Abstract
In the present work, we studied the effects of substitutional Sm3+ ions on the ionic conduction properties of Li5+2xLa3Nb2−xSmxO12 (LLN-Sm) ceramics with x = 0.0—0.6. The investigated final ceramics, prepared by solid state reaction, were sintered at 1000 °C for 12 h. XRD investigations showed the formation of the cubic garnet phase for all of the studied samples. The ionic conductivity was found to increase with Sm3+ content, with the highest value of 7.04 × 10−5 S/cm for the Li5+2xLa3Nb2−xSmxO12 sample compared to 7.49 × 10−6 S/cm for the pure LLN sample, both at RT. Lithium ion mobilities of LLN-Sm garnets at different temperatures were estimated. Considerable enhancement of mobility, the main factor leading to ionic conductivity improvement, was obtained for samples with Sm3+ substitutions. Relaxation processes were studied by the electric modulus, and the corresponding activation energy was found to be very similar to the ionic conduction process.
1. Introduction
Rechargeable lithium ion batteries are major energy reservoirs/depots in our daily life, where they are used in various electronic devices. However, the current batteries suffer safety and capacity loss issues due to the used liquid electrolytes [1,2,3]. These drawbacks could be eliminated by using solid lithium electrolytes as an alternative. However, the necessary range of the ionic conductivity for practical applications, 10−3—10−2 S/cm, is difficult to achieve in most solid lithium ionic conductors. This is one of the most challenging hurdles in the development of all solid-state batteries [1,2,3]. Therefore, different inorganic crystalline and glassy lithium ion conducting materials, such as Li7P3S11 [4], Li10GeP2S12 [5], Li2S-B2S3 [6], Li1+xAlxGe2−x(PO4)3 [7], Li1+xAlxTi2−x(PO4)3 [8,9] and Li3xLa2/3−3xTiO3 [10], have been investigated. Among these materials, lithium-conducting sulfides show high ionic conductivity in the 10−3—10−2 S/cm range at RT, but they require handling under inert gas conditions due to their sensitivity to moisture [4,5,6]. On the other hand, lithium ion conductors based on phosphate or oxide ceramics exhibit high ionic conductivity in the 10−5—10−3 S/cm range and are mostly stable in normal atmosphere. They could be mass produced using simple methods, such as solid state reaction and sol–gel techniques [7,8,9,10,11,12,13,14,15,16,17,18,19,20,21,22]. A detailed review on various crystalline and glassy solid lithium ion conductors was recently published by Campanella et al. [23]
Garnet lithium ion conductors Li5La3M2O12, Li6ALa2M2O12, and Li7La3Zr2O12 (M = Ta and Nb, A = alkaline earths) and their derivative compounds are expected to be good electrolytes in solid-state batteries [11,12,13,14,15,16,17,18,19,20,21,22]. The ionic conductivity value of these materials and their chemically modified derivatives is in the 10−6—10−4 S/cm range at RT. Specific conductivity values depend on the crystal structure, the composition, and the lithium content and are characterized by a small conductivity contribution from the grain boundary [11,12,13,14,15,16,17,18,19,20,21,22]. These characteristics led to extensive research work in the past decade in order to explore the ionic conduction mechanism and improve the ionic conductivity of these materials. It is now established that chemical substitutions of divalent and/or trivalent cations on the La3+ and M5+ sites, respectively, lead to increased lithium content and, subsequently, increased conductivity. In the past few years, further research interest was devoted to the Li7La3Zr2O12 compound, as it shows the highest ionic conductivity of garnet-like materials [17]. This material could crystallize in the tetragonal or cubic phases, where the cubic phase shows a higher conductivity of 3 × 10−4 S/cm at RT [17]. The high conductive cubic phase of Li7La3Zr2O12 could be stabilized by appropriate chemical doping, such as Ga3+ or Al3+ on Li+ sites or by Nb5+ or Ta5+ on Zr4+ sites [24,25]. A comprehensive review on garnet-type electrolytes was recently published [26]. Although most research work on lithium garnet materials is directed towards Li7La3Zr2O12, high ionic conductivity values in the 10−4 S/cm range could also be obtained in doped Li5La3Nb2O12 (LLN) and Li5La3Ta2O12 (LLT) materials [21,27,28,29,30]. In our recent work on Gd3+−substituted Li5+2xLa3Nb2−xGdxO12, the ionic conductivity was found to increase to 1.12 × 10−4 S/cm for x = 0.5, which is about two orders of magnitude higher than the un-doped LLN material [27]. Similarly, Sc3+ doping in Li5+2xLa3Nb2−xScxO12 garnets leads to ionic conductivity of 3.7 × 10−4 S/cm for x = 0.625 [28]. Moreover, recent Pr doping in Li5+xLa3Nb2 − xPrxO12 samples showed a high conductivity value of 5.6 × 10−4 S/cm for x = 0.8 composition [29]. These results suggest that the effect of doping in LLN and LLT garnet materials is promising, and further studies are necessary. In this work, we study the effect of Nb5+ site substitutions by Sm+3 on the ionic conduction of Li5+2xLa3Nb2−xSmxO12. Sm+3 substitution is expected to increase lithium content in the materials, leading to enhanced ionic conductivity.
