Abstract
In this work, we propose a novel dual optical frequency comb (DOFC) generation scheme based on dual cascaded difference frequency generation (DCDFG). Feasible designs are introduced that enable the two sets of cascaded optical waves, initially generated by DCDFG in an aperiodically periodically poled lithium niobate (APPLN) crystal with a pump wave and two signal waves, then transferred to high-order Stokes waves by oscillations of cascaded Stokes waves and the optimization of phase mismatching of each-order DCDFG; finally, a DOFC was constructed. We demonstrate a high-performance DOFC with characteristics of high repetition frequency difference, tunable repetition frequency difference, high flatness, and a tunable spectral distribution range by providing a theoretical framework. We argue that the scheme proposed in this work is promising for achieving a high-quality DOFC.
1. Introduction
Optical frequency comb (OFC) represents a novel versatile tool with a wide range of applications, such as telecommunications [1], metrology [2], optical arbitrary waveform generation [3], microwave photonics [4], and spectroscopy [5]. Recently, dual optical frequency comb (DOFC) spectroscopy has been seen as a promising spectroscopic tool providing unprecedented frequency resolution, fast acquisition times, and high-sensitivity broadband spectroscopy [6]. OFC has an optical spectrum consisting of a series of discrete, same-frequency intervals and phase-locked frequency lines, while DOFC has two coherent OFCs with slightly differing repetition rates. OFC sources have been successfully demonstrated by nonlinear optical frequency conversion technology, such as difference frequency generation [7], optical parametric oscillator [8], and quantum-cascade laser optical frequency comb [9]. However, the generation of DOFC has not been reported by nonlinear optical frequency conversion technology. In this work, we propose a novel scheme for DOFC generation with dual cascaded difference frequency generation (DCDFG). The two sets of cascaded optical waves that are generated by DCDFG with an aperiodically periodically poled lithium niobate (APPLN) crystal are transferred to high-order Stokes waves by the oscillations of Stokes waves within a resonant cavity, and finally are transformed into DOFC. Compared with other DOFC generation schemes, the scheme proposed in this work has the following merit. DOFC is generated by DCDFG, and THz waves are generated simultaneously. The above process consists of second-order and third-order nonlinear frequency conversions. As the frequencies of THz waves lie in the vicinity of polariton resonances of MgO//LiNbO3 crystal, the polariton resonances can induce giant nonlinearities, which are beneficial to the DOFC generation.
2. Theoretical Model
DCDFG, which is stimulated by three input lasers, ω0, ωa,1, and ωb,1, produces two sets of cascaded optical waves ωa/b,m (ω is frequency (cycles/second), m is an integer) and THz waves (ωT1/T2 = ω0 − ωa/b,1), as shown in Figure 1a. ωa/b,m is cascaded Stokes waves with m > 1 and cascaded anti-Stokes waves with m ≤ −1, respectively. The generations of THz waves and cascaded optical waves relate to the pure parametric (second-order nonlinear process) and stimulated Raman scattering processes (third-order nonlinear process) [10]. The optical parametric oscillator (OPO) for cascaded Stokes waves is a widely used bow-tie resonant cavity [11], comprising four cavity mirrors C1, C2, C3, and C4. The concave mirrors C1 and C2 have a high transmittance for ω0, ωa,1, ωb,1, and ωa/b,m (m ≤ −1). The concave mirrors C1 and C2 and the plane mirror C3 have a high reflectivity for ωa/b,m (m > 1), while the plane mirror C4 is partial transmittance for ωa/b,m (m > 1). The nonlinear gain medium is an APPLN crystal.
Figure 1.
Schematic diagram of DOFC generation by DCDFG. ω0 and ωa,1 generate a set of cascaded optical waves ωa,m and THz wave ωT1, respectively. ω0 and ωb,1 generate a set of cascaded optical waves ωb,m and THz wave ωT2, respectively. (a) Schematic diagram of a bow-tie resonant cavity for cascaded optical Stokes waves; C1, C2, C3, and C4 are resonant cavity mirrors, and APPLN is a nonlinear optical crystal. (b) The interaction of the two sets of ωa,1 and ωb,m generating DOFC; N is the number of oscillations of cascaded optical waves ωa/b,m.
