Abstract
Four pyridinyl alcohols and the corresponding hemilabile pyridinyl alcoholato ruthenium carbene complexes of the Grubbs second generation-type RuCl(H2IMes)(O^N)(=CHPh), where O^N = 1-(2′-pyridinyl)-1,1-diphenyl methanolato, 1-(2′-pyridinyl)-1-(2′-chlorophenyl),1-phenyl methanolato, 1-(2′-pyridinyl)-1-(4′-chlorophenyl),1-phenyl methanolato and 1-(2′-pyridinyl)-1-(2′-methoxyphenyl),1-phenyl methanolato, are synthesized in very good yields. At high temperatures, the precatalysts showed high stability, selectivity and activity in 1-octene metathesis compared to the Grubbs first and second generation precatalysts. The 2-/4-chloro- and 4-methoxy-substituted pyridinyl alcoholato ligand-containing ruthenium precatalysts showed high performance in the 1-octene metathesis reaction in the range 80–110 °C. The hemilabile 4-methoxy-substituted pyridinyl alcoholato ligand improved the catalyst stability, activity and selectivity for 1-octene metathesis significantly at 110 °C.
1. Introduction
The well-defined Grubbs first (1 and 2) [1,2,3,4] and second (3) [5,6,7] generation precatalysts are found to be very active and robust toward a large number of substrates. These precatalysts however showed activity at room temperature in alkene metathesis reactions [2,8,9]. Although they perform excellent at room temperature, they have a relatively short catalytic lifetime.

The first 31P NMR investigation of a hemilabile property of S-O ligands in Pd complexes of the type trans-[Pd(OOC-C6H4-2SR-k1-O)]Ph(PPh3)2 (R = iPr, tBu), wherein one PPh3 ligand is replaced by a sulfur atom of the S-O ligand to afford chelates, in solution, was reported by Raubenheimer et al. [10]. Grubbs-type precatalysts with hemilabile ligands showed greater lifetimes and stability [10,11]. It was also reported [12] that the electronic and steric effects, together with the ring size and rigidity of the hemilabile bidentate ligands, can possibly influence the stability of the complex to which the bidentate ligand is attached and consequently the catalytic performance. Different groups followed different design concepts of initiators in the various precatalysts to obtain thermally-switchable initiators (Scheme 1) [13].
Scheme 1.
Design concepts for thermally-switchable initiators.
In the design concepts shown in Scheme 1, the intention in all is to slow down or prevent the dissociation of L2. Motif A is the classical Grubbs precatalysts where L2 is mostly either PCy3 [4] or H2IMes [7], while in Motif D, a hetero-atom like sulfur [14] is typically introduced in the alkylidene ligand of these precatalysts. Hoveyda et al. [15,16,17,18] synthesized precatalysts with Motif B that showed exceptional stability that allowed its use in reagent-grade solvents and/or in air [15], while this motif was also used by Van der Schaaf et al. [14] for the fine-tuning of gel times for the better handling of ROMP (ring-opening metathesis polymerization) in technical processes. In Motif C, where X is oxygen, the chelating ligand competes in both initiation and coordination with the incoming alkene substrate for a vacant coordination site [17]. The synthesis of this design concept was first achieved by Grubbs et al. [19] and later by Verpoort et al. [20,21]. Herrmann and co-workers synthesized the hemilabile pyridinyl alcoholato ligand-containing complexes and found low catalytic activity for ROMP; however, the activity increased with an increase in temperature as was observed for 3 [11]. A closely-related precatalyst was also synthesized by Hafner et al. [22]. Because of the increase in the catalytic lifetime as a result of hemilability, we were interested in the design concept shown in Motif C. In line with this, Jordaan [23] synthesized 4 and other ruthenium-based precatalysts by modifying the bidentate hemilabile ligand of Herrmann et al. [11] and Hafner et al. [22]. The precatalyst 4 has shown an enhanced catalyst lifetime compared to Grubbs precatalysts at 60 °C [24]. Furthermore, its optimum temperature is 80 °C in 1-octene metathesis.
Our aim is synthesizing a precatalyst that is active, highly selective and having a longer catalytic lifetime at higher temperatures. This is because in industry, mainly linear alkenes are produced typically at high temperatures (e.g., alkenes are produced in high temperature Fischer–Tropsch processes operating at typically >300 °C [25]), thus reducing the need to lower process temperatures too low to add further value to the alkene pool. In this paper, we investigated the influence of an electron-withdrawing (Cl) and an electron-donating (OMe) substituent, ortho or para on one of the α-phenyl rings of 4, on its catalytic performance in 1-octene metathesis. With this aim, the synthesis and characterization of p-chloro-, p-methoxy- and o-chloro-substituted pyridinyl alcohols and the corresponding derivatives of 4 were successfully performed. Investigations of their catalytic activity, selectivity and stability in 1-octene metathesis were made in the temperature range of 70–110 °C.
