Abstract
The development of superior electrochemical energy-storage devices designed through a facile, cost-efficient, and green synthesis technique is the key to addressing the intermittent nature of renewable energy sources such as solar and wind energy. In our present work, we design a simple, surfactant-free, and low-temperature chemical strategy to prepare novel integrated, MnO2 composite electrodes with two-dimensional (2D) nanosheet film directly supported on three-dimensional (3D) conductive nickel foam. Benefiting from the specific 2D nanosheet architecture to provide a large interfacial contact area and highly conductive metal scaffolds to facilitate fast electron transfer, the novel nanosheet-assembled MnO2-integrated electrodes exhibit higher specific capacitance of 446 F g−1 at the current density of 1 A g−1 compared with nanostructured MnO2 and commercial MnO2 powder electrodes. More importantly, the as-synthesized devices are able to achieve an outstanding cycling performance of 95% retention after 3000 cycles. The present work, which is based on the low-temperature chemical route to deposit active materials on the conductive substrate, provides new insights into designing a binder-free supercapacitor system to improve the specific capacitance, cycling, and rate performance as next-generation, energy-storage devices.
1. Introduction
The issues of rapid energy depletion and increasing green-house effect owing to the over-consumption of fossil fuel resources urgently require the full use of alternative green energy to meet our ever-growing energy demands [1,2,3,4,5]. The research on renewable energies such as solar and wind energy has intensified in recent years, but the intermittent nature of clean resources requires an effective medium to store and transfer energy. As a new type of energy-storage technology, electrochemical supercapacitors, compared with conventional batteries and dielectric capacitors, have drawn considerable attention due to their high-power density, fast charge/discharge rate, and long cycle life. These are widely used in hybrid electric vehicles, renewable energy storage, mobile auxiliary storage, and other fields in modern life [6,7,8,9].
Regarding their energy-storage mechanism, supercapacitors (SCs) can be classified into two categories: electric double-layer capacitors (EDLCs), depending on the ionic adsorption/desorption at the electrode/electrolytes interface, and pseudocapacitors, storing energy through rapid surface redox reactions [10,11,12]. Typical electrode materials for EDLCs include carbonaceous materials, such as graphene, carbon nanotubes, and activated carbon [13,14,15,16,17]. Pseudocapacitors have the advantage of fast and reversible redox reactions at the electrode surface. Their delivered-specific capacitance could be multiple times larger than that of EDLC materials. Hence, tremendous efforts have been devoted to searching for pseudocapacitive or redox-active materials with high performance to replace the carbon electrode [18,19,20,21].
Among various pseudocapacitive materials, MnO2 stands out as one of the most promising electrode materials because of its natural abundance, low-cost, environmental benignity, and high theoretical specific capacitance (1370 F g−1) based on the Mn3+/Mn4+ redox coupled over the potential window of 0.8 V [18,19,20,21,22,23,24,25]. Unfortunately, bulk MnO2 powder suffers from poor electrical conductivity and low surface area, resulting in the actual specific capacitance being far below the theoretical specific capacitance. To solve these problems, nanostructured MnO2 with controllable particle size, morphology, and good electrical conductivity have been gradually proposed to enhance capacitance, rate capability, and cycling stability, such as nanowire and nanotube, nanosheet, and nanosphere [23,24,25,26,27,28]. For example, Grote et al. reported a three-step, template-assisted method for preparing free-standing MnO2 nanowire and nanotube arrays using porous anodic aluminum oxide as a template [23]. The as-prepared MnO2 nanotube and nanowire arrays delivered a good electrochemical performance with specific capacitances of 210 F g−1 and 231 F g−1 at 1.9 A g−1 and 0.5 A g−1, respectively. Pang et al. successfully fabricated hierarchical MnO2 nanosheets as electrode materials based on a chelation-mediated method by using EDTA as the surfactant, which showed a specific capacitance of 325 F g−1 at the current density of 1 A g−1 [24]. Using the triblock copolymer P123 as a template, Wang et al. prepared ultrafine MnO2 particles as supercapacitor electrodes by combining ultrasonic dispersing and microwave heating. These as-prepared MnO2 samples obtained a high specific capacitance of ~214 F g−1 and showed negligible capacitance decline after 1000 cycles [25]. Although so many effective chemical methods have been used to prepare MnO2-based electrodes, these synthesis routes based on the hydrothermal, template, and surfactant-assisted approaches have disadvantages of long reaction times, complicated removal processes, and high reaction temperatures. Such technologies fail to meet energy conservation and emission reduction requirements. Meanwhile, most reported electrodes in electrochemical energy storage systems are fabricated by traditional coating technologies with PVDF or PTFE binders to enhance physical contact between the active materials and the current collector. This not only results in excessive consumption of adhesives and carbon black (20–30%) but also hinders ion and electron transport in the system [29,30]. Therefore, the development and implementation of well-controlled strategies for synthesizing binder-free, MnO2-integrated electrode materials, with superior electrochemical performance by a simple and low-cost preparation route, is still a significant challenge that is greatly needed.
In our present work, a simple, green, and low-cost redox method, without high temperature and complicated post-treatment, is introduced to fabricate nanosheet-assembled MnO2-integrated electrodes. The active materials MnO2 films with a loose porous structure grow directly on the highly conductive nickel foam to form a Ni@MnO2 core–shell composite at room temperature. It not only can enhance the conductivity and effective utilization of the active materials but also avoids the complicated electrode preparation process [29,30,31,32,33]. As expected, the nanosheet-assembled MnO2-integrated materials serving as electrodes for supercapacitors exhibit excellent electrochemical performance, such as a high specific capacitance of 446 F g−1 and a high capacitance retention of ~95% of the initial capacitance after 3000 cycles. The remarkable performances are attributed to their multiple advantages, such as the highly ordered nanosheet configuration, good conductive substrate, and the stronger structural fastness between the active material and current collector. This work provides a new strategy for designing next-generation, high-performance energy-storage devices.
