Conversion of Carbohydrates into Platform Chemicals Catalyzed by Alkaline Ionic Liquids
Abstract
:1. Introduction
2. Results and Discussion
2.1. Materials and Experimental Methods
2.2. General Procedure for the Conversion of Carbohydrates to 5-HMF
2.3. 5-HMF Production from Carbohydrates with Different ILs as Catalysts
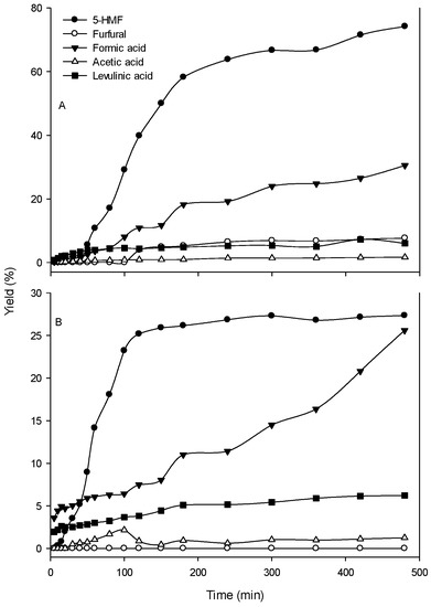
2.4. Alkaline IL [TMG]BF4-Catalyzed Conversion of Fructose and Glucose
2.5. Conversion of MCC to 5-HMF with Different ILs as Catalysts
2.6. Possible Pathway of Conversion of Carbohydrates to 5-HMF with Alkaline ILs as Catalysts
3. Conclusions
Supplementary Materials
Acknowledgments
Author Contributions
Conflicts of Interest
References
- Corma, A.; Iborra, S.; Velty, A. Chemical routes for the transformation of biomass into chemicals. Chem. Rev. 2007, 107, 2411–2502. [Google Scholar] [CrossRef] [PubMed]
- Chen, W.H.; Ye, S.C.; Sheen, H.K. Hydrolysis characteristics of sugarcane bagasse pretreated by dilute acid solution in a microwave irradiation environment. Appl. Energy 2012, 93, 237–244. [Google Scholar] [CrossRef]
- Dwidar, M.; Lee, S.; Mitchell, R.J. The production of biofuels from carbonated beverages. Appl. Energy 2012, 100, 47–51. [Google Scholar] [CrossRef]
- Ståhlberg, T.; Sørensen, M.G.; Riisager, A. Direct conversion of glucose to 5-(hydroxymethyl)furfural in ionic liquids with lanthanide catalysts. Green Chem. 2010, 12, 321–325. [Google Scholar] [CrossRef]
- Román-leshkov, Y.; Barrett, C.J.; Liu, Z.Y.; Dumesic, J.A. Production of dimethylfuran for liquid fuels from biomass-derived carbohydrates. Nature 2007, 447, 982–985. [Google Scholar] [CrossRef] [PubMed]
- Putten, R.J.V.; Waal, J.C.V.D.; Jong, E.D.; Rasrendra, C.B.; Heeres, H.J.; Vries, J.G.D. Hydroxymethylfurfural, a versatile platform chemical made from renewable resources. Chem. Rev. 2013, 113, 1499–1597. [Google Scholar] [CrossRef] [PubMed]
- Werpy, T.; Petersen, G.; Aden, A.; Bozell, J.; Holladay, J.E.; White, J.; Manheim, A.; Elliott, D.C.; Lasure, L.; Jones, S. Top Value Added Chemicals from Biomass, Vol. 1, Results of Screening for Potential Candidates from Sugars and Synthesis Gas; Technical Report; US Department of Energy: Washington, DC, USA, 2004.
