Controlled Morphology and Its Effects on the Thermoelectric Properties of SnSe2 Thin Films
Abstract
1. Introduction
2. Materials and Methods
2.1. Synthesis of SnSe2 Nano Structures
2.2. Preparation of SnSe2 Thin Films
2.3. Characterizations
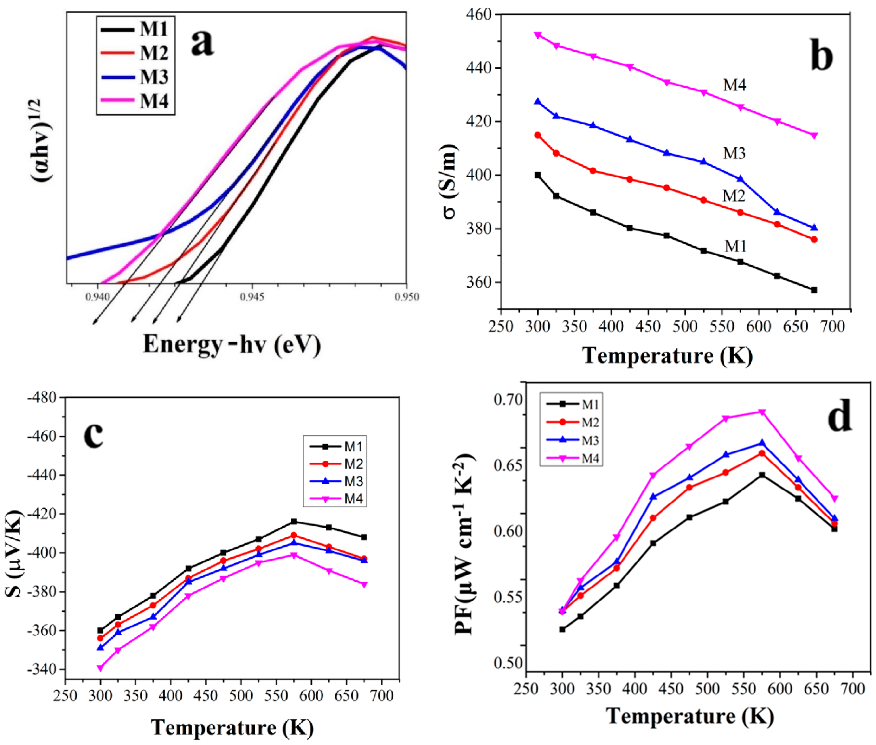
3. Result and Discussion
XRD
4. Conclusions
Author Contributions
Funding
Conflicts of Interest
References
- Minnich, A.J.; Dresselhaus, M.S.; Ren, Z.F.; Chen, G. Bulk nanostructured thermoelectric materials: Current research and future prospects. Energy Environ. Sci. 2009, 2, 466. [Google Scholar] [CrossRef]
- Mahan, G.D. Introduction to thermoelectrics. APL Mater. 2016, 4, 104806. [Google Scholar] [CrossRef]
- Shi, X.; Yang, J.; Salvador, J.R.; Chi, M.; Cho, J.Y.; Wang, H.; Bai, S.; Yang, J.; Zhang, W.; Chen, L. Multiple-Filled Skutterudites: High Thermoelectric Figure of Merit through Separately Optimizing Electrical and Thermal Transports. J. Am. Chem. Soc. 2012, 134, 2842. [Google Scholar] [CrossRef]
- Hung, L.T.; Nong, N.V.; Linderoth, S.; Pryds, N. Segmentation of low-cost high efficiency oxide-based thermoelectric materials. Phys. Status Solidi (a) 2015, 212, 767–774. [Google Scholar] [CrossRef]
- Wolf, M.; Hinterding, R.; Feldhoff, A. High Power Factor vs. High zT—A Review of Thermoelectric Materials for High-Temperature Application. Entropy 2019, 21, 1058. [Google Scholar] [CrossRef]
- Shuai, J.; Mao, J.; Song, S.; Zhu, Q.; Sun, J.; Wang, Y.; He, R.; Zhou, J.; Chen, G.; Singh, D.J.; et al. Tuning the carrier scattering mechanism to effectively improve the thermoelectric properties. Energy Environ. Sci. 2017, 10, 799–807. [Google Scholar] [CrossRef]
- Zhao, L.-D.; Dravid, V.P.; Kanatzidis, M.G. The panoscopic approach to high performance thermoelectrics. Energy Environ. Sci. 2014, 7, 251–268. [Google Scholar] [CrossRef]
- Achimovičová, M.; Silva, K.L.D.; Daneu, N.; Rečnik, A.; Indris, S.; Hain, H.; Scheuermann, M.; Hahn, H.; Šepelák, V. Structural and morphological study of mechanochemically synthesized tin diselenide. J. Mater. Chem. 2011, 21, 5873. [Google Scholar] [CrossRef]
- Shinde, P.; Rout, C.S. Advances in synthesis, properties and emerging applications of tin sulfides and its heterostructures. Mater. Chem. Front. 2021, 5, 516–556. [Google Scholar] [CrossRef]
- Cain, J.D.; Hanson, E.D.; Shi, F.; Dravid, V.P. Emerging opportunities in the two-dimensional chalcogenide systems and architecture. Curr. Opin. Solid State Mater. Sci. 2016, 20, 374–387. [Google Scholar] [CrossRef]
