Influence of Synthesis-Related Microstructural Features on the Electrocaloric Effect for 0.9Pb(Mg1/3Nb2/3)O3–0.1PbTiO3 Ceramics
Abstract
1. Introduction
2. Materials and Methods
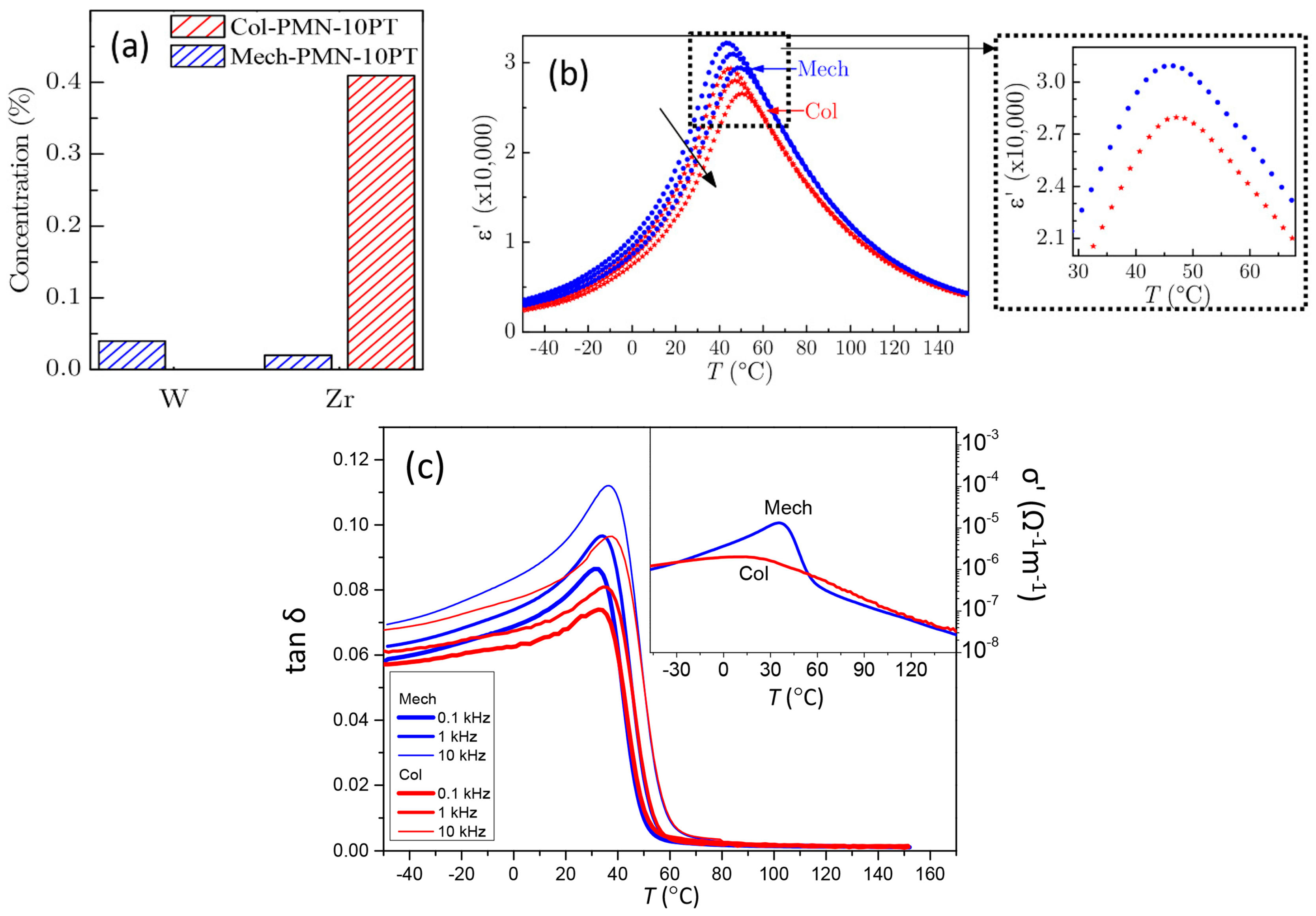
3. Results and Discussion
4. Conclusions
Supplementary Materials
Author Contributions
Funding
Institutional Review Board Statement
Informed Consent Statement
Data Availability Statement
Acknowledgments
Conflicts of Interest
References
- Vrabelj, M.; Ursic, H.; Kutnjak, Z.; Rozic, B.; Drnovsek, S.; Bencan, A.; Bobnar, V.; Fulanovic, L.; Malic, B. Large electrocaloric effect in grain-size-engineered 0.9Pb(Mg1/3Nb2/3)O3–0.1PbTiO3. J. Eur. Ceram. Soc. 2016, 36, 75–80. [Google Scholar] [CrossRef]
- Rožič, B.; Kosec, M.; Uršič, H.; Holc, J.; Malič, B.; Zhang, Q.M.; Blinc, R.; Pirc, R.; Kutnjak, Z. Large electrocaloric effect in grain-size-engineered 0.9Pb(Mg1/3Nb2/3)O3–0.1PbTiO3. J. Appl. Phys. 2011, 110, 1–5. [Google Scholar]
- Moya, X.; Kar-Narayan, S.; Mathur, N.D. Caloric materials near ferroic phase transitions. Nat. Mater. 2014, 13, 439–450. [Google Scholar] [CrossRef]
- Fulanović, L.; Bradeško, A.; Novak, N.; Malič, B.; Bobnar, V. Relation between dielectric permittivity and electrocaloric effect under high electric fields in the Pb(Mg1/3Nb2/3)O3-based ceramics. J. Appl. Phys. 2020, 127, 184102. [Google Scholar] [CrossRef]
- Plaznik, U.; Kitanovski, A.; Rozic, B.; Malic, B.; Ursic, H.; Drnovsek, S.; Cilensek, J.; Vrabelj, M.; Poredos, A.; Kutnjak, Z. Bulk relaxor ferroelectric ceramics as a working body for an electrocaloric cooling device. Appl. Phys. Lett. 2015, 106, 043903. [Google Scholar] [CrossRef]
- Lu, S.G.; Rozic, B.; Zhang, Q.M.; Kutnjak, Z.; Li, X.; Furman, E.; Gorny, L.J.; Lin, M.; Malic, B.; Kosec, M.; et al. Organic and inorganic relaxor ferroelectrics with giant electrocaloric effect. Appl. Phys. Lett. 2010, 97, 162904. [Google Scholar] [CrossRef]
- Valant, M. Electrocaloric materials for future solid-state refrigeration technologies. Prog. Mater. Sci. 2012, 57, 980–1090. [Google Scholar] [CrossRef]
- Nair, B.; Usui, T.; Crossley, S.; Kurdi, S.; Guzmán-Verri, G.G.; Moya, X.; Hirose, S.; Mathur, N.D. Large electrocaloric effects in oxide multilayer capacitors over a wide temperature range. Nature 2019, 575, 468–472. [Google Scholar] [CrossRef]
