Catalytic Properties of Double Substituted Lanthanum Cobaltite Nanostructured Coatings Prepared by Reactive Magnetron Sputtering
Abstract
1. Introduction
2. Results
2.1. Preparation and Characterization of LaCoO3 Catalytic Coatings
2.2. Preparation and Characterization of La1-x-ySrxAgyCoO3-α (LSACO) Catalytic Coatings
2.3. Catalytic Performances of the Perovskite Coatings
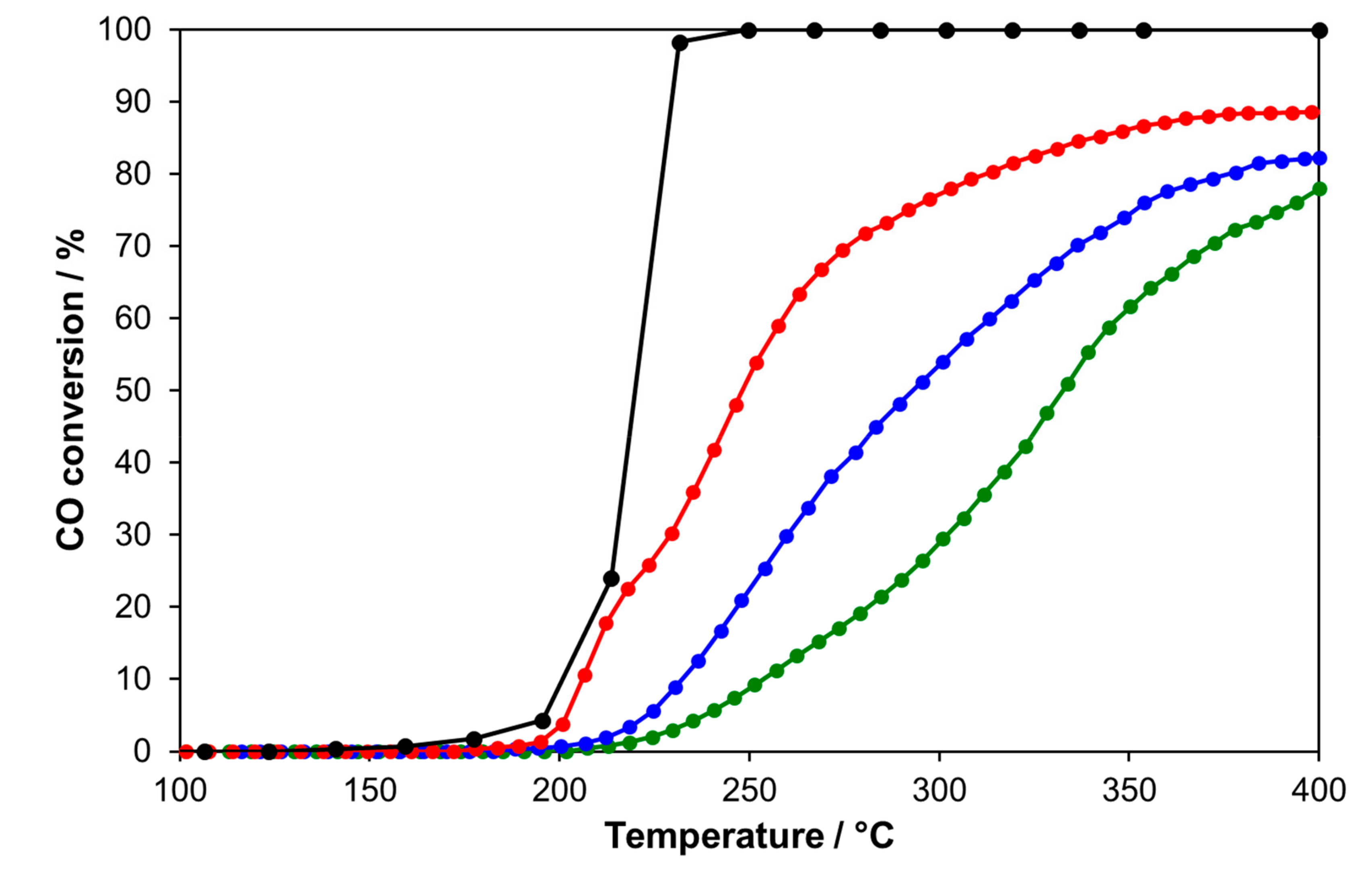
2.3.1. Catalytic Performances for CO Oxidation
2.3.2. Catalytic Performances in a Model Lean Diesel Exhaust Gas
3. Materials and Methods
3.1. Preparation of the Catalytic Coatings
3.2. Characterizations of the Catalytic Coatings
3.3. Catalytic Activity Measurements
4. Conclusions
Author Contributions
Funding
Conflicts of Interest
References
- Fino, D. Diesel emission control: Catalytic filters for particulate removal. Sci. Technol. Adv. Mater. 2007, 8, 93–100. [Google Scholar] [CrossRef]
- Wang, X.; Zhang, Y.X.; Li, Q.; Wang, Z.P.; Zhang, Z.L. Identification of active oxygen species for soot combustion on LaMnO3 perovskite. Catal. Sci. Technol. 2012, 2, 1822–1824. [Google Scholar] [CrossRef]
- Hernández, W.Y.; Tsampas, M.N.; Zhao, C.; Boreave, A.; Bosselet, F.; Vernoux, P. La/Sr-based perovskites as soot oxidation catalysts for Gasoline Particulate Filters. Catal. Today 2015, 258, 525–534. [Google Scholar] [CrossRef]
- Pena, M.A.; Fierro, J.L.G. Chemical Structures and Performance of Perovskite Oxides. Chem. Rev. 2001, 101, 1981–2017. [Google Scholar] [CrossRef] [PubMed]
- Ciambelli, P.; Cimino, S.; Lisis, L.; Faticanti, M.; Minelli, G.; Pettiti, I.; Porta, P. La, Ca and Fe oxide perovskites: Preparation, characterization and catalytic properties for methane combustion. Appl. Catal. B 2001, 33, 193–203. [Google Scholar] [CrossRef]
- Song, K.S.; Cui, H.X.; Kim, S.D.; Kang, S.K. Catalytic combustion of CH4 and CO on La1−xMxMnO3 perovskites. Catal. Today 1999, 47, 155–160. [Google Scholar] [CrossRef]
- Hwang, H.J.; Awano, M. Preparation of LaCoO3 catalytic thin film by the sol–gel process and its NO decomposition characteristics. J. Eur. Ceram. Soc. 2001, 21, 2103–2107. [Google Scholar] [CrossRef]
- Teng, F.; Liang, S.; Gaugeu, B.; Zong, R.; Yao, W.; Zhu, Y. Carbon nanotubes-templated assembly of LaCoO3 nanowires at low temperatures and its excellent catalytic properties for CO oxidation. Catal. Commun. 2007, 8, 1748–1754. [Google Scholar] [CrossRef]