2. Materials and Methods
2.1. Sample Synthesis
All chemical reagents were of analytical grade and used as purchased without further purification. Prior to synthesis, a piece of nickel foam (a rectangle of 1.2 cm × 1 cm) (Shenzhen Kejing Star Technology Company, Shenzhen, China) was carefully cleaned by ultrasonication in 1 M HCl solution (Sinopharm Chemical Reagent Co., Ltd., Shanghai, China) to remove the oxide layer on the surface, followed by washing with deionized water and absolute ethanol. In a typical synthesis of nanosheet-assembled MnO2-integrated electrode, 12 mmol of manganese acetate tetrahydrate (Sinopharm Chemical Reagent Co., Ltd., Shanghai, China) was dissolved in 150 mL of deionized water to form a transparent solution as solution A. Afterward, 24 mmol of potassium permanganate (Sinopharm Chemical Reagent Co., Ltd., Shanghai, China) was dissolved in 150 mL of deionized water to form a purple solution as solution B. The treated nickel foam was immersed into solution A for 3 min at room temperature and then taken out and soon dipped into solution B for 3 min. Repeating the above steps produced a dark brown, nanosheet-assembled MnO2-integrated electrode. Subsequently, the fabricated Ni@MnO2-integrated electrode was washed repeatedly with deionized water to remove the excess ions and then placed in a vacuum oven at 70 °C for 12 h. For comparison purposes, the nanosheet-assembled MnO2 powder samples were also synthesized using the same solutions A and B, based on a redox precipitation method. Solution A was added into solution B by a constant pressure-dropping funnel, and the dark brown precipitate was formed immediately. The solution was stirred continuously for 10 min at room temperature. The resulting powders were rinsed extensively with deionized water and finally dried in a vacuum oven at 70 °C for 12 h. Commercial MnO2 was purchased from Sinopharm Chemical Reagent Co., Ltd.
2.2. Materials Characterization
The crystalline structure of the as-fabricated sample was tested by powder X-ray diffractometry (XRD, Rigaku 9 kW, Tokyo, Japan). The morphological features and microstructure of the sample were observed using a field-emission scanning electron microscopy (FE-SEM, S-4800, Hitachi, Tokyo, Japan) and transmission electron microscopy (TEM, JEOL JEM-2100F, Tokyo, Japan). To prepare a TEM specimen, the nanosheet MnO2 powder was scratched from the integrated electrode using a doctor blade. It was subsequently dispersed into an alcohol solution under ultrasonic treatment for 30 min. For the SEM testing, a piece of nickel foam-covered MnO2 nanosheet was cut and attached to the conductive adhesive.
2.3. Electrochemical Measurements
The electrochemical measurements of samples were characterized on the CHI 660E electrochemical workstation (Shanghai Chenhua Instrument Company, Shanghai, China). The electrochemical tests were investigated by a standard three-electrode testing system. The nanosheet-assembled MnO2-integrated electrode materials (1.2 cm × 1 cm) acted as a working electrode, the platinum plate acted as a counter electrode, and Ag/AgCl acted as a reference electrode (Figure S1 in the Supplementary Materials). The loading mass of the active materials on each electrode was about 1–2 mg. In the 1 M Na2SO4 aqueous solution electrolyte, the electrochemical performance of the as-synthesized materials was evaluated by cyclic voltammetry (CV), galvanostatic charge and discharge (GCD), and electrochemical impedance spectroscopy (EIS). For comparison, the nanosheet MnO2 powder and commercial MnO2 powder electrodes were fabricated by traditional coating techniques as follows: MnO2 powder, carbon black, and polyvinylidene fluoride (PVDF) in the weight ratio of 80:10:10. They were mixed in a mortar with n-methyl-2-pyrrolidone (NMP) as the solvent to form a homogeneous paste. This was then pressed onto the nickel foam collector and dried at 70 °C for 12 h in a vacuum oven.
The gravimetric and areal capacitance of the sample can be calculated based on GCD and CV, respectively, according to Equations (1) and (2):
In Equation (1), Cm (F g−1) is the gravimetric capacitance, I (A) represents the current of the working electrode, Δt (s) refers to the discharge time, m (g) stands for the mass of the active materials within the electrodes, and ΔV (V) means the potential drop during discharge. In Equation (2), the symbols Cs (mF cm−2), ∫I × dV, ν, and S represent areal capacitance, integral area of CV curve, scan rate (V s−1), and front working area of the electrode (cm2), respectively.
3. Results
The nanosheet-assembled MnO2-integrated electrodes with 3D architecture were prepared by a facile and low-temperature chemical route. The synthetic process is schematically depicted in Figure 1. First, the treated nickel foam was immersed into a manganese acetate tetrahydrate solution in a glass beaker, and the Mn2+ was fully adsorbed on the surface of the 3D nickel foam skeleton. Subsequently, the precursors were dipped into purple potassium permanganate solution and in contact with Mn7+ to form nanosheet architecture on the nickel backbone through a simple redox reaction. Subsequently, this procedure was repeated several times until the entire layout of nickel foam was completely covered with brown nanosheet MnO2.
Figure 1.
Schematic illustration of the fabrication procedure of nanosheet-assembled MnO2-integrated electrode.
To examine the crystallinity and crystal phases, the as-prepared samples were tested by powder X-ray diffraction pattern, (XRD) and the results are shown in Figure 2. It can be observed that the main three strong peaks at around 44.6°, 51.9°, and 76.6° correspond to metal nickel substrate (JCPDS No. 70-0989). Except for diffraction peaks from the nickel substrates, all other diffraction peaks were in good accordance with the Birnessite-type δ-MnO2 (JCPDS No. 80-1098) [34,35]. The broad and weak features indicate the typical characteristic of nanocrystalline for MnO2. The MnO2 powder sample with nanosheet morphology was prepared by a low-temperature redox method for comparison. All of the characteristic signals of the sample match are in good accordance with the Birnessite-type MnO2 phase. Figure S2 shows that, in the XRD pattern of commercial MnO2 powder, all diffraction peaks can be assigned to MnO2 with tetragonal symmetry structure (JCPDS No. 24-0735).