- Moya, X.; Defay, E.; Mathur, N.D.; Hirose, S. Electrocaloric effects in multilayer capacitors for cooling applications. MRS Bull. 2018, 43, 291–294. [Google Scholar] [CrossRef]
- Fulanović, L.; Drnovšek, S.; Uršič, H.; Vrabelj, M.; Kuščer, D.; Makarovič, K.; Bobnar, V.; Kutnjak, Z.; Malič, B. Multilayer 0.9Pb(Mg1/3Nb2/3)O3–0.1PbTiO3 elements for electrocaloric cooling. J. Eur. Ceram. Soc. 2017, 37, 599–603. [Google Scholar] [CrossRef]
- Fulanović, L.; Koruza, J.; Novak, N.; Weyland, F.; Malič, B.; Bobnar, V. Fatigue-less electrocaloric effect in relaxor Pb(Mg1/3Nb2/3)O3 multilayer elements. J. Eur. Ceram. Soc. 2017, 37, 5105–5108. [Google Scholar] [CrossRef]
- Gevorgian, S. Ferroelectrics in Microwave Devces, Circuits and Systems, 1st ed.; Springer: London, UK, 2009. [Google Scholar]
- Neusel, C.; Jelitto, H.; Schmidt, D.; Janssen, R.; Felten, F.; Schneider, G.A. Thickness-dependence of the breakdown strength: Analysis of the dielectricand mechanical failure. J. Eur. Ceram. Soc. 2015, 35, 113–123. [Google Scholar] [CrossRef]
- Lee, H.Y.; Cho, K.H.; Nam, H.-D. Grain size and temperature dependence of electrical breakdown in BaTiO3 ceramic. Ferroelectrics 2006, 334, 165–169. [Google Scholar] [CrossRef]
- Owate, I.O.; Freer, R. Ac breakdown characteristics of ceramic materials. J. Appl. Phys. 1992, 72, 2418–2422. [Google Scholar] [CrossRef]
- Xu, X.; Hilmas, G.E. Effects of Ba6Ti17O40 on the dielectric properties of Nb-doped BaTiO3 ceramic. J. Am. Ceram. Soc. 2006, 89, 2496–2501. [Google Scholar] [CrossRef]
- Gerson, R.; Marshall, T.C. Dielectric breakdown of porous ceramics. J. Appl. Phys. 1959, 30, 1650–1653. [Google Scholar] [CrossRef]
- Tan, C.Y.; Yaghoubi, A.; Ramesh, S.; Adzila, S.; Purbolaksono, J.; Hassan, M.A.; Kutty, M. Sintering and mechanical properties of MgO-doped nanocrystalline hydroxyapatite. Ceram. Int. 2013, 39, 8979–8983. [Google Scholar] [CrossRef]
- Shrout, T.R.; Swartz, S.L. Dielectric properties of pyrochlore lead magnesium niobate. Mat. Res. Bull. 1983, 18, 663–667. [Google Scholar] [CrossRef]
- Swartz, S.L.; Shrout, T.R. Fabrication of perovskite lead magnesium niobate. Mat. Res. Bull. 1982, 17, 1245–1250. [Google Scholar] [CrossRef]