- Rosatella, A.A.; Simeonov, S.P.; Frade, R.F.M.; Afonso, C.A.M. 5-hydroxymethylfurfural (HMF) as a building block platform: Biological properties, synthesis and synthetic applications. Green Chem. 2011, 13, 754–793. [Google Scholar] [CrossRef]
- Climent, M.J.; Corma, A.; Iborra, S. Converting carbohydrates to bulk chemicals and fine chemicals over heterogeneous catalysts. Green Chem. 2011, 13, 520–540. [Google Scholar] [CrossRef]
- Hu, S.Q.; Zhang, Z.F.; Song, J.L.; Zhou, Y.X.; Han, B.X. Efficient conversion of glucose into 5-hydroxymethylfurfural catalyzed by a common Lewis acid SnCl4 in ionic liquid. Green Chem. 2009, 11, 1746–1749. [Google Scholar] [CrossRef]
- Li, W.J.; Zhang, Z.F.; Han, B.X.; Hu, S.Q.; Song, J.L.; Xie, Y.; Zhou, X.S. Switching the basicity of ionic liquids by CO2. Green Chem. 2008, 10, 1142–1145. [Google Scholar] [CrossRef]
- Saha, B.; Abu-Omar, M.M. Advances in 5-hydroxymethylfurfural production from biomass in biphasic solvents. Green Chem. 2014, 16, 24–38. [Google Scholar] [CrossRef]
- Agirrezabal-Telleria, I.; Gandarias, I.; Arias, P.L. Heterogeneous acid-catalysts for the production of furan-derived compounds (furfural and hydroxymethylfurfural) from renewable carbohydrates: A review. Catal. Today 2014, 234, 42–58. [Google Scholar] [CrossRef]
- Wang, T.F.; Nolte, M.W.; Shanks, B.H. Catalytic dehydration of C6 carbohydrates for the production of hydroxymethylfurfural (HMF) as a versatile platform chemical. Green Chem. 2014, 16, 548–572. [Google Scholar] [CrossRef]
- Lima, S.; Neves, P.; Antunes, M.M.; Pillinger, M.; Ignatyev, N.; Valente, A.A. Conversion of mono/di/polysaccharides into furan compounds using 1-alkyl-3-methylimidazolium ionic liquids. Appl. Catal. A Gen. 2009, 363, 93–99. [Google Scholar] [CrossRef]
- Yong, G.; Zhang, Y.G.; Ying, J.Y. Highly efficient catalytic system for the selective production of hydroxylmethylfurfural from glucose and fructose. Angew. Chem. Int. Ed. 2008, 47, 9345–9348. [Google Scholar] [CrossRef] [PubMed]
- Zhao, H.B.; Holladay, J.E.; Brown, H.; Zhang, Z.C. Metal chlorides in ionic liquid solvents convert sugars to 5-Hydroxymethylfurfural. Science 2007, 316, 1597–1600. [Google Scholar] [CrossRef] [PubMed]
- Shi, C.Y.; Zhao, Y.L.; Xin, J.Y.; Wang, J.Q.; Lu, X.M.; Zhang, X.P.; Zhang, S.J. Effect of cations and anions of ionic liquids on the production of 5-hydroxymethylfurfural from fructose. Chem. Commun. 2012, 48, 4103–4105. [Google Scholar] [CrossRef] [PubMed]
- Shi, N.; Liu, Q.Y.; Zhang, Q.; Wang, T.J.; Ma, L.L. High yield production of 5–hydroxymethylfurfural from cellulose by high concentration of sulfates in biphasic system. Green Chem. 2013, 15, 1967–1974. [Google Scholar] [CrossRef]
- Zuo, M.; Le, K.; Li, Z.; Jiang, Y.T.; Zeng, X.H.; Tang, X.; Sun, Y.; Lin, L. Green process for production of 5-hydroxymethylfurfural from carbohydrates with high purity in deep eutectic solvents. Ind. Crop. Prod. 2017, 99, 1–6. [Google Scholar] [CrossRef]
- Carniti, P.; Gervasini, A.; Marzo, M. Absence of expected side-reactions in the dehydration reaction of fructose to HMF in water over niobic acid catalyst. Catal. Commun. 2011, 12, 1122–1126. [Google Scholar] [CrossRef]
