Efficiency Properties of Cerium-Doped Lanthanum Chloride (LaCl3:Ce) Single Crystal Scintillator under Radiographic X-ray Excitation
Abstract
:1. Introduction
2. Materials and Methods
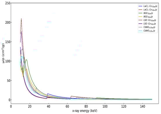
3. Results and Discussion
4. Conclusions
Author Contributions
Funding
Conflicts of Interest
References
- Mineev, O.V.; Kudenko, Y.G.; Musienko, Y.V.; Polyansky, I.; Yershov, N. Scintillator detectors with long WLS fibers and multi-pixel photodiodes. J. Instrum. 2011, 6, P12004. [Google Scholar] [CrossRef] [Green Version]
- Vandenbroucke, A.; Foudray, A.M.; Olcott, P.D.; Levin, C.S. Performance characterization of a new high resolution PET scintillation detector. Phys. Med. Biol. 2010, 55, 5895–5911. [Google Scholar] [CrossRef] [PubMed] [Green Version]
- Cha, B.K.; Kim, J.; Kim, Y.; Yun, S.; Cho, G.; Kim, H.; Seo, C.; Jeon, S.; Huh, Y. Design and image-quality performance of high resolution CMOS-based X-ray imaging detectors for digital mammography. J. Instrum. 2012, 7, C04020. [Google Scholar] [CrossRef]
- Nassalski, A.; Kapusta, M.; Batsch, T.; Wolski, D.; Mockel, D.; Enghardt, W.; Moszynski, M. Comparative Study of Scintillators for PET/CT Detectors. IEEE Trans. Nucl. Sci. 2007, 54, 3–10. [Google Scholar] [CrossRef]
- Nikl, M. Scintillation Detectors for X-rays. Meas. Sci. Technol. 2006, 17, R37. [Google Scholar] [CrossRef]
- Valais, I.; Kandarakis, I.; Nikolopoulos, D.; Sianoudis, I.; Dimitropoulos, N.; Cavouras, D.; Nomicos, C.; Panayiotakis, G.S. Luminescence efficiency of Gd2SiO5:Ce scintillator under x-ray excitation. IEEE Trans. Nucl. Sci. 2005, 52, 1830–1835. [Google Scholar] [CrossRef]
- Valais, I.; Kandarakis, I.; Nikolopoulos, D.; Michail, C.; David, S.; Loudos, G.; Cavouras, D.; Panayiotakis, G.S. Luminescence properties of (Lu,Y)2SiO5:Ce and Gd2SiO5:Ce single crystal scintillators under X-ray excitation for use in medical imaging systems. IEEE Trans. Nucl. Sci. 2007, 54, 11–18. [Google Scholar] [CrossRef]
- Valais, I. Systematic Study of the Light Emission Efficiency and the Corresponding Intrinsic Physical Characteristics Of Single Crystal Scintillators, Doped with the Trivalent Cerium (Ce3+) Activator, in Wide Energy Range (from 20 kV–18 MV) for Medical Applications. Ph.D. Thesis, University of Patras, Patras, Greece, 2008. [Google Scholar]
- Alzimami, K.; Abuelhia, E.; Podolyak, Z.; Ioannou, A.; Spyrou, N.M. Characterization of LaBr3:Ce and LaCl3:Ce scintillators for gamma-ray spectroscopy. J. Radioanal. Nucl. Chem. 2008, 278, 755–759. [Google Scholar] [CrossRef]
- Balcerzyk, M.; Moszynski, M.; Kapusta, M. Comparison of LaCl3:Ce and NaI(Tl) scintillators in γ-ray spectrometry. Nucl. Instrum. Methods Phys. Res. A 2005, 537, 50–56. [Google Scholar] [CrossRef]
- Shah, K.S.; Glodo, J.; Klugerman, M.; Cirignano, L.J.; Moses, W.; Derenzo, S.E.; Weber, M.J. LaCl3:Ce scintillator for γ-ray detection. Nucl. Instrum. Methods Phys. Res. Sect. A-Accel. Spectrometers Detect. Assoc. Equip. 2003, 505, 76–81. [Google Scholar] [CrossRef]
- Van Loef, E.V.D.; Dorenbos, P.; Van Eijk, C.W.E.; Kramer, K.; Gudel, H.U. Scintillation properties of LaCl3:Ce3+ crystals: Fast, efficient and high-energy-resolution scintillators. In Proceedings of the 2000 IEEE Nuclear Science Symposium. Conference Record (Cat. No.00CH37149), Lyon, France, 15–20 October 2000; Volume 1, pp. 6/31–6/34. [Google Scholar] [CrossRef]
- Advatech UK. LaCl3:Ce—Lanthanum Chloride (Ce). Available online: https://www.advatech-uk.co.uk/lacl3_ce.html (accessed on 25 June 2021).