2. Materials and Methods
Li5+2xLa3Nb2−xSmxO12 samples (with x = 0.25, 0.4, 0.5, 0.6; hereafter abbreviated LLN-Sm25, LLN-Sm40, LLN-Sm50, and LLN-Sm60, respectively) were synthesized by mechanical milling and solid-state reaction techniques. High purity Li2CO3, La2O3, Nb2O3 and Sm2O3 were used with 10 wt% excess of Li2CO3 added for compensation of lithium loss at high temperatures. The mixed powder underwent three cycles of alternate ball milling and calcination at different periods and temperatures. It was first ball milled using tungsten carbide pots and balls for 12 h with a 250 rpm rotation speed. The acquired powder was calcined at 700 °C for 12 h, then ball milled again under the same conditions. A second calcination step was performed at 900 °C for 12 h followed by final ball milling at 400 rpm for 3 h. The obtained powder was pressed under 2.5 ton in a 10 mm diameter die to obtain pellets with a 1–2 mm thickness. The sintering of the samples was performed at 1000 °C for 12 h in alumina crucibles with pellets impeded in the mother powder to limit the Li2O loss. Structural characterization of the LLN-Sm samples was studied by XRD measurements in the 0 ≤ 2θ ≤ 80 range using monochromated radiation (λ = 1.5406 Å). The electrical properties of the LLN-Sm samples were studied by impedance spectroscopy at different temperatures under flowing nitrogen gas using the Novocontrol concept 50 system.
3. Results
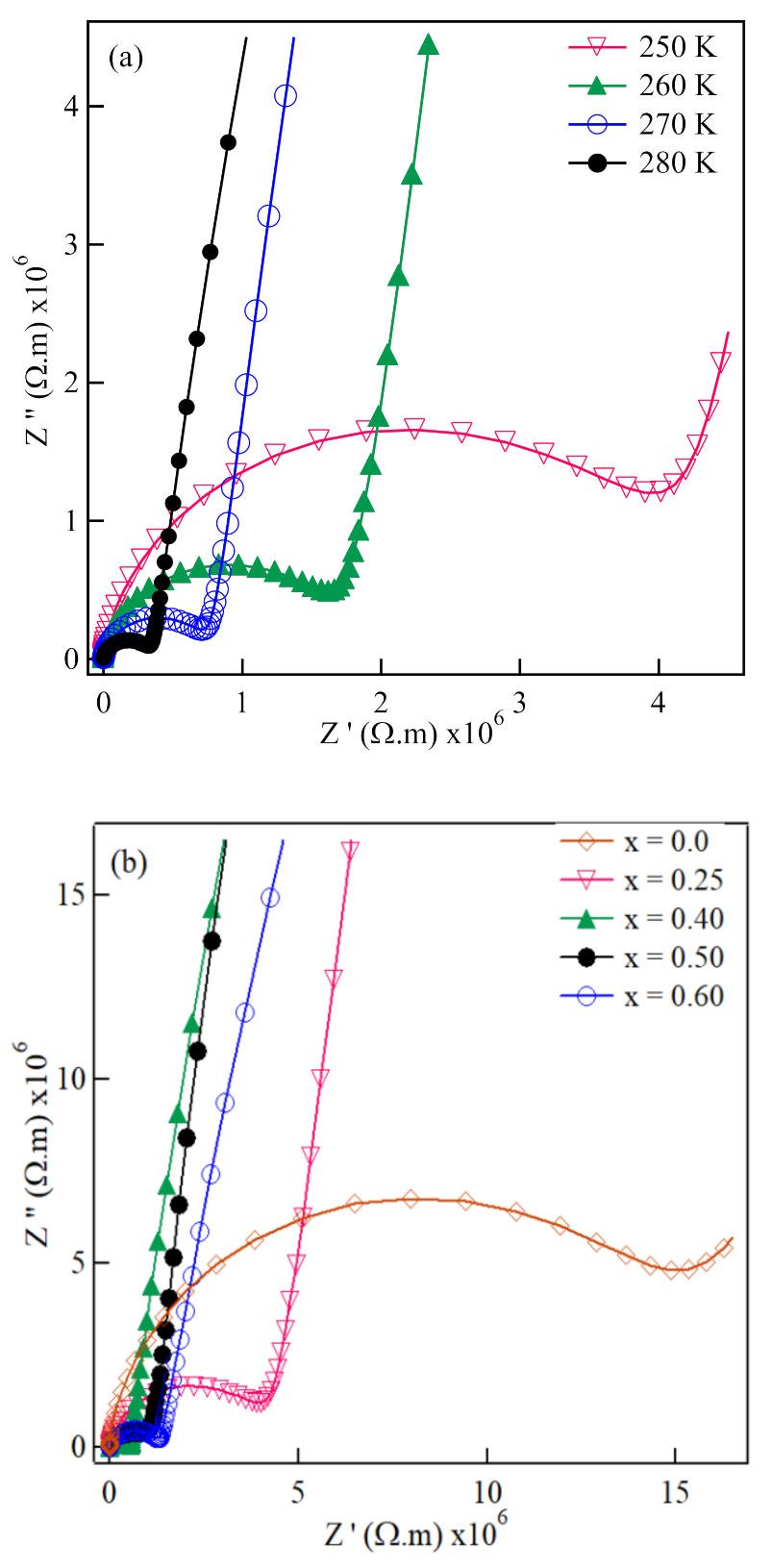
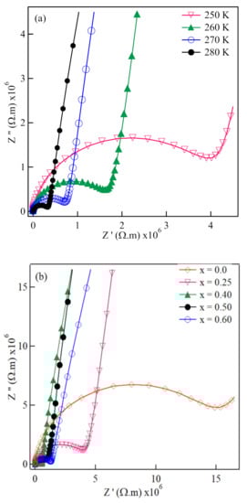