- Hattori, T.; Matsui, T.; Tsuda, H.; Mabuchi, H.; Morii, K. Fabrication and electric properties of LaCoO3 thin films by ion-beam sputtering. Thin Solid Films 2001, 388, 183–188. [Google Scholar] [CrossRef]
- López, M.L.; Arillo, M.A.; Álvarez-Serrano, I.; Martín, P.; Rodríguez, E.; Pico, C.; Veiga, M.L. Random spin configurations of Co cations in LaCo1−xMgxO3 (0 <x ≤ 0.20) perovskite oxides: Magnetic and transport properties. Mater. Chem. Phys. 2010, 120, 387–392. [Google Scholar] [CrossRef]
- Uhlenbruck, S.; Tietz, F. High-temperature thermal expansion and conductivity of cobaltites: Potentials for adaptation of the thermal expansion to the demands for solid oxide fuel cells. Mater. Sci. Eng. B 2004, 107, 277–282. [Google Scholar] [CrossRef]
- Ullmann, H.; Trofimenko, N.; Tietz, F.; Stöver, D.; Ahmad-Khanlou, A. Correlation between thermal expansion and oxide ion transport in mixed conducting perovskite-type oxides for SOFC cathodes. Solid State Ion. 2000, 138, 79–90. [Google Scholar] [CrossRef]
- Ringuedé, A.; Fouletier, J. Oxygen reaction on strontium-doped lanthanum cobaltite dense electrodes at intermediate. Solid State Ion. 2001, 139, 167–177. [Google Scholar] [CrossRef]
- Weidenkaff, A.; Robert, R.; Aguirre, M.; Bocher, L.; Lippert, T.; Canulescu, S. Development of thermoelectric oxides for renewable energy conversion technologies. Renew. Energy 2008, 33, 342–347. [Google Scholar] [CrossRef]
- Anh, D.T.V.; Olthuis, W.; Bergveld, P. Sensing properties of perovskite oxide La0.5Sr0.5CoO3−δ obtained by using pulsed laser deposition. Sens. Actuators B 2004, 103, 165–168. [Google Scholar] [CrossRef]
- Popa, M.; Hong, L.V.; Kakihana, M. Particle morphology characterization and magnetic properties of LaMnO3+d perovskites. Phys. B Condens. Matter 2003, 327, 237–240. [Google Scholar] [CrossRef]
- Ngamou, P.H.T.; Bahlawane, N. Chemical vapor deposition and electric characterization of perovskite oxides LaMO3 (M=Co, Fe, Cr and Mn) thin films. J. Solid State Chem. 2009, 182, 849–854. [Google Scholar] [CrossRef]
- Popa, M.; Calderón-Moreno, J.M. Lanthanum cobaltite thin films on stainless steel. Thin Solid Films 2009, 517, 1530–1533. [Google Scholar] [CrossRef]
- Roche, V.; Siebert, E.; Steil, M.C.; Deloume, J.P.; Roux, C.; Pagnier, T.; Revel, R.; Vernoux, P. Electrochemical promotion of propane deep oxidation on doped lanthanum manganites. Ionics 2008, 14, 235–241. [Google Scholar] [CrossRef]
- Seim, H.; Nieminen, M.; Niinisto, L.; Fjellvag, H.; Johansson, L.S. Growth of LaCoO3 thin films from β-diketonate precursors. Appl. Surf. Sci. 1997, 112, 243–250. [Google Scholar] [CrossRef]