- Despax, S.; Maurer, C.; Estrine, B.; Bras, J.L.; Hoffmann, N.; Marinkovic, S.; Muzart, J. Fast and efficient DMSO-mediated dehydration of carbohydrates into 5-hydroxymethyfurfural. Catal. Commun. 2014, 51, 5–9. [Google Scholar] [CrossRef]
- Zhang, Z.H.; Zhao, Z.B.K. Production of 5-hydroxymethylfurfural from glucose catalyzed by hydroxyapatite supported chromium chloride. Bioresour. Technol. 2011, 102, 3970–3972. [Google Scholar] [CrossRef] [PubMed]
- Li, H.; Zhang, Q.Y.; Liu, X.F.; Chang, F.; Zhang, Y.P.; Xue, W.; Yang, S. Immobilizing Cr3+ with SO3H-functionalized solid polymeric ionic liquids as efficient and reusable catalysts for selective transformation of carbohydrates into 5-hydroxymethylfurfural. Bioresour. Technol. 2013, 144, 21–27. [Google Scholar] [CrossRef] [PubMed]
- Zhou, L.L.; Liang, R.J.; Ma, Z.W.; Wu, T.H.; Wu, Y. Conversion of cellulose to HMF in ionic liquid catalyzed by bifunctional ionic liquids. Bioresour. Technol. 2013, 129, 450–455. [Google Scholar] [CrossRef] [PubMed]
- Tong, X.L.; Li, Y.D. Efficient and selective dehydration of fructose to 5-hydroxymethylfurfural catalyzed by brønsted-acidic ionic liquids. ChemSusChem 2010, 3, 350–355. [Google Scholar] [CrossRef] [PubMed]
- Tian, G.; Tong, X.L.; Cheng, Y.; Xue, S. Tin-catalyzed efficient conversion of carbohydrates for the production of 5-hydroxymethylfurfural in the presence of quaternary ammonium salts. Carbohydr. Res. 2013, 370, 33–37. [Google Scholar] [CrossRef] [PubMed]
- Qu, Y.S.; Huang, C.P.; Song, Y.L.; Zhang, J.; Chen, B.H. Efficient dehydration of glucose to 5-hydroxymethylfurfural catalyzed by the ionic liquid, 1-hydroxyethyl-3-methylimidazolium tetrafluoroborate. Bioresour. Technol. 2012, 121, 462–466. [Google Scholar] [CrossRef] [PubMed]
- Qu, Y.S.; Huang, C.P.; Zhang, J.; Chen, B.H. Efficient dehydration of fructose to 5-hydroxymethylfurfural catalyzed by a recyclable sulfonated organic heteropolyacid salt. Bioresour. Technol. 2012, 106, 170–172. [Google Scholar] [CrossRef] [PubMed]
- Qu, Y.S.; Huang, C.P.; Song, Y.L.; Zhang, J.; Chen, B.H. Alkaline ionic liquids as catalysts: A novel and green process for the dehydration of carbohydrates to give 5-hydroxymethylfurfural. Ind. Eng. Chem. Res. 2012, 51, 13008–13013. [Google Scholar] [CrossRef]
- Berg, R.W.; Riisager, A.; Fehrmann, R. Formation of an ion-pair molecule with a single NH+···Cl− hydrogen bond: Raman spectra of 1,1,3,3-tetramethylguanidinium chloride in the solid state, in solution, and in the vapor phase. J. Phys. Chem. A 2008, 112, 8585–8592. [Google Scholar] [CrossRef] [PubMed]
- Gabhane, J.; William, S.P.M.P.; Vaidya, A.N.; Mahapatra, K.; Chakrabarti, T. Influence of heating source on the efficacy of lignocellulosic pretreatment—A cellulosic ethanol perspective. Biomass Bioenergy 2011, 35, 96–102. [Google Scholar] [CrossRef]
- Huang, J.; Riisager, A.; Berg, R.W.; Fehrmann, R. Tuning ionic liquids for high gas solubility and reversible gas sorption. J. Mol. Catal. A Chem. 2008, 279, 170–176. [Google Scholar] [CrossRef]
- Zhu, A.L.; Jiang, T.; Wang, D.; Han, B.X.; Liu, L.; Huang, J.; Zhang, J.C.; Sun, D.H. Direct aldol reactions catalyzed by 1,1,3,3-tetramethylguanidine lactate without solvent. Green Chem. 2005, 7, 514–517. [Google Scholar] [CrossRef]