2. Results and Discussion
2.1. Synthesis of Pyridinyl Alcohols
Although there are more than 21 different methods [26] of synthesizing pyridinyl alcohols, we followed the straightforward and relatively simple synthetic route of Herrmann et al. [27] to synthesize the pyridinyl-alcohols 5–8 (Scheme 2). As was mentioned earlier, our aim is synthesizing 1-(2′-pyridinyl)-1,1-diphenyl-methanols having chlorine and/or methoxy substituents on one of the phenyl rings.
Scheme 2.
Synthesis of pyridinyl alcohols 5–8.
The synthesis of the alcohols was performed in a dry and inert three-neck round-bottomed flask by stirring the mixture of nBuLi solution with 2-bromopyridine, in diethyl ether under cryogenic (−78 °C) conditions. The lithium salts of pyridinyls were then allowed to react with benzophenone, 2-chlorobenzophenone, 4-chlorobenzophenone or 4-methoxybenzophenone after raising the temperature to −20 °C for 2 h, which, in the end, was raised to room temperature, followed by careful hydrolysis. This resulted in 48% 1,1-diphenyl-1-(2′-pyridinyl)-methanol (5), 89% 1-(2′-chlorophenyl)-1-phenyl-1-(2′-pyridinyl)-methanol (6), 80% 1-(4′-chlorophenyl)-1-phenyl-1-(2′-pyridinyl)-methanol (7) and 70% 1-(4′-methoxyphenyl)-1-phenyl-1-(2′-pyridinyl)-methanol (8). The structures of the alcohols were elucidated using IR (Infrared spectrometry), NMR (Nuclear Magnetic Resonance spectrometry) and MS (Mass Spectrometry) (see Section 3). Compared to Sperber et al.’s [28] yield (14.5%), our yield for 5 is far better. They reacted picolinic acid and benzophenone (1:6) in p-cymene solvent for about 6 h. McCarty et al. [29] increased the yield of 5 to 25% by adding the picolinic acid over a 1–3 h period to a refluxing p-cymene solution of benzophenone. Using the same procedure, McCarty et al. [29] synthesized 25% of 7, which is three times less than our yield. They, however, obtained 7 (68%) and 6 (42%) by first preparing the nBuLi followed by reacting it with 2-bromopyridine at −60–−40 °C. The lithium salt of 2-bromopyridine was then reacted with 4-chlorobenzophenone and 2-chlorobenzophenone at −60 °C and then allowed to react for 2 h at −40 °C. Pyridinyl alcohol 8 was synthesized for the first time.
2.2. Synthesis of the Lithium Salts and the Corresponding Complexes
The lithium salts of the alcohols 5–8 were prepared in a Schlenk tube by stirring the pyridinyl alcohols with nBuLi solution in THF at room temperature in an argon atmosphere (Scheme 3) [22]. The yield percentage of the lithium salts of the pyridinyl-alcohols was not calculated, as the lithium salts are very sensitive to moisture and oxygen (air). The lithium salts were kept in the Schlenk tube under the argon atmosphere for the synthesis of the complexes shown in Scheme 4.
Scheme 3.
Synthetic representation of the synthesis of the lithium salts of pyridinyl alcohols.
Scheme 4.
Synthetic representation of the synthesis of the ruthenium-based precatalysts.
The lithium salts of the pyridinyl methanols 9–12 were added into a Schlenk tube containing a THF solution of the Grubbs 2 precatalyst in an argon atmosphere and stirred to result in the Grubbs 2-type precatalysts 4 and 13–15, as shown in Scheme 4.
The nitrogen chelation of the pyridinyl-alcoholato ligands to the ruthenium metal can be seen from the downfield H-6′ 1H NMR chemical shifts of the catalysts compared to the corresponding free ligands (Table 1). It is also seen from the up-field 1H NMR chemical shift of the precatalyst carbene proton (α-H) compared to that of Grubbs 2-precatalyst. The electron donation of the pyridinyl alcoholato nitrogen to the ruthenium metal, during chelation, would possibly increase the electron density around the ruthenium and also the benzylidene proton. This will shift its resonance up-field compared to the Grubbs 2-precatalyst. Simultaneously, the electron density on the pyridinyl-alcoholato ligand nitrogen will decrease, and this would result in the downfield chemical shift of the H-6′ of pyridine. A downfield chemical shift of a proton is indicative of the decrease on the electron density around the atom [30]. Therefore, the chelation of the pyridinyl-alcoholato ligands to the ruthenium metal is evident. The precatalysts 13–15 were all synthesized for the first time, as we did not find any reported in the literature.
