Abstract
Ammonium hexachlororuthenate ((NH4)2RuCl6) complex was used as a catalyst precursor and coconut activated carbon (AC) was used as the support in the preparation process of the Ru-based catalyst. (NH4)2RuCl6/AC catalyst was prepared via an incipient wetness impregnation method and assessed in an acetylene hydrochlorination reaction. Meanwhile, the (NH4)2RuCl6/AC catalyst was analyzed with low-temperature N2 adsorption/desorption, thermogravimetry (TG), transmission electron microscopy (TEM), temperature programmed reduction (TPR), X-ray photoelectron spectra (XPS), and temperature programmed desorption (TPD) techniques. Catalytic performance test results show that the (NH4)2RuCl6/AC catalyst exhibits a superior catalytic activity with the highest acetylene conversion of 90.5% under the conditions of 170 °C and an acetylene gas hourly space velocity of 180 h−1. The characterization results illustrate that the presence of the NH4+ cation can inhibit coke deposition as well as the agglomeration of ruthenium particles, and it can also enhance the adsorption ability for reactant HCl, hence improving the catalytic activity and stability.
1. Introduction
Polyvinyl chloride (PVC), one of the most important plastics, is synthesized via the polymerization of the vinyl chloride monomer (VCM). In China, VCM is commonly manufactured through the acetylene hydrochlorination reaction catalyzed by the activated carbon-supported mercuric chloride catalyst (HgCl2/AC), which is due to the national characteristic of abundant coal sources and a relative lack of oil [1,2]. However, HgCl2 is a kind of poisonous and volatile compound, damaging the environment and human health. In 2013, the Minamata convention on mercury clearly curbed the application of products containing mercury on a global scale in 2020 [3]. Consequently, it is encouraged to explore a green non-mercury catalyst to substitute the HgCl2 catalyst for acetylene hydrochlorination reaction.
In 1968, Smith et al. carried out a series of silica-supported metal chloride catalysts for acetylene hydrochlorination, and concluded that catalytic activity could be correlated with the electron affinity of the metallic cation [4]. Next, in 1975, Shinoda studied over 20 types of metal chlorides for acetylene hydrochlorination reaction [5]. By analyzing Shionda’s experimental data, Hutchings concluded that the activity of metal catalysts in acetylene hydrochlorination was correlated with the standard electrode potential of corresponding metal cations and confirmed that the AuCl3 catalyst exhibited the optimal catalytic activity [6]. Subsequently, abundant studies have been implemented to develop the Au-based catalysts [7,8,9,10,11,12,13,14,15,16,17,18,19,20,21]. However, the Au-based catalyst is very precious. Hence, exploring a low cost catalyst has attracted much attention. In 2012, Zhu et al. employed density functional theory (DFT) to calculate the activation barrier of the catalysts MClx (M = Hg, Au, Ru; x = 2, 3) for acetylene hydrochlorination, and found that the activation barriers were 16.3, 11.9, and 9.1 kcal·mol−1 for HgCl2, AuCl3, and RuCl3, respectively. The results indicated that the comparatively inexpensive Ru-based catalyst might be a good candidate catalyst for the acetylene hydrochlorination reaction [22]. Zhang et al. reported that 1% Ru/SAC catalyst showed an acetylene conversion of 91% after 48 h reaction under the condition of 170 °C [23]. In order to further enhance the catalytic activity and stability of Ru-based catalysts, researchers have done many studies, including the addition of other metallic additives (Ru-K/SAC [24], Ru-Cu/MWCNTs [25], Ru-Co-Cu/SAC [26]) and the modification of carbon support (Ru-in-CNT [27], Ru/SAC-N [28], Ru/AC-NHN [29]). For instance, Xu et al. reported that Ru-Cu catalyst with carbon nanotubes as the support (Cu400Ru/MWCNTs) exhibited an acetylene conversion of 51.6% under the reaction conditions of 180 °C, V(HCl)/V(C2H2) = 1.2 and an acetylene gas hourly space velocity (GHSV) of 180 h−1 [25]. Although these Ru-based catalysts showed a certain increase in the catalytic activities, an effort should be made to further develop a novel and efficient catalyst with high activity and long-term stability fit for industrial application.
Recently, ligand-modified Au-based catalysts and gold complex catalysts (such as Na3Au(S2O3)2/AC, [AuCl2(phen)]Cl/AC and AuPPh3Cl/AC) have been applied in the acetylene hydrochlorination reaction, and exhibited excellent catalytic activity and stability [30,31,32,33]. Meanwhile, ligand-modified Ru-based catalysts and ruthenium complex catalysts have also been reported in the hydrogenation or hydrochlorination reaction. Vilé et al. studied the ligand-modified Ru-HHDMA/TiSi2O6 (HHDMA = hexadecyl(2-hydroxyethyl)dimethylammonium dihydrogen phosphate) catalyst in the hydrogenation of levulinic acid to gamma-valerolactone, and found that the synthetic Ru-HHDMA/TiSi2O6 catalyst (0.24 wt % Ru) exhibited a four-fold higher reaction rate than that of the commercial 5 wt % Ru/C catalyst [34]. Particularly, Dérien et al. reported that ruthenium complex [Cp*RuCl(cod)]/PPh3 (Cp* = C5Me5, cod = 1,5-cyclooctadiene) catalyst possessed excellent yields for hydrochlorination of terminal alkynes under the mild reaction, and mechanistic studies suggested that a chlorohydrido Ru(IV) species was a critical intermediate in this reaction [35]. This is consistent with our previous findings that the Ru(IV) species is considered as the major active ingredient in acetylene hydrochlorination reaction [36].