The three input lasers ω0, ωa,1, and ωb,1 stimulate the APPLN crystal and generate several spectral lines for the first oscillation of cascaded Stokes waves N = 1 (N is the oscillation number, which means N times round trip of the cascaded Stokes waves in the resonator). As N increases from 1 to 20 and 100, the spectral lines increase rapidly in high-order Stokes region, and the intensities of the spectral lines are gradually identical. As N increases from 100 to 200, the number and the intensity of spectral lines become invariable, resulting in the formation of DOFC. The coupled wave equations of DCDFG within OPO are derived as follows [12,13]:
where the subscript m, T1, and T2 represent the mth-order cascaded optical wave, the THz wave generated by ω0 and ωa,1, and the THz wave generated by ω0 and ωb,1, respectively; is angular frequency (radians/second); E is the electric field strength; α is the absorption coefficient; and n is the refractive index. R1, R2, R3, and R4 are the reflectance of C1, C2, C3, and C4 for cascaded Stokes waves, respectively. k is the wave vector, Δk represents the phase mismatch, and deff is the nonlinear coefficient involving both electronic and vibrational contributions of the APPLN crystal [14]. Λ represents the poling period of the APPLN crystal, c is the vacuum speed of light, represents the vacuum permittivity, and I represents the intensity. In Equation (1), the first item indicates absorption of THz wave, and the second item indicates the sum of THz wave intensities generated by the interaction of cascaded optical waves ωa,m and ωa,m+1. In Equation (2), the first item indicates absorption of THz wave and the second item indicates the sum of THz wave intensities generated by the interaction of cascaded optical waves ωb,m and ωb,m+1. In Equation (3), the first item indicates absorption of the cascaded optical waves, and the second item indicates the generation of ωa,m by the interaction between ωa,m−1 and ωT1, and the third term describes the generation of ωa,m by the interaction between ωa,m+1 and ωT1. In Equation (4), the first item indicates absorption of the cascaded optical waves, and the second item indicates the generation of ωb,m by the interaction between ωb,m−1 and ωT2, and the third term describes the generation of ωb,m by the interaction between ωb,m+1 and ωT2.
3. Calculations
The frequencies of ω0, ωa,1, and ωb,1 were 281.9, 281.8, and 281.7998 THz, respectively, corresponding the THz wave frequencies ωT1 and ωT2 of 0.1 THz and 0.1002 THz, respectively. The frequency 281.9 THz corresponded to the wavelength of 1.0642 μm, the wavelength of a Nd/YAG laser. The nonlinear coefficient of APPLN crystal at 281.9 THz was 336 pm/V [10]. The intensities of the three pulsed input lasers ω0, ωa,1, and ωb,1 were 100, 1, and 1 MW/cm2, respectively. The Sellmeier equations for cascaded optical waves and THz waves at room temperature were from references [15] and [16], respectively. All the reflectivities of R1, R2, and R3 were 0.9999, and the reflectivity of R4 was 0.98.
In the process of DOFC generation, the evolution of cascaded optical waves was determined by phase mismatches of DCDFG Δka/b,m. The phase mismatches Δka/b,m were set to be the minimum value from the first-order cascaded difference frequency generation (CDFG) to the mth-order(m 1) CDFG one order by one order, transferring the photons from low-order Stokes waves to high-order Stokes waves. The above setting was achieved by Equation (8):
where ωT1 < ωTA < ωT2, 0 < z ≤ L. L is the length of APPLN crystal, and nTA is the refractive index of ωTA. ωTA of 0.10015 THz in the following calculations ensured that the photon transfer in two CDFG processes from ω0 and ωa,1 to ωa,m and from ω0 and ωb,1 to ωb,m were balanced.
The evolution of DOFC versus oscillation number N is calculated according to Equations (1)–(8), as shown in Figure 2. From the figure, it can be seen that when N < 10, the cascaded Stokes waves transferred to high-order Stokes waves rapidly, and the intensities of the cascaded Stokes waves varied drastically. When 10 < N < 50, the cascaded Stokes waves transferred to higher-order Stokes waves rapidly, and the intensities of the cascaded Stokes waves changed moderately. When 50 < N < 200, the transformation of cascaded Stokes waves to higher-order Stokes waves was slow, and the intensities of the cascaded Stokes waves tended to be stable. When N = 200, the cascaded Stokes waves were converted to a high-quality DOFC, as shown in Figure 2b,c. The repetition frequency difference Δfrep of the DOFC was 200 MHz, the spectrum range of the DOFC within 1 dB flatness was 259.3 THz–275.2 THz, and the number of the comb line was 160.

Figure 2.
