Research on the Diffusion Behavior of Cu in Low-Carbon Steel under High Temperatures
Abstract
1. Introduction
2. Experimental
2.1. Preparation of Diffusion Couple
2.2. Diffusion Annealing Experiment
3. Results
- CCu—the molar concentration of Cu, mol/cm3;
- MCu—the molar mass of Cu, g/mol;
- WCu—mass concentration of Cu, %;
- PFe, PCu—the density of Fe and Cu, g/cm3.
4. Discussion
4.1. Analysis of the Diffusion Coefficient
- t—annealing time, s;
- C1, C2—maximum and minimum concentration, mol/m−3;
- x0—the position where its concentration is C0, m.
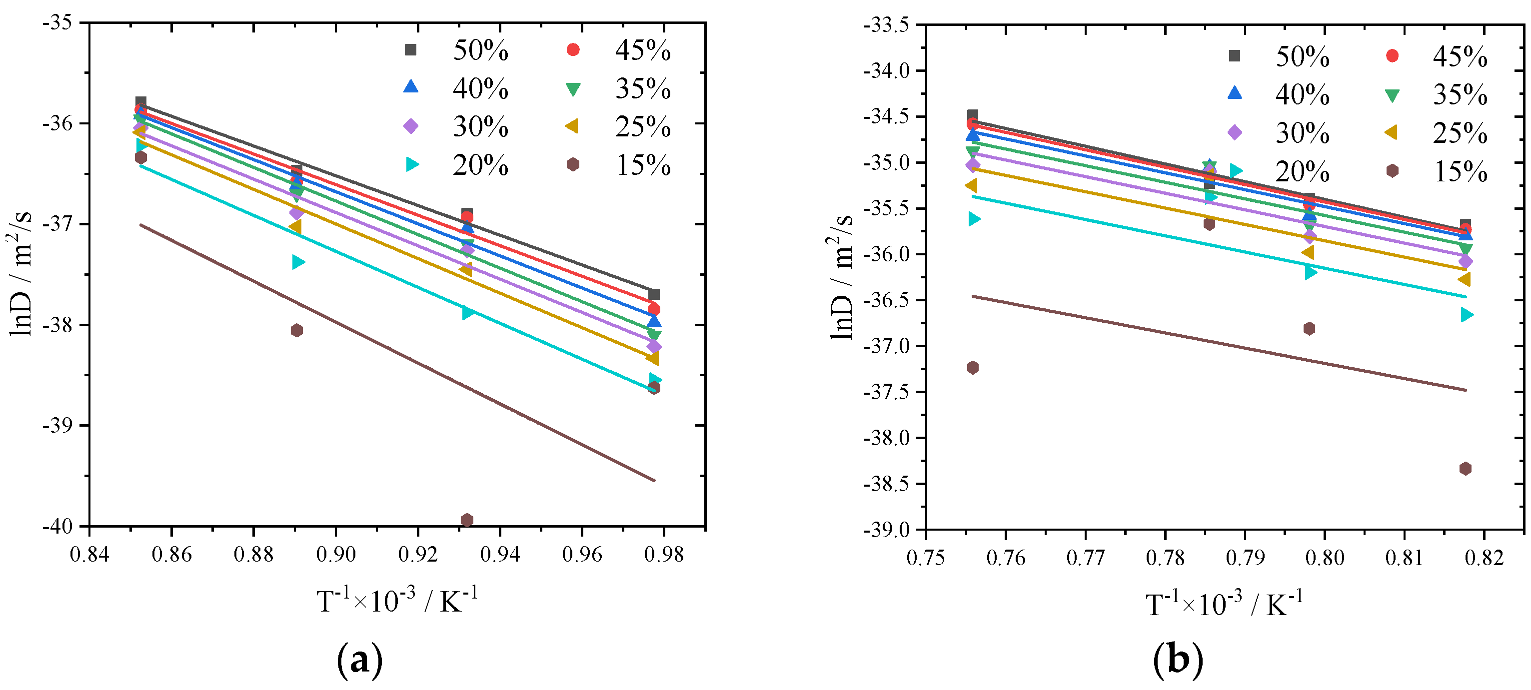
4.2. Analysis of Diffusion Activation Energy
- D—the diffusion coefficient of Cu in low-carbon steel, m2/s;
- D0—frequency factor, m2/s;
- Q—diffusion activation energy, J/mol;
- R—gas constant, 8.314 J/mol·K−1;
- T—temperature, K.
4.3. Analysis of Cu/Fe Diffusion Behavior with the MD Method
- —dimension of the simulation system, Z direction had been chosen in this research, = 1;
- —simulation time, ns;
- —the atom position when the time is and its initial position.
