Electric Transport of Nodal Line Semimetals in Single-Component Molecular Conductors
Abstract
1. Introduction
2. Model and Formulation
2.1. TB Model
2.2. Total Hamiltonian
2.3. Conductivity
3. Electric Transport
3.1. Conductivity by Impurity Scattering
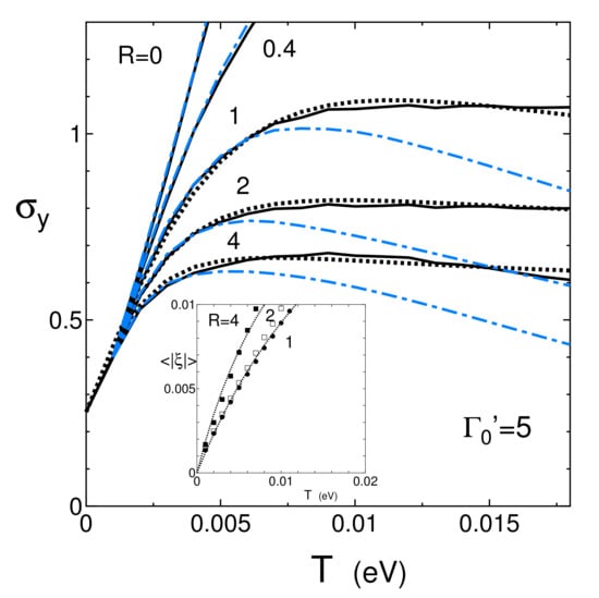
3.2. Effect of Phonon Scattering on the Conductivity
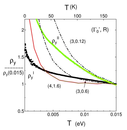
3.3. Comparison with Experiment
4. Summary and Discussion
Author Contributions
Funding
Acknowledgments
Conflicts of Interest
Appendix A. TB Model
References
- Seo, H.; Hotta, C.; Fukuyama, H. Toward Systematic Understanding of Diversity of Electronic Properties in Low-Dimensional Molecular Solids. Chem. Rev. 2004, 104, 5005–5035. [Google Scholar] [CrossRef] [PubMed]
- Herring, C. Accidental Degeneracy in the Energy Bands of Crystal. Phys. Rev. 1937, 52, 365–373. [Google Scholar] [CrossRef]
- Fu, L.; Kane, C.L. Topological insulators with inversion symmetry. Phys. Rev. B 2007, 76, 045302. [Google Scholar] [CrossRef]
- Novoselov, K.S.; Geim, A.K.; Morozov, S.V.; Jiang, D.; Katsnelson, M.I.; Grigorieva, I.V.; Dubonos, S.V.; Firsov, A.A. Two-dimensional gas of massless Dirac fermions in graphene. Nature 2005, 438, 197–200. [Google Scholar] [CrossRef] [PubMed]
- Katayama, S.; Kobayashi, A.; Suzumura, Y. Pressure-Induced Zero-Gap Semiconducting State in Organic Conductor α-(BEDT-TTF)2I3. J. Phys. Soc. Jpn. 2006, 75, 054705. [Google Scholar] [CrossRef]
- Kajita, K.; Nishio, Y.; Tajima, N.; Suzumura, Y.; Kobayashi, A. Molecular Dirac Fermion Systems—Theoretical and Experimental Approaches. J. Phys. Soc. Jpn. 2014, 83, 072002. [Google Scholar] [CrossRef]
- Murakami, S. Phase transition between the quantum spin Hall and insulator phases in 3D: Emergence of a topological gapless phase. N. J. Phys. 2007, 9, 356. [Google Scholar] [CrossRef]
- Hirayama, M.; Okugawa, R.; Murakami, S. Topological Semimetals Studied by Ab Initio Calculations. J. Phys. Soc. Jpn. 2018, 87, 041002. [Google Scholar] [CrossRef]
- Bernevig, A.; Weng, H.; Fang, Z.; Dai, X. Recent Progress in the Study of Topological Semimetals. J. Phys. Soc. Jpn. 2018, 87, 041001. [Google Scholar] [CrossRef]
- Kato, R.; Cui, H.B.; Tsumuraya, T.; Miyazaki, T.; Suzumura, Y. Emergence of the Dirac Electron System in a Single-Component Molecular Conductor under High Pressure. J. Am. Chem. Soc. 2017, 139, 1770–1773. [Google Scholar] [CrossRef]
- Kondo, R.; Kagoshima, S.; Harada, J. Crystal structure analysis under uniaxial strain at low temperature using a unique design of four-axis X-ray diffractometer with a fixed sample. Rev. Sci. Instrum. 2005, 76, 093902. [Google Scholar] [CrossRef]
- Mori, T.; Kobayashi, A.; Sasaki, Y.; Koybayashi, H.; Saito, G.; Inokuchi, H. The Intermolecular Interaction of Tetrathiafulvalene and Bis(ethylenedithio)-tetrathiafulvalene in Organic Metals. Calculation of Orbital Overlaps and Model of Energy-band Structures. Bull. Chem. Soc. Jpn. 1984, 57, 627. [Google Scholar] [CrossRef]
- Kino, H.; Fukuyama, H. Phase Diagram of Two-Dimensional Organic Conductors: (BEDT-TTF)2X. J. Phys. Soc. Jpn. 1996, 65, 2158–2169. [Google Scholar] [CrossRef]
- Kobayashi, A.; Suzumura, Y.; Fukuyama, H. Hall Effect and Orbital Diamagnetism in Zerogap State of Molecular Conductor α-(BEDT-TTF)2I3. J. Phys. Soc. Jpn. 2008, 77, 064718. [Google Scholar] [CrossRef]
- Tajima, N.; Kato, R.; Sugawara, S.; Nishio, Y.; Kajita, K. Interband effects of magnetic field on Hall conductivity in the multilayered massless Dirac fermion system α-(BEDT-TTF)2I3. Phys. Rev. B 2012, 85, 033401. [Google Scholar] [CrossRef]
