The Phase Transition and Dehydration in Epsomite under High Temperature and High Pressure
Abstract
1. Introduction
2. Materials and Methods
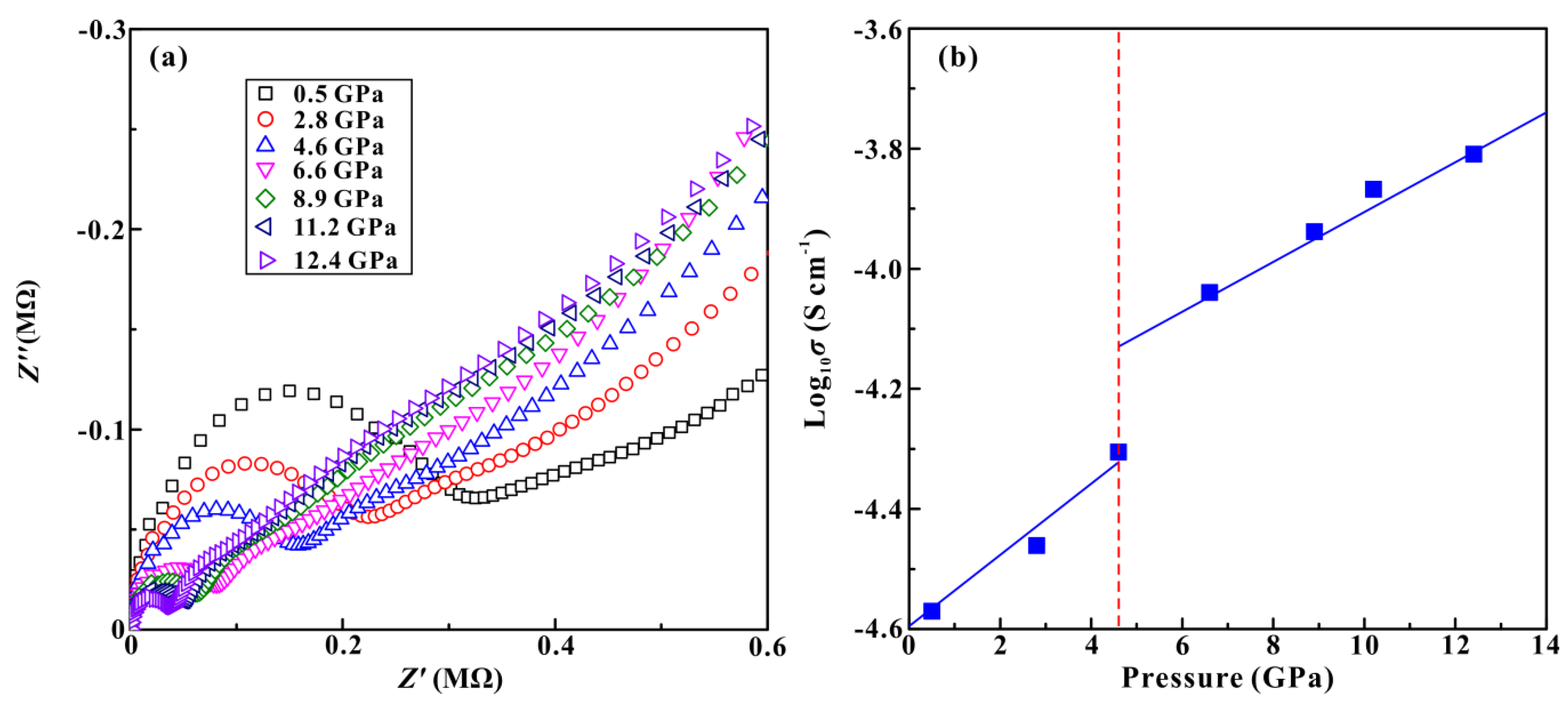
3. Results and Discussion
4. Conclusions
Author Contributions
Funding
Conflicts of Interest
References
- McCord, T.B.; Hansen, G.B.; Matson, D.L.; Johnson, T.V.; Crowley, J.K.; Fanale, F.P.; Carlson, R.W.; Smythe, W.D.; Martin, P.D.; Hibbitts, C.A.; et al. Hydrated salt minerals on Europa’s surface from the Galileo near-infrared mapping spectrometer (NIMS) investigation. J. Geophys. Res.: Planet 1999, 104, 11827–11851. [Google Scholar] [CrossRef]
- McCord, T.B.; Hansen, G.B.; Hibbitts, C.A. Hydrated salt minerals on Ganymede’s surface: Evidence of an ocean below. Nature 2001, 5521, 1523–1525. [Google Scholar] [CrossRef] [PubMed]
- Fredriksson, K.; Kerridge, J.F. Carbonates and sulfates in CI chondrites: Formation by aqueous activity on the parent body. Meteoritics 1988, 23, 35–44. [Google Scholar] [CrossRef] [PubMed]
- Fortes, A.D.; Choukroun, M. Phase behaviour of ices and hydrates. Space Sci. Rew. 2010, 153, 185–218. [Google Scholar] [CrossRef]
- Livshits, L.D.; Genshaft, Y.S.; Ryabin, Y.N. Equilibrium diagram of the crystal hydrates of MgSO4 at high pressure. Russ. J. Inorg. Chem. 1963, 8, 676–678. [Google Scholar]
- Gromnitskaya, E.L.; Yagafarov, O.F.; Lyapin, A.G.; Brazhkin, V.V.; Wood, I.G.; Tucker, M.G.; Fortes, A.D. The high-pressure phase diagram of synthetic epsomite (MgSO4·7H2O and MgSO4·7D2O) from ultrasonic and neutron powder diffraction measurements. Phys. Chem. Miner. 2013, 40, 271–285. [Google Scholar] [CrossRef]
- Grasset, O.; Sotin, C.; Mousis, O.; Mevel, L. High pressure experiments in the system MgSO4–H2O: Implications for Europa. Lunar Planet Sci. Conf. 2000, 31, 1386. [Google Scholar]
- Nakamura, R.; Ohtani, E. The high-pressure phase relation of the MgSO4–H2O system and its implication for the internal structure of Ganymede. Icarus 2011, 211, 648–654. [Google Scholar] [CrossRef]
- Mirwald, P.W. Experimental study of the dehydration reactions gypsum-bassanite and bassanite-anhydrite at high pressure: Indication of anomalous behavior of H2O at high pressure in the temperature range of 50–300 °C. J. Chem. Phys. 2008, 128, 074502. [Google Scholar] [CrossRef]
- Comodi, P.; Kurnosov, A.; Nazzareni, S.; Dubrovinsky, L. The dehydration process of gypsum under high pressure. Phys. Chem. Miner. 2012, 39, 65–71. [Google Scholar] [CrossRef]
- Comodi, P.; Stagno, V.; Zucchini, A.; Fei, Y.; Prakapenka, V. The compression behavior of blödite at low and high temperature up to ∼10 GPa: Implications for the stability of hydrous sulfates on icy planetary bodies. Icarus 2017, 285, 137–144. [Google Scholar] [CrossRef]
