Next Article in Journal
The Study on the Properties and TCLP of GGBFS-Based Heavy-Metal-Contaminated Soil Geopolymer
Previous Article in Journal
Phase Transitions in Amorphous Germanium under Non-Hydrostatic Compression
 
 
Font Type:
Arial Georgia Verdana
Font Size:
Aa Aa Aa
Line Spacing:
Column Width:
Background:
Article

Crystallization Kinetics of Basalt Glass-Ceramics Produced from Olivine Basalt Rock

1
State Key Laboratory of Environment-Friendly Energy Materials, Southwest University of Science and Technology, Mianyang 621010, China
2
School of Materials Science and Engineering, Southwest University of Science and Technology, Mianyang 621010, China
3
Institute of Quartz and Special Glasses, China Building Materials Academy, Beijing 100024, China
*
Authors to whom correspondence should be addressed.
Crystals 2022, 12(7), 899; https://doi.org/10.3390/cryst12070899
Submission received: 30 May 2022 / Revised: 17 June 2022 / Accepted: 20 June 2022 / Published: 24 June 2022

Abstract

:
Glass-ceramics acquired from the melting of rocks have a vast application marketplace. In this study, an olivine basalt rock from Zhangjiakou in China was selected as a raw material to prepare basalt glass-ceramics, and the crystallization kinetics of olivine basalt glass was investigated using differential thermal analysis. Polarizing microscope and X-ray diffraction (XRD) analysis results revealed that the main mineral compositions of olivine basalt are plagioclase, pyroxene, olivine, and iron oxide(s). Three crystallization peaks were observed in the DSC curve of the olivine basalt glass. The Avrami exponent (n), apparent activation energies for the crystallization, and glass transition of basalt glass were determined using the Owaza method based on data obtained from isothermal measurements. The crystallization activation energies (E) of the three crystallization peaks of olivine basalt glass were 314.20 kJ/mol, 1232.49 kJ/mol, and 696.89 kJ/mol, respectively. In addition to this, the crystal growth index indicated that the crystallization mode in the olivine basalt glass was surface crystallization. The crystallization phases and microstructure of the olivine basalt glass heated at 860 °C, 1100 °C, and 1180 °C were also studied. The conclusions obtained offer some useful information for the preparation of basalt glass-ceramics from olivine basalt rocks.