However, to the best of our knowledge, ruthenium complex catalysts have not been reported for the acetylene hydrochlorination reaction. Therefore, ruthenium(IV) complexes with abundant Ru(IV) species could possess high activity and attracted our interest. Among various ruthenium(IV) complexes, complex ammonium hexachlororuthenate, (NH4)2RuCl6, is commercially available and easily prepared. In this work, we prepared the (NH4)2RuCl6/AC catalyst via an incipient wetness impregnation method and assessed their catalytic activity in the acetylene hydrochlorination reaction. The result of catalytic activity indicated that the (NH4)2RuCl6/AC catalyst exhibited excellent catalytic activity and stability. Low-temperature N2 adsorption/desorption, thermogravimetry (TG), transmission electron microscopy (TEM), temperature programmed reduction (TPR), X-ray photoelectron spectra (XPS), and temperature programmed desorption (TPD) characterization techniques were applied to analyze the Ru-based catalysts.
2. Results and Discussion
2.1. Catalytic Performance of Ru-Based Catalysts
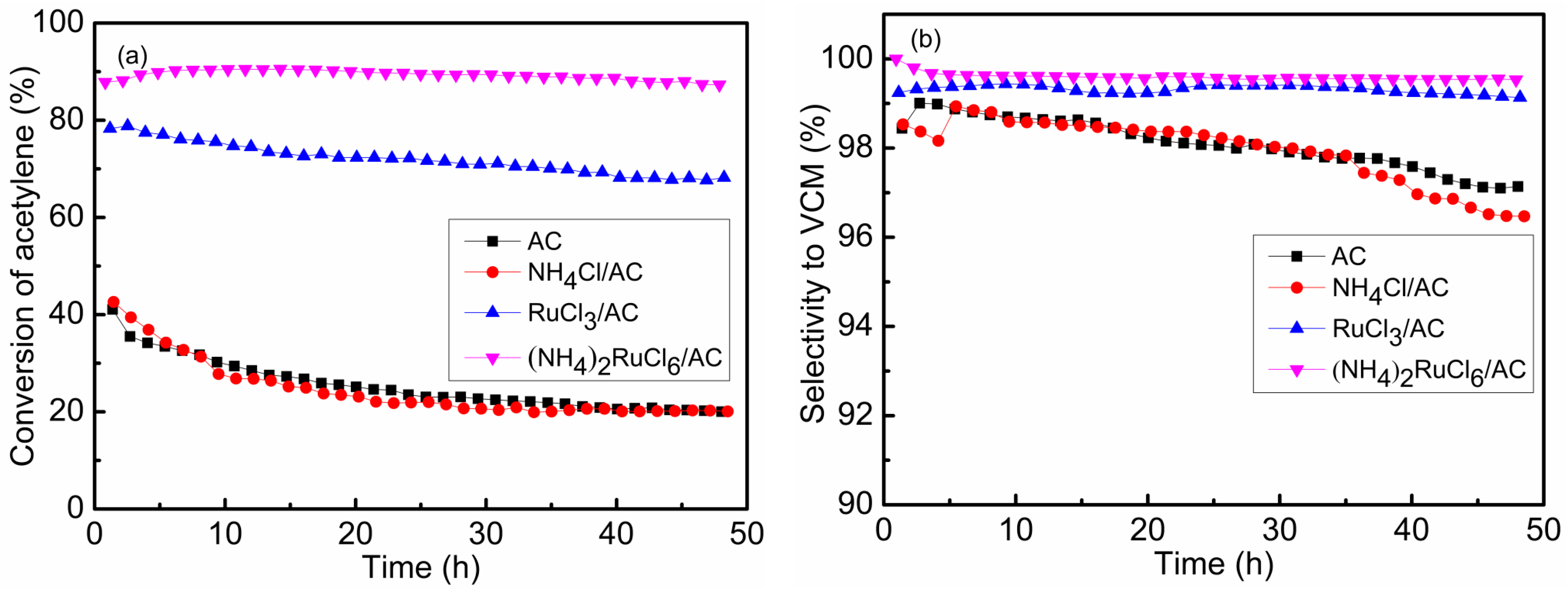
Figure 1 displays the catalytic performances of these Ru-based catalysts for the acetylene hydrochlorination reaction. It can be seen that the NH4Cl/AC catalyst exhibits a catalytic activity which is as low as the support AC. The result indicates that the NH4Cl species has no catalytic activity for this reaction. The RuCl3/AC catalyst shows an initial acetylene conversion of 78.8%, and decreases to 68.2% after 48 h reaction (Figure 1a). While for the complex (NH4)2RuCl6/AC catalyst, the acetylene conversion is 90.5% initially, and then decreases to 87.3% after 48 h reaction, which is higher than that of monometallic RuCl3/AC catalyst. Moreover, the selectivity to VCM of (NH4)2RuCl6/AC is slightly higher than that of the RuCl3/AC. Thus, the (NH4)2RuCl6/AC catalyst shows higher catalytic activity and stability compared to the monometallic RuCl3/AC catalyst for acetylene hydrochlorination reaction.
Figure 1.
Acetylene conversion (a) and selectivity to Vinyl Chloride Monomer (VCM) (b) over activated carbon (AC), NH4Cl/AC, RuCl3/AC, and (NH4)2RuCl6/AC catalysts. Reaction conditions: T = 170 °C, GHSV(C2H2) = 180 h−1, V(HCl)/V(C2H2) = 1.1, the Ru loading content = 1 wt %.
2.2. Catalyst Characterization
2.2.1. Catalyst Texture Properties
Low-temperature N2 adsorption/desorption experiments are used to measure the specific surface area and pore volume, and the results are listed in Table 1. The specific surface areas and the pore volume of the fresh RuCl3/AC and complex (NH4)2RuCl6/AC catalysts are lower than that of the support AC. This result might be attributed to the decrease of the support ratio in these catalysts. The reason for the decrease is due to the addition of the active component, and the phenomenon is known as the dilution effect [13]. For the fresh complex (NH4)2RuCl6/AC catalyst, the specific surface area is 968 m2·g−1, which is lower than that of the fresh RuCl3/AC catalyst (1055 m2·g−1). This can be caused by the larger molecular structure of the complex (NH4)2RuCl6 compared to the RuCl3. The larger molecular structure can block some support pores and result in a decline of the specific surface area and pore volume.
Table 1.
Texture parameter of catalysts with Ru loading of 1.0 wt % 1.