The XRD patterns of the LLN-Sm samples are shown in Figure 1. The observed patterns in Figure 1 agree with the standard XRD database of Li5La3Nb2O12 (PDF#45-0109), indicating the formation of the cubic garnet structure. Minor peaks observed in the XRD patterns of the x = 0.6 composition are attributed to impurity. Nyquist impedance plots of the LLN-Sm25 ceramics are shown in Figure 2 at selected temperatures as a representative example. A single semicircle with a decreasing radius as the temperature increases was observed. The estimated resistance from the intercept of the semicircle with the Z’ axis is assigned to the total resistance of the materials, where it was not possible to separate grain and grain boundary contributions in the current impedance data.
Figure 1.
XRD patterns of Li5+2xLa3Nb2−xSmxO12 garnets with x = 0.0.25—0.6 compositions.
Figure 2.
Complex impedance diagrams for (a) Li5.5La3Nb1.75Sm0.25O12 garnets at selected temperature and (b) for the different samples at 250 K.
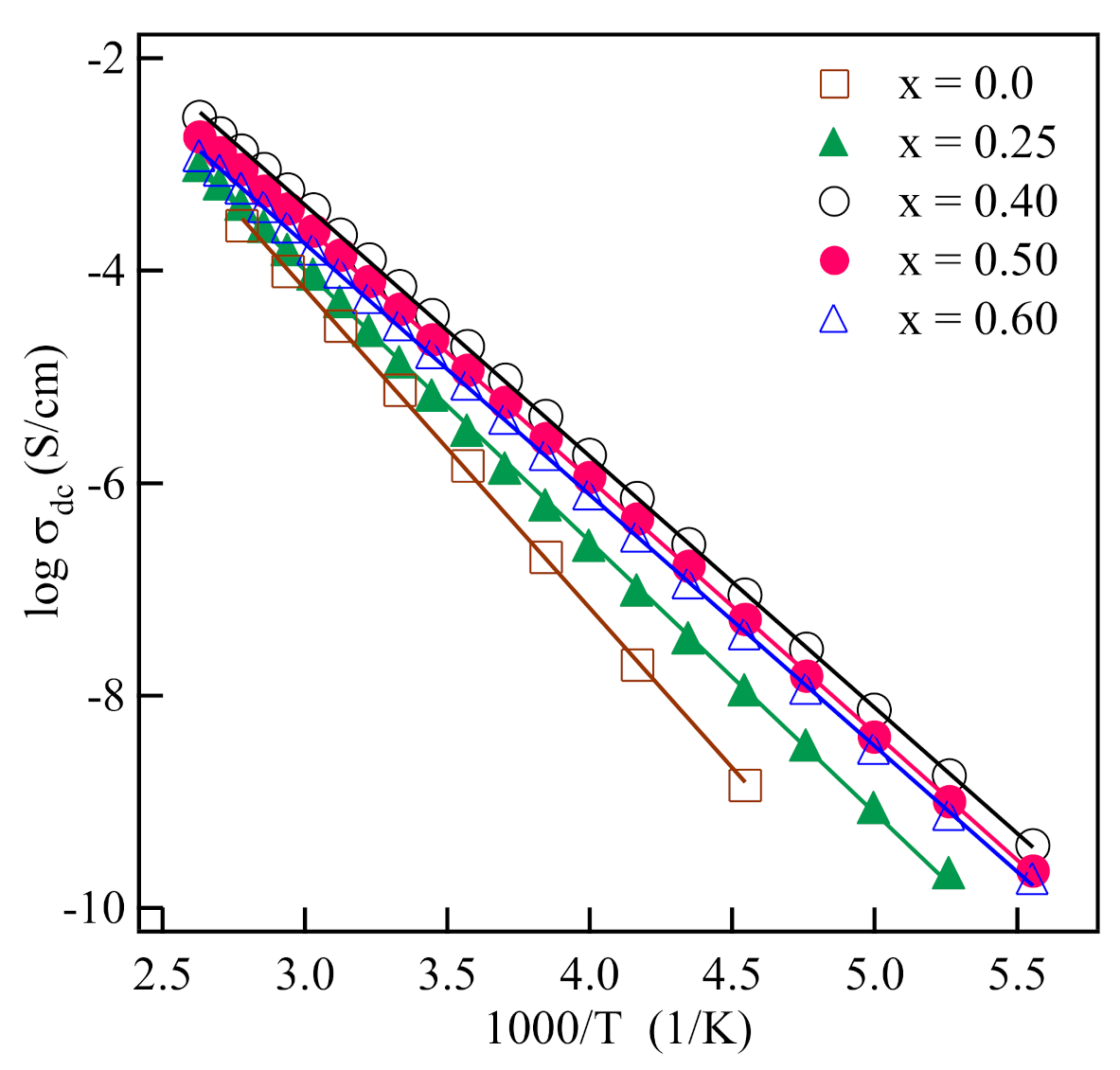
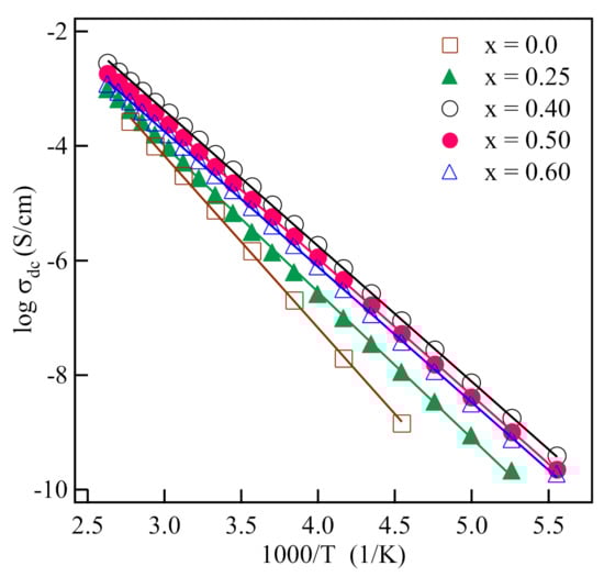
The variation of the total lithium ionic conductivity of the LLN-Sm ceramics with temperature is depicted in Figure 3, and the conductivity is fitted by the Arrhenius relation:
Figure 3.
The temperature dependence of the total ionic conductivity for different compositions of Li5+2xLa3Nb2−xSmxO12 garnets.
In Table 1, we summarize the values of the ionic conductivity at 300 K and the corresponding activation energy ∆E of the LLN-Sm ceramics. It is observed from the data in Figure 3 and Table 1 that the ionic conductivity of the LLN-Sm ceramics increases with Sm3+ doping. The composition with x = 0.4, i.e., Li5.6La3Nb1.6Sm0.4O12, has the highest conductivity of 7.04 × 10−5 S/cm compared to 7.26 × 10−6 S/cm for the un-doped LLN. These results indicate that considerable lithium conductivity enhancement is achieved by Sm3+ substitutions in LLN garnets. Pinzaru and