Figure 2.
XRD pattern of the nanosheet-assembled MnO2-integrated electrode (black) and MnO2 powder (blue).
The microstructure and morphology of the as-synthesized, MnO2-based electrode were first evaluated by field-emission scanning electron microscopy (FE-SEM). The SEM of pure nickel foam is presented in Figure S3. It can be observed that the bare nickel foam exhibits a 3D macroscopical porous and cross-linked grid structure. The digital photographs of nickel foam before and after MnO2 deposition are shown in Figure 3a, and the color of the nickel foam changed from the original grey to brown. Repeated dip-coating treatments resulted in a significant morphology change in the nickel foam from a relatively smooth surface to a very rough surface. This indicated that a layer of MnO2 film covers the outer surface of the metal nickel backbone to form a Ni@MnO2 hybrid core–shell structure composite (Figure 3b). Furthermore, the high-magnification SEM image viewed from the top further shows that MnO2 nanosheets are densely and uniformly deposited on the nickel backbone. The thickness of nanosheets is estimated to be around several nanometers (Figure 3c,d). More importantly, these nanosheets are interconnected to form a highly open and porous structure as identified by the red dot (Figure 3d). The present cross-linked porous architecture can provide a large interfacial area and a shortened solid-state diffusion path for facilitating the diffusion of electrolyte ions. The direct growth of MnO2 nanosheets on the metal collector enabled good contact and strong binding between active materials and the collector, which is highly beneficial to the improvement of the electrochemical performance. Meanwhile, the morphologies of nanosheet MnO2 powder samples, prepared by the low-temperature redox method, were also investigated in Figure S4, which have a flower-like morphology with an average diameter of 150 nm. Such nanosheet building blocks are the same as the integrated electrode. From Figure S5, it is also seen that the commercial MnO2 powders show a microsphere morphology with an average size of ~50 μm.
Figure 3.
(a) Photographs of the nickel foam before and after MnO2 deposition; SEM images of (b) low-magnification image of the nickel foam surfaces; (c,d) high-magnification images of MnO2 nanosheet.
Further microstructure characterizations about the MnO2 nanosheet were examined by transmission electron microscopy (TEM). Figure 4a–c present the TEM images of MnO2 nanosheet at low magnification, revealing that the lamellar-like morphology is constructed by numerous ample wrinkles and folds. This is in strong agreement with the results of SEM. In addition, the clear lattice fringes with 0.35 nm and 0.24 nm interplanar distance are observed from the HRTEM image in Figure 4d, corresponding to the (002) and (-111) lattice planes of Birnessite-type MnO2, given in the JCPDS card 80-1098 file. From the HRTEM images, it is found that the lattice fringes are not continuous in the whole nanosheet, indicating that the obtained nanosheets MnO2 are polycrystalline. The select area electron diffraction (SAED) pattern further demonstrates that the nanosheet MnO2 has a polycrystalline characteristic (Figure 4d, inset).
Figure 4.
(a–c) Typical TEM images of the nanosheet MnO2; (d) HRTEM images of the nanosheet MnO2. The inset of d shows that these nanosheets are polycrystalline.
The surface redox reaction, from which the pseudocapacitance originates, only occurs within a very thin layer of the active materials. Hence, the present ultrathin nanoarchitecture blocks (3–5 nm) can provide more beneficial transport routes for electrolyte ions to participate in redox reaction when applied as an electrochemical energy-storage device for a supercapacitor. Moreover, the interconnected 3D nickel backbone with outstanding metallic conductivity can offer an efficient electron transport pathway. Therefore, we foresee that the combination of these advantages can obtain an increased capacitance and improved rate performance. The nickel foam-supported MnO2 nanosheets were directly used as an electrode for electrochemical measurements without any binders or conductive additives in three-electrode systems using 1 M Na2SO4 aqueous solution as an electrolyte.
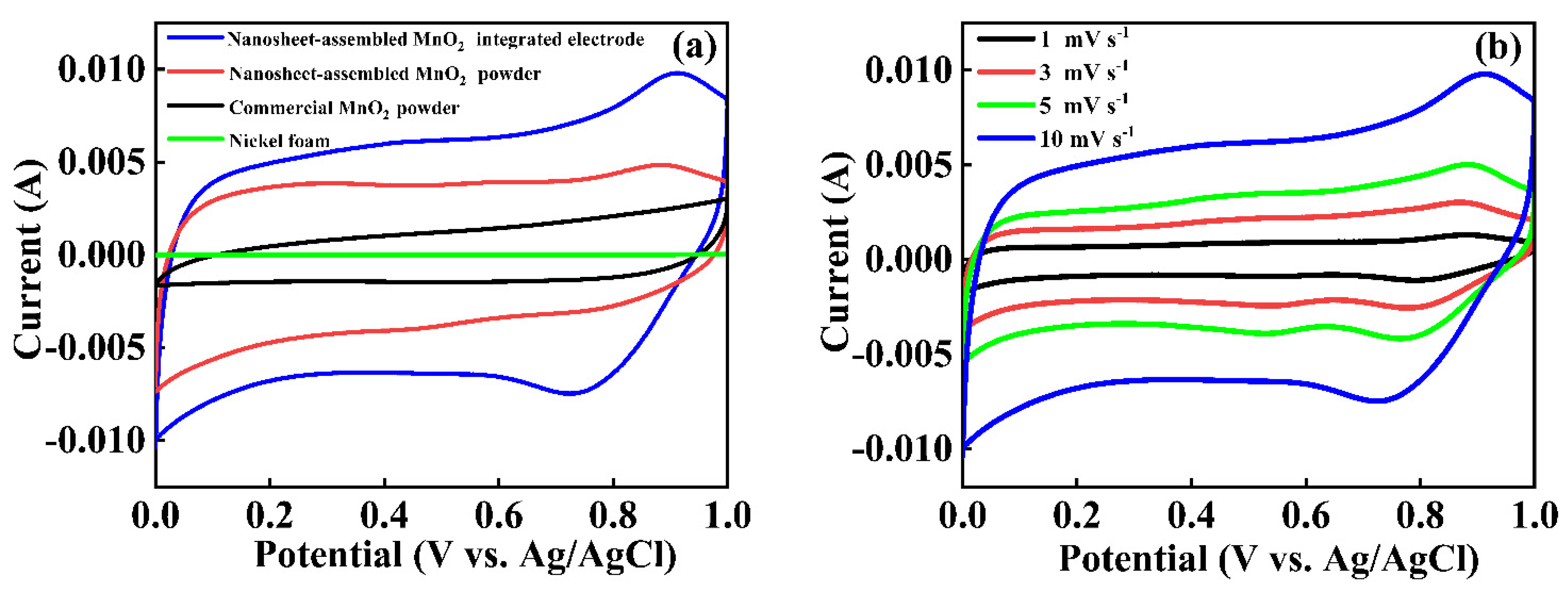