- Bletskan, D. Electronic structure of 2H-SnSe2: Ab initio modeling and comparison with experiment. Semicond. Phys. Quantum Electron. Optoelectron. 2016, 19, 98–108. [Google Scholar] [CrossRef][Green Version]
- Shafique, A.; Samad, A.; Shin, Y.-H. Ultra low lattice thermal conductivity and high carrier mobility of monolayer SnS2 and SnSe2: A first principles study. Phys. Chem. Chem. Phys. 2017, 19, 20677–20683. [Google Scholar] [CrossRef] [PubMed]
- Rahman, A.; Kim, H.J.; Noor-A-Alam, M.; Shin, Y.-H. A theoretical study on tuning band gaps of monolayer and bilayer SnS2 and SnSe2 under external stimuli. Curr. Appl. Phys. 2019, 19, 709–714. [Google Scholar] [CrossRef]
- Huang, Y.; Xu, K.; Wang, Z.; Shifa, T.A.; Wang, Q.; Wang, F.; Jiang, C.; He, J. Designing the shape evolution of SnSe2nanosheets and their optoelectronic properties. Nanoscale 2015, 7, 17375–17380. [Google Scholar] [CrossRef] [PubMed]
- Ding, Y.; Xiao, B.; Tang, G.; Hong, J. Transport Properties and High Thermopower of SnSe2: A Full Ab-Initio Investigation. J. Phys. Chem. C 2016, 121, 225–236. [Google Scholar] [CrossRef]
- Tyagi, K.; Gahtori, B.; Bathula, S.; Singh, N.K.; Bishnoi, S.; Auluck, S.; Srivastava, A.K.; Dhar, A. Electrical transport and mechanical properties of thermoelectric tin selenide. RSC Adv. 2016, 6, 11562–11569. [Google Scholar] [CrossRef]
- Schrade, M.; Fjeld, H.; Norby, T.; Finstad, T.G. Versatile apparatus for thermoelectric characterization of oxides at high temperatures. Rev. Sci. Instrum. 2014, 85, 103906. [Google Scholar] [CrossRef] [PubMed]
- Assili, K.; Gonzalez, O.; Alouani, K.; Vilanova, X. Structural, morphological, optical and sensing properties of SnSe and SnSe2 thin films as a gas sensing material. Arab. J. Chem. 2020, 13, 1229–1246. [Google Scholar] [CrossRef]
- Gibbs, Z.M.; Kim, H.-S.; Wang, H.; Snyder, G.J. Erratum: “Band gap estimation from temperature dependent Seebeck measurement—Deviations from the 2e|S|maxTmax relation” [Appl. Phys. Lett. 106, 022112 (2015)]. Appl. Phys. Lett. 2016, 108, 209901. [Google Scholar] [CrossRef]
- Hong, M.; Wang, Y.; Feng, T.; Sun, Q.; Xu, S.; Matsumura, S.; Pantelides, S.T.; Zou, J.; Chen, Z.-G. Strong Phonon–Phonon Interactions Securing Extraordinary Thermoelectric Ge1–xSbxTe with Zn-Alloying-Induced Band Alignment. J. Am. Chem. Soc. 2018, 141, 1742–1748. [Google Scholar] [CrossRef]
- Hong, M.; Lyv, W.; Li, M.; Xu, S.; Sun, Q.; Zou, J.; Chen, Z.G. Rashba Effect Maximizes Thermoelectric Performance of GeTe Derivatives. Joule 2020, 4, 2030–2043. [Google Scholar] [CrossRef]