Evolution of DOFC generated by DCDFG within the OPO. m = 200, L = 6 cm, I0 = 100 MW/cm2, I1 = 1 MW/cm2, I2 = 1 MW/cm2. (a) Evolution of ωa,m and ωb,m with oscillation number N. (b) Spectral distribution of ωa,m and ωb,m with N = 200; the range covered by the dashed box was DOFC within 1 dB flatness. (c) Enlargement of the range covered by the dashed box in (b).
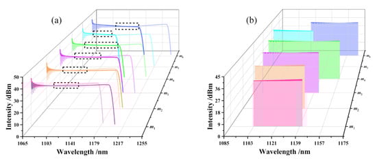
From Equation (8), we find that cascading order m can influence phase mismatches Δka/b,m. Figure 3a shows the spectral distribution of DOFC with different cascading order m, and the dashed boxes in Figure 3a corresponding to DOFC were enlarged, shown in Figure 3b. The spectral range of DOFC within 1 dB flatness was 262.9–272 THz for m = 50. With the cascading order m increasing from 50 to 100, 150, 200, and 250, DOFC spectral range within 1 dB flatness firstly expanded and then reduced. The largest spectral range was 259.3–275.2 THz for m = 200. With the cascading order m increasing from 50 to 100, 150, 200, and 250, the comb line number of the DOFC within 1 dB flatness increased from 92 to 102, 121, and 160, and then decreased to 100. The DOFC spectrum range of 1086.96–1156.96 nm within 1 dB flatness can be achieved with different cascading order m.
Figure 3.
Spectral distribution of DOFC with different cascading order m, cascading order m1 = 50, m2 = 100, m3 = 150, m4 = 200, m5 = 250, L = 6 cm, N = 200, I0 = 100 MW/cm2, I1 = 1 MW/cm2, I2 = 1 MW/cm2. (a) Spectral distribution of DOFC with different cascading order m; the range covered by the dashed box was DOFC within 1 dB flatness. (b) Enlargement of the dashed box in (a).
Equations (1) and (2) show that phase mismatches Δka/b,m affected the interaction of cascaded Stokes waves. The interaction length of the mth-order CDFG was ΔLm, and ΔLm = L/m. By changing the crystal length L and keeping cascading order m constant, the variable ΔLm changed the transfer speed of the cascaded Stokes waves to high-order Stokes waves. Figure 4a shows the spectral distribution of DOFC with different crystal lengths L. The DOFC spectrum range of 271–280.1 THz was extremely narrow for L1 = 4 cm. As the crystal length L increased from 4 cm to 4.5 cm, 5 cm, 5.5 cm, and 6 cm, the DOFC spectral range gradually increased and rapidly moved to the long-wavelength range. The DOFC spectrum range was 259.3–275.2 THz for L = 6 cm. As the crystal length increased from 4 cm to 4.5 cm, 5 cm, 5.5 cm, and 6 cm, the comb line number of DOFC within 1 dB flatness increased from 92 to 111, 124, 135, and 160. With the above five crystal lengths, the DOFC spectrum range of 1071.05–1156.96 nm within 1 dB flatness can be achieved. The reason for the above phenomenon is that when the ΔLm was short, the photon transfer from the mth order Stokes wave to the (m + 1)th order Stokes was extremely insufficient, resulting in the narrow DOFC spectrum range. As discussed above, the number of comb lines, the amount of flatness, and the spectral distribution range of DOFC can be tuned by adjusting the crystal length. From Figure 3 and Figure 4, we find that the wide tuning of DOFC spectrum range can be realized by changing the crystal length L, while the precise tuning of the DOFC spectrum range can be achieved by changing the cascading order m.
Figure 4.
Spectral distribution of DOFC with different crystal lengths L. Crystal length L1 = 4.0 cm, L2 = 4.5 cm, L3 = 5.0 cm, L4 = 5.5 cm, L5 = 6.0 cm, m = 200, N = 200, I0 = 100 MW/cm2, I1 = 1 MW/cm2, I2 = 1 MW/cm2. (a) Spectral distribution of DOFC with different crystal lengths L; the range covered by the dashed box was DOFC within 1 dB flatness. (b) Enlargement of the dashed box in (a).
DOFC with different repetition frequency differences Δfrep can be obtained by changing the frequency of ωb,1, while the two frequencies ω0 and ωa,1 are constant. Figure 5 illustrates the DOFC formation process for Δfrep = 300 and 400 MH. It can be seen from the figure that the cascaded Stokes waves firstly rapidly and then slowly transferred to higher-order Stokes waves as the oscillation number N increased. A stable DOFC was formed when N = 200. Comparing Figure 5 with Figure 2, when the repetition frequency difference Δfrep increased from 200 MHz to 300 MHz and 400 MHz, the spectral distribution range of DOFC was reduced from 259.3–280.1 THz to 259.2–268.6 THz and 259.9–266.3 THz, respectively. The reason was that as Δfrep increased, the phase mismatch Δka/b,m of the mth order CDFG was enlarged, resulting in a slow photon transfer from the mth order Stokes wave to the (m + 1)th order Stokes wave.