Firstly, cyclic voltammetry (CV) tests were carried out to evaluate the electrochemical properties of MnO2-based systems at a scan rate of 10 mV s−1. As shown in Figure 5a, it is noted that the CV curve of both nanosheet-assembled MnO2-integrated electrodes and powder electrodes showed significantly higher current and much larger enclosed area compared with those of pure nickel foam and commercial MnO2. This revealed a pseudocapacitive contribution from the MnO2 nanoarchitecture. In particular, the nanosheet-assembled MnO2-integrated electrode has the largest specific current among these MnO2-based electrodes and displays a nearly ideal rectangular shape. In contrast, the blank nickel foam has only negligible current, indicating a rather small contribution for the capacitance of an integrated electrode (Figure S6). Moreover, when the scan speed increases from 1 to 10 mV s−1, the nanosheet-assembled MnO2-integrated electrodes still exhibit quasi-rectangular-shaped CV curves and show approximately upper and lower symmetric oxidation and reduction peaks. This indicates a reversible reaction and ideal pseudocapacitive behavior, which is derived from the reversible Faradaic redox reaction between Mn3+ and Mn4+ according to the previous reports [36] (Figure 5b). As the scanning rate increased, there was no obvious shape deformation in rectangular CV curves except for a small shift of the peak position, demonstrating the favorably reversible and sF capacitive behaviors of nanosheet-assembled MnO2-integrated electrodes.
Figure 5.
(a) CV curves of MnO2-based electrode materials (nanosheet-assembled MnO2-integrated electrode, nanosheet-assembled MnO2 powder, and commercial MnO2 powder) and nickel foam at a scan rate of 10 mV s−1; (b) the CV curves of nanosheet-assembled MnO2-integrated electrode at different voltage scan rates, from 1 to 10 mV s−1.
The galvanostatic charge and discharge (GCD) measurements of MnO2-based electrodes were performed to evaluate the electrochemical specific capacitance in a potential window of 0–1 V at the current densities of 1 A g−1 (Figure 6a). In accordance with the CV results, all galvanostatic charge/discharge curves of MnO2-based electrodes show symmetrical features with a nearly linear slope, further verifying the dominating, highly reversible reaction and pseudocapacitive behavior of the fabricated electrode. The nanoarchitecture MnO2 electrodes exhibit higher capacitance than commercial MnO2 powder materials, indicating that nanostructured engineering is an effective method used to improve energy-storage performance of active materials. According to Equation (1) and the galvanostatic discharge curves, the specific gravimetric capacitances of nanosheet-assembled MnO2-integrated electrode, nanosheet-assembled MnO2 powder, and commercial MnO2 powder are 446 F g−1, 347 F g−1, and 139 F g−1, respectively. In accordance with Equation (2), the areal capacitance of MnO2-based electrodes based on CV curves was also calculated. At 10 mV s−1, nanosheet-assembled MnO2-integrated electrodes, nanosheet-assembled MnO2 powder, and commercial MnO2 powder deliver areal capacitances of 362 mF cm−2, 306 mF cm−2, and 102 mF cm−2, respectively. From the above data, it can be observed that the nanosheet-assembled MnO2-integrated electrodes exhibit the highest specific capacitances, suggesting the important role that integrated designs play in enhancing the electrochemical performance of MnO2-based electrodes.
Figure 6.
(a) GCD curves of MnO2-based electrode materials (nanosheet-assembled MnO2-integrated electrode, nanosheet-assembled MnO2 powder, and commercial MnO2 powder) at a scan rate of 1 A g−1; (b) the specific capacitance of nanosheet-assembled integrated electrode at different charge/discharge current densities (1 A g−1, 2 A g−1, 4 A g−1, 8 A g−1, and 16 A g−1); (c) comparative rate performance of MnO2-based electrode materials (1 A g−1, 2 A g−1, 4 A g−1, 8 A g−1, and 16 A g−1); and (d) cycle performance of MnO2-based electrode materials at a current density of 1 A g−1 for 3000 cycles (left: retention; right: Coulombic efficiency).
To further evaluate the performance of the nanosheet-assembled MnO2-integrated electrode, the galvanostatic charge/discharge testing is employed at various current densities, with the results shown in Figure 6c. The specific capacitances of nanosheet-assembled MnO2-integrated electrodes are calculated to be 446 F g−1, 386 F g−1, 345 F g−1, 299 F g−1, and 238 F g−1 at currents of 1 A g−1, 2 A g−1, 4 A g−1, 8 A g−1, and 16 A g−1, respectively. For the comparative electrochemical properties of three MnO2-based electrodes, the rate performance of the nanosheet and commercial powder also could be obtained from Figure 6c. In terms of specific capacitance and rate capability, the nanosheet-assemble MnO2-integrated electrode exhibits higher capacitance than both the MnO2 nanosheet and the commercial MnO2 powder electrode at different scan speeds, demonstrating the advantage of the integrated electrode. Such a specific capacitance for the nanosheet-assembled MnO2-integrated electrode is also higher than that of most previously reported materials (Table S1).