- Katayama, S.; Kobayashi, A.; Suzumura, Y. Electronic properties close to Dirac cone in two-dimensional organic conductor α-(BEDT-TTF)2I3. Eur. Phys. J. B 2009, 67, 139–148. [Google Scholar] [CrossRef]
- Takano, Y.; Hiraki, K.; Takada, Y.; Yamamoto, H.M.; Takahashi, T. Local Spin Susceptibility Characteristic of Zero-Gap State of α-(BEDT-TTF)2I3 under Pressure. J. Phys. Soc. Jpn. 2010, 79, 104704. [Google Scholar] [CrossRef]
- Hirata, M.; Ishikawa1, K.; Miyagawa1, K.; Tamura, M.; Berthier, C.; Basko, D.; Kobayashi, A.; Matsuno, G.; Kanoda, K. Observation of an anisotropic Dirac cone reshaping and ferrimagnetic spin polarization in an organic conductor. Nat. Commun. 2016, 7, 12666. [Google Scholar] [CrossRef]
- Suzumura, Y.; Proskurin, I.; Ogata, M. Effect of Tilting on the In-Plane Conductivity of Dirac Electrons in Organic Conductor. J. Phys. Soc. Jpn. 2014, 83, 023701. [Google Scholar] [CrossRef]
- Proskurin, I.; Ogata, M. Thermoelectric Transport Coefficients for Massless Dirac Electrons in Quantum Limit. J. Phys. Soc. Jpn. 2013, 82, 063712. [Google Scholar] [CrossRef]
- Cui, H.; Brooks, J.S.; Kobayashi, A.; Kobayashi, H. Metallization of the single component molecular semiconductor [Ni(ptdt)2] under very high pressure. J. Am. Chem. Soc. 2009, 131, 6358–6359. [Google Scholar]
- Souto, M.; Cui, H.B.; Pena-Alvarez, M.; Baonza, V.G.; Jeschke, H.O.; Tomic, M.; Valenti, R.; Blasi, D.; Ratera, I.; Rovira, C.; et al. Pressure-Induced Conductivity in a Neutral Nonplanar Spin-Localized Radical. J. Am. Chem. Soc. 2016, 138, 11517–11525. [Google Scholar] [PubMed]
- Souto, M.; Gullo, M.C.; Cui, H.B.; Casati, N.; Montisci, F.; Jeschke, H.O.; Valenti, R.; Ratera, I.; Rovira, C.; Veciana, J. Role of the Open-Shell Character on the Pressure-Induced Conductivity of an Organic Donor-Acceptor Radical Dyad. Chem. Eur. J. 2018, 24, 5500–5505. [Google Scholar] [PubMed]
- Mailman, A.; Wong, J.W.L.; Winter, S.M.; Claridge, R.C.M.; Robertson, C.M.; Assoud, A.; Yong, W.; Steven, E.; Dube, P.A.; Tse, J.S.; et al. Fine Tuning the Performance of Multiorbital Radical Conductors by Substituent Effects. J. Am. Chem. Soc. 2017, 139, 1625–1635. [Google Scholar]
- Tian, D.; Winter, S.M.; Mailman, A.; Wong, J.W.L.; Yong, W.; Yamaguchi, H.; Jia, Y.; Tse, J.S.; Desgreniers, S.; Secco, R.A.; et al. The Metallic State in Neutral Radical Conductors: Dimensionality, Pressure and Multiple Orbital Effects. J. Am. Chem. Soc. 2015, 137, 14136–14148. [Google Scholar] [PubMed]
- Cui, H.B.; Tsumuraya, T.; Kawasugi, Y.; Kato, R. Pressure Induced Superconductivity and Dirac Cone Formation in Single-Component Molecular Conductors. In Proceedings of the 17th International Conference on High Pressure in Semiconductor Physics (HPSP-17), Tokyo, Japan, 7–11 August 2016. [Google Scholar]
- Tsumuraya, T.; Cui, H.B.; Miyazaki, T.; Okano, Y.; Kato, R. Pressure-Induced Metallic Conductivity in the Single-Component Molecular Crystal [Ni(dmit)2]. Eur. J. Inorg. Chem. 2014, 24, 3837–3840. [Google Scholar]
- Kato, R.; Suzumura, Y. Novel Dirac Electron in Single-Component Molecular Conductor [Pd(dddt)2] (dddt = 5,6-dihydro-1,4-dithiin-2,3-dithiolate). J. Phys. Soc. Jpn. 2017, 86, 064705. [Google Scholar]
- Liu, Z.; Wang, H.; Wang, Z.F.; Yang, J.; Liu, F. Pressure-induced organic topological nodal-line semimetal in the three-dimensional molecular crystal Pd(dddt)2. Phys. Rev. B 2018, 97, 155138. [Google Scholar]