5. Conclusions
- (1)
- The diffusion of Cu in low-carbon steel can be realized by high-temperature annealing; as the temperature increases, the thickness of the Cu/low-carbon steel transition layer shows an increasing trend. When the annealing temperature is between 900 °C and 1000 °C, the thickness of the transition layer increases the fastest. When the temperature is between 750 °C and 900 °C, the concentration of Cu has little effect on the diffusion of Cu in low-carbon steel; when the temperature continues to rise, the higher the temperature, the greater the impact on the diffusion of Cu in low-carbon steel. The average value found of the diffusion activation energy was 159.5 kJ/mol in the phase transition zone and 172.1 kJ/mol in the austenite phase zone; this means that it was easier for Cu to diffuse in the phase transition zone than in the austenite phase zone.
- (2)
- For the calculation results of the MD models, we found the same changing trend of the diffusion coefficient of Cu in low-carbon steel, calculated for the annealing experiment. When the temperature was less than 850 °C, the diffusion coefficient calculated for the annealing experiment was closer to the value calculated by the MD model with BCC αFe and FCC Cu; when the temperature was higher than 980 °C, the diffusion coefficient calculated for annealing experiment was closer to the value calculated by the MD model with FCC γFe and FCC Cu. The results of the RDF curves also show that when the temperature was in the phase transition zone, the main restrictive link for the diffusion of Cu in Fe was the phase transition process of Fe. When the temperature was higher, the main restrictive link for the diffusion of Cu in Fe was the activity of the atom.
Author Contributions
Funding
Conflicts of Interest
References
- Bidi, M.A.; Azadi, M.; Rassouli, M. An enhancement on corrosion resistance of low carbon steel by a novel bio-inhibitor (leech extract) in the H2SO4 solution. Surf. Interfaces 2021, 24, 101159. [Google Scholar] [CrossRef]
- Teeter, L.; Repukaiti, R.; Huerta, N.; Oleksak, R.P.; Thomas, R.B.; Doğan, Ö.N.; Ziomek-Moroz, M.; Tucker, J.D. Effect of O2 on the long-term operation and corrosion of steel X65 in CO2-H2O environments for direct supercritical CO2 power cycle applications. J. Supercrit. Fluids 2019, 152, 104520. [Google Scholar] [CrossRef]
- Kakaei, M.N.; Neshati, J.; Hoseiny, H.; Poursaberi, T. A non-equilibrium approach to study the corrosion behavior of carbon steel in diethanolamine–H2O–CO2 systems. Corros. Sci. 2016, 104, 132–143. [Google Scholar] [CrossRef]
- Xing, Z.; Huang, S.; Song, Y. On the microstructure of mild steel and corrosion fatigue. Acta Metall. Sin. 1988, 24, 476–481. [Google Scholar]
- Stoljarova, A.; Regenspurg, S.; Bäßler, R.; Mathiesen, T.; Nielsen, J.B. Effect of lead and copper containing brine on steel materials for geothermal applications—A corrosion study. Geothermics 2021, 91, 102024. [Google Scholar] [CrossRef]
- Hall, D.S.; Behazin, M.; Binns, W.J.; Keech, P.G. An evaluation of corrosion processes affecting copper-coated nuclear waste containers in a deep geological repository. Prog. Mater. Sci. 2021, 118, 100766. [Google Scholar] [CrossRef]
- Wang, Y.Q.; Zhang, X.M.; He, Z.; Zu, G.Q.; Ji, G.F.; Duan, J.Y.; Misra, R.D.K. Effect of copper precipitates on mechanical and magnetic properties of Cu-bearing non-oriented electrical steel processed by twin-roll strip casting. Mater. Sci. Eng. A 2017, 703, 340–347. [Google Scholar] [CrossRef]
- Ghosh, A.; Mishra, B.; Das, S.; Chatterjee, S. Structure and properties of a low carbon Cu bearing high strength steel. Mater. Sci. Eng. A 2005, 396, 320–332. [Google Scholar] [CrossRef]