1. Introduction

A glass-ceramic is a kind of composite material that combines crystal and glass. Because they combine the properties of crystalline and amorphous phases, one of the greatest strong points of glass-ceramics is their potential to obtain microstructures with different properties. Glass-ceramics are widely used in national defense, industry, architecture, life, and other fields as structural materials, optical materials, electronic materials and building materials, [1,2].
Using natural rocks as raw materials to prepare glass-ceramics is an economic and technical technology, which will greatly improve the utilization value of natural rocks, and the obtained products have a wide application market [3]. Different types of rocks with adequate chemical compositions can be used to obtain glass-ceramics. Compared with other rocks, igneous rocks have better chemical composition consistency and mineralogical homogeneity, so it is easy for them to be processed into glass-ceramics [4]. Basalt is a type of igneous rock [5] which is formed by the condensation of magma emitted by volcanoes onto the surface of the Earth, accounting for 70% of the Earth’s surface. Basalt is more conducive to the production of glass-ceramics due to its lower melting temperature and melts to liquidity in igneous rocks [6]. Many research papers involve the study of the melting and crystallization behaviors of various igneous rocks, and the obtained materials are characterized for these reasons.
Many scientific studies have confirmed the possibility of producing glass-ceramics from basalt. Khater et al. [7] found that the heat treatment of Sinai basaltic rock at 900 or 1000 °C for 2 h will lead to the crystallization of magnetite, anorthite, and diopside. The obtained glass-ceramics had a fine microstructure, good physical and mechanical properties, and chemical resistance. Safiah and Hamzawy [8] studied the crystallization characteristics of basalt glass from the northern Harrat area. They found that the crystalline phases were mainly pyroxene with small amounts of magnetite, hematite, and olivine, and the obtained glass-ceramics had good hardness and wear resistance. Ercenk et al. [9] demonstrated the possibility of using volcanic basalt to prepare machinable glass-ceramics. In recent years, in order to protect the environment, the use of environmentally friendly raw materials to produce glass-ceramics has become a hotspot. Basalt has large reserves and no other pollution in the production process, which has attracted much attention. Pavlovic et al. [10] chose the locality of Vrelo–Kopaonik Mountain (Serbia) to study the cavitation resistance of olivine–pyroxene basalt-based glass-ceramics. They found that glass-ceramics based on olivine–pyroxene basalt can be used under the expected high cavitation load, and the main phase of the glass-ceramic sample was pyroxene from the experimental deposit. According to previous investigations, basaltic rocks are widely used to produce multifarious products, incorporating fibers, fabrics, rods, yarns, and coatings. However, although it is important to develop various properties of glass-ceramics based on basalt rocks, crystallization behavior is also a prerequisite for restricting the properties of glass-ceramic materials.
Previous research results showed that crystallization characteristics, such as crystallinity, crystal volume fraction, crystal structure, and crystal size, have a decisive impact on the properties of glass-ceramic products. Crystallization kinetics can clearly reflect the crystallization characteristics of glassy materials. However, studies on the crystallization kinetics of basalt glass from rocks are rare. Previously, only Yilmaz [11] studied the crystallization behavior of basalt glasses at high temperatures using glass samples prepared by melting natural basalt from the Thracian region of Türkiye. Thus, we investigated the crystallization kinetics of basalt glass from rocks and the formed crystalline phases.
In this work, olivine basalt rock from Zhangjiakou, China, was selected as the raw material. Olivine basalt rock is especially rich in iron, which affects the nucleation and crystal growth of glass-ceramics. In addition, Pavlovic et al. [10] found that using this type of basalt rock is more conducive to the preparation of basalt glass-ceramics with good properties. Basalt glass was synthesized by rapidly quenching the melt, with olivine basalt rocks used as the raw material, and its crystallization kinetics were investigated by using the DSC technique. The Avrami exponent (n), apparent activation energies for the crystallization, and glass transition of basalt glass were determined using the Owaza method based on data obtained from isothermal measurements [12]. We also studied the crystalline phase obtained via the heat treatment of basalt glass at a specific temperature.

2. Materials and Methods

2.1. Materials

The chemical composition of the olivine basalt (OB) obtained from Zhangjiakou, China, is listed in Table 1. The olivine basalt was ground and put into a corundum crucible. The temperature was raised to 1450 °C in a silicon–molybdenum rod in a high-temperature furnace, and the materials were taken out after 3 h of heat preservation and quickly cooled to room temperature in air by pouring them in the mold. The chemical composition of the OBG is also shown in Table 1.

2.2. Methodology

A LEITZ LABORLUX 20pol polarizing microscope configured with a microscopic image analyzer and Mias 2000 analysis system was used for the polarizing microscopic analysis of Hebei basalt slices with a thickness of 0.03 mm. An X’Pert PRO multifunctional X-ray diffractometer (Malvern PANalytical B.V., Almelo, Netherlands) was used to analyze the phase of the olivine basalt powder. The chemical composition of the samples was obtained using the PANalytical Axios X-ray fluorescence spectrometer.
The differential scanning calorimetry (DSC) test was conducted by using an SDT Q600 synchronous thermal analyzer from TA Instruments, Company of America. The peak crystallization temperature at different heating rates was obtained from DSC curves. Test conditions: air atmosphere, heating rate was 10 °C/min, 15 °C/min, 20 °C/min, and 25 °C/min, respectively, from room temperature to 1400 °C. The crystallization peak and the peak crystallization temperature were determined according to the DSC curve of olivine basalt glass, and the crystallization kinetics were analyzed by using the relationship between the crystallization temperature and the heating rate. At the same time, the olivine basalt glass was crystallized according to its crystallization temperature, and the samples after crystallization heat treatment were tested using XRD. The test conditions: voltage was 40 kV, current was 40 mA, Cu target (wavelength λ = 1.54056 Å), scanning step size was 0.033°, scanning rate was 8°/min, and scanning range was 3~80°. Crystallization phase morphology and the chemical composition of the olivine basalt glass, which was heat-treated, was analyzed using a Carl Zeiss AG ULTRA 55 scanning electron microscope.