- Iltis, A.; Mayhugh, M.R.; Menge, P.; Rozsa, C.M.; Selles, O.; Solovyev, V. Lanthanum halide scintillators: Properties and applications. Nucl. Instrum. Methods Phys. Res. Sect. A Accel. Spectrometers Detect. Assoc. Equip. 2006, 563, 359–363. [Google Scholar] [CrossRef]
- Guillot-Noel, O.; Haas, J.T.; Dorenbos, P.; Eijk, C.W.; Krämer, K.W.; Güdel, H.U. Optical and scintillation properties of cerium-doped LaCl3, LuBr3 and LuCl3. J. Lumin. 1999, 85, 21–35. [Google Scholar] [CrossRef]
- Moszynski, M.; Nassalski, A.; Syntfeld-Każuch, A.; Szczęśniak, T.; Czarnacki, W.; Wolski, D.; Pausch, G.; Stein, J. Temperature dependences of LaBr3(Ce), LaCl3(Ce) and NaI(Tl) scintillators. Nucl. Instrum. Methods Phys. Res. Sect. A Accel. Spectrometers Detect. Assoc. Equip. 2006, 568, 739–751. [Google Scholar] [CrossRef]
- Van Eijk, C.W.E. Inorganic scintillators in medical imaging. Phys. Med. Biol. 2002, 47, R85–R106. [Google Scholar] [CrossRef] [PubMed]
- Van Eijk, C.W.E. Inorganic-scintillator development. Nucl. Instrum. Methods Phys. Res. Sect. A Accel. Spectrometers Detect. Assoc. Equip. 2001, 460, 1–14. [Google Scholar] [CrossRef]
- Antonyak, O.T.; Dorenbos, P.; Rodnyi, P.; Stryganyuk, G.B.; Voloshinovskii, A.S.; Zimmerer, G. Luminescence Spectra of LaCl3-Ce Crystals; Hamburger HASYLAB at DESY: Hamburg, Germany, 2000. [Google Scholar]
- Higgins, W.M.; Glodo, J.; Van Loef, E.V.D.; Klugerman, M.; Gupta, T.; Cirignano, L.; Wong, P.; Shah, K.S. Bridgman growth of LaBr3:Ce and LaCl3:Ce crystals for high-resolution gamma-ray spectrometers. J. Cryst. Growth 2006, 287, 239–242. [Google Scholar] [CrossRef]
- Owens, A.; Bos, A.J.J.; Brandenburg, S.; Dorenbos, P.; Drozdowski, W.; Ostendorf, R.W.; Quarati, F.; Webb, A.; Welter, E. The hard X-ray response of Ce-doped lanthanum halide scintillators. Nucl. Instrum. Methods Phys. Res. A 2007, 574, 158–162. [Google Scholar] [CrossRef] [Green Version]
- Martin, T.; Allier, C.; Bernard, F. Lanthanum Chloride Scintillator for X-ray Detection. AIP Conf. Proc. 2007, 879, 1156–1159. [Google Scholar] [CrossRef]
- Michail, C.; Koukou, V.; Martini, N.; Saatsakis, G.; Kalyvas, N.; Bakas, A.; Kandarakis, I.; Fountos, G.; Panayiotakis, G.; Valais, I. Luminescence Efficiency of Cadmium Tungstate (CdWO4) Single Crystal for Medical Imaging Applications. Crystals 2020, 10, 429. [Google Scholar] [CrossRef]
- Michail, C.; Kalyvas, N.; Bakas, A.; Ninos, K.; Sianoudis, I.; Fountos, G.; Kandarakis, I.; Panayiotakis, G.; Valais, I. Absolute Luminescence Efficiency of Europium-Doped Calcium Fluoride (CaF2:Eu) Single Crystals under X-ray Excitation. Crystals 2019, 9, 234. [Google Scholar] [CrossRef] [Green Version]