- Swartz, S.L.; Shrout, T.R.; Schulze, W.A.; Cross, L.E. Dielectric properties of lead-magnesium niobate ceramics. J. Am. Ceram. Soc. 1984, 67, 311–314. [Google Scholar] [CrossRef]
- Baláž, P.; Achimovičová, M.; Baláž, M.; Billik, P.; Cherkezova-Zheleva, Z.; Criado, J.M.; Delogu, F.; Dutková, E.; Gaffet, E.; Gotor, F.J.; et al. Hallmarks of mechanochemistry: From nanoparticles to technology. Chem. Soc. Rev. 2013, 42, 7571–7637. [Google Scholar] [CrossRef]
- Ursic, H.; Bencan, A.; Drazic, G.; Esteves, G.; Jones, J.L.; Usher, T.-M.; Rojac, T.; Drnovsek, S.; Deluca, M.; Jouin, J.; et al. Unusual structural-disorder stability of mechanochemically derived-Pb(Sc0.5Nb0.5)O3. J. Mater. Chem. C 2015, 3, 10309–10315. [Google Scholar] [CrossRef]
- Rojac, T.; Benčan, A.; Uršič, H.; Malič, B.; Kosec, M. Synthesis of a Li- and Ta-modified (K,Na)NbO3 solid solution by mechanochemical activation. J. Am. Ceram. Soc. 2008, 91, 3789–3791. [Google Scholar] [CrossRef]
- Baek, J.; Isobe, T.; Senna, M. Synthesis of pyrochlore-free 0.9Pb(Mg1/3Nb2/3)O3–0.1PbTiO3 ceramics via a soft mechanochemical route. J. Am. Ceram. Soc. 1997, 81, 973–981. [Google Scholar]
- Wang, J.; Wan, D.M.; Xue, J.M.; Ng, W.B. Mechanochemical synthesis of 0.9Pb(Mg1/3Nb2/3)O3–0.1PbTiO3 from mixes oxides. Adv. Funct. Mater. 1999, 11, 210–213. [Google Scholar] [CrossRef]
- Algueró, M.; Moure, A.; Pardo, L.; Holc, J.; Kosec, M. Processing by mechanosynthesis and properties of piezoelectric Pb(Mg1/3Nb2/3)O3–PbTiO3 with different compositions. Acta Mater. 2006, 54, 501–511. [Google Scholar] [CrossRef]
- Kuščer, D.; Holc, J.; Kosec, M.; Meden, A. Mechano-synthesis of lead magnesium-niobate ceramics. J. Am. Ceram. Soc. 2006, 89, 3081–3088. [Google Scholar] [CrossRef]
- Correia, T.; Zhang, Q. Electrocaloric Materials: New Generation of Coolers, 1st ed.; Springer: Berlin/Heidelberg, Germany, 2014. [Google Scholar]
- Kutnjak, Z.; Rožič, B.; Pirc, R. Electrocaloric Effect: Theory, Measuring, and Applications. In Wiley Encyclopedia of Electrical and Electronics Engineering; John Wiley & Sons: Hoboken, NJ, USA, 2015; pp. 1–19. [Google Scholar]
- Ursic, H.; Vrabelj, M.; Fulanovic, L.; Bradesko, A.; Drnovsek, S.; Malic, B. Specific heat capacity and thermal conductivity of the electrocaloric (1−x)Pb(Mg1/3Nb2/3O3–xPbTiO3 ceramics between room temperature and 300 °C. J. Microelectron. Electron. Compon. Mater. Inf. MIDEM 2015, 45, 260–265. [Google Scholar]
