Theoretical Study on the Quantum Capacitance Origin of Graphene Cathodes in Lithium Ion Capacitors
Abstract
1. Introduction
2. Results and Discussion
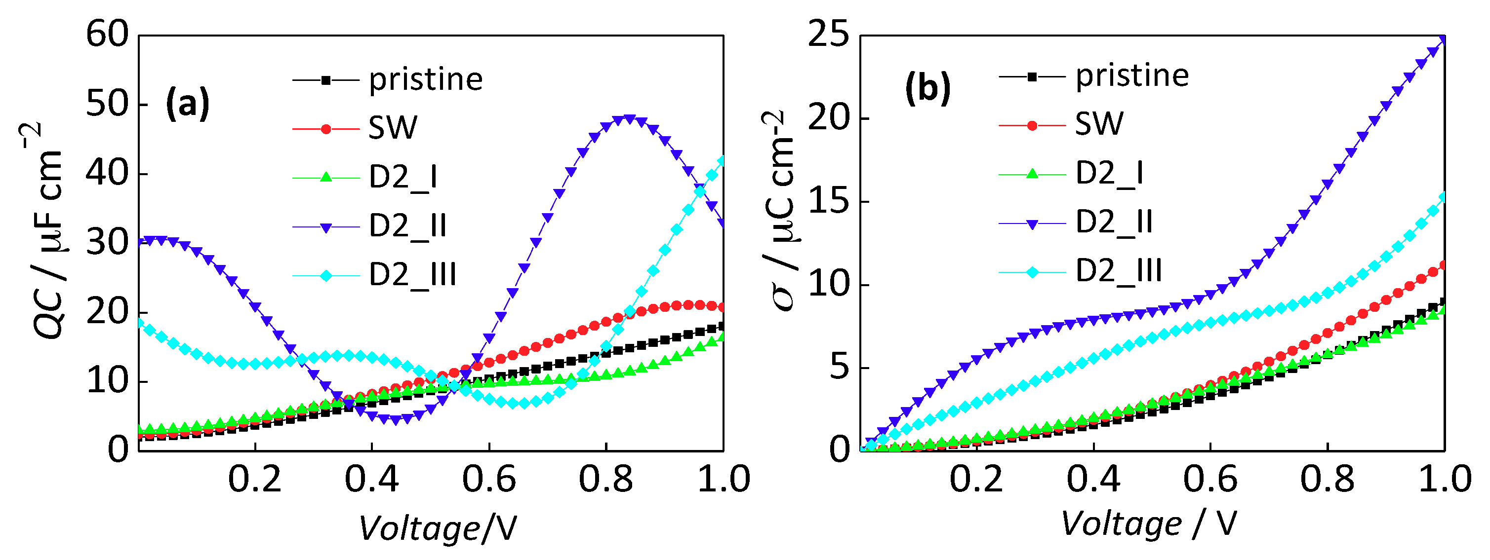
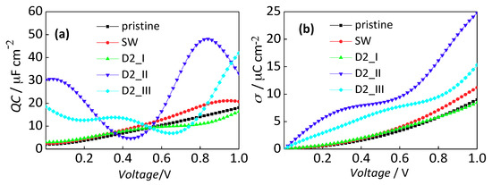
2.1. Point Defects
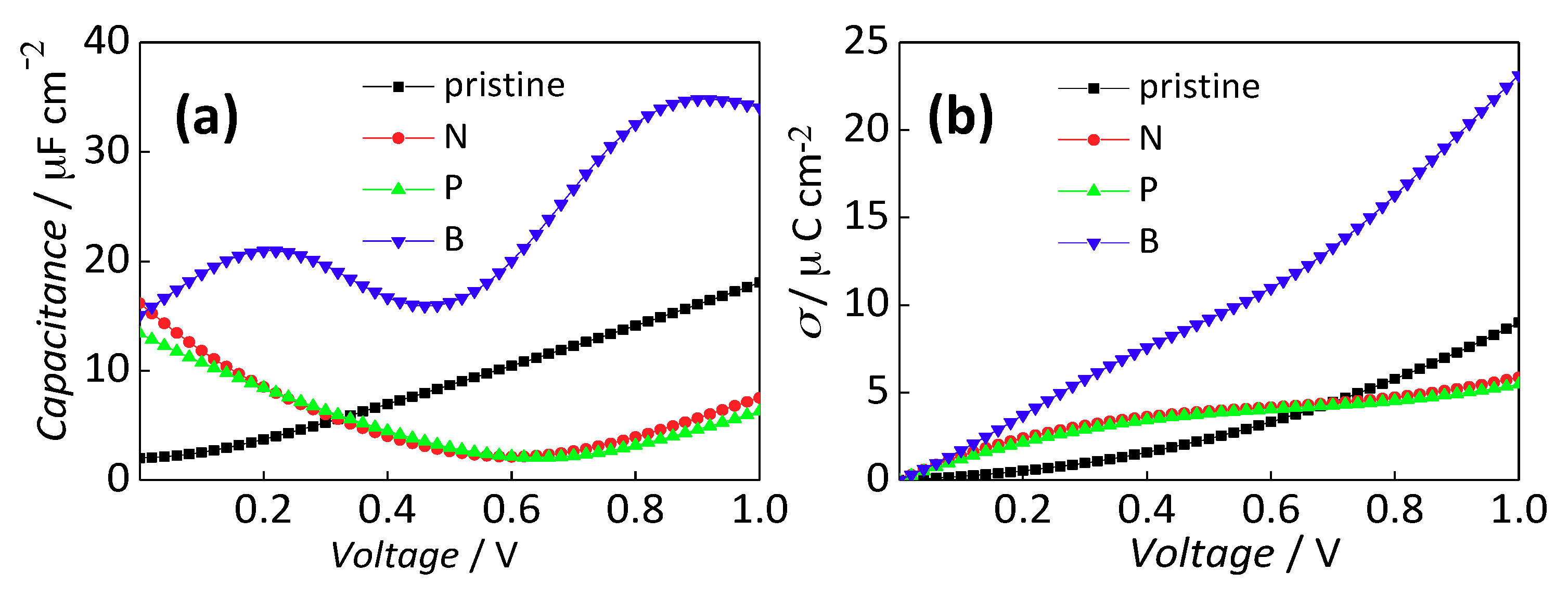
2.2. Doped Graphene
2.3. Unbonded Atoms
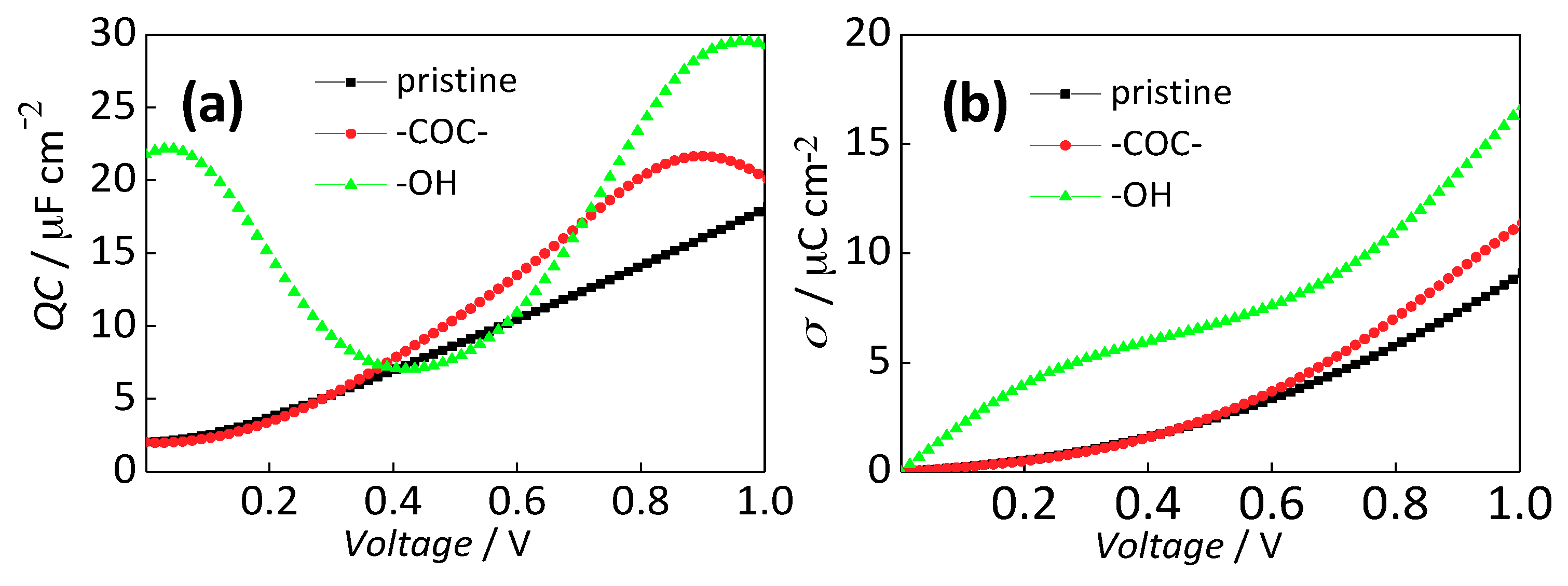
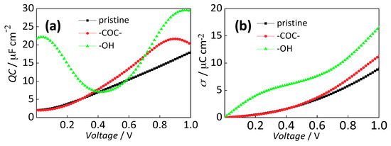
2.4. Residual Oxygen
3. Theoretical Calculation Methods
4. Conclusions
Supplementary Materials
Author Contributions
Funding
Acknowledgments
Conflicts of Interest
References
- Amatucci, G.G.; Badway, F.; Du Pasquier, A.; Zheng, T. An asymmetric hybrid nonaqueous energy storage cell. J. Electrochem. Soc. 2001, 148, A930–A939. [Google Scholar] [CrossRef]
- Khomenko, V.; Raymundo-Piñero, E.; Béguin, F. High-energy density graphite/ac capacitor in organic electrolyte. J. Power Sources 2008, 177, 643–651. [Google Scholar] [CrossRef]
- Decaux, C.; Lota, G.; Raymundo-Pinero, E.; Frackowiak, E.; Beguin, F. Electrochemical performance of a hybrid lithium-ion capacitor with a graphite anode preloaded from lithium bis(trifluoromethane)sulfonimide-based electrolyte. Electrochim. Acta 2012, 86, 282–286. [Google Scholar] [CrossRef]
- Cao, W.J.; Zheng, J.P. The effect of cathode and anode potentials on the cycling performance of li-ion capacitors. J. Electroche. Soc. 2013, 160, A1572–A1576. [Google Scholar] [CrossRef]
- Yu, X.; Zhan, C.; Lv, R.; Bai, Y.; Lin, Y.; Huang, Z.-H.; Shen, W.; Qiu, X.; Kang, F. Ultrahigh-rate and high-density lithium-ion capacitors through hybriding nitrogen-enriched hierarchical porous carbon cathode with prelithiated microcrystalline graphite anode. Nano Energy 2015, 15, 43–53. [Google Scholar] [CrossRef]
- Aida, T.; Murayama, I.; Yamada, K.; Morita, M. Improvement in cycle performance of a high-voltage hybrid electrochemical capacitor. Electrochem. Solid-State Lett. 2007, 10, A93–A96. [Google Scholar] [CrossRef]