- Linardatos, D.; Konstantinidis, A.; Valais, I.; Ninos, K.; Kalyvas, N.; Bakas, A.; Kandarakis, I.; Fountos, G.; Michail, C. On the Optical Response of Tellurium Activated Zinc Selenide ZnSe:Te Single Crystal. Crystals 2020, 10, 961. [Google Scholar] [CrossRef]
- Boone, J. X-ray production, interaction, and detection in diagnostic imaging. In Handbook of Medical Imaging. Volume 1: Physics and Psychophysics; Beutel, J., Kundel, H.L., Van Metter, R.L., Eds.; SPIE Press: Bellingham, WA, USA, 2000; Volume 1, pp. 36–57. ISBN 978-0-8194-7772-9. [Google Scholar]
- Nowotny, R. XMuDat: Photon Attenuation Data on PC (IAEA-NDS-195); International Atomic Energy Agency: Vienna, Austria, 1998. [Google Scholar]
- TASMIP Spectra Calculator. Available online: https://www.solutioinsilico.com/medical-physics/applications/tasmip-app.php?ans=0 (accessed on 14 March 2022).
- Kandarakis, I.; Cavouras, D.; Panayiotakis, G.S.; Nomicos, C.D. Evaluating X-ray detectors for radiographic applications: A comparison of ZnSCdS:Ag with Gd2O2S:Tb and Y2O2S:Tb screens. Phys. Med. Biol. 1997, 42, 1351–1373. [Google Scholar] [CrossRef] [PubMed]
- Kandarakis, I.; Cavouras, D.; Nomicos, C.D.; Panayiotakis, G.S. X-ray luminescence of ZnSCdS:Au, Cu phosphor using X-ray beams for medical applications. Nucl. Instr. Meth. Phys. Res. B 2001, 179, 215–224. [Google Scholar] [CrossRef]
- Hamamatsu Photonics, MPPC (Multi-Pixel Photon Counters). Available online: http://www.hamamatsu.com/us/en/product/category/3100/4004/4113/index.html# (accessed on 3 July 2021).
- Silicon Photomultipliers. Available online: http://sensl.com/products/silicon-photomultipliers/ (accessed on 3 July 2021).
- Magnan, P. Detection of visible photons in CCD and CMOS: A comparative view. Nucl. Instrum. Meth. Phys. Res. A 2003, 504, 199–212. [Google Scholar] [CrossRef]
- Rowlands, J.A.; Yorkston, J. Flat Panel Detectors for Digital Radiography. In Handbook of Medical Imaging Physics and Psychophysics; Beutel, J., Kundel, H., Van Metter, R., Eds.; SPIE: Bellingham, WA, USA, 2000; Volume 1, pp. 223–328. ISBN 978-08-194-7772-9. [Google Scholar]
- Cavouras, D.; Kandarakis, I.; Panayiotakis, G.S.; Bakas, A.; Triantis, D.; Nomicos, C.D. An experimental method to determine the effective efficiency of scintillator-photodetector combinations used in x-ray medical imaging systems. Br. J. Radiol. 1998, 71, 766–772. [Google Scholar] [CrossRef] [PubMed]
- Advatech UK. LSO:Ce—Lutetium Oxyorthosilicate (Ce). Available online: https://www.advatech-uk.co.uk/lso_ce.html (accessed on 25 June 2021).
- Advatech UK. BGO—Bismuth Germanate Scintillator Crystal. Available online: https://www.advatech-uk.co.uk/bgo.html (accessed on 25 June 2021).