3. Results

3.1. Petrographic Features of the Olivine Basalt Rocks

It is known that the chemical composition of rocks greatly influences the nucleation and crystallization process in the preparation of glass-ceramics. We investigated the petrographic features of the used olivine basalt rocks via petrography and X-ray diffraction analysis.
Figure 1 shows the XRD patterns of the olivine basalt. From the XRD diagram, it is shown that the olivine basalt is mainly composed of plagioclase (CaAl2Si2O8), pyroxene (CaMgSi2O6), quartz (SiO2), olivine (MgFeSiO4), and magnetite (Fe3O4). Figure 2 shows a petrographic microanalytical diagram of the olivine basalt. The main minerals are pyroxene, olivine, plagioclase, and small quantities of altered minerals, serpentine, chlorite, and calcite. The main metal minerals are magnetite and ilmenite, and there are small quantities of pyrite and chalcopyrite. Most pyroxene is present as a monomer, and its shape is columnar, strip, granular, and irregular. A small quantity of pyroxene will be associated with iron minerals and other gangue ores. Plagioclase is generally plate-like, strip-like, and granular, and iron mineral inclusions can be seen in a small quantity of granular plagioclase. Magnetite, ilmenite, pyrite, chalcopyrite, etc. are generally fine-grained and irregular. Most of them are dissociated monomers. A small amount is connected with gangue minerals or is wrapped in gangue minerals. There is a small amount of dusty, fine-grained iron minerals embedded in the cleavage and the cracks of pyroxene and olivine, which are iron minerals precipitated by the alteration of iron–magnesium minerals.