After 48 h reaction, the specific surface areas and pore volume of catalysts is lower than those of the corresponding fresh catalysts. As shown in Table 1, the used RuCl3/AC catalyst exhibits a decline in the specific surface area and pore volume of 39.3% and 38.2%, respectively. However, for the used (NH4)2RuCl6/AC catalyst, the decline in the specific surface area and pore volume are 26.9% and 29.4%, respectively. The result indicates that the carbon deposition on the surface of the catalyst occurs during the reaction owing to the polymerization of C2H2 and VCM. This is the reason why the catalytic activities of the RuCl3/AC and (NH4)2RuCl6/AC catalysts decrease during the reaction. Additionally, more carbon deposition occurs on the RuCl3/AC catalyst in comparison with the complex (NH4)2RuCl6/AC catalyst, indicating that the presence of NH4+ in the complex (NH4)2RuCl6 might inhibit the formation of coking deposition on the catalyst surface.
2.2.2. Coke Deposition on the Used Catalysts
TG analysis is used to show the amount of coke deposited on the used catalysts to explain the reason for the deactivation of catalysts. Figure 2 shows the TG analysis profiles of the both fresh and used RuCl3/AC and (NH4)2RuCl6/AC catalysts. For all Ru-based catalysts, a slight mass loss is observed when the temperature is lower than 150 °C, which is attributed to physically adsorbed water. With the temperature rising continuously from 150 to 360 °C, an obvious mass loss is observed for the used catalysts. When the temperature exceeds 360 °C, there is a rapid mass loss for all Ru-based catalysts owing to the burning of activated carbon. The amount of coke deposition is determined together by the mass loss of the fresh and the used catalysts in the temperature range of 150–360 °C and calculated using our previous method [33]. For the fresh and used RuCl3/AC catalysts, in the range of 150–360 °C, the mass losses are 2.7% and 16.4%, respectively, (Table S1). Assuming that the coke deposition amount on the used RuCl3/AC catalyst equals X, the following equations should be met, 100/2.7 = (100 − X)/Y, and Y + X = 16.4. Therefore, the amount of coke deposition is 14.1% for the used RuCl3/AC catalyst (Table 2).
Figure 2.
Thermogravimetric (TG) and derivative thermogravimetric (DTG) curves of the fresh and used 1.0 wt % Ru-based catalysts (a) RuCl3/AC; (b) (NH4)2RuCl6/AC.
Table 2.
The amount of coke deposition on the used 1.0 wt % Ru-based catalysts.
Similarly, the amount of coke deposition on the complex (NH4)2RuCl6/AC catalyst is calculated based on the above method. The mass losses are 0.9% and 10.0%, respectively, for both the fresh and the used catalysts in the range of 150–360 °C (Table S1), suggesting that the amount of coke deposition is 9.2% for the used (NH4)2RuCl6/AC catalyst (Table 2). Hence, the used RuCl3/AC catalyst performs more severe coke deposition compared to the used complex (NH4)2RuCl6/AC catalyst, in agreement with the specific surface areas change of the used catalysts (Table 1). Coke deposition could reduce the number of surface active sites, thereby reducing the catalytic activity. This demonstrates that the complex (NH4)2RuCl6/AC catalyst can inhibit the coke deposition and enhance the catalytic activity.
2.2.3. The Dispersion of Active Species
Figure 3 shows the TEM images of Ru-catalysts. For the fresh RuCl3/AC catalyst, a few tiny black dots are observed, which are indexed to Ru particles with an average size of 1.22 nm. This indicates that the Ru species is highly dispersed on the carbon support. However, for the fresh (NH4)2RuCl6/AC catalyst, Ru particles are not detected, suggesting that Ru species mainly exist in the forms of Ru4+ in the fresh (NH4)2RuCl6/AC catalyst, which has been proven in the next section. In order to further distinguish the presence or absence of Ru particles on the fresh catalysts, the HRTEM images are shown in the Figure S1. The crystal lattices of 0.21 nm are observed, which could be attributed to the (101) crystal faces of Ru metal. It further proves that the Ru particles exist in the fresh RuCl3/AC catalyst. As we all know, the dispersion of the active site can affect their catalytic behavior. The RuCl3/AC catalyst has a lower conversion of acetylene compared to the (NH4)2RuCl6/AC catalyst, which could partly be attributed to the fact that the RuCl3/AC catalyst has lower dispersion, the larger average Ru particle size, than the (NH4)2RuCl6/AC catalyst. This suggests that small Ru particles are more favorable for the acetylene hydrochlorination.
Figure 3.
TEM images of the fresh and used Ru-based catalysts with 1.0 wt % Ru loading. (a) Fresh RuCl3/AC; (b) Used RuCl3/AC; (c) Fresh (NH4)2RuCl6/AC; (d) Used (NH4)2RuCl6/AC.
For the used catalysts, some slightly larger black dots appear compared to the fresh catalysts, suggesting the aggregation of Ru particles during the reaction. The used (NH4)2RuCl6/AC catalyst possesses an average size of about 2.03 nm, and this is smaller than that of the used RuCl3/AC catalyst (3.58 nm). It is demonstrated that less aggregation occurs on the (NH4)2RuCl6/AC catalyst during the reaction compared to the RuCl3/AC catalyst, indicating that the complex (NH4)2RuCl6/AC catalyst can reduce the aggregation of Ru particles during the reaction. For the reason why the complex (NH4)2RuCl6/AC catalysts can reduce the aggregation of Ru particles during the reaction, we conducted further study. Since the fresh RuCl3/AC catalyst has the Ru nanoparticles which could be formed during the catalyst preparation with RuCl3·3H2O as the precursor. However, no Ru nanoparticles exist in the fresh (NH4)2RuCl6/AC catalyst, suggesting that there is a difference in stability between the two metallic precursors and complex (NH4)2RuCl6 is more stable than RuCl3·3H2O. For the used RuCl3/AC and (NH4)2RuCl6/AC catalysts, some Ru nanoparticles are observed, suggesting the nanoparticles nucleation process is carried on during the reaction. Consequently, the difference of stability of the metallic precursor during the synthesis of the Ru-based catalysts could be one reason that (NH4)2RuCl6/AC can reduce the aggregation of Ru particles during the reaction.