- Cao, W.J.; Zheng, J.P. Li-ion capacitors with carbon cathode and hard carbon/stabilized lithium metal powder anode electrodes. J. Power Sources 2012, 213, 180–185. [Google Scholar] [CrossRef]
- Cheng, L.; Liu, H.-J.; Zhang, J.-J.; Xiong, H.-M.; Xia, Y.-Y. Nanosized Li4Ti5O12 prepared by molten salt method as an electrode material for hybrid electrochemical supercapacitors. J. Electrochem. Soc. 2006, 153, A1472–A1477. [Google Scholar] [CrossRef]
- Lee, J.H.; Shin, W.H.; Ryou, M.-H.; Jin, J.K.; Kim, J.; Choi, J.W. Functionalized graphene for high performance lithium ion capacitors. ChemSusChem 2012, 5, 2328–2333. [Google Scholar] [CrossRef] [PubMed]
- Stoller, M.D.; Murali, S.; Quarles, N.; Zhu, Y.; Potts, J.R.; Zhu, X.; Ha, H.-W.; Ruoff, R.S. Activated graphene as a cathode material for li-ion hybrid supercapacitors. Phys.Chem. Chem. Phys. 2012, 14, 3388–3391. [Google Scholar] [CrossRef] [PubMed]
- Leng, K.; Zhang, F.; Zhang, L.; Zhang, T.; Wu, Y.; Lu, Y.; Huang, Y.; Chen, Y. Graphene-based li-ion hybrid supercapacitors with ultrahigh performance. Nano. Res. 2013, 6, 581–592. [Google Scholar] [CrossRef]
- Aravindan, V.; Mhamane, D.; Ling, W.C.; Ogale, S.; Madhavi, S. Nonaqueous lithium-ion capacitors with high energy densities using trigol-reduced graphene oxide nanosheets as cathode-active material. ChemSusChem 2013, 6, 2240–2244. [Google Scholar] [CrossRef] [PubMed]
- Wang, H.; Guan, C.; Wang, X.; Fan, H.J. A high energy and power li-ion capacitor based on a tio2 nanobelt array anode and a graphene hydrogel cathode. Small 2015, 11, 1470–1477. [Google Scholar] [CrossRef] [PubMed]
- John, D.L.; Castro, L.C.; Pulfrey, D.L. Quantum capacitance in nanoscale device modeling. J.Appl.Phys. 2004, 96, 5180–5184. [Google Scholar] [CrossRef]
- Xia, J.; Chen, F.; Li, J.; Tao, N. Measurement of the quantum capacitance of graphene. Nat. Nano. 2009, 4, 505–509. [Google Scholar] [CrossRef] [PubMed]
