Carbon Nanotube Detectors and Spectrometers for the Terahertz Range
Abstract
1. Introduction
2. Unified Charge Control Model for Ambipolar CNTFETs
2.1. Model Description
2.2. Model Validation
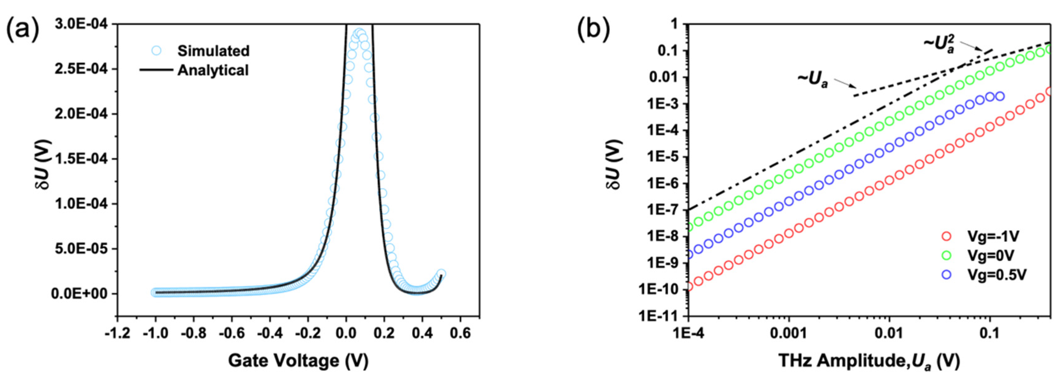
3. THz Response in CNTFETs
4. CNTFET THz Spectrometer
5. Conclusions
Author Contributions
Funding
Conflicts of Interest
References
- Hills, G.; Lau, C.; Wright, A.; Fuller, S.; Bishop, M.D.; Srimani, T.; Kanhaiya, P.; Ho, R.; Amer, A.; Stein, Y.; et al. Modern microprocessor built from complementary carbon nanotube transistors. Nature 2019, 572, 595–602. [Google Scholar] [CrossRef]
- Landauer, G.M.; González, J.L. Radio-frequency performance of carbon nanotube-based devices and circuits considering noise and process variation. IEEE Trans. Nanotechnol. 2014, 13, 228–237. [Google Scholar] [CrossRef]
- Guo, J.; Datta, S.; Lundstrom, M.; Brink, M.; McEuen, P.; Javey, A.; Dai, H.; Kim, H.; McIntyre, P. Assessment of silicon MOS and carbon nanotube FET performance limits using a general theory of ballistic transistors. In Proceedings of the Digest. International Electron Devices Meeting, San Francisco, CA, USA, 8–11 December 2002. [Google Scholar] [CrossRef]
- Natori, K.; Kimura, Y.; Shimizu, T. Characteristics of a carbon nanotube field-effect transistor analyzed as a ballistic nanowire field-effect transistor. J. Appl. Phys. 2005, 97, 034306. [Google Scholar] [CrossRef]
- Guo, J.; Datta, S.; Lundstrom, M. A numerical study of scaling issues for Schottky-barrier carbon nanotube transistors. IEEE Trans. Electron Devices 2004, 51, 172–177. [Google Scholar] [CrossRef]
- Raychowdhury, A.; Mukhopadhyay, S.; Roy, K. A circuit-compatible model of ballistic carbon nanotube field-effect transistors. IEEE Trans. Comput. Aided Design Integr. Circuits Syst. 2004, 23, 1411–1420. [Google Scholar] [CrossRef]
- Deng, J.; Wong, H.S.P. A compact SPICE model for carbon-nanotube field-effect transistors including nonidealities and its application—Part I: Model of the intrinsic channel region. IEEE Trans. Electron Devices 2007, 54, 3186–3194. [Google Scholar] [CrossRef]
- Deng, J.; Wong, H.S.P. A compact SPICE model for carbon-nanotube field-effect transistors including nonidealities and its application—Part II: Full device model and circuit performance benchmarking. IEEE Trans. Electron Devices 2007, 54, 3195–3205. [Google Scholar] [CrossRef]
- O’Connor, I.; Liu, J.; Gaffiot, F.; Prégaldiny, F.; Lallement, C.; Maneux, C.; Goguet, J.; Frégonèse, S.; Zimmer, T.; Anghel, L.; et al. CNTFET modeling and reconfigurable logic-circuit design. IEEE Trans. Circuits Syst. I 2007, 54, 2365–2379. [Google Scholar] [CrossRef]
- Frégonèse, S.; d’Honincthun, H.C.; Goguet, J.; Maneux, C.; Zimmer, T.; Bourgoin, J.-P.; Dollfus, P.; Galdin-Retailleau, S. Computationally efficient physics-based compact CNTFET model for circuit design. IEEE Trans. Electron Devices 2008, 55, 1317–1327. [Google Scholar] [CrossRef]
- Yang, X.; Mohanram, K. Modeling and performance investigation of the double-gate carbon nanotube transistor. IEEE Electron Device Lett. 2011, 32, 231–233. [Google Scholar] [CrossRef]
- Moon, B.-J.; Byun, Y.H.; Lee, K.; Shur, M. New continuous heterostructure field-effect-transistor model and unified parameter extraction technique. IEEE Trans. Electron Devices 1990, 37, 908–919. [Google Scholar] [CrossRef]
- Park, C.K.; Lee, C.Y.; Lee, K.; Moon, B.J.; Byun, Y.H.; Shur, M. A Unified Charge Control Model for Long Channel n-MOSFETs. IEEE Trans. Electron Devices 1991, 38, 399–406. [Google Scholar] [CrossRef]