- Robert, R.; Aguirre, M.H.; Bocher, L.; Trottmann, M.; Heiroth, S.; Lippert, T.; Döbeli, M.; Weidenkaff, A. Thermoelectric properties of LaCo1−xNixO3 polycrystalline samples and epitaxial thin films. Solid State Sci. 2008, 10, 502–507. [Google Scholar] [CrossRef]
- Karoum, R.; Roche, V.; Pirovano, C.; Vannier, R.; Billard, A.; Vernoux, P. CGO-based electrochemical catalysts for low temperature combustion of propene. J. Appl. Electrochem. 2010, 40, 1867–1873, ISSN: 0021-891X (Print) 1572-8838 (Online). [Google Scholar] [CrossRef]
- Cui, W.Y.; Li, P.; Bai, H.L. Spin-state configuration induced faster spin dynamics in epitaxial La1−xSrxCoO3 thin films. Solid State Commun. 2015, 209–210, 49–54. [Google Scholar] [CrossRef]
- Tsiakaras, P.; Athanasiou, C.; Marnellos, G.; Stoukides, M.; Elshof, J.E.T.; Bouwmeester, H.J.M. Methane activation on a La0.6Sr0.4Co0.8Fe0.2O3 perovskite: Catalytic and electrocatalytic results. Appl. Catal. A Gen. 1998, 169, 249–261. [Google Scholar] [CrossRef]
- Gaillard, F.; Li, X.; Uray, M.; Vernoux, P. Electrochemical Promotion of Propene Combustion in Air Excess on Perovskite Catalyst. Catal. Lett. 2004, 96, 177–183, ISSN: 1011-372X (Print) 1572-879X (Online). [Google Scholar] [CrossRef]
- Vernoux, P.; Lizarraga, L.; Tsampas, M.N.; Sapountzi, F.M.; de Lucas-Consuegra, A.; Valverde, J.L.; Souentie, S.; Vayenas, C.G.; Tsiplakides, D.; Balomenou, S.; et al. Ionically Conducting Ceramics as Active Catalyst Supports. Chem. Rev. 2013, 113, 8192–8260. [Google Scholar] [CrossRef]
- Monaghan, D.; Arnell, R.D. Novel PVD films by unbalanced magnetron sputtering. Vacuum 1992, 43, 77–81. [Google Scholar] [CrossRef]
- Kelly, P.J.; O’Brien, J.; Arnell, R.D. The production of porous and chemically reactive coatings by magnetron sputtering. Vacuum 2004, 74, 1–10. [Google Scholar] [CrossRef]
- Rousseau, S.; Loridant, S.; Delichere, P.; Boreave, A.; Deloume, J.P.; Vernoux, P. La(1−x)SrxCo1−yFeyO3 perovskites prepared by sol–gel method: Characterization and relationships with catalytic properties for total oxidation of toluene. Appl. Catal. B 2009, 88, 438–447. [Google Scholar] [CrossRef]
- O’Connell, M.; Norman, A.K.; Huttermann, C.F.; Morris, M.A. Catalytic oxidation over lanthanum-transition metal perovskite materials. Catal. Today 1999, 47, 123–132. [Google Scholar] [CrossRef]
- Pecchi, G.; Campos, C.M.; Jiliberto, M.G.; Delgado, E.J.; Fierro, J.L.G. Effect of additive Ag on the physicochemical and catalytic properties of LaMn0.9Co0.1O3.5 perovskite. Appl. Catal. A 2009, 371, 78–84. [Google Scholar] [CrossRef]