Thangadurai previously studied the ionic conduction in Li5+2xLa3Nb2−xSmxO12 garnets with 0 ≤ x ≤ 0.7, and the highest conductivity of 5.84 × 10-5 S/cm was obtained for x = 0.3 composition at RT [30]. This is slightly lower than the highest conductivity obtained in this study, despite the fact that they sintered the samples at a higher temperature of 1100 °C. The activation energy ∆E has a value of 0.47 eV for the LLN-Sm40, LLN-Sm50, and LLN-Sm60 samples, whereas a slightly larger value of 0.51 eV is obtained for the LLN-Sm25 sample. These values are noticeably smaller than that of 0.60 eV for the pure LLN garnets. The enhanced lithium ionic conductivity in Sm+3-substituted LLN ceramics may be attributed to increasing either the concentration or the mobility of the mobile Li+ ions.
Table 1.
The dc conductivity values for Li5+2xLa3Nb2−xSmxO12 garnets at 300 K. ΔEσdc, ΔEμ and are the activation energies for conduction, mobility and relaxation process, respectively.
It is expected that the substitution of trivalent Sm3+ cations on the pentavalent Nb5+ sites in Li5+2xLa3Nb2−xSmxO12 will lead to an increase in Li+ content per unit formula from 5Li in pure LLN to (5 + 2x)Li for x content of the Sm3+-substituted LLN-Sm garnets. This increase in Li+ ions content may lead to increased conductivity of LLN-Sm materials. Another factor that affects the ionic conductivity is the mobility of Li+ ions. Sm3+ substitutions on Nb5+ sites may lead to the creation of more vacant sites available for the mobile Li+ ions, thereby leading to enhanced mobility and conductivity. Here, from the analysis of the conductivity spectra, we estimated the mobility values of mobile Li+ ions at different temperatures in the LLN-Sm garnets.