3.2. Crystallization Kinetics Analysis

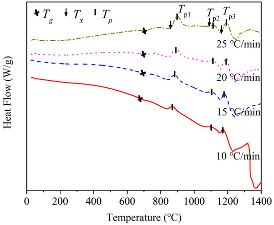
Figure 3 shows the DSC curves of the olivine basalt glass heated from room temperature to 1400 °C with different heating rates. All the curves are characterized with one endothermic peak and three exothermic peaks. The endothermic peak is related to the glass transition phenomenon of olivine basalt glass, and the exothermic peaks correspond to the crystallization that occurred at the peak temperature. The corresponding crystallization temperatures are given in Table 2 [12,13].
The stability of the glass can also be revealed from the characteristic temperature of the glass transition. For example, when the difference ΔT between the initial crystallization temperature Tx of the glass and the transition temperature Tg of the glass is large, the crystallization ability of glass is lower. According to this theory, a new weight parameter can be introduced, which is determined as the ratio of the difference between Tx and Tg to Tg [14,15]. A larger ratio means better stability. Taking the heating rate of 10°C/min as an example, Table 3 shows that the Tx increased from 1109.05 K to 1427.51 K, which caused the difference between the Tx and Tg to increase from 165.42 K to 483.88 K. The larger the weight parameter is, the better the stability of the glass will be.
The crystallization activation energy (E) and the Avrami index (n) are the two most important parameters of crystallization kinetics and are helpful for comprehending the crystallization properties and conditions of glassy materials. The values of these two parameters can be determined by using the temperature of the endothermic and exothermic reactions in thermal analysis. The classical Johnson–Mehl–Avrami model was utilized to study the crystallization kinetics of the olivine basalt glass. The change in crystallization fraction (X) with time (t) follows the following formula [16,17,18,19]:
X t = 1 exp k t n
where n and k are the Avrami exponent and crystallization transition rate coefficients, respectively. The k varies the Arrhenius temperature (T) according to the following formula:
k = v exp E R T
where E is the crystallization activation energy, v is the frequency factor, and R is the gas constant. In order to determine the crystallization kinetic parameters, several methods have been developed according to the thermal analysis principle and JMA equation. The Owaza method is generally applied to non-isothermal crystallization kinetics to study the crystallization transformation of glass with a constant DSC temperature rise rate. The relationship between the peak crystallization exothermic temperature and the heating rate of differential scanning calorimetry is deduced as follows [20,21]:
ln α = E R T p + C
in which the heating rate is α, the temperature of the crystallization exothermic peak is Tp, and C is a constant.
The linear -lnα versus 1/Tp plots of the above-mentioned three crystallization peaks are shown in Figure 4. The values of E for the three crystallization peaks obtained from slopes of straight lines according to Equation (3) are 314.20 kJ/mol, 1232.49 kJ/mol, and 696.89 kJ/mol, respectively. It can be found that the E value around 1110 °C is the largest. It is known that the crystallization activation energy refers to the activation energy required to overcome the energy barrier during the rearrangement of structural units when the glass melt is converted from a glass state to a crystal state. The higher E value around 1110 °C means that the rate of the nucleation and crystal growth process near this temperature is small, and crystallization is retarded. The lower E value around 1180 °C means that crystallization will be favored at high temperatures, and may be related to the fact that atoms have enough energy to overcome the energy barrier during the rearrangement of structural units at high temperatures.
On the basis of the solid phase transformation theory, glass generally has two ways of crystallization: surface crystallization and volume crystallization. To a certain extent, the difficulty and mode of glass crystallization can be reflected by the crystal growth index (n). In general, the larger the value of n is, the more easily devitrification occurs and the more unsteady the glass becomes. When n is between 0 and 3, the crystallization mode is surface crystallization, while volume crystallization occurs when n ≥ 3, as per the following equation [22,23,24]:
n = 2.5 Δ T × R T p E
where ΔT is the temperature of half of the maximum value. The crystal growth index of the OBG is obtained from Table 4. The crystal growth indexes n of the OBG are all less than 3, so the crystallization mode of the OBG is mainly surface crystallization. In general, the higher the crystallization temperature of glass, the smaller the crystal growth index and the more stable it will be. However, the crystal growth index at the highest crystallization temperature is not the smallest, and the crystallization temperature in the middle is about 1100 °C, which is the most difficult temperature to crystallize at. This result is consistent with the crystallization activation energy.