- Huang, Y.; Du, J.; Wang, Z. Progress in research on the alloying of binary immiscible metals. Acta Metall. Sin. 2020, 56, 801–820. [Google Scholar]
- Qin, Z. The Research about Non-Cyanide Copper Plating Process and Structure & Properties of Coating; South China University of Technology: Guangzhou, China, 2016. [Google Scholar]
- Rana, R.; Bleck, W.; Singh, S.B.; Mohanty, O.N. Development of high strength interstitial free steel by copper precipitation hardening. Mater. Lett. 2007, 61, 2919–2922. [Google Scholar] [CrossRef]
- Yang, Y.H.; Lin, G.Y.; Chen, D.D.; Wang, X.Y.; Wang, D.Z.; Yu, H.C. Interfacial characteristics of Cu-Fe laminate fabricated by solid state welding. Mater. Sci. Technol. 2014, 30, 476–480. [Google Scholar] [CrossRef]
- Pecequilo, C.V.; Panossian, Z. Study of copper electrodeposition mechanism from a strike alkaline bath prepared with 1-hydroxyethane-1, 1-diphosphonic acid through cyclic voltammeter technique. Electrochem. Acta 2010, 55, 3870–3875. [Google Scholar] [CrossRef]
- Pradhan, D.; Mondal, A.; Chakraborty, A.; Manna, M.; Dutta, M. Microstructural investigation and corrosion behavior of hot-dipped Al-Si-Mg-Cu alloy coated steel. Surf. Coat. Technol. 2019, 375, 427–441. [Google Scholar] [CrossRef]
- Dey, P.P.; Modak, P.; Ghosh, A.; Chakrabarti, D.; Banerjee, P.S.; Ghosh, M. Investigation of phase evolution of Al–Si–Mg coating on hot dipped interstitial-free steel. Results Mater. 2020, 6, 100078. [Google Scholar] [CrossRef]
- Liu, B.X.; Wei, J.Y.; Yang, M.X.; Yin, F.X.; Xu, K.C. Effect of heat treatment on the mechanical properties of copper clad steel plates. Vacuum 2018, 154, 250–258. [Google Scholar] [CrossRef]
- Wang, Y.; Li, X.; Wang, X.; Yan, H. Fabrication of a thick copper-stainless steel clad plate for nuclear fusion equipment by explosive welding. Fusion Eng. Des. 2018, 137, 91–96. [Google Scholar] [CrossRef]
- Xue, K.N.; Lu, H.F.; Luo, K.Y.; Cui, C.Y.; Yao, J.H.; Xing, F.; Lu, J.Z. Effects of Ni25 transitional layer on microstructural evolution and wear property of laser clad composite coating on H13 tool steel. Surf. Coat. Technol. 2020, 402, 126488. [Google Scholar] [CrossRef]
- Makarenko, K.; Dubinin, O.; Shornikov, P.; Shishkovsky, I. Specific aspects of the transitional layer forming in the aluminium bronze-stainless steel functionally graded structures after laser metal deposition. Procedia CIRP 2020, 94, 346–351. [Google Scholar] [CrossRef]
- Tan, K.H.; Rahman, H.A.; Taib, H. Coating layer and influence of transition metal for ferritic stainless steel interconnector solid oxide fuel cell: A review. Int. J. Hydrog. Energy 2019, 44, 30591–30605. [Google Scholar] [CrossRef]
- Salje, G.; Feller-Kniepmeier, M. The diffusion and solubility of copper in iron. J. Appl. Phys. 1977, 48, 1833–1839. [Google Scholar] [CrossRef]
- Rassoul, E.S.M. Effect of carbon on the diffusion of copper in different carbon-steels. J. Mater. Sci. 1997, 32, 6471–6474. [Google Scholar] [CrossRef]
- Perek-Nowak, M.; Boczkal, G. Formation of transition phases on Interface between monocrystalline Fe and cu due to mutual solid-state diffusion. Arch. Metall. Mater. 2016, 61, 581–586. [Google Scholar] [CrossRef][Green Version]
- Xu, P. Effects of Alloying Elements on the Cu/γ–Fe Interfacial Properties: A First-Principles Study; Shanghai Jiao Tong University: Shanghai, China, 2017. [Google Scholar]
- Zhang, H.; Wang, X.; Li, H.; Li, C.; Li, Y. Molecular Dynamics Study on the Impact of Cu Clusters at the BCC-Fe Grain Boundary on the Tensile Properties of Crystal. Metals 2020, 10, 1533. [Google Scholar] [CrossRef]
- Wang, J.; Leinenbach, C.; Liu, L.B.; Liu, H.S.; Jin, Z.P. Assessment of the Atomic Mobilities in fcc Cu-Fe and Cu-Ti Alloys. J. Phase Equilibria Diffus. 2010, 32, 30–38. [Google Scholar] [CrossRef]