The XRD pattern of the Ru-based catalysts is displayed in Figure S2. Apart from the amorphous diffraction peaks of the support AC, no distinguishable Ru diffraction peak is detected in the both fresh and used Ru-based catalysts. This result indicates that the size of Ru particles is below 4 nm and Ru species is highly dispersed on the carbon support, which is consistent with the results of TEM [26].
2.2.4. TPR
Figure 4 shows TPR profiles of the fresh RuCl3/AC, (NH4)2RuCl6/AC, and activated carbon catalysts. For these catalysts, a broad peak appears in the temperature range of 400–700 °C, which is mainly related to the reduction of functional groups on the activated carbon support. Besides, some H2 consumption peaks are observed in the range 100–400 °C for the Ru-based catalysts, attributed to the reduction of ruthenium species in these catalysts. The fresh RuCl3/AC catalyst exhibits two peaks at 226 and 277 °C, corresponding to the reduction of the Ru3+ (226 °C) and Ru4+ (277 °C), respectively. For the fresh (NH4)2RuCl6/AC catalyst, only a stronger peak with the temperature at 289 °C is observed, which is indexed to the Ru4+ species. The result suggests that the Ru species in the complex (NH4)2RuCl6/AC catalyst exist mainly in the form of high valence ruthenium. Additionally, the higher reduction temperature of the Ru4+ species in the (NH4)2RuCl6/AC catalyst suggests that the presence of NH4+ cation can stabilize the Ru4+ species and inhibit its reduction to metallic Ru. This result might be attributed to the strong interaction between NH4+ cation and [RuCl6]2− [37,38]. For the used RuCl3/AC and (NH4)2RuCl6/AC catalysts, the reduction peak becomes weaker, which could be due to the loss of the Ru species and the reduction of high valence Ru species during the acetylene hydrochlorination reaction. Meanwhile, for the used (NH4)2RuCl6/AC catalyst, a new reduction peak at 244 °C is observed, corresponding to the reduction of Ru3+ species. This result is consistent with the next XPS analysis (Table 3).
Figure 4.
TPR profiles of the Ru-based catalysts with 1.0 wt % Ru loading.
Table 3.
The relative contents and binding energies of Ru species in the fresh and used catalysts with 1.0 wt % Ru loading.
2.2.5. XPS Spectra
XPS spectra are used to research the valence variations of ruthenium species in the fresh and used RuCl3/AC and (NH4)2RuCl6/AC catalysts. Owing to the binding energy of Ru 3d orbital overlapping with the binding energy of C 1s, the Ru 3p orbital is chosen for the analysis [39,40]. Because the Ru 3p3/2 peak area and the Ru 3p1/2 peak area of the Ru species with the same valence states have a proportional relationship, and the area ratio of p3/2 and p1/2 is 2:1. Therefore, the only the Ru 3p3/2 peak or the Ru 3p1/2 peak can represent the valence variations of the whole ruthenium species. Meanwhile, noisy Ru 3p spectrum is not uncommon among carbon-supported catalysts, and the stronger Ru 3p3/2 signal (relative to Ru 3p1/2 peak) is employed to analyze the valence variations of the ruthenium species, so as to easy to deal with the XPS spectra and gain clearer deconvolution results. The Ru 3p3/2 peak is further separated into several different peaks (Figure S3), and the deconvolution results including the binding energy and relative content of different peaks are shown in Table 3. For the fresh RuCl3/AC catalyst, there are five types of ruthenium species, including Ru0, Ru/RuOy, Ru3+, Ru4+ and Rux+ (x > 4). For the fresh (NH4)2RuCl6/AC catalyst, only Ru/RuOy and Ru4+ species are observed. The content of Ru4+ species on the fresh (NH4)2RuCl6/AC catalyst is 67.8%, which is much higher than that of the fresh RuCl3/AC (23.7%), in good agreement with the H2-TPR result. This can be one reason why the complex (NH4)2RuCl6/AC catalyst exhibits superior catalytic performance to the monometallic RuCl3/AC catalysts. As has been reported, Ru4+ species is considered as the major active ingredient in acetylene hydrochlorination reaction [36].
After 48 h reaction, for the used RuCl3/AC catalyst, the content of Ru0 species increases from 6.1% to 16.7%, and the change is far higher than that of the (NH4)2RuCl6/AC catalyst. This may be one reason why the RuCl3/AC catalyst rapidly deactivates. In addition, new ruthenium species exist in the used (NH4)2RuCl6/AC catalyst, which might be attributed to the disproportionate of Ru4+ species during the reaction. It is worthwhile to note that the content of Ru4+ species in the used (NH4)2RuCl6/AC catalyst is still higher compared with the used RuCl3/AC catalyst, in agreement with the catalytic activity (Figure 1).
2.2.6. The Adsorption Properties of the Reactants and Products on the Ru-Based Catalysts
TPD experiments are used to illustrate the adsorption properties of fresh Ru-based catalysts for HCl, C2H2, and C2H3Cl. Figure 5 displays the TPD profiles of the fresh RuCl3/AC and (NH4)2RuCl6/AC catalysts, including the HCl-TPD, C2H2-TPD, and C2H3Cl-TPD profiles. It is known that these desorption peak area and temperature can reflect the adsorption property of adsorbed species on the catalysts. In order to eliminate the decomposition peak of complex (NH4)2RuCl6, the TPD experiment for the fresh complex (NH4)2RuCl6/AC catalyst without adsorbing any gas is performed in the pure helium atmosphere. As shown the blue line in Figure 5a–c, there is an obvious desorption peak at about 300–500 °C in the He-TPD curve of the (NH4)2RuCl6/AC catalyst, attributed to the thermal decomposition peak of complex (NH4)2RuCl6. This is in agreement with the TG curve of pure complex (NH4)2RuCl6 (Figure S4). As showed in Figure 5a, desorption peak at about 300–500 °C overlaps with the thermal decomposition peak of complex (NH4)2RuCl6, hence we chose the desorption peak at about 250 °C to analyze. The HCl desorption peak area of the complex (NH4)2RuCl6/AC catalyst is greater than that of the monometallic RuCl3/AC catalyst, suggesting that the adsorption capacity of HCl on the complex (NH4)2RuCl6/AC catalyst is much stronger than the adsorption capacity of the monometallic RuCl3/AC catalyst. C2H2-TPD also shows the similar profile. However, the C2H2 desorption peak area has a small difference between the (NH4)2RuCl6/AC catalyst and RuCl3/AC catalyst (Figure 5b), indicating that the (NH4)2RuCl6/AC catalyst shows a small effect on the adsorption capacity of C2H2.