3.3. Crystallization Analysis

In order to investigate crystallization behavior, the olivine basalt glass was annealed at different temperatures according to the DSC data. The olivine basalt glass was heated to 860 °C, 1100 °C, or 1180 °C at a heating rate of 10 °C/min and maintained for 3 h. Figure 5 shows the XRD patterns of the olivine basalt glass heated at different crystallization temperatures. Magnesite (Fe2MgO4) and pyroxene ((Mg,Fe,Al,Ti)(Ca,Na,Fe,Mg)(Si,Al)2O6) phases can be observed in the samples treated at different crystallization temperatures. However, the intensity of pyroxene was decreased with an enhanced heat-treatment temperature. Magnesite (Fe2MgO4) is the main crystalline phase for the olivine basalt glass heat-treated at a high temperature, while pyroxene ((Mg,Fe,Al,Ti)(Ca,Na,Fe,Mg)(Si,Al)2O6) is the main crystalline phase at lower crystallization temperatures.
Figure 6 shows the SEM images of olivine basalt glass heat-treated at different crystallization temperatures. Table 5 gives the chemical components of the typical crystal phases obtained from energy spectrum analysis. XRD analysis provides information on the bulk of the sample, while EDX is limited to a small part of the sample, so some components cannot be fully reflected in Figure 6. For the samples heat-treated at 860 °C, it can be observed in Figure 6a that there are many ~2 μm granular skeletal crystals immersed in the glass matrix, which correspond to the pyroxene phase according to the EDX analysis. As shown in Figure 6b, no pyroxene phase can be observed for the samples heat-treated at 1100 °C, and the precipitated crystal phase is Fe2MgO4. For the samples heat-treated at 1180 °C (Figure 6c), many crystalline phases appeared on the surface with a size of 1–2 μm. Skeleton crystals and microcrystals can be observed, and the grain edge and surface are relatively well developed. The shape is mostly square. This should be related to the smaller viscosity of olivine basalt glass at higher heat-treated temperatures. Additionally, according to the atomic composition of the crystallization phase, X-ray crystallography, and EDX analysis, the crystals correspond to Fe2MgO4.
It is known that glass is in a thermodynamically unsteady state and tends to devitrify. The general crystallization process roughly goes through a change process of nucleation → crystal seed → skeleton crystal → glass-ceramic. The growth of a nucleated crystal is related to its own structure and crystallization habit. Because basalt glass melt has higher viscosity and a slower diffusion and migration rate of substances and so on, there is not enough substance supplied for crystal growth, and thus the whiskers of the rapidly growing crystal grow fastest in the vertical crystal plane, followed by the crystal edges and the crystal corners. If the whiskers grow in a one-dimensional direction, they can form chain-like clusters. When the crystal center is very small or irregular in morphology, the whisker growth has a relatively equal probability in all directions, and granular or spherulite crystallites can be formed. In order to obtain microcrystals with relatively complete morphologies and well-developed edges and crystal planes, or to form skeleton crystals with a relatively concave center of crystal planes, it is necessary to first develop crystal edges, angles and crystal planes parallel to the growth direction [25,26].

4. Conclusions

In this work, basalt glass was produced from olivine basalt, and the crystallization kinetics of this basalt glass were investigated. The crystallization activation energy and the Avrami index of the basalt glass were calculated based on the obtained DSC data. Three crystallization peaks were observed in the DSC curve of olivine basalt glass. The Avrami exponent (n), apparent activation energies for crystallization, and the glass transition of basalt glass were determined using the Owaza method based on data obtained from isothermal measurements. The crystallization activation energy (E) of the three crystallization peaks of olivine basalt glass were 314.20 kJ/mol, 1232.49 kJ/mol, and 696.89 kJ/mol, respectively, which indicated that olivine basalt glasses crystallized more easily at higher temperatures. The crystal growth indexes of the OBG from low to high crystallization peak temperatures at three different positions were 2.00, 0.62, and 1.64, respectively, which indicated that the main type of crystallization occurring in olivine basalt glass is surface crystallization. Pyroxene and magnesioferrite were observed in the olivine basalt glass-ceramics depending on the heat treatment temperatures. The results of this initial study suggest that olivine basalt is a potential raw material for the preparation of basalt glass-ceramics.
In previous work [27], we studied the stability of Sichuan basalt glass via crystallization kinetics. The results showed that reducing the iron content can effectively improve the stability of Sichuan basalt glass, which is suitable for preparing basalt glass fiber. Different from using modified basalt glass as a raw material for preparing basalt fiber, this work shows that the raw material for preparing basalt glass-ceramics is olivine basalt directly. In this work, olivine basalt glass mainly precipitated in the pyroxene phase, which indicates that basalt glass-ceramics prepared from this olivine basalt as a raw material heated at 860 °C may have good cavitation resistance.

Author Contributions

Conceptualization, Y.H.; methodology, X.Z.; data analysis, Y.H.; investigation, G.Q.; resources, J.H.; data curation, G.Q.; writing—original draft preparation, Y.H.; writing—review and editing, X.Z.; supervision, J.H. and Y.Z.; funding acquisition, J.H. All authors have read and agreed to the published version of the manuscript.