Figure 5.
Evolution process of DOFC generated by DCDFG within the OPO. m = 200, L = 6 cm, I0 = 100 MW/cm2, I1 = 1 MW/cm2, I2 = 1 MW/cm2; ω0 and ωa,1 are 281.9 THz and 281.8 THz, respectively. (a) Evolution of DOFC generated by DCDFG within the OPO with oscillation number N; ωb,1 = 281.7997 THz, Δfrep = 300 MHz. (b) Evolution of DOFC generated by DCDFG within the OPO with oscillation number N; ωb,1 = 281.7996 THz, Δfrep = 400 MHz. (c) Spectral distribution of DOFC with N = 200; the dashed box indicates Δfrep = 300 MHz within 1 dB flatness, and the solid box indicates Δfrep = 400 MHz within 1 dB flatness.
The high-performance DOFC had characteristics of high repetition frequency difference, tunable repetition frequency difference, high flatness, and tunable spectral distribution range attributes of the repeated and continuous frequency conversions from ω0 to high-order Stokes waves. The repeated frequency conversions were accomplished by oscillations of Stoke waves in a resonant cavity. The continuous frequency conversions were accomplished by optimized DCDFG with Equation (8). Compared with APPLN with a quasi-phase matching configuration in this work, the cascading with cherenkov cut MgO/LiNbO3 crystal was difficult to realize because noncollinear phase-matching restricts the interaction volume of mixing waves.
4. Conclusions
In this work, a novel DOFC generation scheme based on DCDFG combined with OPO is proposed. The simulation results show that by increasing the APPLN crystal length, the DOFC spectrum range was greatly broadened and the DOFC spectral distribution was rapidly red-shifted, and simultaneously the comb line number of DOFC within 1 dB flatness was greatly increased. By increasing the cascading order of CDFG, the DOFC spectral distribution range was firstly expanded and then reduced, and simultaneously the comb line number of DOFC within 1 dB flatness firstly increased and then was reduced. By changing the frequency difference among the three input lasers, the repetition frequency difference of DOFC can be tuned and the DOFC spectral range is effectively expanded. The novel scheme proposed in this work paves the way for high-performance DOFC source.
Author Contributions
Conceptualization, Y.Y. and Z.L.; methodology, K.W. and G.Z.; software, K.W. and G.Z.; validation, K.W. and G.Z.; data curation, K.W. and G.Z.; writing—original draft preparation, K.W. and G.Z.; writing—review and editing, Y.Y. and Z.L.; supervision, P.B., S.Y., A.Z., D.X., and J.Y. All authors have read and agreed to the published version of the manuscript.
Funding
This research was funded by the National Natural Science Foundation of China (grant nos. 61735010, 31671580, 61601183), the Natural Science Foundation of Henan Province (grant no. 162300410190), and the Key Scientific Research Project of Henan Universities (grant no. 19A510004).
Institutional Review Board Statement
Not applicable.
Informed Consent Statement
Not applicable.
Data Availability Statement
Data underlying the results presented in this paper are not publicly available at the time of publication, which may be obtained from the authors upon reasonable request.
Conflicts of Interest
The authors declare no conflict of interest.