Table 1.
Selected 1H NMR (Nuclear Magnetic Resonance) chemical shifts of the synthesized precatalysts, Grubbs 2 and pyridinyl alcohols.
The appearance of two peaks in the 1H NMR spectra of the precatalysts 13–15 is due to the chirality of the pyridinyl alcoholato ligand at the α-position, which results in the formation of diastereomers. A similar phenomenon is observed in the 13C NMR spectra.
2.3. Metathesis Reactions
The metathesis of 1-octene results in a mixture of products. The self-metathesis of 1-octene results in the formation of 7-tetradecene (cis and trans) and ethene, named primary metathesis products (PMPs). The double bond in 1-octene also undergoes isomerization to form internal olefins. The isomerization products (IPs) undergo self-metathesis and cross-metathesis reactions or secondary metathesis reactions yielding the various alkenes in the range C3–C16 named secondary metathesis products (SMPs). Table 2 summarizes the various metathesis reactions and the products of 1-octene in the presence of ruthenium alkylidene catalysts.
Table 2.
Summary of products of 1-octene metathesis in the presence of ruthenium alkylidene precatalysts. PMPs (primary metathesis products); IPs (isomerization products); SMPs (secondary metathesis products).
2.3.1. Effect of Temperature on Catalyst Activity and Selectivity in 1-Octene Metathesis
The effect of temperature on the catalytic activities of precatalysts 13–15 was investigated for temperatures of 70, 80, 90, 100 and 110 °C. The results of the metathesis reaction of 1-octene with 13 and 14 at 70 °C are not included in the figures (Figure 1 and Figure 2) as a result of using different time intervals for sample collection than those of 80–110 °C. A summary of the results, however, is included in Table 3 and Table 4. The metathesis of 1-octene was also performed using precatalyst 4 at its optimum temperature (80 °C) with the intention to compare it with the newly-synthesized precatalysts and to see the influence of the substituents on the catalytic activity. A comparison of the catalytic activity and selectivity of precatalysts 13–15 is also made with precatalysts 2–4 at their optimum temperatures. Furthermore stabilities of the precatalysts were compared in the temperature ranges 70–110 °C. The results of the metathesis reactions are presented below.

Figure 1.
The influence of temperature on the reaction composition during metathesis of 1-octene using the ruthenium alkylidene precatalyst 13: (a) conversion of 1-octene; (b) formation of PMPs (primary metathesis products); (c) formation of SMPs (secondary metathesis products); (d) formation of IPs (isomerization products); Ru/1-octene (1:9000) (■, 80 °C; ▲, 90 °C; ♦, 100 °C; □, 110 °C).

Figure 2.
The influence of temperature on the reaction composition during metathesis of 1-octene using the ruthenium alkylidene precatalyst 14: (a) conversion of 1-octene; (b) formation of PMPs; (c) formation of SMPs; (d) formation of IPs; Ru/1-octene (1:9000) (■, 80 °C; ▲, 90 °C; ♦, 100 °C; □, 110 °C).
Table 3.
Summary of the catalytic activity of precatalyst 13 for the metathesis of 1-octene after 540 min.
Table 4.
Summary of the catalytic activity of precatalyst 14 for the metathesis of 1-octene after 540 min.
Precatalyst 13 showed a progressive activity in 1-octene metathesis in the temperature range of 70–110 °C (Table 3 and Figure 1). The activity of 13, however, is very slow at 70 °C, resulting only in 25% conversion of 1-octene to 22.7% PMPs, 2.0% SMPs and 0.3% IPs in 540 min. Although the selectivity is good (91%), the initiation constant (KIn), turnover number (TON) and turnover frequency (TOF) are low. The activity, however, was almost doubled on increasing the reaction temperature to 80 °C, resulting in 46% conversion of 1-octene to 44.2% PMPs, 1.9% SMPs and 1.1% IPs. The selectivity also increased to 96%, resulting in a significant increase in KIn, TON and TOF.
Relatively large conversion (94%) of the 1-octene into the various products was observed at 90 °C. This, however, resulted in an enormous increase in the SMPs (20.7%) and PMPs (71.7%). The IPs (1.26%) showed a very small increase as a result of the fast conversion to SMPs. A decrease in the selectivity (77%) and a large increase in the initiation constant, TON and TOF are observed due to high conversion of 1-octene to PMPs and SMPs. The increase in substrate conversion at 100 and 110 °C is not significant and led to a slight increase in SMPs (24.4% and 30.2%, respectively) and IPs (1.5% and 1.9%, respectively).