Long cycling stability is another important requirement to study the superiority of the as-prepared nanosheet-assembled MnO2-integrated electrode in supercapacitors. In this context, the cycling life test for the MnO2-based electrode is performed by repeating GCD test between 0 and 1 V at a current density of 1 A g−1, as depicted in Figure 6d. After 3000 cycles, the specific capacitance retention of nanosheet-assembled MnO2-integrated and powder electrodes could retain 95% and 90.3% of their initial value, respectively. In contrast, commercial MnO2 powder electrodes showed a lower value of 61.8% in the same potential window. Moreover, the Coulombic efficiency of MnO2-based electrodes was estimated, according to the reported method [37,38,39,40]. These MnO2-based electrodes can retain almost 100% after 3000 cycles. Such results further suggest that the nanosheet electrodes possess excellent cycle stability for the present MnO2-based materials. The integrated design leads to significant improvement of the specific capacitance, rate performance, and long-term stability.
Such an outstanding electrochemical performance of the nanosheet-assembled MnO2-integrated electrode comes from the unique integrated design strategy and nanoarchitecture engineering, which can increase conductivity and provide a significant amount of redox-active sites to have greater redox reaction. To support this, the available active sites (Z) are calculated from the specific capacitance of MnO2-based materials using the following equation [38,39,40,41,42]:
Z = CΔVM/F
In this equation, C, ΔV, M, and F are the specific capacitance, potential window, molecular weight of MnO2, and Faradaic constant, respectively. If Z value is 1, it indicates that all if the active sites participate in the redox reaction [38,39,40,41,42]. The calculated date of the active sites at 1 A g−1 shows that nanosheet-assembled MnO2-integrated electrodes and nanosheet-assembled MnO2 powder electrodes possess higher values of 0.4 and 0.31, respectively. Only 0.12 of the commercial MnO2 electrode has been involved in a redox reaction.
The charge storage mechanism of the nanosheet-assembled MnO2-integrated electrode is investigated using Dunn’s method to further validate the pseudocapacitive behavior [43,44,45,46]. The relationship between the measured CV current (i) and the sweep rate (ν) complies with the following power law:
which can be rewritten as follows:
where i presents the current at a given potential, ν stands for the scan rate, and a and b are adjustable parameters. The parameter b (0.5–1.0) can be determined from the slope of the linear plot log i versus log ν. It can be used to provide kinetic information about the electrochemical reactions in the supercapacitor. Overall, when b equals 0.5, the charge storage process belongs to the diffusion-controlled behavior. While b is 1.0, it is an ideal capacitive-controlled process. As shown in Figure 7, the b values of anodic and cathodic are fitted to be 0.874 and 0.837, respectively, which indicates that the present electrochemical response is mainly controlled by pseudocapacitive behavior.
i = aνb
log i = log a + blog ν
Figure 7.
Determination of the b value using the relationship between peak i and scan rate ν.
To gain further insight into the cause behind the differences in capacitance among the three electrodes from the point of view of the ion transport kinetic, the electrochemical impedance spectrum measurements were performed in the frequency range from 0.1 Hz to 100 kHz; the corresponding Nyquist plots are shown in Figure 8. It is clearly observed that the tested impedance spectrums of MnO2-based electrode exhibit a quasi-semicircle at high frequency and a straight line at low frequency. Based on the equivalent circuit model, such impedance data can be fitted as shown in the inset of Figure 8. At the high-frequency region, the intersection point of the semicircle on the X-axis represents the equivalent series resistance (Rs), including electrolyte resistance, intrinsic resistance of MnO2-based materials, and contact resistance at the electrode/collector interface [24,38,47,48,49,50]. The nanosheet-assembled MnO2-integrated electrode shows the lower Rs value of ~0.87 ohms when compared with other MnO2-based powder electrodes. This implies that an excellent conductivity and good interfacial contact between MnO2 nanosheets and metal nickel. Meanwhile, the nanosheet-assemble MnO2-integrated electrode has a lower charge transfer resistance (Rct) evaluated through the diameter of the semicircle located at the high-to-medium frequency. This suggests that the nanoarchitecture MnO2 can reduce the charge-transfer resistance and can provide a short path for ion diffusion. Meanwhile, the lower Rs and Rct values are also attributed to the binder-free nature of the electrode and a very tight connection between the nanosheets MnO2 film and metal nickel. Therefore, the EIS results clearly demonstrate that the integrated electrode exhibits favorable charge/discharge kinetics and good electrical conductivity, thusly showing excellent electrochemical performance.
Figure 8.
EIS plot of MnO2-based electrode in the frequency range from 0.01 Hz to 100 kHz. Inset: the electrical equivalent circuit.
4. Conclusions
In summary, we reported a simple, cost-effective, low temperature, and green chemical method used to grow nanosheets MnO2 directly on the porous metal substrate to prepare an integrated electrode that is binder-free and conductive-agent-free. Compared with other synthetic methods, the present strategy avoids using surfactants, electric power, and high-temperature treatments. The as-fabricated integrated electrodes also exhibit high electrochemical storage performance with a specific capacitance of 446 F g−1 at 1 A g−1 and a good cycle life. The excellent electrochemical performance of this nanosheet-assembled MnO2-integrated electrode is mainly attributed to its distinctive nanosheet building blocks and bind-free integrated design. The ultrathin thickness, sufficient spaces between the nanosheets, and good contact with substrate could greatly shorten the transport path of the ion/electron and provide more electroactive sites for electrochemical reaction. This work provides a promising strategy for the preparation of integrated electrodes through a simple and green method for next-generation, high performance energy-storage systems.