- Lee, K.; Shur, M.S.; Fjeldly, T.A.; Ytterdal, T. Semiconductor Device Modeling for VLSI.; Prentice Hall: Englewood Cliffs, NJ, USA, 1993. [Google Scholar]
- Fjeldly, T.; Ytterdal, T.; Shur, M.S. Introduction to Device Modeling and Circuit Simulation for VLSI.; John Wiley and Sons: New York, NY, USA, 1998. [Google Scholar]
- Burke, P.J. An RF circuit model for carbon nanotubes. IEEE Trans. Nanotechnol. 2003, 2, 55–58. [Google Scholar] [CrossRef]
- Dürkop, T.; Getty, S.A.; Cobas, E.; Fuhrer, M.S. Extraordinary Mobility in Semiconducting Carbon Nanotubes. Nano Lett. 2004, 4, 35–39. [Google Scholar] [CrossRef]
- Meyer, J.E. MOS models and circuit simulation. RCA Rev. 1971, 32, 42–63. [Google Scholar]
- Javey, A.; Guo, J.; Farmer, D.B.; Wang, Q.; Yenilmez, E.; Gordon, R.G.; Lundstrom, M.; Dai, H. Self-Aligned Ballistic Molecular Transistors and Electrically Parallel Nanotube Arrays. Nano Lett. 2004, 4, 1319–1322. [Google Scholar] [CrossRef]
- Javey, A.; Guo, J.; Wang, Q.; Lundstrom, M.; Dai, H. Ballistic carbon nanotube field-effect transistors. Nature 2003, 424, 654–657. [Google Scholar] [CrossRef]
- Rosenblatt, S.; Yaish, Y.; Park, J.; Gore, J.; Sazonova, V.; McEuen, P.L. High performance electrolyte gated carbon nanotube transistors. Nano Lett. 2002, 2, 869–872. [Google Scholar] [CrossRef]
- Dyakonov, M.; Shur, M. Shallow water analogy for a ballistic field effect transistor: New mechanism of plasma wave generation by dc current. Phys. Rev. Lett. 1993, 71, 2465–2468. [Google Scholar] [CrossRef] [PubMed]
- Dyakonov, M.; Shur, M. Detection, mixing, and frequency multiplication of terahertz radiation by two-dimensional electronic fluid. IEEE Trans. Electron Devices 1996, 43, 380–387. [Google Scholar] [CrossRef]
- Liu, X.; Dovidenko, K.; Park, J.; Ytterdal, T.; Shur, M.S. Compact terahertz SPICE model: Effects of Drude inductance and leakage. IEEE Trans. Electron Devices 2018, 65, 5350–5356. [Google Scholar] [CrossRef]
- Gutin, A.; Kachorovskii, V.; Muraviev, A.; Shur, M. Plasmonic terahertz detector response at high intensities. J. Appl. Phys. 2012, 112, 014508. [Google Scholar] [CrossRef]
- Liu, X.; Ytterdal, T.; Shur, M. Plasmonic FET Terahertz Spectrometer. IEEE Access 2020, 8, 56039–56044. [Google Scholar] [CrossRef]
- Gorbenko, I.V.; Kachorovskii, V.Y.; Shur, M. Terahertz plasmonic detector controlled by phase asymmetry. Opt. Express 2019, 27, 4004–4013. [Google Scholar] [CrossRef]
- Shur, M.S.; Ryzhii, V. Plasma wave electronics. Int. J. High Speed Electron. Syst. 2003, 13, 575–600. [Google Scholar] [CrossRef]







© 2020 by the authors. Licensee MDPI, Basel, Switzerland. This article is an open access article distributed under the terms and conditions of the Creative Commons Attribution (CC BY) license (http://creativecommons.org/licenses/by/4.0/).
Share and Cite
Park, J.; Liu, X.; Ytterdal, T.; Shur, M. Carbon Nanotube Detectors and Spectrometers for the Terahertz Range. Crystals 2020, 10, 601. https://doi.org/10.3390/cryst10070601
Park J, Liu X, Ytterdal T, Shur M. Carbon Nanotube Detectors and Spectrometers for the Terahertz Range. Crystals. 2020; 10(7):601. https://doi.org/10.3390/cryst10070601
Chicago/Turabian StylePark, Junsung, Xueqing Liu, Trond Ytterdal, and Michael Shur. 2020. "Carbon Nanotube Detectors and Spectrometers for the Terahertz Range" Crystals 10, no. 7: 601. https://doi.org/10.3390/cryst10070601
APA StylePark, J., Liu, X., Ytterdal, T., & Shur, M. (2020). Carbon Nanotube Detectors and Spectrometers for the Terahertz Range. Crystals, 10(7), 601. https://doi.org/10.3390/cryst10070601
 
        