Figure 5.
TPD of the fresh 1.0 wt % Ru-based catalysts (a) HCl-TPD; (b) C2H2-TPD; (c) C2H3Cl-TPD.
For the product C2H3Cl, the adsorption capacity on the Ru-based catalysts should be as small as possible. The adsorption capacity of C2H3Cl on the complex (NH4)2RuCl6/AC catalyst is smaller than that on the monometallic RuCl3/AC catalyst (Figure 5c). This result indicates that the presence of NH4+ can weaken the VCM adsorption capacity on the complex (NH4)2RuCl6/AC catalyst, as a result, inhibiting the occurrence of coke deposition, in agreement with the result of TG analysis. In conclusion, the presence of NH4+ can enhance the adsorption capacity of reactant HCl and weaken the adsorption capacity of productC2H3Cl, which is beneficial for the acetylene hydrochlorination reaction. Thus, the complex (NH4)2RuCl6/AC catalyst possesses a better catalytic activity for the reaction.
2.2.7. Stability Assessment of Ru-Based Catalysts
To further testify the superior performance of (NH4)2RuCl6/AC catalyst, the long-term stability of the RuCl3/AC and (NH4)2RuCl6/AC catalysts was assessed under the conditions of 170 °C and GHSV(C2H2) of 360 h−1 (half mass of catalyst). As shown in the Figure S5, the RuCl3/AC catalyst shows an initial acetylene conversion of 57.8%, and decreases to 30.5% after 100 h reaction. While, for the complex (NH4)2RuCl6/AC catalyst, the acetylene conversion is 78.6%, and then decreases to 68.6% after 100 h reaction. Therefore, the comparison of stability of RuCl3/AC and (NH4)2RuCl6/AC catalysts demonstrates that the (NH4)2RuCl6/AC catalyst is more stable than the RuCl3/AC catalyst.
In order to show the amount of coke deposited on the used catalysts, we also carried out the TG analysis. Figure S6 shows the TG analysis profiles of the both fresh and used RuCl3/AC and (NH4)2RuCl6/AC catalysts. The amount of coke deposited on the used catalysts is listed in the Table S2. As seen in the Table S2, the amount of coke deposition on the complex (NH4)2RuCl6/AC catalyst is 13.5%, which is lower than that of the used RuCl3/AC catalyst (19.7%). This suggests that the capacity against coking of the (NH4)2RuCl6/AC catalyst is better than that of the RuCl3/AC catalyst.
3. Experimental Section
3.1. Materials
Coconut activated carbon (AC, 20–40 mesh) was purchased from Fujian S.S Activated Carbon Industry Science and Technology Co., Ltd. (Fujian, China). RuCl3·3H2O (Ru content ≥ 38%, purity ≥ 99%) and ammonium chloride (NH4Cl, purity ≥ 99.5%) were purchased from Tianjin Fengchuan Chemical Reagent Technology Co., Ltd. (Tianjin, China). Ammonium hexachlororuthenate (IV) ((NH4)2RuCl6, Ru content ≥ 28.4%, purity ≥ 99%) was purchased from Beijing InnoChem Science and Technology Co., Ltd. (Beijing, China). In this work, all chemicals were commercially available, and directly used without further purification.
3.2. Catalyst Preparation
The Ru-based catalysts were prepared via an incipient wetness impregnation method. In the process, distilled water was used as a solvent and coconut activated carbon (AC, 20–40 mesh) was used as the support. (NH4)2RuCl6 and RuCl3·3H2O were used as the catalysts precursors to obtain the (NH4)2RuCl6/AC and RuCl3/AC catalysts, respectively. To prepare (NH4)2RuCl6/AC catalyst with 1.0 wt % Ru loading, an (NH4)2RuCl6 aqueous solution was dropped quantitatively into the activated carbon support at room temperature under stirring, followed by the impregnation at 60 °C for 12 h. Finally, the catalysts were dried at 150 °C for 12 h. The RuCl3/AC catalyst with 1.0 wt % Ru loading was prepared using the same procedure. In addition, the precise Ru loading amount was measured by ICP analysis. For the fresh RuCl3/AC and (NH4)2RuCl6/AC catalysts, the precise loading amounts are 0.86 and 0.87 wt %, respectively.
3.3. Catalyst Characterization
The specific surface areas of these catalysts were determined by the N2 adsorption/desorption experiments which were carried out by volumetric adsorption system (Quatachrome Instruments, Boynton Beach, FL, USA). Firstly, these catalysts were heated at 200 °C for 4 h to degas, and then analyzed using liquid nitrogen adsorption at 77 K.
Transmission electron microscopy (TEM) was performed using a JEM2100F TEM (JEOL Ltd., Tokyo, Japan) at an accelerating voltage of 200 kV. Before each test of TEM, the samples with a fine powder were dispersed in ethanol and then laid on a TEM grid.
The amount of coke deposition of the used catalysts were measured using thermo gravimetric analysis (TGA) with TG-DTG simultaneous thermal analyzer (NETZSCH STA 449F3 Jupiter®, Selb, Germany) in an air atmosphere at a flow rate of 50 mL·min−1. The temperature was increased from 35 to 900 °C at a rate of 10 °C·min−1.