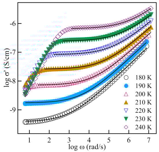
The conductivity spectra of the LLN-Sm40 ceramics are shown in Figure 4 at selected temperatures. A frequency-independent dc conductivity is observed at low temperatures and frequencies, whereas increases with frequency at the high-frequency side. The conductivity data were analyzed by the following formula [31,32]:
Figure 4.
The conductivity spectra of LLN-Sm40 garnets at different temperatures. The solid curves between the points represent the fitting based on Equation (2).
The dc conductivity σdc, the mobility µ, and the hopping frequency ωH are correlated according to the following relation:
The mobility is then calculated by
In the above equations, nc represents the exponent of the dispersion region of the conductivity, γ = 1/6 is a geometrical factor for 3D ion hopping, and λ = 1.7 Å is the hopping distance [33]. The fitting results of the conductivity spectra are shown as solid curves in Figure 4. Based on the estimated values of the hopping frequency, the mobility of lithium ions can be calculated by Equation (4).
The temperature variation of µ is shown in Figure 5 for the LLN-Sm samples. It is clear that the mobility of lithium ions increases considerably with Sm+3 substitutions. As a quantitative comparison at 220 K, we notice from Figure 3 that conductivity increases by a factor of ~60 for the LLN-Sm40 compared to the pure LLN sample. At the same temperature, Li+ ion mobility in the LLN-Sm40 sample increased by a factor of ~28 compared to LLN garnets. These results indicate that the enhanced conductivity in Sm-substituted LLN garnets is due to the increased mobility of Li+ ions, and the concentration of mobile Li+ ions plays minor role in the conductivity enhancement. It is suggested that Sm3+ substitutions in LLN garnets will force Li+ ions at 24d sites to leave their positions and move to occupy 48 g/96 h octahedral sites [33,34,35]. This process will allow more vacant 24d sites, which are essential for 3D diffusion process through the 24d–96h–48g–96h–24d chain pathway, as illustrated in Figure 6 [27,33,34,35,36].
Figure 5.
The temperature dependence of the mobility of Li+ ions in different LLN-Sm ceramics, as estimated by Equation (4).
Figure 6.
Diffusion pathways for Li+ ions in the LLN sample (left) where Li+ ions migrate between 96h octahedral sites, and in the LLN-Sm samples (right) where Li+ ions migrate through 96h–24d–96h–48g–96h–24d–96h chains due to the creation of vacant 24d sites after Sm3+ substitutions.
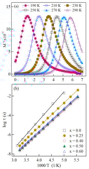
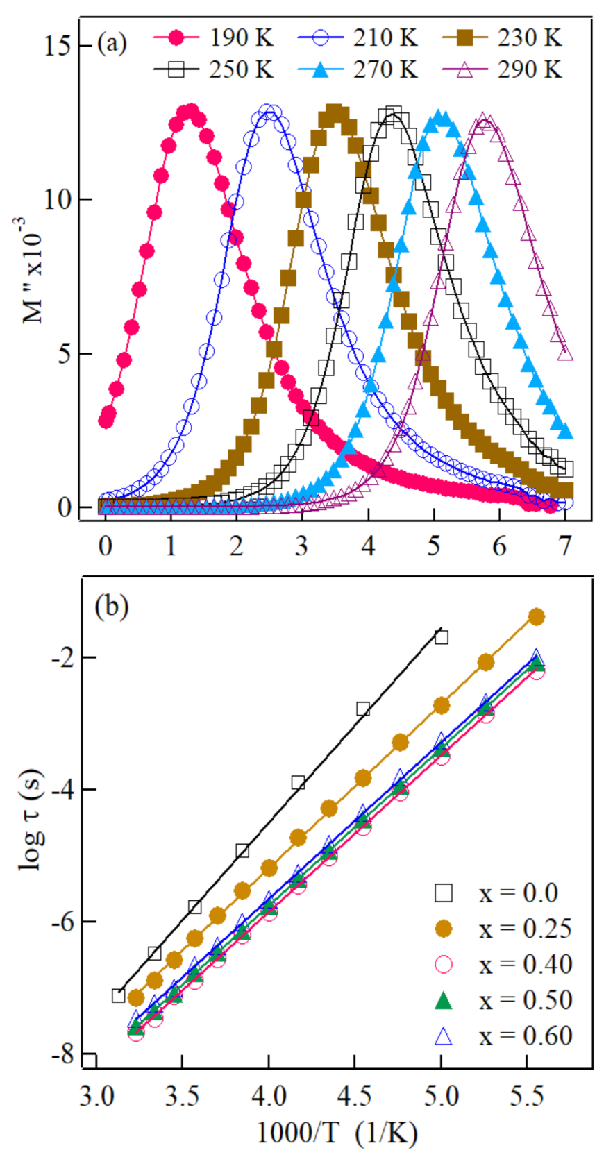
The relaxation dynamics of the LLN-Sm ceramics are studied by the complex electric modulus , which can be expressed as follows [37]:
where Co = A/l is the capacitance of a free sample cell. The variation in the imaginary part M’’ against the frequency is shown in Figure 7a for the x = 0.3 composition as an example. A relaxation peak is observed, and the relaxation time is calculated from the frequency at peak maximum fmax. The Arrhenius variation of of the LLT-Sm ceramics is presented in Figure 7b, and the values of its activation energy Em are summarized in Table 1. The values of Em are in good agreement with the activation energy of the ionic conduction process.