- Valais, I.; David, S.; Michail, C.; Nikolopoulos, D.; Vattis, D.; Sianoudis, I.; Cavouras, D.; Nomicos, C.; Kandarakis, I.; Pa-nayiotakis, G. Comparative study of luminescence properties of Lu2SiO5:Ce and YAIO3:Ce single crystal scintillators for use in medical imaging. In Proceedings of the 5th European Symposium on Biomedical Engineering, Patras, Greece, 5–7 July 2006. [Google Scholar]
- Roncali, E.; Stockhoff, M.; Cherry, S.R. An integrated model of scintillator-reflector properties for advanced simulations of optical transport. Phys. Med. Biol. 2017, 62, 4811–4830. [Google Scholar] [CrossRef]













| kVp | LaCl3:Ce | CdWO4 | LSO | BGO |
|---|---|---|---|---|
| 50 | 1011 | 830 | 1085 | 310 |
| 60 | 1105 | 968 | 1223 | 352 |
| 80 | 1448 | 1104 | 1174 | 420 |
| 140 | 2132 | 1233 | 1273 | 475 |
| 150 | 2170 | 1248 | 1290 | 471 |
| Optical Detectors | LaCl3:Ce |
|---|---|
| Extended photocathode (E-S20) | 0.83 |
| Bialkali Photocathode | 0.94 |
| Multialkali Photocathode | 0.99 |
| (FP) PS-PMT H8500C-03 | 0.93 |
| (FP) PS-PMT H8500D-03 | 0.99 |
| (FP) PS-PMT H10966A | 0.99 |
| (FP)PS-PMT H8500C | 0.91 |
| SiPM MicroFC-30035-SMT | 0.66 |
| SiPM S10985-050C | 0.67 |
| SiPM S10362-11-025U | 0.67 |
| SiPM S10362-11-050U | 0.62 |
| SiPM S10362-11-100U | 0.65 |
| GaAs Photocathode | 0.93 |
Publisher’s Note: MDPI stays neutral with regard to jurisdictional claims in published maps and institutional affiliations. |
© 2022 by the authors. Licensee MDPI, Basel, Switzerland. This article is an open access article distributed under the terms and conditions of the Creative Commons Attribution (CC BY) license (https://creativecommons.org/licenses/by/4.0/).
Share and Cite
Tseremoglou, S.; Michail, C.; Valais, I.; Ninos, K.; Bakas, A.; Kandarakis, I.; Fountos, G.; Kalyvas, N. Efficiency Properties of Cerium-Doped Lanthanum Chloride (LaCl3:Ce) Single Crystal Scintillator under Radiographic X-ray Excitation. Crystals 2022, 12, 655. https://doi.org/10.3390/cryst12050655
Tseremoglou S, Michail C, Valais I, Ninos K, Bakas A, Kandarakis I, Fountos G, Kalyvas N. Efficiency Properties of Cerium-Doped Lanthanum Chloride (LaCl3:Ce) Single Crystal Scintillator under Radiographic X-ray Excitation. Crystals. 2022; 12(5):655. https://doi.org/10.3390/cryst12050655
Chicago/Turabian StyleTseremoglou, Stavros, Christos Michail, Ioannis Valais, Konstantinos Ninos, Athanasios Bakas, Ioannis Kandarakis, George Fountos, and Nektarios Kalyvas. 2022. "Efficiency Properties of Cerium-Doped Lanthanum Chloride (LaCl3:Ce) Single Crystal Scintillator under Radiographic X-ray Excitation" Crystals 12, no. 5: 655. https://doi.org/10.3390/cryst12050655
APA StyleTseremoglou, S., Michail, C., Valais, I., Ninos, K., Bakas, A., Kandarakis, I., Fountos, G., & Kalyvas, N. (2022). Efficiency Properties of Cerium-Doped Lanthanum Chloride (LaCl3:Ce) Single Crystal Scintillator under Radiographic X-ray Excitation. Crystals, 12(5), 655. https://doi.org/10.3390/cryst12050655