- Stoller, M.D.; Magnuson, C.W.; Zhu, Y.W.; Murali, S.; Suk, J.W.; Piner, R.; Ruoff, R.S. Interfacial capacitance of single layer graphene. Energy Environ. Sci. 2011, 4, 4685–4689. [Google Scholar] [CrossRef]
- Ji, H.; Zhao, X.; Qiao, Z.; Jung, J.; Zhu, Y.; Lu, Y.; Zhang, L.L.; MacDonald, A.H.; Ruoff, R.S. Capacitance of carbon-based electrical double-layer capacitors. Nat. Commun. 2014, 5, 3317. [Google Scholar] [CrossRef] [PubMed]
- Ebrish, M.A.; Olson, E.J.; Koester, S.J. Effect of noncovalent basal plane functionalization on the quantum capacitance in graphene. ACS Appl. Mater. Interfaces 2014, 6, 10296–10303. [Google Scholar] [CrossRef] [PubMed]
- Paek, E.; Pak, A.J.; Hwang, G.S. A computational study of the interfacial structure and capacitance of graphene in [bmim][pf6] ionic liquid. J. Electrochem. Soc. 2013, 160, A1–A10. [Google Scholar] [CrossRef]
- Lee, J.H.; Shin, W.H.; Lim, S.Y.; Kim, B.G.; Choi, J.W. Modified graphite and graphene electrodes for high-performance lithium ion hybrid capacitors. Mater. Renew. Sustain. Energy 2014, 3, 1–8. [Google Scholar] [CrossRef]
- Tu, F.Y.; Liu, S.Q.; Wu, T.H.; Jin, G.H.; Pan, C.Y. Porous graphene as cathode material for lithium ion capacitor with high electrochemical performance. Powder Technol. 2014, 253, 580–583. [Google Scholar] [CrossRef]
- Yu, X.; Deng, J.; Zhan, C.; Lv, R.; Huang, Z.-H.; Kang, F. A high-power lithium-ion hybrid electrochemical capacitor based on citrate-derived electrodes. Electrochim. Acta 2017, 228, 76–81. [Google Scholar] [CrossRef]
- Banhart, F.; Kotakoski, J.; Krasheninnikov, A.V. Structural defects in graphene. ACS Nano 2011, 5, 26–41. [Google Scholar] [CrossRef] [PubMed]
- Palacios, J.J.; Ynduráin, F. Critical analysis of vacancy-induced magnetism in monolayer and bilayer graphene. Phys. Rev. B 2012, 85, 245443. [Google Scholar] [CrossRef]
- Hou, Z.F.; Wang, X.L.; Ikeda, T.; Terakura, K.; Oshima, M.; Kakimoto, M.; Miyata, S. Interplay between nitrogen dopants and native point defects in graphene. Phys. Rev. B 2012, 85, 165439. [Google Scholar] [CrossRef]