Figure 7.
(a) The frequency dependence of the electric modulus at selected temperatures for Li5.5La3Nb1.75Sm0.25O12 ceramics as a representative sample; (b) the temperature dependence of the relaxation time determined from the electric modulus spectra of Li5+2xLa3Nb2−xSmxO12 garnets.
4. Conclusions
Sm3+-substituted Li5+2xLa3Nb2−xSmxO12 (LLN-Sm) ceramics with x = 0–0.6 compositions were successfully synthesized by solid-state reaction and conventional sintering techniques. The LLN-Sm ceramics crystallized in the cubic garnet structure, and minor impurities appeared for the x = 0.5 and 0.6 compositions. The ionic conductivity was found to increase for the Sm3+-substituted samples compared to pure LLN material. The highest conductivity was obtained for the Li5.8La3Nb1.6Sm0.4O12 sample with a value of 7.04 × 10−5 S/cm at RT. The mobility of Li+ ions was estimated from the analysis of the real part of the conductivity, and it was noticed that the mobility increased considerably for the Sm3+-substituted samples. It can be concluded that Sm3+ substitutions in LLN garnets force more Li+ ions to evacuate their 24d tetrahedral sites and move to 48g/96h octahedral sites. This process facilitates Li+ ions diffusions through the 24d–96h–48g–96h–24d chain pathway. The relaxation properties the of LLN–Sm garnets were studied by electric modulus, and the relaxation time was estimated. The relaxation process was activated with the same activation energy of the conduction process.
Author Contributions
Conceptualization, M.M.A.; methodology, M.M.A., H.M.K.; validation, M.M.A., H.M.K.; formal analysis, M.M.A.; investigation, M.M.A., H.M.K., M.H.H.A., A.A. (Adil Alshoaibi) and A.A. (Abdullah Aljaafari); resources, M.M.A.; data curation, M.M.A.; writing—original draft preparation, M.M.A.; writing—review and editing, M.M.A., A.A. (Adil Alshoaibi), A.A. (Abdullah Aljaafari) and H.A.K.; visualization, M.M.A., H.A.K.; supervision, M.M.A.; project administration, M.M.A.; funding acquisition, M.M.A. All authors have read and agreed to the published version of the manuscript.
Funding
This research was funded by The Deanship of Scientific Research, King Faisal University, Saudi Arabia, under the Research Groups track project # 17122003, and the APC was funded by # 17122003.
Institutional Review Board Statement
Not applicable.
Informed Consent Statement
Not applicable.
Acknowledgments
The authors are grateful for the financial support from The Deanship of Scientific Research, King Faisal University, Saudi Arabia, under the Research Groups project # 17122003.
Conflicts of Interest
The authors declare no conflict of interest.