- Tsumuraya, T.; Kato, R.; Suzumura, Y. Effective Hamiltonian of Topological Nodal Line Semimetal in Single-Component Molecular Conductor [Pd(dddt)2] from First-Principles. J. Phys. Soc. Jpn. 2018, 87, 113701. [Google Scholar]
- Katayama, S.; Kobayashi, A.; Suzumura, Y. Electric Conductivity of the Zero-Gap Semiconducting State in α-(BEDT-TTF)2I3 Salt. J. Phys. Soc. Jpn. 2006, 75, 023708. [Google Scholar]
- Tajima, N.; Sugawara, S.; Tamura, M.; Kato, R.; Nishio, Y.; Kajita, K. Transport properties of massless Dirac fermions in an organic conductor α-(BEDT-TTF)2I3 under pressure. EPL 2007, 80, 47002. [Google Scholar] [CrossRef]
- Suzumura, Y.; Oagata, M. Role of acoustic phonons in exotic conductivity of two-dimensional Dirac electrons. Phys. Rev. B 2018, 98, 161205. [Google Scholar] [CrossRef]
- Suzumura, Y. Anisotropic Conductivity of Nodal Line Semimetal in Single-Component Molecular Conductor [Pd(dddt)2]. J. Phys. Soc. Jpn. 2017, 86, 124710. [Google Scholar] [CrossRef]
- Suzumura, Y.; Cui, H.B.; Kato, R. Conductivity and Resistivity of Dirac Electrons in Single-Component Molecular Conductor [Pd(dddt)2]. J. Phys. Soc. Jpn. 2018, 87, 084702. [Google Scholar] [CrossRef]
- Kato, R.; Yeung, H.H.-M.; Cui, H.B.; Minamidate, T.; Suzumura, Y. Electronic Structure of a Single-Component Molecular Conductor [Pd(dddt)2] (dddt = 5,6-dihydro-1,4-dithiin-2,3-dithiolate) under High Pressure. arXiv 2020, arXiv:2008.09277. [Google Scholar]
- Fröhlich, H. On the theory of superconductivity: The one-dimensional case. Proc. Phys. Soc. A 1954, 223, 296–305. [Google Scholar]
- Holstein, T. Theory of Transport Phenomena in an Electron-Phonon Gas. Ann. Phys. 1964, 29, 410–535. [Google Scholar] [CrossRef]
- Abrikosov, A.A.; Gorkov, L.P.; Dzyaloshinskii, I.E. Methods of Quantum Field Theory in Statistical Physics; Prentice-Hall: Englewood Cliffs, NJ, USA, 1963. [Google Scholar]
- Cui, H.B.; Yeung, H.H.-M.; Kawasugi, Y.; Minamidate, T.; Warren, M.R.; Kato, R. High Pressure Crystal Structure and Unusual Magnetoresistance of a Single-component Molecular conductor [Pd(dddt)2] (dddt = 5,6-dihydro-1,4-dithiin-2,3-dithiolate). 2020, submitted. 2020. submitted. [Google Scholar]
- Sarma, S.D.; Adam, S.; Hwang, E.H.; Rossi, E. Electronic transport in two-dimensional graphene. Rev. Mod. Phys. 2011, 83, 407–470. [Google Scholar] [CrossRef]







| (stacking) | ||||
| Layer 1 | ||||
| — | — | |||
| (stacking) | ||||
| Layer 2 | ||||
| — | — | |||
| Interlayer | ||||
© 2020 by the authors. Licensee MDPI, Basel, Switzerland. This article is an open access article distributed under the terms and conditions of the Creative Commons Attribution (CC BY) license (http://creativecommons.org/licenses/by/4.0/).
Share and Cite
Suzumura, Y.; Kato, R.; Ogata, M. Electric Transport of Nodal Line Semimetals in Single-Component Molecular Conductors. Crystals 2020, 10, 862. https://doi.org/10.3390/cryst10100862
Suzumura Y, Kato R, Ogata M. Electric Transport of Nodal Line Semimetals in Single-Component Molecular Conductors. Crystals. 2020; 10(10):862. https://doi.org/10.3390/cryst10100862
Chicago/Turabian StyleSuzumura, Yoshikazu, Reizo Kato, and Masao Ogata. 2020. "Electric Transport of Nodal Line Semimetals in Single-Component Molecular Conductors" Crystals 10, no. 10: 862. https://doi.org/10.3390/cryst10100862
APA StyleSuzumura, Y., Kato, R., & Ogata, M. (2020). Electric Transport of Nodal Line Semimetals in Single-Component Molecular Conductors. Crystals, 10(10), 862. https://doi.org/10.3390/cryst10100862