- Hernández, W.Y.; Lopez-Gonzalez, D.; Ntais, S.; Zhao, C.; Boréave, A.; Vernoux, P. Silver-modified manganite and ferrite perovskites for catalyzed gasoline particulate filters. Appl. Catal. B 2018, 226, 202–212. [Google Scholar] [CrossRef]
- Yazdi, M.A.P.; Briois, P.; Georges, S.; Lapostolle, F.; Billard, A. Structural and electrical characterisation of strontium zirconate proton conductor co-sputter deposited coatings. Ionics 2008, 14, 285–291, ISSN: 0947-7047 (Print) 1862-0760 (Online). [Google Scholar] [CrossRef]
- Yazdi, M.A.P.; Briois, P.; Billard, A. Influence of the annealing conditions on the structure of BaCe1−xYxO3−α coatings elaborated by DC magnetron sputtering at room temperature. Mater. Chem. Phys. 2009, 117, 178–182. [Google Scholar] [CrossRef]
- Creus, J.; Berziou, C.; Cohendoz, S.; Perez, A.; Rébéré, C.; Reffass, M.; Touzain, S.; Allely, C.; Gachon, Y.; Héau, C.; et al. Reactivity classification in saline solution of magnetron sputtered or EBPVD pure metallic, nitride and Al-based alloy coatings. Corros. Sci. 2012, 57, 162–173. [Google Scholar] [CrossRef]
- Hwang, H.J.; Moon, J.; Awano, M.; Maeda, K. Sol–Gel Route to Porous Lanthanum Cobaltite (LaCoO3) Thin Films. J. Am. Ceram. Soc. 2004, 83, 2852–2854. [Google Scholar] [CrossRef]
- Sanchette, F.; Billard, A.; Frantz, C. Mechanically reinforced and corrosion-resistant sputtered amorphous aluminium alloy coatings. Surf. Coat. Technol. 1998, 98, 1162–1168. [Google Scholar] [CrossRef]
- Tietz, F. Thermal expansion of SOFC materials. Ionics 1999, 5, 129–139. [Google Scholar] [CrossRef]
- Abe, O.; Taketa, Y.; Haradome, M. The Effect of Various Factors on the Resistance and TCR of RuO2 Thick Film Resistors—Relation Between the Electrical Properties and Particle Size of Constituents, the Physical Properties of Glass and Firing Temperature. Act. Passiv. Electron. Compon. 1988, 13, 67–83. [Google Scholar] [CrossRef][Green Version]
- Shannon, R.D. Revised effective ionic radii and systematic studies of interatomic distances in halides and chalcogenides. Acta Crystallogr. 1976, A32, 751–767. [Google Scholar] [CrossRef]
- Billard, A.; Perry, F. Techniques de l’ingenieur, M1654. Available online: https://www.techniques-ingenieur.fr/base-documentaire/materiaux-th11/traitements-de-surface-des-metaux-par-voie-seche-et-en-milieu-fondu-42360210/pulverisation-cathodique-magnetron-m1654/ (accessed on 22 April 2019).