- Latorre-Sánchez, M.; Primo, A.; García, H. P-Doped Graphene Obtained by Pyrolysis of Modified Alginate as a Photocatalyst for Hydrogen Generation from Water–Methanol Mixtures. Angew. Chem.-Int. Ed. 2013, 52, 11813–11816. [Google Scholar] [CrossRef] [PubMed]
- Liu, M.; Zhang, R.; Chen, W. Graphene-supported nanoelectrocatalysts for fuel cells: synthesis, properties, and applications. Chem. Rev. 2014, 114, 5117–5160. [Google Scholar] [CrossRef] [PubMed]
- Wood, K.N.; O’Hayre, R.; Pylypenko, S. Recent progress on nitrogen/carbon structures designed for use in energy and sustainability applications. Energy Environ. Sci. 2014, 7, 1212–1249. [Google Scholar] [CrossRef]
- Wood, B.C.; Ogitsu, T.; Otani, M.; Biener, J. First-principles-inspired design strategies for graphene-based supercapacitor electrodes. J. Phys. Chem. C 2014, 118, 4–15. [Google Scholar] [CrossRef]
- Vatamanu, J.; Ni, X.; Liu, F.; Bedrov, D. Tailoring graphene-based electrodes from semiconducting to metallic to increase the energy density in supercapacitors. Nanotechnology 2015, 26, 464001. [Google Scholar] [CrossRef] [PubMed]
- Zhan, C.; Zhang, Y.; Cummings, P.T.; Jiang, D.-E. Computational insight into the capacitive performance of graphene edge planes. Carbon 2017, 116, 278–285. [Google Scholar] [CrossRef]
- Pak, A.J.; Paek, E.; Hwang, G.S. Tailoring the performance of graphene-based supercapacitors using topological defects: A theoretical assessment. Carbon 2014, 68, 734–741. [Google Scholar] [CrossRef]
- Zhan, C.; Zhang, Y.; Cummings, P.T.; Jiang, D.E. Enhancing graphene capacitance by nitrogen: Effects of doping configuration and concentration. Phys. Chem. Chem. Phys. 2016, 18, 4668–4674. [Google Scholar] [CrossRef] [PubMed]
- Yang, G.M.; Zhang, H.Z.; Fan, X.F.; Zheng, W.T. Density functional theory calculations for the quantum capacitance performance of graphene-based electrode material. J. Phys. Chem. C 2015, 119, 6464–6470. [Google Scholar] [CrossRef]