Supplementary Materials
The following are available online at https://www.mdpi.com/article/10.3390/cryst12010115/s1, Figure S1: Photographs of the three-electrode testing system, Figure S2: XRD pattern of the commercial MnO2 powder, Figure S3: SEM image of the pristine 3D macroporous nickel foam, Figure S4: SEM image of the MnO2 powder prepared by the low-temperature redox precipitation method, Figure S5: SEM image of the commercial MnO2 powder, Figure S6: CV curve of the pure nickel foam at 10 mV s−1, Table S1: Comparison of the supercapacitor performances of the reported MnO2-based electrodes in the aqueous electrolytes.
Author Contributions
Conceptualization, X.W. and X.Z.; methodology, X.Z. and Y.W.; investigation, X.W., X.Z. and Y.W.; writing—original draft preparation, X.Z. and X.W.; writing—review and editing, Y.W. and X.Z. All authors have read and agreed to the published version of the manuscript.
Funding
This research was funded by the National Natural Science Foundation of China (Project No. 22161036), the Foundation of Liaoning Key Laboratory of Chemical Additive Synthesis and Separation (Project No: ZJNK2008), the Natural Science Foundation of Liaoning Province (Project No: 20180550749), the Doctoral Scientific Research Foundation of Inner Mongolia Minzu University (Project No: BS422), and the Opening Foundation from Inner Mongolia Key Lab of Carbon Nanomaterials (Project No: MDK2018050).
Institutional Review Board Statement
Not applicable.
Informed Consent Statement
Not applicable.
Data Availability Statement
Not applicable.
Acknowledgments
X.Z. sincerely thanks the West Light Foundation’s Visiting Scholar Research Program.
Conflicts of Interest
The authors declare no conflict of interest.
References
- El-Kady, M.F.; Strong, V.; Dubin, S.; Kaner, R.B. Laser scribing of high-performance and flexible graphene-based electrochemical capacitors. Science 2012, 335, 1326–1330. [Google Scholar] [CrossRef] [PubMed] [Green Version]
- Liu, J.H.; Ji, L.; Wang, X.; Duan, L.M.; Zhou, J.Q.; Jia, Y.F.; Zeng, S.M.; Huang, K.K.; Geng, Z.B.; Wang, X.Y.; et al. Commercial-level energy storage via free-standing stacking electrodes. Matter 2019, 1, 1–16. [Google Scholar] [CrossRef] [Green Version]
- Jia, X.X.; Liu, C.F.; Neale, Z.G.; Yang, J.H.; Cao, G.Z. Active materials for aqueous zinc ion batteries: Synthesis, crystal structure, morphology, and electrochemistry. Chem. Rev. 2020, 120, 7795–7866. [Google Scholar] [CrossRef]
- Simon, P.; Gogotsi, Y. Materials for electrochemical capacitors. Nat. Mater. 2008, 7, 845–854. [Google Scholar] [CrossRef] [PubMed] [Green Version]
- Wang, X.; Li, X.Y.; Li, Q.; Li, H.S.; Xu, J.; Wang, H.; Zhao, G.X.; Lu, L.S.; Lin, X.Y.; Li, H.L.; et al. Improved electrochemical performance based on nanostructured SnS2@CoS2–rGO composite anode for sodium-ion batteries. Nano-Micro Lett. 2018, 10, 46–57. [Google Scholar] [CrossRef] [Green Version]
- Zhong, C.; Deng, Y.D.; Hu, W.B.; Qiao, J.L.; Zhang, L.; Zhang, J.J. A review of electrolyte materials and compositions for electrochemical supercapacitors. Chem. Soc. Rev. 2015, 44, 7484–7539. [Google Scholar] [CrossRef]
- Huang, M.; Li, F.; Dong, F.; Zhang, Y.X.; Zhang, L.L. MnO2-based nanostructures for high-performance supercapacitors. J. Mater. Chem. A 2015, 3, 21380–21423. [Google Scholar] [CrossRef]
- Huang, Z.H.; Song, Y.; Feng, D.Y.; Sun, Z.; Sun, X.Q.; Liu, X.X. High mass loading MnO2 with hierarchical nanostructures for supercapacitors. ACS Nano 2018, 12, 3557–3567. [Google Scholar] [CrossRef] [PubMed]
- Lang, X.; Hirata, A.; Fujita, T.; Chen, M.W. Nanoporous metal/oxide hybrid electrodes for electrochemical supercapacitors. Nat. Nanotechnol. 2011, 6, 232–236. [Google Scholar] [CrossRef]
- Sheberla, D.; Bachman, J.C.; Elias, J.S.; Sun, C.J.; Shao-Horn, Y.; Dincă, M. Conductive MOF electrodes for stable supercapacitors with high areal capacitance. Nat. Mater. 2017, 16, 220–224. [Google Scholar]
- Kwon, N.H.; Lee, K.G.; Kim, H.K.; Hwang, S.J. MnO2-based nanostructured materials for various energy applications. Mater. Chem. Front. 2021, 5, 3549–3575. [Google Scholar] [CrossRef]
- Zhang, Y.; Yuan, X.M.; Lu, W.B.; Yan, Y.S.; Zhu, J.W.; Chou, T.W. MnO2 based sandwich structure electrode for supercapacitor with large voltage window and high mass loading. Chem. Eng. J. 2019, 368, 525–532. [Google Scholar] [CrossRef]
- Mubarik, S.; Qureshi, N.; Sattar, Z.; Shaheen, A.; Kalsoom, A.; Imran, M.; Hanif, F. Synthetic approach to rice waste-derived carbon-based nanomaterials and their applications. Nanomanufacturing 2021, 1, 109–159. [Google Scholar] [CrossRef]