Funding

This research was supported by the Major Science and Technology Special Project of Advanced Materials in Sichuan Province (2019ZDZX0023) and Project supported by State Key Laboratory of Environment-Friendly Energy Materials (18fksy0211).

Informed Consent Statement

Informed consent was obtained from all subjects involved in the study.

Data Availability Statement

Not applicable.

Conflicts of Interest

The authors declare no conflict of interest.

References

  1. Vogel, W. Phase separation in glass. J. Non-Cryst. Solids 1977, 25, 170–214. [Google Scholar] [CrossRef]
  2. Kinger, W.D. Introduction to Ceramics; Higher Education Press: Beijing, China, 2010; pp. 98–110. [Google Scholar]
  3. Fiore, V.; Scalici, T.; Bella, G.D.; Valenza, A. A Review on Basalt Fibre and its Composites. J. Compos. Part B 2015, 74, 74–94. [Google Scholar] [CrossRef]
  4. Morse, S.A. Basalts and Phase Diagrams: An Introduction to the Quantitative Use of Phase Diagrams in Igneous Petrology. J. Geol. 1982, 90, 745. [Google Scholar]
  5. Tarbuck, E.J.; Lutgens, F.K. Earth: An Introduction to Physical Geology, 10th ed.; Pearson: New York City, NY, USA, 2010. [Google Scholar]
  6. De Mingarro, I.V. Estudio de los Mecanismos de Nucleación y Cristalizaciónen Vidrios Obtenidos a Partir de Rocas Basálticas Canarias; Departamento de Petrología y Geoquímica, Universidad Complutense de Madrid: Madrid, Spain, 1992; pp. 58–98. [Google Scholar]
  7. Khater, G.A.; Abdel-Motelib, A.; El Manawi, A.W.; AbuSafiah, M.O. Glass-ceramics materials from basaltic rocks and some industrial waste. J. Non. Cryst. Solids 2012, 358, 1128–1134. [Google Scholar] [CrossRef]
  8. Safiaha, M.; Hamzawyb, E. Nanometre pyroxenic glass-ceramics prepared by crystallization of Saudi basalt glass. Ceram. Int. 2019, 45, 4482–4486. [Google Scholar] [CrossRef]
  9. Ercenk, E.; Guven, B.; Yilmaz, S. Crystallization kinetics of machinable glass ceramics produced from volcanic basalt rock. J. Non. Cryst. Solids 2018, 498, 262–271. [Google Scholar] [CrossRef]
  10. Pavlovic, M.; Dojcinovic, M.; Prokic-Cvetkovic, R.; Andric, L.; Trumbulovic, L. Cavitation Wear of Basalt-Based Glass Ceramic. Materials 2019, 12, 1552. [Google Scholar] [CrossRef] [PubMed] [Green Version]
  11. Yilma, S.; Oezkan, O.T.; Guenay, V. Crystallization Kinetics of Basalt Glass. Ceram. Int. 1996, 22, 477–481. [Google Scholar] [CrossRef]
  12. Ozawa, T. Kinetics of non-isothermal crystallization. Polymer 1971, 12, 150–158. [Google Scholar] [CrossRef]
  13. Liu, H.P.; Huang, X.F.; Ma, L.P. Study on crystallization kinetics of yellow phosphorus slag glass-ceramics with different cooling methods. J. Synth. Cryst. 2016, 45, 1937–1942. [Google Scholar]
  14. Yang, Q.H.; Jiang, Z.A. Study on the kinetic criterion of glass crystallization. J. Chin. Ceram. Soc. 1994, 22, 419–426. [Google Scholar]
  15. Wang, Y.C.; Yu, W.W.; Zhang, J.L.; Luo, G.P.; Jiang, Q. Crystallization kinetics and microstructure analysis of glass-ceramics from blast furnace slag of Baotou Steel. Trans. Mater. Heat Treat. 2014, 35, 88–93. [Google Scholar]
  16. Kelton, K.F. Analysis of crystallization kinetics. Mater. Sci. Eng. A 1997, 226–228, 142–150. [Google Scholar] [CrossRef] [Green Version]
  17. Yinnon, H.; Uhlmann, D.R. Applications of thermoanalytical techniques to the study of crystallization kinetics in glass-forming liquids, part I: Theory. J. Non-Cryst. Solids 1983, 54, 253–275. [Google Scholar] [CrossRef]
  18. Henderson, D.W. Thermal analysis of non-isothermal crystallization kinetics in glass forming liquids. J. Non-Cryst. Solids 1979, 30, 301–315. [Google Scholar] [CrossRef]
  19. Fan, W.D.; Yang, Q.W.; Guo, B.; Liu, B.; Zhang, S.G. Crystallization mechanism of glass-ceramics prepared from stainless steel slag. J. Rare Metals 2018, 37, 413–420. [Google Scholar] [CrossRef]
  20. Qiao, J.C.; Pelletier, J.M.; Yao, Y.; Ge, Y. Kinetic Analysis of Crystallization Behaviors in Zn38Mg12Ca32Yb18 Bulk Metallic Glass. Rare Metal Mater. Eng. 2019, 48, 1429–1434. [Google Scholar]