- Paek, E.; Pak, A.J.; Kweon, K.E.; Hwang, G.S. Non the origin of the enhanced supercapacitor performance of nitrogen-doped graphene. J. Phys. Chem. C 2013, 117, 5610–5616. [Google Scholar] [CrossRef]
- Mousavi-Khoshdel, S.M.; Targholi, E.; Momeni, M.J. A first principle calculation of quantum capacitance of co-doped graphenes as supercapacitor electrodes. J. Phys. Chem. C 2015, 119, 26290–26295. [Google Scholar] [CrossRef]
- Paek, E.; Pak, A.J.; Hwang, G.S. Large capacitance enhancement induced by metal-doping in graphene-based supercapacitors: A first-principles-based assessment. ACS Appl. Mater. Interfaces 2014, 6, 12168–12176. [Google Scholar] [CrossRef] [PubMed]
- Naoi, K. Nanohybrid capacitor: The next generation electrochemical capacitors. Fuel Cells 2010, 10, 825–833. [Google Scholar] [CrossRef]
- Dubal, D.P.; Ayyad, O.; Ruiz, V.; Gomez-Romero, P. Hybrid energy storage: The merging of battery and supercapacitor chemistries. Chem. Soc. Rev. 2015, 44, 1777–1790. [Google Scholar] [CrossRef] [PubMed]
- Zheng, J.; Xiao, J.; Xu, W. Surface and structural stabilities of carbon additives in high voltage lithium ion batteries. J. Power Sources 2013, 227, 211–217. [Google Scholar] [CrossRef]
- Kurzweil, P.; Chwistek, M. Electrochemical stability of organic electrolytes in supercapacitors: Spectroscopy and gas analysis of decomposition products. J. Power Sources 2008, 176, 555–567. [Google Scholar] [CrossRef]
- Pei, S.; Cheng, H.-M. The reduction of graphene oxide. Carbon 2012, 50, 3210–3228. [Google Scholar] [CrossRef]
- Zhan, C.; Neal, J.; Wu, J.; Jiang, D. Quantum effects on the capacitance of graphene-based electrodes. J. Phys. Chem. C 2015, 119, 22297–22303. [Google Scholar] [CrossRef]
- Radin, M.D.; Ogitsu, T.; Biener, J.; Otani, M.; Wood, B.C. Capacitive charge storage at an electrified interface investigated via direct first-principles simulations. Phys. Rev. B 2015, 91, 125415. [Google Scholar] [CrossRef]
- Cheng, Z.; De-en, J. Understanding the pseudocapacitance of RuO2 from joint density functional theory. J. Phys.-Condens. Mat. 2016, 28, 464004. [Google Scholar]