X-ray diffraction (XRD) spectra were acquired using a RigakuD/MAX-2500 X-ray diffractometer (Japan Rigaku Co., Ltd., Tokyo, Japan) with monochromatized Cu Kα radiation (λ = 1.5406 Å) at a scanning rate of 5°·min−1, with 2θ ranging from 10° to 90°.
Temperature programmed reduction (TPR) was used to determine the reduction behavior of the fresh catalysts. During TPR test, the temperature of the system (Quantachrome Instruments) was increased from 35 to 900 °C at a rate of 10 °C·min−1 with a 10% H2/Ar flowing.
X-ray photoelectron spectra (XPS) (ULVAC-PHI, Inc., Chigasaki, Japan) was used to measure the binding energy of the fresh and used catalysts. The C 1s line (284.6 eV) was used as the calibration of the spectra.
Temperature programmed desorption (TPD) was performed using an AutoChem BET TPR/TPD analyzer (Quantachrome Instruments). TPD was used to measure the adsorption capacity of the catalysts for reactants and product. For C2H2-TPD and HCl-TPD, before the desorption experiments, the samples were first pre-treated at 170 °C for 4 h under C2H2 and HCl, respectively. Then, the samples were treated with pure He for 0.5 h followed by the desorption experiments which were performed from 50 to 800 °C at a rate of 10 °C·min−1. For the C2H3Cl-TPD experiment, the method was similar to the above process, except the pre-treatment condition of C2H3Cl was 1 h on the TPR/TPD equipment at 170 °C. The weight of each sample was fixed at 110 mg for the above all experiments.
3.4. Catalyst Performance Evaluation
The catalytic performance was performed in a fixed-bed reactor (inner diameter 10 mm) for acetylene hydrochlorination reaction. The reactor temperature was regulated using a CKW-1100 temperature controller from the Chaoyang Automation Instrument Factory (Beijing, China).
Before reaction, the reaction system was purged with nitrogen for 30 min to remove air and water from the reactor. Then, the reactant HCl (15 mL·min−1) was fed into the reactor containing catalyst of 5 mL via calibrated mass flow controllers to activate the catalyst, after 30 min, followed by the reactant C2H2 (16.5 mL·min−1) with an hourly space velocity (GHSV) of 180 h−1 at 170 °C. In view of the safety and the catalyst test under a mild condition, the pressure of the reactants, HCl and C2H2, was chosen in the range of 1.1–1.2 bar [41]. The exhaust gas from the reactor was firstly passed through NaOH solution which was used to absorb the unreacted HCl and then introduced into a Beifen 3420A gas chromatograph (Beifen-Ruili Analytical Instrument (Group) Co., Ltd., Beijing, China) to analyze product components.
4. Conclusions
In this work, a commercially available Ru(IV) complex (NH4)2RuCl6 as a catalyst precursor was applied to the acetylene hydrochlorination reaction. The (NH4)2RuCl6/AC catalyst exhibits excellent catalytic performance for the acetylene hydrochlorination reaction. After 48 h reaction, it shows an acetylene conversion of 87.3% under the C2H2 (GHSV) of 180 h−1, the reaction temperature of 170 °C. Through characterizations of low-temperature N2 adsorption/desorption, TG, TEM, XRD, TPR, XPS, and TPD techniques, it is confirmed that the complex (NH4)2RuCl6/AC catalyst contains abundant Ru(IV) species which is the major active ingredient for acetylene hydrochlorination; NH4+ species can interact strongly with Ru species, which can weaken the occurrence of coking deposition and inhibit agglomeration of Ru metal particles; In addition, the presence of NH4+ can change the adsorption property of Ru-based catalyst, strengthening the adsorption capacity of reactant HCl and weakening the adsorption capacity of product VCM, which are beneficial for the acetylene hydrochlorination reaction. As the results demonstrate, the commercially available complex (NH4)2RuCl6 as a catalyst precursor shows excellent catalytic performance for acetylene hydrochlorination.
Supplementary Materials
The following are available online at www.mdpi.com/2073-4344/7/1/17/s1, Table S1: Weight loss of fresh and used catalysts with 1.0 wt % Ru loading under different temperature ranges, Table S2: The amount of coke deposition on the used 1.0 wt % Ru-based catalysts, Figure S1: TEM images of the fresh Ru-based catalysts with 1.0 wt % Ru loading. (a) Fresh RuCl3/AC; (b) Fresh (NH4)2RuCl6/AC; (c) HRTEM image of Fresh RuCl3/AC; (d) HRTEM image of Fresh (NH4)2RuCl6/AC, Figure S2: XRD patterns of the fresh and used Ru-based catalysts with 1.0 wt % Ru loading, Figure S3: XPS patterns of Ru 3p3/2 for fresh and used 1.0 wt % Ru-catalysts. (a) Fresh RuCl3/AC; (b) Used RuCl3/AC; (c) Fresh (NH4)2RuCl6/AC; (d) Used (NH4)2RuCl6/AC, Figure S4: TG curve of complex (NH4)2RuCl6 under nitrogen atmosphere, Figure S5: Comparison of stability of RuCl3/AC and (NH4)2RuCl6/AC. Reaction conditions: T= 170 °C, GHSV(C2H2) = 360 h−1, V(HCl)/V(C2H2) = 1.1, the Ru loading content = 1 wt %, Figure S6: TG and DTG curves of the fresh and used 1.0 wt % Ru-based catalysts (a) RuCl3/AC, (b) (NH4)2RuCl6/AC.
Acknowledgments
We gratefully acknowledge the support by the Special Funds for Major State Research Development Program of China (the 973 Program, No. 2012CB720302) and National Natural Science Foundation of China (NSFC) (21576205).
Author Contributions
Junjie Gu wrote the manuscript; Yumiao Gao carried out and analyzed all the experimental work; Jinli Zhang and Wei Li supervised all the study; Yanzhao Dong participated in the interpretation of the results; You Han is the corresponding author and responsible for the manuscript.
Conflicts of Interest
The authors declare no conflict of interest.