References
- Delfyett, P.J.; Gee, S.; Choi, M.-T.; Izadpanah, H.; Lee, W.; Ozharar, S.; Quinlan, F.; Yilmaz, T. Optical frequency combs from semiconductor lasers and applications in ultrawideband signal processing and communications. J. Lightwave Technol. 2006, 24, 2701–2719. [Google Scholar] [CrossRef]
- Pupeza, I.; Zhang, C.K.; Högner, M.; Ye, J. Extreme-ultraviolet frequency combs for precision metrology and attosecond science. Nat. Photonics 2021, 15, 175–186. [Google Scholar] [CrossRef]
- Bosworth, B.T.; Jungwirth, N.R.; Smith, K.; Cheron, J.; Quinlan, F.; Woodson, M.; Morgan, J.; Beling, A.; Williams, D.; Orloff, N.D.; et al. Electro-optically derived millimeter-wave sources with phase and amplitude control. Appl. Phys. Lett. 2021, 119, 151106. [Google Scholar] [CrossRef]
- Chen, B.; Fan, Y.Y.; Liu, T.; Gao, Y.S.; Xue, X.Q.; Liu, Y. Broadband photonic RF channelizer with 66 channels based on acousto-optic frequency shifter. Opt. Eng. 2021, 60, 126102. [Google Scholar] [CrossRef]
- Chandran, S.; Ruth, A.A.; Martin, E.P.; Alexander, J.K.; Peters, F.H.; Anandarajah, P.M. Off-Axis Cavity-Enhanced Absorption Spectroscopy of 14NH3 in Air Using a Gain-Switched Frequency Comb at 1.514 µm. Sensors 2019, 19, 5217. [Google Scholar] [CrossRef] [PubMed]
- Coddington, I.; Newbury, N.; Swann, W. Dual-comb spectroscopy. Optica 2016, 3, 414–426. [Google Scholar] [CrossRef] [PubMed]
- Cruz, F.C.; Maser, D.L.; Johnson, T.; Ycas, G.; Klose, A.; Giorgetta, F.R.; Coddington, I.; Diddams, S.A. Mid-infrared optical frequency combs based on difference frequency generation for molecular spectroscopy. Opt. Express 2015, 23, 26814–26824. [Google Scholar] [CrossRef] [PubMed]
- Lee, K.F.; Granzow, N.; Schmidt, M.A.; Chang, W.; Wang, L.; Coulombier, Q.; Troles, J.; Leindecker, N.; Vodopyanov, K.L.; Schunemann, P.G.; et al. Midinfrared frequency combs from coherent supercontinuum in chalcogenide and optical parametric oscillation. Opt. Lett. 2014, 39, 2056–2059. [Google Scholar] [CrossRef] [PubMed]
- Hugi, A.; Villares, G.; Blaser, S.; Liu, H.C.; Faist, J. Mid-infrared frequency comb based on a quantum cascade laser. Nature 2012, 492, 229–233. [Google Scholar] [CrossRef] [PubMed]
- Ravi, K.; Schimpf, D.N.; Kärtner, F.X. Pulse sequences for efficient multi-cycle terahertz generation in periodically poled lithium niobate. Opt. Express 2016, 24, 25582–25607. [Google Scholar] [CrossRef] [PubMed]
- Kiessling, J.; Sowade, R.; Breunig, I.; Dierolf, V. Cascaded optical parametric oscillations generating tunable terahertz waves in periodically poled lithium niobate crystals. Opt. Express 2009, 17, 87–91. [Google Scholar] [CrossRef]
- Li, Z.Y.; Yan, Q.Z.; Liu, P.X.; Jiao, B.Z.; Zhang, G.G.; Chen, Z.L.; Bing, P.B.; Yuan, S.; Zhng, K.; Yao, J.Q. Terahertz wave generation by repeated and continuous frequency conversions from pump wave to high-order Stokes waves. Chin. Phys. B 2022, 31, 0742909. [Google Scholar]
- Liu, P.X.; Qi, F.; Pang, Z.B.; Li, W.F.; Wang, Y.L.; Liu, Z.Y.; Meng, D.L. Cascaded difference frequency generation in organic crystal 4′-dimethylamino-N-methyl-4-stilbazolium tosylate. Opt. Lett. 2019, 44, 4965–4968. [Google Scholar] [CrossRef]
- Mayer, A.; Keilmann, F. Far-infrared nonlinear optics. I. χ(2) near ionic resonance. Phys. Rev. B 1986, 33, 6954–6961. [Google Scholar] [CrossRef]
- Jundt, D.H. Temperature-dependent Sellmeier equation for the index of refraction, ne, in congruent lithium niobate. Opt. Lett. 1997, 22, 1553–1555. [Google Scholar] [CrossRef]
- Pálfalvi, L.; Hebling, J.; Kuhl, J.; Ṕter, Á.; Polgár, K. Temperature dependence of the absorption and refraction of Mg-doped congruent and stoichiometric LiNbO3 in the THz range. J. Appl. Phys. 2005, 97, 123505. [Google Scholar] [CrossRef]
Publisher’s Note: MDPI stays neutral with regard to jurisdictional claims in published maps and institutional affiliations. |
© 2022 by the authors. Licensee MDPI, Basel, Switzerland. This article is an open access article distributed under the terms and conditions of the Creative Commons Attribution (CC BY) license (https://creativecommons.org/licenses/by/4.0/).