- Pu, C.; Dai, L.; Li, H.; Hu, H.; Zhuang, Y.; Liu, K.; Yang, L.; Hong, M. High–pressure electrical conductivity and Raman spectroscopy of chalcanthite. Spectrosc. Lett. 2018, 51, 531–539. [Google Scholar] [CrossRef]
- Yang, L.; Dai, L.; Li, H.; Hu, H.; Zhuang, Y.; Liu, K.; Pu, C.; Hong, M. Pressure-induced structural phase transition and dehydration for gypsum investigated by Raman spectroscopy and electrical conductivity. Chem. Phys. Lett. 2018, 706, 151–157. [Google Scholar] [CrossRef]
- Mao, H.K.; Xu, J.; Bell, P.M. Calibration of the ruby pressure gauge to 800 kbar under quasi-hydrostatic conditions. J. Geophys. Res. 1986, 91, 4673. [Google Scholar] [CrossRef]
- Rekhi, S.; Dubrovinsky, L.S.; Saxena, S.K. Temperature-induced ruby fluorescence shifts up to a pressure of 15 GPa in an externally heated diamond anvil cell. High Temp.-High Press. 1999, 31, 299–305. [Google Scholar] [CrossRef]
- Dai, L.; Zhuang, Y.; Li, H.; Wu, L.; Hu, H.; Liu, K.; Yang, L.; Pu, C. Pressure-induced irreversible amorphization and metallization with a structural phase transition in arsenic telluride. J. Matter. Chem. C 2017, 5, 12157–12162. [Google Scholar] [CrossRef]
- Dai, L.; Liu, K.; Li, H.; Wu, L.; Hu, H.; Zhuang, Y.; Yang, L.; Pu, C.; Liu, P. Pressure-induced irreversible metallization accompanying the phase transitions in Sb2S3. Phys. Rev. B 2018, 97, 024103. [Google Scholar] [CrossRef]
- Dai, L.; Pu, C.; Li, H.; Hu, H.; Liu, K.; Yang, L.; Hong, M. Characterization of metallization and amorphization for GaP under different hydrostatic environments in diamond anvil cell up to 40.0 GPa. Rev. Sci. Instrum. 2019, 90, 066103. [Google Scholar] [CrossRef]
- Wang, A.; Freeman, J.J.; Jolliff, B.L.; Chou, I.M. Sulfates on Mars: A systematic Raman spectroscopic study of hydration states of magnesium sulfates. Geochim. Cosmochim. Ac. 2006, 70, 6118–6135. [Google Scholar] [CrossRef]
- Gonzalez-Platas, J.; Rodriguez-Hernandez, P.; Muñoz, A.; Rodríguez-Mendoza, U.R.; Nénert, G.; Errandonea, D. A high-pressure investigation of the synthetic analogue of chalcomenite, CuSeO3·2H2O. Crystals 2019, 9, 643. [Google Scholar] [CrossRef]
- Huang, E.; Xu, J.A.; Lin, J.F.; Hu, J.Z. Pressure-induced phase transitions in gypsum. High Pressure Res. 2000, 17, 57–75. [Google Scholar] [CrossRef]
- Knittle, E.; Phillips, W.; Williams, Q. An infrared and Raman spectroscopic study of gypsum at high pressures. Phys. Chem. Miner. 2001, 28, 630–640. [Google Scholar] [CrossRef]
- Brand, H.E.A.; Fortes, A.D.; Wood, I.G.; Vočadlo, L. Equation of state and pressure-induced structural changes in mirabilite (Na2SO4·10H2O) determined from ab initio density functional theory calculations. Phys. Chem. Miner. 2009, 37, 265–282. [Google Scholar] [CrossRef]