- Rozic, B.; Malic, B.; Ursic, H.; Holc, J.; Kosec, M.; Neese, B.; Zhang, Q.M.; Kutnjak, Z. Direct Measurements of the Giant Electrocaloric Effect in Soft and Solid Ferroelectric Materials. Ferroelectrics 2010, 405, 26–31. [Google Scholar] [CrossRef]
- Perantie, J.; Tailor, H.N.; Hagberg, J.; Jantunen, H.; Ye, Z.-G. Electrocaloric properties in relaxor ferroelectric (1-x)Pb(Mg1/3Nb2/3)O3–xPbTiO3 system. J. Appl. Phys. 2013, 114, 174105. [Google Scholar] [CrossRef]
- Shvartsman, V.V.; Kholkin, A.L. Evolution of nanodomains in 0.9PbMg1/3Nb2/3O3–0.1PbTiO3 single crystals. J. Appl. Phys. 2007, 101, 064108. [Google Scholar] [CrossRef]
- Rodriguez, B.J.; Jesse, S.; Morozovska, A.N.; Svechnikov, S.V.; Kiselev, D.A.; Kholkin, A.L.; Bokov, A.A.; Ye, Z.-G.; Kalinin, S.V. Real space mapping of polarization dynamics and hysteresis loop formation in relaxor-ferroelectric PbMg1/3Nb2/3O3–PbTiO3 solid solutions. J. Appl. Phys. 2010, 108, 042006. [Google Scholar] [CrossRef]
- Bai, F.; Li, J.F.; Viehland, D. Domain hierarchy in annealed (001)-oriented Pb(Mg1/3Nb2/3)O3-x%PbTiO3 single crystals. Appl. Phys. Lett. 2004, 85, 2313–2315. [Google Scholar] [CrossRef]
- Ursic, H.; Drnovsek, S.; Malic, B. Complex domain structure in polycrystalline Pb(Sc0.5Nb0.5)O3. J. Phys. D Appl. Phys. 2016, 49, 115304. [Google Scholar] [CrossRef]
- Huebner, W.; Xue, W.; Lu, P.W. Effect of tungsten additions on the fieldinduced piezoelectric properties of Pb(Mg1/3Nb2/3)O3-PbTiO3 ceramics. In Proceedings of the Tenth IEEE International Symposium on Applications of Ferroelectrics, East Brunswick, NJ, USA, 18–21 August 1996; pp. 703–706. [Google Scholar]
- Bencan, A.; Malic, B.; Drnovsek, S.; Tellier, J.; Rojac, T.; Pavlic, J.; Kosec, M.; Webber, K.G.; Rodel, J.; Damjanovic, D. Structure and the electrical properties of Pb(Zr,Ti)O3–zirconia composites. J. Am. Ceram. Soc. 2012, 95, 651–657. [Google Scholar] [CrossRef]
- Tajima, K.; Hwang, H.J.; Sando, M.; Niihara, K. PZT nanocomposites reinforced by small amount of oxides. J. Eur. Ceram. Soc. 1999, 19, 1179–1182. [Google Scholar] [CrossRef]
- Randall, C.A.; Hilton, A.D.; Barber, D.J.; Shrout, T.R. Extrinsic contributions to the grain size dependence of relaxor ferroelectric Pb(Mg1/3Nb2/3)O3–PbTiO3 ceramics. J. Mater. Res. 1993, 8, 880–884. [Google Scholar] [CrossRef]
