green Hydrogen Energy. Nano Micro Lett. 2023, 15, 4. [Google Scholar] [CrossRef] [PubMed]
- Gao, W.; Zhou, W.; Lyu, X.; Liu, X.; Su, H.; Li, C.; Wang, H. Comprehensive utilization of steel slag: A review. Powder Technol. 2023, 422, 118449. [Google Scholar] [CrossRef]
- Baalamurugan, J.; Kumar, V.G.; Padmapriya, R.; Raja, V.K.B. Recent applications of steel slag in construction industry. Environ. Dev. Sustain. 2023, 1–32. [Google Scholar] [CrossRef]
- Wang, J.; Huang, Y. Exploration of steel slag for thermal energy storage and enhancement by Na2CO3 modification. J. Clean. Prod. 2023, 395, 136289. [Google Scholar] [CrossRef]
- Batra, A.; Kassu, A.; Curley, M.; Sampson, J.; Palwai, S.; Showe, A. Optical parametric investigation on a ploed PVDF thin-film for optoelctronic devices. Sensores Transducers 2019, 236, 1–6. [Google Scholar]
- Wadatkar, N.; Waghuley, S. Complex optical studies on conducting polyindole as-synthesized through chemical route. Egypt. J. Basic Appl. Sci. 2015, 2, 19–24. [Google Scholar] [CrossRef]
- Ferber, N.L.; Al Naimi, K.M.; Hoffmann, J.-F.; Al-Ali, K.; Calvet, N. Development of an electric arc furnace steel slag-based ceramic material for high temperature thermal energy storage applications. J. Energy Storage 2022, 51, 104408. [Google Scholar] [CrossRef]
- Núñez, F.C.; Sanz, J.L.; Zaversky, F. Analysis of steel making slag pebbles as filler material for thermocline tanks in a hybrid thermal energy storage system. Sol. Energy 2019, 188, 1221–1231. [Google Scholar] [CrossRef]
- Haunstetter, J.; Krüger, M.; Zunft, S. Experimental Studies on Thermal Performance and Thermo-Structural Stability of Steelmaking Slag as Inventory Material for Thermal Energy Storage. Appl. Sci. 2023, 13, 124. [Google Scholar] [CrossRef]
- Zhiwei, L. Technical Basic Research on the Recovery of Iron Components from Steel Slag and the Preparation of Cement Materials from Tailings of Electric Furnace; Beijing University of Science and Technology: Beijing, China, 2015. [Google Scholar]
- Xingwu, S. Characteristics and Comprehensive Utilization Technology of Steel Slag. Des. Res. Nonferrous Metall. 2007, 5, 31–34. [Google Scholar]
- Subo, Y. Extraction and Recovery of Vanadium from Steel Slag of Converter Containing Vanadium. Iron Steel 2005, 40, 72–75. [Google Scholar]
- Dhoble, Y.N.; Ahmed, S. Review on the innovative uses of steel slag for waste minimization. J. Mater. Cycles Waste Manag. 2018, 20, 1373–1382. [Google Scholar] [CrossRef]
- Ashraf, M.; Khan, I.; Usman, M.; Khan, A.; Shah, S.S.; Khan, A.Z.; Saeed, K.; Yaseen, M.; Ehsan, M.F.; Tahir, M.N.; et al. Hematite and Magnetite Nanostructures for Green and Sustainable Energy Harnessing and Environmental Pollution Control: A Review. Chem. Res. Toxicol. 2020, 33, 1292–1311. [Google Scholar] [CrossRef] [PubMed]
- Kim, S.C.; Choi, S.Q.; Park, J. Asymmetric Supercapacitors Using Porous Carbons and Iron Oxide Electrodes Derived from a Single Fe Metal-Organic Framework (MIL-100 (Fe)). Nanomaterials 2023, 13, 1824. [Google Scholar] [CrossRef] [PubMed]