- Kresse, G.; Furthmüller, J. Efficient iterative schemes for ab initio total-energy calculations using a plane-wave basis set. Phys. Rev. B 1996, 54, 11169–11186. [Google Scholar] [CrossRef]
- Blöchl, P.E. Projector augmented-wave method. Phys. Rev. B 1994, 50, 17953–17979. [Google Scholar] [CrossRef]
- Luo, Z.; Lim, S.; Tian, Z. Pyridinic N doped graphene: synthesis, electronic structure, and electrocatalytic property. J. Mater. Chem. 2011, 21, 8038–8044. [Google Scholar] [CrossRef]
- Lai, L.; Potts, J.R.; Zhan, D.; Wang, L.; Poh, C.K.; Tang, C.; Gong, H.; Shen, Z.; Lin, J.; Ruoff, R.S. Exploration of the active center structure of nitrogen-doped graphene-based catalysts for oxygen reduction reaction. Energy Environ. Sci. 2012, 5, 7936–7942. [Google Scholar] [CrossRef]









© 2018 by the authors. Licensee MDPI, Basel, Switzerland. This article is an open access article distributed under the terms and conditions of the Creative Commons Attribution (CC BY) license (http://creativecommons.org/licenses/by/4.0/).
Share and Cite
Su, F.; Huo, L.; Kong, Q.; Xie, L.; Chen, C. Theoretical Study on the Quantum Capacitance Origin of Graphene Cathodes in Lithium Ion Capacitors. Catalysts 2018, 8, 444. https://doi.org/10.3390/catal8100444
Su F, Huo L, Kong Q, Xie L, Chen C. Theoretical Study on the Quantum Capacitance Origin of Graphene Cathodes in Lithium Ion Capacitors. Catalysts. 2018; 8(10):444. https://doi.org/10.3390/catal8100444
Chicago/Turabian StyleSu, Fangyuan, Li Huo, Qingqiang Kong, Lijing Xie, and Chengmeng Chen. 2018. "Theoretical Study on the Quantum Capacitance Origin of Graphene Cathodes in Lithium Ion Capacitors" Catalysts 8, no. 10: 444. https://doi.org/10.3390/catal8100444
APA StyleSu, F., Huo, L., Kong, Q., Xie, L., & Chen, C. (2018). Theoretical Study on the Quantum Capacitance Origin of Graphene Cathodes in Lithium Ion Capacitors. Catalysts, 8(10), 444. https://doi.org/10.3390/catal8100444