- Liu, F.S.; Li, L.; Yu, S.T.; Lv, Z.G.; Ge, X.P. Methanolysis of polycarbonate catalyzed by ionic liquid [Bmim][Ac]. J. Hazard. Mater. 2011, 189, 249–254. [Google Scholar] [CrossRef] [PubMed]
- Yuan, X.L.; Zhang, S.J.; Lu, X.M. Hydroxyl ammonium ionic liquids: Synthesis, properties, and solubility of SO2. J. Chem. Eng. Data 2007, 52, 596–599. [Google Scholar] [CrossRef]
- Liu, R.L.; Chen, J.Z.; Huang, X.; Chen, L.M.; Ma, L.L.; Li, X.J. Conversion of fructose into 5-hydroxymethylfurfural and alkyl levulinates catalyzed by sulfonic acid-functionalized carbon materials. Green Chem. 2013, 15, 2895–2903. [Google Scholar] [CrossRef]
- Moreau, C.; Lecomte, J.; Roux, A. Determination of the basic strength of solid catalysts in water by means of a kinetic tracer. Catal. Commun. 2006, 7, 941–944. [Google Scholar] [CrossRef]
- Moreau, C.; Durand, R.; Roux, A.; Tichit, D. Isomerization of glucose into fructose in the presence of cation-exchanged zeolites and hydrotalcites. Appl. Catal. A Gen. 2000, 193, 257–264. [Google Scholar] [CrossRef]
- Lecomte, J.; Finiels, A.; Moreau, C. Kinetic study of the isomerization of glucose into fructose in the presence of anion-modified hydrotalcites. Starch 2002, 54, 75–79. [Google Scholar] [CrossRef]






| Substrate | ILs | Conv. (%) | 5-HMF Yield (%) |
|---|---|---|---|
| Glucose | Control | 3.14 | 0.34 |
| [BMIM]OH | 17.48 | 1.40 | |
| [BMIM]2CO3 | 18.48 | 0.51 | |
| [BMIM]PHCOO | 16.15 | 3.57 | |
| [BMIM]3PW12O40 b | 35.63 | 1.12 | |
| [MIMPS]3PW12O40 b | 71.34 | 4.23 | |
| [BMIM]OAc | 2.14 | 0.11 | |
| [BMIM]BF4 | 5.15 | 3.44 | |
| [TMG]BF4 | 58.32 | 25.19 | |
| [TMG]L | 30.14 | 19.15 | |
| [TMG]OAc | 26.44 | 16.24 | |
| [MEA]BF4 | 50.14 | 10.15 | |
| Fructose | [TMG]BF4 | 96.41 | 39.84 |
| [MIMPS]3PW12O40 | 99.68 | 19.56 | |
| Sucrose | [TMG]BF4 | 78.75 | 16.71 |
| [MIMPS]3PW12O40 | 71.34 | 22.34 | |
| Cellobiose | [TMG]BF4 | 76.48 | 13.58 |
| Microcrystalline cellulose c | [TMG]BF4 | - | 10.45 |
| [MIMPS]3PW12O40 | - | 4.84 |
© 2017 by the authors. Licensee MDPI, Basel, Switzerland. This article is an open access article distributed under the terms and conditions of the Creative Commons Attribution (CC BY) license (http://creativecommons.org/licenses/by/4.0/).
Share and Cite
Du, X.; Zhang, J.; Wang, Y.; Qu, Y. Conversion of Carbohydrates into Platform Chemicals Catalyzed by Alkaline Ionic Liquids. Catalysts 2017, 7, 245. https://doi.org/10.3390/catal7090245
Du X, Zhang J, Wang Y, Qu Y. Conversion of Carbohydrates into Platform Chemicals Catalyzed by Alkaline Ionic Liquids. Catalysts. 2017; 7(9):245. https://doi.org/10.3390/catal7090245
Chicago/Turabian StyleDu, Xiaojia, Jie Zhang, Yuehai Wang, and Yongshui Qu. 2017. "Conversion of Carbohydrates into Platform Chemicals Catalyzed by Alkaline Ionic Liquids" Catalysts 7, no. 9: 245. https://doi.org/10.3390/catal7090245
APA StyleDu, X., Zhang, J., Wang, Y., & Qu, Y. (2017). Conversion of Carbohydrates into Platform Chemicals Catalyzed by Alkaline Ionic Liquids. Catalysts, 7(9), 245. https://doi.org/10.3390/catal7090245