- Guo, F.; Chen, Q.; Liu, Z.; Cheng, D.; Han, N.; Chen, Z. Repurposing Mining and Metallurgical Waste as Electroactive Materials for Advanced Energy Applications: Advances and Perspectives. Appl. Sci. 2020, 10, 931. [Google Scholar] [CrossRef]
- Tossavainen, M.; Engstrom, F.; Yang, Q.; Menad, N.; Larsson, M.L.; Bjorkman, B. Characteristics of steel slag under different cooling conditions. Waste Manag. 2007, 27, 1335–1344. [Google Scholar] [CrossRef]
- Tawfik, E.K.; Eisa, W.H.; Okasha, N.; Ashry, H.A. Influence of annealing temperature of α- Fe2O3 nanoparticles on Structure and Optical Properties. J. Sci. Res. Sci. 2020, 37, 73–91. [Google Scholar]
- Baalamurugan, J.; Kumar, V.G.; Stalin Dhas, T.; Taran, S.; Nalini, S.; Karthick, V.; Ravil, M.; Govindaraju, K. Utilization of induction furnace steel slag based iron oxide nanocomposites for antibacterial studies. SN Appl. Sci. 2021, 3, 295. [Google Scholar] [CrossRef]
- Al Naimi, K.M.; Delclos, T.; Calvet, N. Industrial waste produced in the UAE, valuable high-temperature materials for thermal energy storage applications. Energy Procedia 2015, 75, 2087–2092. [Google Scholar] [CrossRef]
- Arora, G.; Sharma, S. A Review on Monolithic and Hybrid Metal–Matrix Composites Reinforced with Industrial-Agro Wastes. J. Braz. Soc. Mech. Sci. Eng. 2017, 39, 4819–4835. [Google Scholar] [CrossRef]
- Song, H.-K.; Sonkaria, S.; Khare, V.; Dong, K.; Lee, H.-T.; Ahn, S.-H.; Kim, H.-K.; Kang, H.-J.; Lee, S.-H.; Jung, S.P.; et al. Pond Sediment Magnetite Grains Show a Distinctive Microbial Community. Microb. Ecol. 2015, 70, 168–174. [Google Scholar] [CrossRef] [PubMed]
- Buema, G.; Borhan, A.I.; Herea, D.D.; Stoian, G.; Chiriac, H.; Lupu, N.; Roman, T.; Pui, A.; Harja, M.; Gherca, D. Magnetic solid-phase extraction of cadmium ions by hybrid self-assembled multicore type nanobeads. Polymers 2021, 13, 229. [Google Scholar] [CrossRef] [PubMed]
- Peng, H.; Pearce, C.I.; Huang, W.; Zhu, Z.; N’Diaye, A.T.; Rosso, K.M.; Liu, J. Reversible Fe(II) uptake/release by magnetite nanoparticles. Environ. Sci. Nano 2018, 5, 1545–1555. [Google Scholar] [CrossRef]
- Ashraf, M.A.; Wiener, J.; Farooq, A.; Saskova, J.; Noman, M.T. Development of Maghemite Glass Fibre Nanocomposite for Adsorptive Removal of Methylene Blue. Fibers Polym. 2018, 19, 1735–1746. [Google Scholar] [CrossRef]
- Sajid, M.; Ihsanullah, I. Magnetic layered double hydroxide-based composites as sustainable adsorbent materials for water treatment applications: Progress, challenges, and outlook. Sci. Total Environ. 2023, 880, 163299. [Google Scholar] [CrossRef]
- Marius, C.; Kiss, M.L.; Ieta, A.; Ercuta, A. Synthesis of Micrometric Single Crystalline Magnetite with Superparamagnetic Properties for Biomedical Ap-plications. NSTI-Nanotech 2013, 1, 378–381. [Google Scholar]
- Gherca, D.; Borhan, A.I.; Mihai, M.M.; Herea, D.-D.; Stoian, G.; Roman, T.; Chiriac, H.; Lupu, N.; Buema, G. Magnetite-induced topological transformation of 3D hierarchical MgAl layered double hydroxides to highly dispersed 2D magnetic hetero-nanosheets for effective removal of cadmium ions from aqueous solutions. Mater. Chem. Phys. 2022, 284, 126047. [Google Scholar] [CrossRef]