- Li, C. Molecular Dynamics Simulations of Diffusion for Al-Cu System; University of Guangxi: Nanning, China, 2014. [Google Scholar]
- Huang, C. Study of Diffusion Related Properties of Fe-Al System; University of Guangxi: Nanning, China, 2015. [Google Scholar]
- Cui, Z.; Tan, Y. Metallography and Heat Treatment, Third Edition; China Machine Press: Beijing, China, 2011. [Google Scholar]
- Den Broeder, F.J.A. A general simplification and improvement of the matano-boltzmann method in the determination of the interdiffusion coefficients in binary systems. Scr. Metall. 1969, 3, 321–325. [Google Scholar] [CrossRef]
- Martin-Martin, R.; Dorta-Guerra, R.; Torsney, B. Multiplicative algorithm for discriminating between Arrhenius and non-Arrhenius behaviour. Chemom. Intell. Lab. Syst. 2014, 139, 146–155. [Google Scholar] [CrossRef]
- Zhang, C.; Yao, Y.; Chen, S. Size-dependent surface energy density of typically fcc metallic nanomaterials. Comput. Mater. Sci. 2014, 82, 372–377. [Google Scholar] [CrossRef]
- Taniker, S.; Yilmaz, C. Phononic gaps induced by inertial amplification in BCC and FCC lattices. Phys. Lett. A 2013, 377, 1930–1936. [Google Scholar] [CrossRef]
- Mao, A.; Zhang, J.; Yao, S.; Wang, A.; Wang, W.; Li, Y.; Qiao, C.; Xie, J.; Jia, Y. The diffusion behaviors at the Cu-Al solid-liquid interface: A molecular dynamics study. Results Phys. 2020, 16, 102998. [Google Scholar] [CrossRef]
- Khodakarami, M.; Farzadi, A.; Ramazani, A. Molecular dynamics study of the effect of alloying elements and imperfections on linear friction welding of Cu and Ni metals. J. Mol. Graph. Model. 2020, 101, 107712. [Google Scholar] [CrossRef]
- Dongol, M.; El-Denglawey, A.; Elhady, A.F.; Ebied, M.S. Synthesis and the RDF fine structure of Ge0.15Te0.78Cu0.07 bulk alloy. Optik 2016, 129, 8186–8193. [Google Scholar] [CrossRef]
- Doan, D.Q.; Fang, T.H.; Tran, A.S.; Chen, T.H. Residual stress and elastic recovery of imprinted Cu-Zr metallic glass films using molecular dynamic simulation. Comput. Mater. Sci. 2019, 170, 109162. [Google Scholar] [CrossRef]














| Composition | C | Si | Mn | P | S | Fe |
|---|---|---|---|---|---|---|
| Content % | 0.15 | 0.10 | 1.20 | 0.02 | 0.02 | others |
| Composition | Cu | Bi | Sb | As | Fe | Pb | S |
|---|---|---|---|---|---|---|---|
| Content % | 99.90 | 0.001 | 0.002 | 0.002 | 0.005 | 0.005 | 0.005 |
| Reagent | Concentration (g/L) |
|---|---|
| Copper sulfate | 30 g/L |
| Sodium citrate | 147 g/L |
| Potassium sodium tartrate | 45 g/L |
| Sodium bicarbonate | 20 g/L |
| Potassium Nitrate | 8 g/L |
Publisher’s Note: MDPI stays neutral with regard to jurisdictional claims in published maps and institutional affiliations. |
© 2022 by the authors. Licensee MDPI, Basel, Switzerland. This article is an open access article distributed under the terms and conditions of the Creative Commons Attribution (CC BY) license (https://creativecommons.org/licenses/by/4.0/).
Share and Cite
Li, H.; Ma, T.; He, Y.; Li, Y. Research on the Diffusion Behavior of Cu in Low-Carbon Steel under High Temperatures. Crystals 2022, 12, 207. https://doi.org/10.3390/cryst12020207
Li H, Ma T, He Y, Li Y. Research on the Diffusion Behavior of Cu in Low-Carbon Steel under High Temperatures. Crystals. 2022; 12(2):207. https://doi.org/10.3390/cryst12020207
Chicago/Turabian StyleLi, Huirong, Tao Ma, Yueying He, and Yungang Li. 2022. "Research on the Diffusion Behavior of Cu in Low-Carbon Steel under High Temperatures" Crystals 12, no. 2: 207. https://doi.org/10.3390/cryst12020207
APA StyleLi, H., Ma, T., He, Y., & Li, Y. (2022). Research on the Diffusion Behavior of Cu in Low-Carbon Steel under High Temperatures. Crystals, 12(2), 207. https://doi.org/10.3390/cryst12020207