- Korkmaz, S.; Kariper, I.A. Graphene and graphene oxide based aerogels: Synthesis, characteristics and supercapacitor applications. J. Energy Storage 2020, 27, 101038–101049. [Google Scholar] [CrossRef]
- Ji, H.; Zhao, X.; Qiao, Z.; Jung, J.; Zhu, Y.; Lu, Y.; Zhang, L.L. Capacitance of carbon-based electrical double-layer capacitors. Nat. Commun. 2014, 5, 3317–3323. [Google Scholar] [CrossRef]
- Yu, G.H.; Hu, L.B.; Liu, N.; Wang, H.L.; Vosgueritchian, M.; Yang, Y.; Cui, Y.; Bao, Z.N. Enhancing the supercapacitor performance of graphene/MnO2 nanostructured electrodes by conductive wrapping. Nano Lett. 2011, 11, 4438–4442. [Google Scholar] [CrossRef]
- Li, M.; Xiao, H.; Zhang, T.; Li, Q.; Zhao, Y. Activated carbon fiber derived from sisal with large specific surface area for high-performance supercapacitors. ACS Sustain. Chem. Eng. 2019, 7, 4716–4723. [Google Scholar] [CrossRef]
- Liu, R.; Jiang, R.; Chu, Y.H.; Yang, W.D. Facile fabrication of MnO2/graphene/Ni foam composites for high-performance supercapacitors. Nanomaterials 2021, 11, 2736. [Google Scholar] [CrossRef]
- Zhang, L.; Zhang, X.; Wang, J.; Seveno, D.; Fransaer, J.; Locquet, J.P.; Seo, J.W. Carbon nanotube fibers decorated with MnO2 for wire-shaped supercapacitor. Molecules 2021, 26, 3479. [Google Scholar] [CrossRef]
- Wang, J.G.; Kang, F.Y.; Wei, B.Q. Engineering of MnO2-based nanocomposites for high-performance supercapacitors. Prog. Mater. Sci. 2015, 74, 51–124. [Google Scholar] [CrossRef]
- Xu, P.; Wei, B.Q.; Cao, Z.Y.; Zheng, J.; Gong, K.; Li, F.X.; Yu, J.Y.; Li, Q.W.; Lu, W.B.; Byun, J.H.; et al. Stretchable wire-shaped asymmetric supercapacitors based on pristine and MnO2 coated carbon nanotube fibers. ACS Nano 2015, 9, 6088–6096. [Google Scholar] [CrossRef] [PubMed]
- Jabeen, N.; Xia, Q.Y.; Savilov, S.V.; Aldoshin, S.M.; Yu, Y.; Xia, H. Enhanced pseudocapacitive performance of α-MnO2 by cation preinsertion. ACS Appl. Mater. Interfaces 2016, 8, 33732–33740. [Google Scholar] [CrossRef]
- Grote, F.; Kühnel, R.S.; Balducci, A.; Lei, Y. Template assisted fabrication of free-standing MnO2 nanotube and nanowire arrays. Appl. Phys. Lett. 2014, 104, 53904–53907. [Google Scholar] [CrossRef] [Green Version]
- Pang, M.J.; Long, G.H.; Jiang, S.; Ji, Y.; Han, W.; Wang, B.; Liu, X.L.; Xi, Y.L. One pot low-temperature growth of hierarchical δ-MnO2 nanosheets on nickel foam for supercapacitor applications. Electrochim. Acta 2015, 161, 297–304. [Google Scholar] [CrossRef]
- Wang, P.; Zhao, Y.J.; Wen, L.X.; Chen, J.F.; Lei, Z.G. Ultrasound-microwave-assisted synthesis of MnO2 supercapacitor electrode materials. Ind. Eng. Chem. Res. 2014, 53, 20116–20123. [Google Scholar] [CrossRef]
- Wang, D.T.; Wang, K.; Sun, L.; Wu, H.C.; Wang, J.; Zhao, Y.X.; Yan, L.J.; Luo, Y.F.; Jiang, K.L.; Li, Q.Q.; et al. MnO2 nanoparticles anchored on carbon nanotubes with hybrid supercapacitor-battery behavior for ultrafast lithium storage. Carbon 2018, 139, 145–155. [Google Scholar] [CrossRef]
- Chen, Q.; Meng, Y.N.; Hu, C.G.; Zhao, Y.; Shao, H.B.; Chen, N.; Qu, L.T. MnO2-modified hierarchical graphene fiber electrochemical supercapacitor. J. Power Sources 2014, 247, 32–39. [Google Scholar] [CrossRef]
- Subramanian, V.; Zhu, H.; Wei, B. Nanostructured MnO2: Hydrothermal synthesis and electrochemical properties as a supercapacitor electrode material. J. Power Sources 2006, 159, 361–364. [Google Scholar] [CrossRef]
- Khan, Z.; Park, S.; Hwang, S.M.; Yang, J.; Lee, Y.; Song, H.K.; Kim, Y.; Ko, H. Hierarchical urchin-shaped α-MnO2 on graphene-coated carbon microfibers: A binder-free electrode for rechargeable aqueous Na-air battery. NPG Asia Mater. 2016, 159, 294–302. [Google Scholar] [CrossRef]
- Khan, Z.; Senthilkumar, B.; Park, S.O.; Park, S.; Yang, J.; Lee, J.H.; Song, H.K.; Kim, Y.; Kwak, S.K.; Ko, H. Carambola-shaped VO2 nanostructures: A binder-free air electrode for an aqueous Na-air battery. J. Mater. Chem. A 2017, 5, 2037–2044. [Google Scholar] [CrossRef]
- Du, X.H.; Qin, Z.; Li, Z.J. Free-standing rGO-CNT nanocomposites with excellent rate capability and cycling stability for Na2SO4 aqueous electrolyte supercapacitors. Nanomaterials 2021, 11, 1420. [Google Scholar] [CrossRef]
- Wang, X.L.; Zhao, X.Y.; Wang, Y. A Nanosheet-assembled SnO2-integrated anode. Molecules 2021, 26, 6108. [Google Scholar] [CrossRef]
- Huang, Y.L.; Bian, S.W. Vacuum-filtration assisted layer-by-layer strategy to design MXene/carbon nanotube@MnO2 all-in-one supercapacitors. J. Mater. Chem. A 2021, 9, 21347–21356. [Google Scholar] [CrossRef]