References
- Armand, M.; Tarascon, J.-M. Building better batteries. Nature 2008, 451, 652–657. [Google Scholar] [CrossRef]
- Manthiram, A.; Yu, X.; Wang, S. Lithium battery chemistries enabled by solid-state electrolytes. Nat. Rev. Mater. 2017, 2, 16103. [Google Scholar] [CrossRef]
- Gao, Z.; Sun, H.; Fu, L.; Ye, F.; Zhang, Y.; Luo, W.; Huang, Y. Promises, challenges, and recent progress of inorganic solid-state electrolytes for all-solid-state lithium batteries. Adv. Mater. 2018, 30, 1705702. [Google Scholar] [CrossRef] [PubMed]
- Braga, M.H.; Murchison, A.J.; Ferreira, J.A.; Singh, P.; Goodenough, J.B. Glass amorphous alkali-ion solid electrolytes and their performance in symmetrical cells. Energy Environ. Sci. 2016, 9, 948–954. [Google Scholar] [CrossRef]
- Kamaya, N.; Homma, K.; Yamakawa, Y.; Hirayama, M.; Kanno, R.; Yonemura, M.; Kamiyama, T.; Kato, Y.; Hama, S.; Kawamoto, K.; et al. A lithium superionic conductor. Nat. Mater. 2011, 10, 682–686. [Google Scholar] [CrossRef]
- Kim, K.H.; Torgeson, D.R.; Borsa, F.; Martin, S.W. Two separate Li+ ionic motions observed by 7Li and 11B NMR in xLi2S + (1 − x)B2S3 glassy fast ionic conductors. Solid State Ion. 1996, 90, 29–38. [Google Scholar] [CrossRef]
- Fu, J. Fast Li+ ion conducting glass-ceramics in the system Li2O–Al2O3–GeO2–P2O5. Solid State Ion. 1997, 104, 191–194. [Google Scholar] [CrossRef]
- Ma, Q.; Xu, Q.; Tsai, C.-L.; Tietz, F.; Guillon, O. A Novel Sol-Gel Method for Large-Scale Production of Nanopowders: Preparation of Li1.5Al0.5Ti1.5(PO4)3 as an Example. J. Am. Ceram. Soc. 2016, 99, 410–414. [Google Scholar] [CrossRef]
- Waetzig, K.; Heubner, C.; Kusnezof, M. Reduced Sintering Temperatures of Li+ Conductive Li1.3Al0.3Ti1.7(PO4)3 Ceramics. Crystals 2020, 10, 408. [Google Scholar] [CrossRef]
- Inaguma, Y.; Liquan, C.; Itoh, M.; Nakamura, T.; Uchida, T.; Ikuta, H.; Wakihara, M. High ionic conductivity in lithium lanthanum titanate. Solid State Commun. 1993, 86, 689–693. [Google Scholar] [CrossRef]
- Thangadurai, V.; Weppner, W. Li6ALa2Ta2O12 (A = Sr, Ba): Novel garnet-like oxides for fast lithium ion conduction. Adv. Funct. Mater. 2005, 15, 107–112. [Google Scholar] [CrossRef]
- Thangadurai, V.; Kaack, H.; Weppner, W. Novel fast lithium ion conduction in garnet-type Li5La3M2O12 (M = Nb, Ta). J. Am. Ceram. Soc. 2003, 86, 437–440. [Google Scholar] [CrossRef]
- Thangadurai, V.; Weppner, W. Investigations on electrical conductivity and chemical compatibility between fast lithium ion conducting garnet-like Li6BaLa2Ta2O12 and lithium battery cathodes. J. Power Sources 2005, 142, 339–344. [Google Scholar] [CrossRef]
- Murugan, R.; Thangadurai, V.; Weppner, W. Effect of lithium ion content on the lithium ion conductivity of the garnet-like structure Li5+xBaLa2Ta2O11.5+0.5x (x = 0–2). Appl. Phys. A 2008, 91, 615–620. [Google Scholar] [CrossRef]
- Murugan, R.; Thangaduraiand, V.; Weppner, W. Lithium ion conductivity of Li5+xBaxLa3−xTa2O12 (x = 0–2) with garnet-related structure in dependence of the barium content. Ionics 2007, 13, 195–203. [Google Scholar] [CrossRef]
- Murugan, R.; Thangaduraiand, V.; Weppner, W. Lattice parameter and sintering temperature dependence of bulk and grain-boundary conduction of garnet-like solid Li-electrolytes. J. Electrochem. Soc. 2008, 155, A90–A101. [Google Scholar] [CrossRef]
- Murugan, R.; Thangadurai, V.; Weppner, W. Fast lithium ion conduction in garnettype Li7La3Zr2O12. Angew. Chem. Int. Ed. 2007, 46, 7778–7781. [Google Scholar] [CrossRef]
- Awaka, J.; Kijima, N.; Takahashi, Y.; Hayakawa, H.; Akimoto, J. Synthesis and crystallographic studies of garnet-related lithium-ion conductors Li6CaLa2Ta2O12 and Li6BaLa2Ta2O12. Solid State Ionics 2009, 180, 602–606. [Google Scholar] [CrossRef]
- Zhong, Y.; Zhou, Q.; Guo, Y.; Li, Z.; Qiang, Y. The ionic conductivity of Li6BaLa2M2O12 with coexisting Nb and Ta on the M sites. Ionics 2013, 19, 697–700. [Google Scholar] [CrossRef]
- Kokal, I.; Ramanujachary, K.V.; Notten, P.H.L.; Hintzen, H.T. Sol-gel synthesis and lithium ion conduction properties of garnet-type Li6BaLa2Ta2O12. Mater. Res. Bull. 2012, 47, 1932–1935. [Google Scholar] [CrossRef]