- Akshay, V.R.; Suneesh, M.V.; Vasundhara, M. Tailoring Thermoelectric Properties through Structure and Morphology in Chemically Synthesized n-Type Bismuth Telluride Nanostructures. Inorg. Chem. 2017, 56, 6264–6274. [Google Scholar] [CrossRef] [PubMed]
- Hong, M.; Zheng, K.; Lyv, W.; Li, M.; Qu, X.; Sun, Q.; Xu, S.; Zou, J.; Chen, Z.-G. Computer-Aided Design of High-Efficiency Gete-Based Thermoelectric Devices. Energy Environ. Sci. 2020, 13, 1856–1864. [Google Scholar] [CrossRef]
- Hong, M.; Lyu, W.; Wang, Y.; Zou, J.; Chen, Z.G. Establishing the Golden Range of Seebeck Coefficient for Maximizing Thermoelectric Performance. J. Am. Chem. Soc. 2020, 142, 2672–2681. [Google Scholar] [CrossRef] [PubMed]
- Xu, P.; Fu, T.; Xin, J.; Liu, Y.; Ying, P.; Zhao, X.; Pan, H.; Zhu, T. Anisotropic thermoelectric properties of layered compound SnSe2. Sci. Bull. 2017, 62, 1663–1668. [Google Scholar] [CrossRef]
- Pham, A.-T.; Vu, T.H.; Cheng, C.; Trinh, T.L.; Lee, J.-E.; Ryu, H.; Hwang, C.; Mo, S.-K.; Kim, J.; Zhao, L.-D.; et al. High-Quality SnSe2 Single Crystals: Electronic and Thermoelectric Properties. ACS Appl. Energy Mater. 2020, 3, 10787–10792. [Google Scholar] [CrossRef]




Publisher’s Note: MDPI stays neutral with regard to jurisdictional claims in published maps and institutional affiliations. |
© 2021 by the authors. Licensee MDPI, Basel, Switzerland. This article is an open access article distributed under the terms and conditions of the Creative Commons Attribution (CC BY) license (https://creativecommons.org/licenses/by/4.0/).
Share and Cite
Siyar, M.; Farid, M.; Khan, H.; Umar, M.A.; Tanveer, W.H.; Safdar, A. Controlled Morphology and Its Effects on the Thermoelectric Properties of SnSe2 Thin Films. Crystals 2021, 11, 942. https://doi.org/10.3390/cryst11080942
Siyar M, Farid M, Khan H, Umar MA, Tanveer WH, Safdar A. Controlled Morphology and Its Effects on the Thermoelectric Properties of SnSe2 Thin Films. Crystals. 2021; 11(8):942. https://doi.org/10.3390/cryst11080942
Chicago/Turabian StyleSiyar, Muhammad, Maroosha Farid, Haad Khan, Malik Adeel Umar, Waqas Hassan Tanveer, and Amna Safdar. 2021. "Controlled Morphology and Its Effects on the Thermoelectric Properties of SnSe2 Thin Films" Crystals 11, no. 8: 942. https://doi.org/10.3390/cryst11080942
APA StyleSiyar, M., Farid, M., Khan, H., Umar, M. A., Tanveer, W. H., & Safdar, A. (2021). Controlled Morphology and Its Effects on the Thermoelectric Properties of SnSe2 Thin Films. Crystals, 11(8), 942. https://doi.org/10.3390/cryst11080942