  21. Zhu, Y.Y.; Wang, Y.C.; Zhang, H.; Luo, G.P.; Huo, X.G. Effects of Cr2O3 and TiO2 on crystallization mode of glass-ceramics prepared from blast furnace slag. Bull. Chin. Ceram. Soc. 2017, 11, 260–265. [Google Scholar]
  22. Guo, H.W.; Wang, X.F.; Gong, Y.X. Non-isothermal crystallization kinetics of Bi2O3-SiO2 system glass. J. Chin. Ceram. Soc. 2010, 9, 245–249. [Google Scholar]
  23. Tian, T.L.; Zhang, Y.Z.; Long, Y.; Zhang, Z.Q. Kinetic analysis of non-isothermal crystallization of blast furnace slag fiber. Trans. Mater. Heat Treat. 2016, 37, 237–240. [Google Scholar]
  24. Vázquez, J.; González-Palma, R.; Villares, P.; Jiménez-Garay, R. Theoretical study on the glass–crystal transformation and deduction of its kinetic parameters by DSC, using non-isothermal regime. J. Phys. B 2003, 336, 297–307. [Google Scholar] [CrossRef]
  25. Bai, Z.M.; Deng, Y.X. Physical Chemistry of Silicate; Chemical Industry Press: Beijing, China, 2017; pp. 219–220. [Google Scholar]
  26. Si, W.; Ding, C. An Investigation on Crystallization Property, Thermodynamics and Kinetics of Wollastonite Glass Ceramics% Crystallization Characteristics and Crystallization Thermodynamics and Kinetics. J. Cent. South Univ. 2018, 25, 1888–1894. [Google Scholar] [CrossRef]
  27. Huo, Y.L.; Qin, G.L.; Huo, J.C. Crystallization Kinetics of Modified Basalt Glass. Materials 2020, 13, 5043. [Google Scholar] [CrossRef] [PubMed]
Figure 1. XRD patterns of the OB (plagioclase (CaAl2Si2O8), pyroxene (CaMgSi2O6), quartz (SiO2), olivine (MgFeSiO4), and magnetite (Fe3O4)).
Figure 1. XRD patterns of the OB (plagioclase (CaAl2Si2O8), pyroxene (CaMgSi2O6), quartz (SiO2), olivine (MgFeSiO4), and magnetite (Fe3O4)).
Crystals 12 00899 g001
Figure 2. Microfacies of the OB; Px is pyroxene, PI is feldspar, Chl is chlorite, and Mag is magnetite.
Figure 2. Microfacies of the OB; Px is pyroxene, PI is feldspar, Chl is chlorite, and Mag is magnetite.
Crystals 12 00899 g002
Figure 3. DSC curves of the OBG measured at different heating rates.
Figure 3. DSC curves of the OBG measured at different heating rates.
Crystals 12 00899 g003
Figure 4. ln(α) ~1/Tp fitting line of the OBG.
Figure 4. ln(α) ~1/Tp fitting line of the OBG.
Crystals 12 00899 g004
Figure 5. XRD patterns of the olivine basalt glass heat-treated at different crystallization temperatures.
Figure 5. XRD patterns of the olivine basalt glass heat-treated at different crystallization temperatures.
Crystals 12 00899 g005
Figure 6. Microstructure of the olivine basalt glass after crystallization at different temperatures.
Figure 6. Microstructure of the olivine basalt glass after crystallization at different temperatures.
Crystals 12 00899 g006
Table 1. Chemical compositions of the OB and OBG (wt%).
Table 1. Chemical compositions of the OB and OBG (wt%).
SamplesChemical Compositions, wt%
SiO2Al2O3TFeMgONa2OK2OTiO2CaOOthers
OB44.6413.8313.47.773.382.321.428.814.43
OBG43.8516.2413.874.092.511.212.129.441.24
Table 2. Peak temperature (Tp) of crystallization of the OBG at distinct heat rates.
Table 2. Peak temperature (Tp) of crystallization of the OBG at distinct heat rates.
Sample Tp/°C
10 °C/min15 °C/min20 °C/min25 °C/min
OBGTp1868.59883.73892.05901.64
Tp21108.911114.961118.721120.43
Tp31175.791182.8211951195.91
Table 3. Characteristic temperature and stability parameters of the OBG at 10 °C/min.
Table 3. Characteristic temperature and stability parameters of the OBG at 10 °C/min.
SampleTx/KTg/KΔT/KH’
OBG1109.05
1334.42
943.63165.42
390.79
0.175
0.414
1427.51483.880.513
Table 4. Crystal growth index n of the OBG.
Table 4. Crystal growth index n of the OBG.
Sample nAverage
10 °C/min15 °C/min20 °C/min25 °C/min
OBGTp11.912.141.962.002.00
Tp20.560.600.660.640.62
Tp31.641.621.701.581.64
Table 5. Atomic compositions of the olivine basalt glass crystalline phase.
Table 5. Atomic compositions of the olivine basalt glass crystalline phase.
ElementsAtomic%
O62.4056.7657.18
Mg4.6010.088.78
Al5.465.444.84
Si12.953.471.48
Ca6.180.410.31
Fe8.4123.8427.41
Publisher’s Note: MDPI stays neutral with regard to jurisdictional claims in published maps and institutional affiliations.