- Guo, C.; Liu, H.M.; Li, J.F.; Hou, Z.G.; Liang, J.W.; Zhou, J.; Zhu, Y.C.; Qian, Y.T. Ultrathin δ-MnO2 nanosheets as cathode for aqueous rechargeable zinc ion battery. Electrochim. Acta 2019, 304, 370–377. [Google Scholar] [CrossRef]
- Xia, H.; Lai, M.; Lu, L. Nanoflaky MnO2/carbon nanotube nanocomposites as anode materials for lithium-ion batteries. J. Mater. Chem. 2010, 20, 6896–6902. [Google Scholar] [CrossRef]
- Jabeen, N.; Hussain, A.; Xia, Q.Y.; Sun, S.; Zhu, J.W.; Xia, H. High-Performance 2.6 V Aqueous Asymmetric Supercapacitors based on In Situ Formed Na0.5MnO2 Nanosheet Assembled Nanowall Arrays. Adv. Mater. 2017, 29, 1700804–1700812. [Google Scholar] [CrossRef]
- Kundu, M.; Liu, L.F. Direct growth of mesoporous MnO2 nanosheet arrays on nickel foam current collectors for high-performance pseudocapacitors. J. Power Sources 2013, 243, 676–681. [Google Scholar] [CrossRef]
- George, G.; Jackson, S.L.; Luo, C.Q.; Fang, D.; Luo, D.; Hu, D.L.; Wen, J.G.; Luo, Z.P. Effect of doping on the performance of high-crystalline SrMnO3 perovskite nanofibers as a supercapacitor electrode. Ceram. Int. 2018, 44, 21982–21992. [Google Scholar] [CrossRef]
- Hu, Q.L.; Yue, B.; Yang, D.T.; Zhang, Z.X.; Wang, Y.; Liu, J.H. Electrochemical and magnetic properties of electrospun SmFeO3 and SmCoO3 nanofibers. J. Am. Ceram. Soc. 2021, 105, 1–10. [Google Scholar]
- Hu, Q.L.; Yue, B.; Yang, F.; Shao, H.Y.; Bao, M.; Wang, Y.; Liu, J.H. Electrochemical and magnetic properties of perovskite type RMnO3 (R = La, Nd, Sm, Eu) nanofibers. J. Alloy. Compd. 2021, 872, 159727–159739. [Google Scholar] [CrossRef]
- Chang, J.; Lee, W.; Mane, R.S.; Cho, B.W.; Han, S.H. Morphology-dependent electrochemical supercapacitor properties of indium oxide. Electrochem. Solid-State Lett. 2008, 11, A9–A11. [Google Scholar] [CrossRef]
- Srinivasan, V.; Weidner, J.W. Studies on the capacitance of nickel oxide films: Effect of heating temperature and electrolyte concentration. J. Electrochem. Soc. 2000, 147, 880–885. [Google Scholar] [CrossRef]
- Wang, J.; Polleux, J.; Lim, J.; Dunn, B. Pseudocapacitive contributions to electrochemical energy storage in TiO2 (Anatase) nanoparticles. J. Phys. Chem. C 2007, 111, 14925–14931. [Google Scholar] [CrossRef]
- Liu, J.L.; Wang, J.; Xu, C.H.; Jiang, H.; Li, C.Z.; Zhang, L.L.; Lin, J.Y.; Shen, Z.X. Advanced energy storage devices: Basic principles, analytical methods, and rational materials design. Adv. Sci. 2018, 5, 1700322–1700340. [Google Scholar] [CrossRef]
- Okhay, O.; Tkach, A. Graphene/reduced graphene oxide-carbon nanotubes composite electrodes: From capacitive to battery-type behavior. Nanomaterials 2021, 11, 1240. [Google Scholar] [CrossRef] [PubMed]
- Li, X.Y.; Han, Z.Y.; Yang, W.H.; Li, Q.; Li, H.S.; Xu, J.; Li, H.L.; Liu, B.; Zhao, H.G.; Li, S.D.; et al. 3D ordered porous hybrid of ZnSe/N-doped carbon with anomalously high Na+ mobility and ultrathin solid electrolyte interphase for sodium-ion batteries. Adv. Funct. Mater. 2021, 31, 2106194–2106206. [Google Scholar] [CrossRef]
- Xu, B.; Yu, L.; Sun, M.; Ye, F.; Zhong, Y.H.; Cheng, G.; Wang, H.; Mai, Y.L. One-pot hydrothermal synthesis of novel 3D starfish-like δ-MnO2 nanosheets on carbon fiber paper for high-performance supercapacitors. RSC Adv. 2017, 7, 14910–14916. [Google Scholar] [CrossRef] [Green Version]
- Li, S.H.; Qi, L.; Lu, L.H.; Wang, H.Y. Carbon spheres-assisted strategy to prepare mesoporous manganese dioxide for supercapacitor applications. J. Solid State Electrochem. 2013, 197, 29–37. [Google Scholar] [CrossRef]
- Chung, Y.C.; Julistian, A.; Saravanan, L.; Chen, P.R.; Xu, B.C.; Xie, P.J.; Lo, A.Y. Hydrothermal synthesis of CuO/RuO2/MWCNT nanocomposites with morphological variants for high efficient supercapacitors. Catalysts 2022, 12, 23. [Google Scholar] [CrossRef]
- Ansari, S.A.; Parveen, N.; Al-Othoum, M.A.S.; Ansari, M.O. Development of binder free interconnected 3D flower of NiZn2O4 as an advanced electrode materials for supercapacitor applications. Crystals 2022, 12, 14. [Google Scholar] [CrossRef]
Publisher’s Note: MDPI stays neutral with regard to jurisdictional claims in published maps and institutional affiliations. |
© 2022 by the authors. Licensee MDPI, Basel, Switzerland. This article is an open access article distributed under the terms and conditions of the Creative Commons Attribution (CC BY) license (https://creativecommons.org/licenses/by/4.0/).