References
- Wei, X.; Shi, H.; Qian, W.; Luo, G.; Jin, Y.; Wei, F. Gas-phase catalytic hydrochlorination of acetylene in a two-stage fluidized-bed reactor. Ind. Eng. Chem. Res. 2009, 48, 128–133. [Google Scholar] [CrossRef]
- Zhu, M.; Wang, Q.; Chen, K.; Wang, Y.; Huang, C.; Dai, H.; Yu, F.; Kang, L.; Dai, B. Development of a heterogeneous non-mercury catalyst for acetylene hydrochlorination. ACS Catal. 2015, 5, 5306–5316. [Google Scholar] [CrossRef]
- Mackey, T.K.; Contreras, J.T.; Liang, B.A. The Minamata Convention on Mercury: Attempting to address the global controversy of dental amalgam use and mercury waste disposal. Sci. Total Environ. 2014, 472, 125–129. [Google Scholar] [CrossRef] [PubMed]
- Smith, D.M.; Walsh, P.M.; Slager, T.L. Studies of silica-supported metal chloride catalysts for the vapor-phase hydrochlorination of acetylene. J. Catal. 1968, 11, 113–130. [Google Scholar] [CrossRef]
- Shinoda, K. The vapor-phase hydrochlorination of acetylene over metal chlorides supported on activated carbon. Catal. Lett. 1975, 219–220. [Google Scholar]
- Hutchings, G.J. Vapor phase hydrochlorination of acetylene: Correlation of catalytic activity of supported metal chloride catalysts. J. Catal. 1985, 96, 292–295. [Google Scholar] [CrossRef]
- Conte, M.; Carley, A.; Attard, G.; Herzing, A.; Kiely, C.J.; Hutchings, G.J. Hydrochlorination of acetylene using supported bimetallic Au-based catalysts. J. Catal. 2008, 257, 190–198. [Google Scholar] [CrossRef]
- Conte, M.; Carley, A.F.; Hutchings, G.J. Reactivation of a carbon-supported gold catalyst for the hydrochlorination of acetylene. Catal. Lett. 2008, 124, 165–167. [Google Scholar] [CrossRef]
- Nkosi, B.; Adams, M.D.; Coville, N.J.; Hutchings, G.J. Hydrochlorination of acetylene using carbon-supported gold catalysts: A study of catalyst reactivation. J. Catal. 1991, 128, 378–386. [Google Scholar] [CrossRef]
- Wang, S.; Shen, B.; Song, Q. Kinetics of acetylene hydrochlorination over bimetallic Au–Cu/C catalyst. Catal. Lett. 2010, 134, 102–109. [Google Scholar] [CrossRef]
- Zhang, J.; He, Z.; Li, W.; Han, Y. Deactivation mechanism of AuCl3 catalyst in acetylene hydrochlorination reaction: A DFT study. RSC Adv. 2012, 2, 4814–4821. [Google Scholar] [CrossRef]
- Zhang, H.; Dai, B.; Wang, X.; Xu, L.; Zhu, M. Hydrochlorination of acetylene to vinyl chloride monomer over bimetallic Au–La/SAC catalysts. J. Ind. Eng. Chem. 2012, 18, 49–54. [Google Scholar] [CrossRef]
- Zhang, H.; Dai, B.; Wang, X.; Li, W.; Han, Y.; Gu, J.; Zhang, J. Non-mercury catalytic acetylene hydrochlorination over bimetallic Au–Co(III)/SAC catalysts for vinyl chloride monomer production. Green Chem. 2013, 15, 829–836. [Google Scholar] [CrossRef]
- Pu, Y.; Zhang, J.; Wang, X.; Zhang, H.; Yu, L.; Dong, Y.; Li, W. Bimetallic Au–Ni/CSs catalysts for acetylene hydrochlorination. Catal. Sci. Technol. 2014, 4, 4426–4432. [Google Scholar] [CrossRef]
- Zhang, H.; Dai, B.; Li, W.; Wang, X.; Zhang, J.; Zhu, M.; Gu, J. Non-mercury catalytic acetylene hydrochlorination over spherical activated-carbon-supported Au–Co(III)–Cu(II) catalysts. J. Catal. 2014, 316, 141–148. [Google Scholar] [CrossRef]
- Zhao, J.; Xu, J.; Xu, J.; Ni, J.; Zhang, T.; Xu, X.; Li, X. Activated-carbon-supported gold–cesium(I) as highly effective catalysts for hydrochlorination of acetylene to vinyl chloride. ChemPlusChem 2015, 80, 196–201. [Google Scholar] [CrossRef]
- Zhang, H.; Li, W.; Li, X.; Zhao, W.; Gu, J.; Qi, X.; Dong, Y.; Dai, B.; Zhang, J. Non-mercury catalytic acetylene hydrochlorination over bimetallic Au–Ba(II)/AC catalysts. Catal. Sci. Technol. 2015, 5, 1870–1877. [Google Scholar] [CrossRef]
- Zhao, J.; Zeng, J.; Cheng, X.; Wang, L.; Yang, H.; Shen, B. An Au–Cu bimetal catalyst for acetylene hydrochlorination with renewable γ-Al2O3 as the support. RSC Adv. 2015, 5, 16727–16734. [Google Scholar] [CrossRef]
- Hong, G.; Tian, X.; Jiang, B.; Liao, Z.; Wang, J.; Yang, Y.; Zheng, J. Improvement of performance of a Au–Cu/AC catalyst using thiol for acetylene hydrochlorination reaction. RSC Adv. 2016, 6, 3806–3814. [Google Scholar] [CrossRef]
- Du, Y.; Hu, R.; Jia, Y.; Zhou, Q.; Meng, W.; Yang, J. CuCl2 promoted low-gold-content Au/C catalyst for acetylene hydrochlorination prepared by ultrasonic-assisted impregnation. J. Ind. Eng. Chem. 2016, 37, 32–41. [Google Scholar] [CrossRef]
- Yin, X.; Huang, C.; Kang, L.; Zhu, M.; Dai, B. Novel AuCl3–thiourea catalyst with a low Au content and an excellent catalytic performance for acetylene hydrochlorination. Catal. Sci. Technol. 2016, 6, 4254–4259. [Google Scholar] [CrossRef]