- Wang, H.C.; Schulze, W.A. The role of excess magnesium oxide or lead oxide in determining the microstructure and properties of lead magnesium niobate. J. Am. Ceram. Soc. 1990, 73, 825–832. [Google Scholar] [CrossRef]
- Weeks, R.A.; Kinser, D.L.; Lee, J.M. Charge trapping and dielectric breakdown in lead silicate glasses. In Proceedings of the Conference 4: International Conference on Physics of Non-Crystalline Solids, Clausthal-Zellerfeld, Germany, 13 September 1976. [Google Scholar]
- Kohara, S.; Ohno, H.; Takata, M.; Usuki, T.; Morita, H.; Suzuya, K.; Akola, J.; Pusztai, L. Lead silicate glasses: Binary network-former glasses with large amounts of free volume. Phys. Rev. B 2010, 82, 134209. [Google Scholar] [CrossRef]
- Yi, Y.S.; Lee, S.K. Pressure-induced changes in local electronic structures of SiO2 and MgSiO3 polymorphs: Insights from ab initio calculations of O K-edge energy-loss near-edge structure spectroscopy. Am. Mineral. 2012, 97, 897–909. [Google Scholar] [CrossRef]
- Zhang, Q.; Wang, L.; Luo, J.; Tang, Q.; Du, J. Ba0.4Sr0.6TiO3/MgO composites with enhanced energy storage density and low dielectric loss for solid-state pulse-forming line. Int. J. Appl. Ceram. Technol. 2010, 7, E124–E128. [Google Scholar] [CrossRef]
- Huang, Y.H.; Wu, Y.J.; Qiu, W.J.; Li, J.; Chen, X.M. Enhanced energy storage density of Ba0.4Sr0.6TiO3–MgO composite prepared by spark plasma sintering. J. Eur. Ceram. Soc. 2015, 35, 1469–1476. [Google Scholar] [CrossRef]
- Yao, M.; Pu, Y.; Zheng, H.; Zhang, L.; Chen, M.; Cui, Y. Improved energy storage density in 0.475BNT–0.525BCTZ with MgO addition. Ceram. Int. 2016, 42, 8974–8979. [Google Scholar] [CrossRef]
- Lee, S.Y.; Tseng, T.Y. Electrical and dielectric behavior of MgO doped Ba0.7Sr0.3TiO3 thin films on Al2O3 substrate. Appl. Phys. Lett. 2002, 80, 1797–1799. [Google Scholar] [CrossRef]
- Rejab, N.A.; Azhar, A.Z.A.; Ratnam, M.M.; Ahmad, Z.A. The relationship between microstructure and fracture toughness of zirconia toughened alumina (ZTA) added with MgO and CeO2. Int. J. Refract. Met. Hard Mater. 2013, 41, 522–530. [Google Scholar] [CrossRef]