- Baral, A.K.; Narayanan, S.; Ramezanipour, F.; Thangadurai, V. Evaluation of fundamental transport properties of Li-excess garnet-type Li5+2xLa3Ta2−xYxO12 (x = 0.25, 0.5 and 0.75) electrolytes using ac impedance and dielectric spectroscopy. Phys. Chem. Chem. Phys. 2014, 16, 11356–11365. [Google Scholar] [CrossRef] [PubMed]
- Gao, Y.X.; Wang, X.P.; Wang, W.G.; Fang, Q.F. Sol-gel synthesis and electrical properties Li5La3Ta2O12 lithium ionic conductors. Solid State Ion. 2010, 181, 33–36. [Google Scholar] [CrossRef]
- Campanella, D.; Belanger, D.; Paolella, A. Beyond garnets, phosphates and phosphosulfides solid electrolytes: New ceramic perspectives for all solid lithium metal batteries. J. Power Sources 2021, 482, 228949. [Google Scholar] [CrossRef]
- Mukhopadhyay, S.; Thompson, T.; Sakamoto, J.; Huq, A.; Wolfenstine, J.; Allen, J.L.; Bernstein, N.; Stewart, D.A.; Johannes, M.D. Structure and stoichiometry in supervalent doped Li7La3Zr2O12. Chem. Mater. 2015, 27, 3658–3665. [Google Scholar] [CrossRef]
- Allen, J.L.; Wolfenstine, J.; Rangasamy, E.; Sakamoto, J. Effect of substitution (Ta, Al, Ga) on the conductivity of Li7La3Zr2O12. J. Power Sources 2012, 206, 315–319. [Google Scholar] [CrossRef]
- Wang, C.; Fu, K.; Kammampata, S.P.; McOwen, D.W.; Samson, A.J.; Zhang, L.; Hitz, G.T.; Nolan, A.M.; Wachsman, A.D.; Mo, Y.; et al. Garnet-type solid-state electrolytes: Materials, interfaces and batteries. Chem. Rev. 2020, 120, 4257–4300. [Google Scholar] [CrossRef]
- Ahmad, M.M.; Al-Quaimi, M. Origin of the enhanced Li+ ionic conductivity in Gd+3 substituted Li5+2xLa3Nb2−xGdxO12 lithium conducting garnets. Phys. Chem. Chem. Phys. 2015, 17, 16007–16014. [Google Scholar] [CrossRef]
- Nemori, H.; Matsuda, Y.; Matsui, M.; Yamamoto, O.; Takeda, Y.; Imanishi, N. Relationship between lithium content and ionic conductivity in the Li5+2xLa3Nb2−xScxO12 system. Solid State Ion. 2014, 266, 9–12. [Google Scholar] [CrossRef]
- Stockham, M.P.; Dong, B.; Ding, Y.; Lib, Y.; Slater, P.R. Evaluation of the effect of site substitution of Pr doping in the lithium garnet system Li5La3Nb2O12. Dalton Trans. 2020, 49, 10349. [Google Scholar] [CrossRef]
- Pinzaru, D.; Thangadurai, V. Synthesis, structure and Li ion conductivity of garnet-like Li5+2xLa3Nb2−xSmxO12 (0≤ x ≤ 0.7). J. Electrochem. Soc. 2014, 161, A2060. [Google Scholar] [CrossRef]
- Almond, D.P.; Ducan, G.K.; West, A.R. The determination of hopping rates and carrier concentrations in ionic conductors by a new analysis of ac conductivity. Solid State Ion. 1983, 8, 159–164. [Google Scholar] [CrossRef]
- Ahmad, M.M.; Yamada, K. Hopping rates and concentration of mobile fluoride ions in Pb1−xSnxF2 solid solutions. J. Chem. Phys. 2007, 127, 124507. [Google Scholar] [CrossRef] [PubMed]
- Adams, S.; Rao, R.P. Ion transport and phase transition in Li7−xLa3(Zr2−xMx)O12 (M = Ta5+, Nb5+, x = 0, 0.25). J. Mater. Chem. 2012, 22, 1426–1434. [Google Scholar] [CrossRef]
- Cussen, E.J. The structure of lithium garnets: Cation disorder and clustering in a new family of fast Li+ conductors. Chem. Commun. 2006, 4, 412–413. [Google Scholar] [CrossRef]
- O’Challaghan, M.P.; Cussen, E.J. Lithium dimer formation in the Li-conducting garnets Li5+xBaxLa3−xTa2O12 (0 < x ≤ 1.6). Chem. Commun. 2007, 2048–2050. [Google Scholar]
- Ahmad, M.M. Estimation of the concentration and mobility of mobile Li+ in the cubic garnet-type Li7La3Zr2O12. RSC Adv. 2015, 5, 25824–25829. [Google Scholar] [CrossRef]
- Macedo, P.B.; Moynihan, C.T.; Bose, R. The role of ionic diffusion in polarization in vitreous ionic conductors. Phys. Chem. Glasses 1972, 13, 171–179. [Google Scholar]
Publisher’s Note: MDPI stays neutral with regard to jurisdictional claims in published maps and institutional affiliations. |
© 2021 by the authors. Licensee MDPI, Basel, Switzerland. This article is an open access article distributed under the terms and conditions of the Creative Commons Attribution (CC BY) license (http://creativecommons.org/licenses/by/4.0/).