- Errandonea, D.; Segura, A.; Martínez-García, D.; Muñoz-San Jose, V. Hall-effect and resistivity measurements in CdTe and ZnTe at high pressure: Electronic structure of impurities in the zinc-blende phase and the semimetallic or metallic character of the high-pressure phases. Phys. Rev. B 2009, 79, 125203. [Google Scholar] [CrossRef]
- Errandonea, D.; Muñoz, A.; Gonzalez-Platas, J. Comment on “High-pressure x-ray diffraction study of YBO3/Eu3+, GdBO3, and EuBO3: Pressure-induced amorphization in GdBO3” [J. Appl. Phys. 115, 043507 (2014)]. J. Appl. Phys. 2014, 115, 216101. [Google Scholar] [CrossRef]
- Benmakhlouf, A.; Errandonea, D.; Bouchenafa, M.; Maabed, S.; Bouhemadou, A.; Bentabet, A. New pressure-induced polymorphic transitions of anhydrous magnesium sulfate. Dalton Trans. 2017, 46, 5058–5068. [Google Scholar] [CrossRef]
- Brotton, S.J.; Kaiser, R.I. In situ Raman spectroscopic study of gypsum (CaSO4·2H2O) and epsomite (MgSO4·7H2O) dehydration utilizing an ultrasonic levitator. J. Phys. Chem. Lett. 2013, 4, 669–673. [Google Scholar] [CrossRef]
- Cardell, C.; Sánchez-Navas, A.; Olmo-Reyes, F.J.; Martín-Ramos, J.D. Powder X-ray thermodiffraction study of mirabilite and epsomite dehydration. Effects of direct IR-irradiation on samples. Anan. Chem. 2007, 79, 4455–4462. [Google Scholar] [CrossRef]
- Donkers, P.A.J.; Linnow, K.; Pel, L.; Steiger, M.; Adan, O.C.G. NaSO4·10H2O dehydration in view of thermal storage. Chem. Eng. Sci. 2015, 134, 360–366. [Google Scholar] [CrossRef]
- Nagase, K.; Yokobayashi, H.; Kikuchi, M.; Sone, K. Effects of heating rate (1–300°h-1) on the non-isothermal thermogravimetry of CuSO4·5H2O. Thermochim. Acta 1980, 35, 99–104. [Google Scholar] [CrossRef]







© 2020 by the authors. Licensee MDPI, Basel, Switzerland. This article is an open access article distributed under the terms and conditions of the Creative Commons Attribution (CC BY) license (http://creativecommons.org/licenses/by/4.0/).
Share and Cite
Yang, L.; Dai, L.; Li, H.; Hu, H.; Hong, M.; Zhang, X. The Phase Transition and Dehydration in Epsomite under High Temperature and High Pressure. Crystals 2020, 10, 75. https://doi.org/10.3390/cryst10020075
Yang L, Dai L, Li H, Hu H, Hong M, Zhang X. The Phase Transition and Dehydration in Epsomite under High Temperature and High Pressure. Crystals. 2020; 10(2):75. https://doi.org/10.3390/cryst10020075
Chicago/Turabian StyleYang, Linfei, Lidong Dai, Heping Li, Haiying Hu, Meiling Hong, and Xinyu Zhang. 2020. "The Phase Transition and Dehydration in Epsomite under High Temperature and High Pressure" Crystals 10, no. 2: 75. https://doi.org/10.3390/cryst10020075
APA StyleYang, L., Dai, L., Li, H., Hu, H., Hong, M., & Zhang, X. (2020). The Phase Transition and Dehydration in Epsomite under High Temperature and High Pressure. Crystals, 10(2), 75. https://doi.org/10.3390/cryst10020075