- Vernoux, P.; Gaillard, F.; Bultel, L.; Siebert, E.; Primet, M. Electrochemical Promotion of Propane and Propene Oxidation on Pt/YSZ. J. Catal. 2002, 208, 412–421. [Google Scholar] [CrossRef]











| Target | Intensity (A) | Pulse Frequency (kHz) | Dead Time (Toff µs) | Ar Flow Rate (sccm) * | O2 Flow Rate (sccm) * | Total Pressure (Pa) | Draw Distance (mm) | Sputtering Time (h) |
|---|---|---|---|---|---|---|---|---|
| La | 1 | 50 | 5 | 50 | 20 | 1.5 | 45 | 3 |
| Co | 0.2 to 0.4 |
| Coating | ILa (A) Pulse (kHz)/Toff (µs) | ISr (A) Pulse (kHz)/Toff (µs) | IAg (A) Pulse (kHz)/Toff (µs) | ICo (A) Pulse (kHz)/Toff (µs) |
|---|---|---|---|---|
| LSACO-1 | 1.2 50/5 | 1.2 350/1.4 | 0.008 0 | 0.35 50/5 |
| LSACO-2 | 0.8 50/5 | 1.1 350/1.4 | 0.009 0 | 0.35 50/5 |
| LSACO-3 | 0.75 50/5 | 1.1 350/1.4 | 0.01 0 | 0.35 50/5 |
| LSACO-4 | 0.6 50/5 | 1.1 350/1.4 | 0.013 0 | 0.35 50/5 |
| LSACO-5 | 0.6 50/5 | 1.1 350/1.4 | 0.013 0 | 0.4 50/5 |
| Coatings | La (at%) | Sr (at%) | Ag (at%) | Co (at%) | Chemical Formula |
| LSACO-1 | 29 ± 0.29 | 14 ± 0.14 | 7 ± 0.07 | 50 ± 0.5 | La0.58Sr0.28Ag0.14Co1O3 |
| LSACO-2 | 29 ± 0.29 | 11 ± 0.11 | 11 ± 0.11 | 49 ± 0.5 | La0.56Sr0.23Ag0.21Co0.94O3 |
| LSACO-3 | 32 ± 0.32 | 9 ± 0.1 | 11 ± 0.11 | 48 ± 0.5 | La0.61Sr0.18Ag0.21Co0.92O3 |
| LSACO-4 | 20 ± 0.20 | 7 ± 0.1 | 25 ± 0.25 | 48 ± 0.5 | La0.39Sr0.13Ag0.49Co0.93O3 |
| LSACO-5 | 21 ± 0.21 | 9 ± 0.1 | 28 ± 0.28 | 42 ± 0.4 | La0.40Sr0.20Ag0.48Co0.70O3 |
| Sample | La at% | Sr at% | Ag at% | Co at% |
|---|---|---|---|---|
| LSACO-4 | 47 | 11 | 12 | 30 |
| LSACO-5 | 51 | 13 | 10 | 26 |
© 2019 by the authors. Licensee MDPI, Basel, Switzerland. This article is an open access article distributed under the terms and conditions of the Creative Commons Attribution (CC BY) license (http://creativecommons.org/licenses/by/4.0/).
Share and Cite
Arab Pour Yazdi, M.; Lizarraga, L.; Vernoux, P.; Billard, A.; Briois, P. Catalytic Properties of Double Substituted Lanthanum Cobaltite Nanostructured Coatings Prepared by Reactive Magnetron Sputtering. Catalysts 2019, 9, 381. https://doi.org/10.3390/catal9040381
Arab Pour Yazdi M, Lizarraga L, Vernoux P, Billard A, Briois P. Catalytic Properties of Double Substituted Lanthanum Cobaltite Nanostructured Coatings Prepared by Reactive Magnetron Sputtering. Catalysts. 2019; 9(4):381. https://doi.org/10.3390/catal9040381
Chicago/Turabian StyleArab Pour Yazdi, Mohammad, Leonardo Lizarraga, Philippe Vernoux, Alain Billard, and Pascal Briois. 2019. "Catalytic Properties of Double Substituted Lanthanum Cobaltite Nanostructured Coatings Prepared by Reactive Magnetron Sputtering" Catalysts 9, no. 4: 381. https://doi.org/10.3390/catal9040381
APA StyleArab Pour Yazdi, M., Lizarraga, L., Vernoux, P., Billard, A., & Briois, P. (2019). Catalytic Properties of Double Substituted Lanthanum Cobaltite Nanostructured Coatings Prepared by Reactive Magnetron Sputtering. Catalysts, 9(4), 381. https://doi.org/10.3390/catal9040381