- Song, Q.; Guo, M.-Z.; Wang, L.; Ling, T.-C. Use of steel slag as sustainable construction materials: A review of accelerated carbonation treatment. Resour. Conserv. Recycl. 2021, 173, 105740. [Google Scholar] [CrossRef]
- López-Sánchez, J.; del Campo, A.; Román-Sánchez, S.; de la Fuente, R.; Carmona, N.; Serrano, A. Large Two-Magnon Raman Hysteresis Observed in a Magnetically Uncompensated Hematite Coating across the Morin Transition. Coatings 2022, 12, 540. [Google Scholar] [CrossRef]
- Chen, L.; Liu, D.; Yang, P. Preparation of α-Fe2O3/RGO Composites toward Supercapacitor Applications. RSC Adv. 2019, 9, 12793–12800. [Google Scholar] [CrossRef]
- Najafi, M.; Bellani, S.; Galli, V.; Zappia, M.I.; Bagheri, A.; Safarpour, M.; Beydaghi, H.; Eredia, M.; Pasquale, L.; Carzino, R.; et al. Carbon- α-Fe2O3 Composite Active Material for High-Capacity Electrodes with High Mass Loading and Flat Current Collector for Quasi-Symmetric Supercapacitors. Electrochem 2022, 3, 463–478. [Google Scholar] [CrossRef]
- Leon, Y.; Lofrumento, C.; Zoppi, A.; Carles, R.; Castellucci, E.M. Micro-Raman investigation of terra sigillata slips: A comparative study of central Italian and southern Gaul pro-ductions. J. Raman Spectrosc. 2010, 41, 1550–1555. [Google Scholar] [CrossRef]
- Tong, Y.; Zhang, Y.; Tong, N.; Zhang, Z.; Wang, Y.; Zhang, X.; Zhu, S.; Li, F.; Wang, X. HZSM-5 zeolites containing impurity iron species for the photocatalytic reduction of CO2 with H2O. Catal. Sci. Technol. 2016, 6, 7579. [Google Scholar] [CrossRef]
- Zhang, M.; Luo, W.; Li, Z.; Yu, T.; Zou, Z. Improved photoelectrochemical responses of Si and Ti codoped α-Fe2O3 photoanode films. Appl. Phys. Lett. 2010, 97, 042105. [Google Scholar] [CrossRef]
- Ajmi, A.; Karoui, K.; Khirouni, K.; Rhaiem, A.B. Optical and dielectric properties of NaCoPO4 in the three phases α, β and γ. RSC Adv. 2019, 9, 14772. [Google Scholar] [CrossRef]
- Dalal, J.; Sinha, N.; Kumar, B. Structural, optical and dielectric studies of novel non-linear bisglycine lithium nitrate piezoelectric single crystal. Opt. Mater. 2014, 37, 457–463. [Google Scholar] [CrossRef]
- Wu, K.; Nie, F.; Zhao, H.; Qi, X.; Li, P.; Wu, M. Morphology-dependent catalysis on nanostructures Fe2O3@MWCNT as Pt-free counter electrode for dye-sensitized solar cells. Int. J. Hydrogen Energy 2023, 48, 33571–33579. [Google Scholar] [CrossRef]
- Rehani, D.; Saxena, M.; Dhakate, S.R.; Sharma, S.N. Iron-Doped Titania for Magneto-Opto-Electronic Device Applications. J. Electron. Mater. 2023, 52, 2895–2903. [Google Scholar] [CrossRef]
Disclaimer/Publisher’s Note: The statements, opinions and data contained in all publications are solely those of the individual author(s) and contributor(s) and not of MDPI and/or the editor(s). MDPI and/or the editor(s) disclaim responsibility for any injury to people or property resulting from any ideas, methods, instructions or products referred to in the content. |
© 2023 by the authors. Licensee MDPI, Basel, Switzerland. This article is an open access article distributed under the terms and conditions of the Creative Commons Attribution (CC BY) license (https://creativecommons.org/licenses/by/4.0/).