- Kishimoto, A.; Endo, K.; Nakamura, Y.; Motohira, N.; Yanagida, H. Effect of High-Voltage Screening on Strength Distribution for Titanium Dioxide Ceramics. J. Am. Ceram. Soc. 1995, 78, 2248–2250. [Google Scholar] [CrossRef]
- Schneider, G.A. A Griffith type energy release rate model for dielectric breakdown under space charge limited conductivity. J. Mech. Phys. Solids 2013, 61, 78–90. [Google Scholar] [CrossRef]






| Nominal Composition | Col GS = 5.0 µm | Mech GS = 5.8 µm | |||
|---|---|---|---|---|---|
| Element | at.% | at.% | STDEV | at.% | STDEV |
| Pb | 20 | 20.31 | 0.33 | 20.34 | 0.13 |
| Mg | 6 | 6.08 | 0.15 | 6.34 | 0.11 |
| Nb | 12 | 12.20 | 0.12 | 12.02 | 0.09 |
| Ti | 2 | 1.89 | 0.03 | 1.92 | 0.03 |
| O § | 60 | 60.11 | 0.09 | 60.01 | 0.07 |
Publisher’s Note: MDPI stays neutral with regard to jurisdictional claims in published maps and institutional affiliations. |
© 2021 by the authors. Licensee MDPI, Basel, Switzerland. This article is an open access article distributed under the terms and conditions of the Creative Commons Attribution (CC BY) license (https://creativecommons.org/licenses/by/4.0/).
Share and Cite
Uršič, H.; Vrabelj, M.; Otoničar, M.; Fulanović, L.; Rožič, B.; Kutnjak, Z.; Bobnar, V.; Malič, B. Influence of Synthesis-Related Microstructural Features on the Electrocaloric Effect for 0.9Pb(Mg1/3Nb2/3)O3–0.1PbTiO3 Ceramics. Crystals 2021, 11, 372. https://doi.org/10.3390/cryst11040372
Uršič H, Vrabelj M, Otoničar M, Fulanović L, Rožič B, Kutnjak Z, Bobnar V, Malič B. Influence of Synthesis-Related Microstructural Features on the Electrocaloric Effect for 0.9Pb(Mg1/3Nb2/3)O3–0.1PbTiO3 Ceramics. Crystals. 2021; 11(4):372. https://doi.org/10.3390/cryst11040372
Chicago/Turabian StyleUršič, Hana, Marko Vrabelj, Mojca Otoničar, Lovro Fulanović, Brigita Rožič, Zdravko Kutnjak, Vid Bobnar, and Barbara Malič. 2021. "Influence of Synthesis-Related Microstructural Features on the Electrocaloric Effect for 0.9Pb(Mg1/3Nb2/3)O3–0.1PbTiO3 Ceramics" Crystals 11, no. 4: 372. https://doi.org/10.3390/cryst11040372
APA StyleUršič, H., Vrabelj, M., Otoničar, M., Fulanović, L., Rožič, B., Kutnjak, Z., Bobnar, V., & Malič, B. (2021). Influence of Synthesis-Related Microstructural Features on the Electrocaloric Effect for 0.9Pb(Mg1/3Nb2/3)O3–0.1PbTiO3 Ceramics. Crystals, 11(4), 372. https://doi.org/10.3390/cryst11040372