Share and Cite

MDPI and ACS Style

Huo, Y.; Qin, G.; Huo, J.; Zhang, X.; Zhu, Y. Crystallization Kinetics of Basalt Glass-Ceramics Produced from Olivine Basalt Rock. Crystals 2022, 12, 899. https://doi.org/10.3390/cryst12070899

AMA Style

Huo Y, Qin G, Huo J, Zhang X, Zhu Y. Crystallization Kinetics of Basalt Glass-Ceramics Produced from Olivine Basalt Rock. Crystals. 2022; 12(7):899. https://doi.org/10.3390/cryst12070899

Chicago/Turabian Style

Huo, Yonglin, Guilu Qin, Jichuan Huo, Xingquan Zhang, and Yongchang Zhu. 2022. "Crystallization Kinetics of Basalt Glass-Ceramics Produced from Olivine Basalt Rock" Crystals 12, no. 7: 899. https://doi.org/10.3390/cryst12070899

APA Style

Huo, Y., Qin, G., Huo, J., Zhang, X., & Zhu, Y. (2022). Crystallization Kinetics of Basalt Glass-Ceramics Produced from Olivine Basalt Rock. Crystals, 12(7), 899. https://doi.org/10.3390/cryst12070899

Note that from the first issue of 2016, this journal uses article numbers instead of page numbers. See further details here.

Article Metrics

Back to TopTop