- Zhu, M.; Kang, L.; Su, Y.; Zhang, J.; Zhang, S.; Dai, B. MClx (M = Hg, Au, Ru; x = 2, 3) catalyzed hydrochlorination of acetylene—A density functional theory study. Can. J. Chem. 2013, 91, 120–125. [Google Scholar] [CrossRef]
- Sheng, W.; Guo, C.; Li, W. Acetylene hydrochlorination over bimetallic Ru-based catalysts. RSC Adv. 2013, 3, 21062–21068. [Google Scholar]
- Jin, Y.; Li, G.; Zhang, J.; Pu, Y.; Li, W. Effects of potassium additive on the activity of Ru catalyst for acetylene hydrochlorination. RSC Adv. 2015, 5, 37774–37779. [Google Scholar] [CrossRef]
- Xu, J.; Zhao, J.; Zhang, T.; Di, X.; Gu, S.; Ni, J.; Li, X. Ultra-low Ru-promoted CuCl2 as highly active catalyst for the hydrochlorination of acetylene. RSC Adv. 2015, 5, 38159–38163. [Google Scholar] [CrossRef]
- Zhang, H.; Li, W.; Jin, Y.; Sheng, W.; Hu, M.; Wang, X.; Zhang, J. Ru-Co(III)-Cu(II)/SAC catalyst for acetylene hydrochlorination. Appl. Catal. B 2016, 189, 56–64. [Google Scholar] [CrossRef]
- Li, G.; Li, W.; Zhang, H.; Pu, Y.; Sun, M.; Zhang, J. Non-mercury catalytic acetylene hydrochlorination over Ru catalysts enhanced by carbon nanotubes. RSC Adv. 2015, 5, 9002–9008. [Google Scholar] [CrossRef]
- Hou, L.; Zhang, J.; Pu, Y.; Li, W. Effects of nitrogen-dopants on Ru-supported catalysts for acetylene hydrochlorination. RSC Adv. 2016, 6, 18026–18032. [Google Scholar] [CrossRef]
- Xu, N.; Zhu, M.; Zhang, J.; Zhang, H.; Dai, B. Nitrogen functional groups on an activated carbon surface to effect the ruthenium catalysts in acetylene hydrochlorination. RSC Adv. 2015, 5, 86172–86178. [Google Scholar] [CrossRef]
- Xu, H.; Zhou, K.; Si, J.; Li, C.; Luo, G. A ligand coordination approach for high reaction stability of anAu–Cu bimetallic carbon-based catalyst in the acetylene hydrochlorination process. Catal. Sci. Technol. 2016, 6, 1357–1366. [Google Scholar] [CrossRef]
- Johnston, P.; Carthey, N.; Hutchings, G.J. Discovery, development, and commercialization of gold catalysts for acetylene hydrochlorination. J. Am. Chem. Soc. 2015, 137, 14548–14557. [Google Scholar] [CrossRef] [PubMed]
- Huang, C.; Zhu, M.; Kang, L.; Dai, B. A novel high-stability Au(III)/Schiff-based catalyst for acetylene hydrochlorination reaction. Catal. Commun. 2014, 54, 61–65. [Google Scholar] [CrossRef]
- Dong, Y.; Li, W.; Yan, Z.; Zhang, J. Hydrochlorination of acetylene catalyzed by an activated carbon supported chlorotriphenylphosphine gold complex. Catal. Sci. Technol. 2016, 6, 7946–7955. [Google Scholar] [CrossRef]
- Albani, D.; Li, Q.; Vilé, G.; Mitchell, S.; Almora-Barrios, N.; Witte, P.; Lopez, N.; Perez-Ramirez, J. Interfacial acidity inligand-modified ruthenium nanoparticles boosts the hydrogenation of levulinic acid to gamma-valerolactone. Green Chem. 2017. [Google Scholar] [CrossRef]
- Dérien, S.; Klein, H.; Bruneau, C. Selective ruthenium-catalyzed hydrochlorination of alkynes: One-step synthesis of vinylchlorides. Angew. Chem. Int. Ed. 2015, 54, 1–5. [Google Scholar] [CrossRef] [PubMed]
- Pu, Y.; Zhang, J.; Yu, L.; Jin, Y.; Li, W. Active ruthenium species in acetylene hydrochlorination. Appl. Catal. A 2014, 488, 28–36. [Google Scholar] [CrossRef]
- Prager, M.; Press, W.; Alefeld, B.; Huller, A. Rotational states of the NH4+ ion in (NH4)2SnCl6 by inelastic neutron scattering. J. Chem. Phys. 1977, 67, 5126–5132. [Google Scholar] [CrossRef]
- Otnest, K.; Svare, I. Inelastic neutron scattering and potential shape in ammonium hexachlorides. J. Phys. C 1979, 12, 3899–3905. [Google Scholar] [CrossRef]
- Costa, V.V.; Jacinto, M.J.; Rossi, L.M.; Landers, R.; Gusevskaya, E.V. Aerobic oxidation of monoterpenic alcohols catalyzed by ruthenium hydroxide supported on silica-coated magnetic nanoparticles. J. Catal. 2011, 282, 209–214. [Google Scholar] [CrossRef]
- Bo, Z.; Hu, D.; Kong, J.; Yan, J.; Cen, K. Performance of vertically oriented graphene supported platinum–ruthenium bimetallic catalyst for methanol oxidation. J. Power Sources 2015, 273, 530–537. [Google Scholar] [CrossRef]
- Conte, M.; Carley, A.; Heirene, C.; Willock, D.; Johnston, P.; Hutchings, G.J. Hydrochlorination of acetylene using a supported gold catalyst: A study of the reaction mechanism. J. Catal. 2007, 250, 231–239. [Google Scholar] [CrossRef]
© 2017 by the authors; licensee MDPI, Basel, Switzerland. This article is an open access article distributed under the terms and conditions of the Creative Commons Attribution (CC-BY) license (http://creativecommons.org/licenses/by/4.0/).