A decrease in the selectivity, KIn, TON and TOF was observed due to the slow 1-octene conversion. As a result of a very low activity at 70 °C, the reaction reached equilibrium, i.e., when no further PMP formation is observed, at 3630 min, wherein 85% 1-octene conversion to 80% PMPs, 4.9% SMPs and 0.2% IPs with 94% selectivity, 7214 TON and 3.3 × 10−2 TOF were observed. On the other hand, at 80 °C, equilibrium was attained at 2100 min and 79% 1-octene conversion resulting in 69% PMPs, 9.4% SMPs, and 0.2% IPs with 88% selectivity, 6237 TON and 4.94 × 10−2 TOF. At 90 °C, the reaction attained equilibrium at 350 min and 94% 1-octene conversion into 73.4% PMPs, 19.4% SMPs and 1.1% IPs with 78% selectivity, 6606 TON and 31.5 × 10−2 TOF. Although equilibrium was attained at 140 min at 100 and 110 °C, the 1-octene conversion and product distribution showed significant variation. At 100 °C, 86% conversion of 1-octene into 73% PMPs, 12.3% SMPs and 0.7% IPs was observed with 84% selectivity, 6523 TON and 77.7 × 10−2 TOF. In the case of 110 °C, 94% of 1-octene was converted into 72% PMPs, 21% SMPs and 1.2% IPs with 76% selectivity, 6456 TON and 76.9 × 10−2 TOF. Although the highest selectivity and large PMP formation and TON with relatively low SMP and IP formation are observed at 70 °C, it took a very long time to reach equilibrium. Considering the rate of the reaction, high PMPs, low SMPs and IPs, the optimum temperature for the precatalyst 13 is 80 °C.
The catalytic activity of precatalyst 14 is summarized in Table 4 and Figure 2. A very low conversion of 1-octene (6%) to PMPs (5.3%), SMPs (0.8%) and IPs (0.1%) with 86% selectivity, 476 TON, 0.71 × 10−3 KIn and 1.47 × 10−2 TOF is observed for 1-octene metathesis. The reaction did not even reach equilibrium after 3570 min, at which point, the reaction was stopped.
After 3570 min at 70 °C, 66% of the 1-octene was converted to 65% PMPs, 0.8% SMPs and 0.2% IPs with 99% selectivity, 5854 TON and 2.60 × 10−2 TOF. Although the 1-octene conversion, PMP formation, selectivity and TON increased significantly, the rate of the reaction is very slow. The selectivity (99%) towards PMP formation, however, is excellent at this temperature. This therefore shows the need for increasing the reaction temperature in order to increase the activity of the precatalyst and increase the rate of product formation. The reaction temperature was raised to 80 °C and resulted in 59% 1-octene conversion to 56.6% PMPs, 5.8% SMPs and 0.2% IPs with 96% selectivity, relatively high KIn (9.22 × 10−3), TON (5097) and TOF (15.7 × 10−2) after 540 min (Table 4). The 1-octene conversion and PMP formation increased ten-fold, while the SMPs and IPs increased only two-fold in 540 min. A very large increase in selectivity, initiation constant, TON and TOF is also observed. The reaction reached equilibrium after 1620 min with 84% 1-octene conversion to 81.2% PMPs, 2.3% SMPs and 0.28% IPs with 97% selectivity, 7307 TON and 7.5 × 10−2 TOF. Further increasing the temperature to 90 °C resulted in 82% 1-octene conversion to 75.8% PMPs, 5.8% SMPs and 0.2% IPs with 93% selectivity, 6823 TON, 11.36 × 10−3 KIn and 21.1 × 10−2 TOF. Although all of the factors (except selectivity) showed an increase upon raising the temperature to 90 °C, further raising the temperature to 100 °C only increased the PMPs (77%), selectivity (97%), TON (6928), KIn (14.11 × 10−3) and TOF (21.4 × 10−2). The 1-octene conversion (79%), SMPs (2.0%) and IPs (0.4%), however, decreased moderately. The reaction attained equilibrium at 660 min (Figure 2) with 84% 1-octene conversion to 78.5% PMPs, 5.5% SMPs, 0.2% IPs, 93% selectivity, 7068 TON and 17.9 × 10−2 TOF at 90 °C. It required only 420 min to reach equilibrium at 100 °C (Figure 2) with 79% 1-octene conversion to 75.8% PMPs, 2.5% SMPs, 0.3 IPs and 97% selectivity, 6825 TON and 27.08 × 10−2 TOF. At 110 °C, however, 87% of the 1-octene was converted to 81.1% PMPs, 5.0% SMPs, 0.5% IP with 94% selectivity, 7298 TON, 12.75 × 10−3 KIn and 22.5 × 10−2 TOF at 540 min. The 1-octene conversion, PMP and SMP formation and TON showed a significant increase compared to that at 100 °C. Although the reaction seems to equilibrate at 200 min at 110 °C, the reaction slowly continued showing an increase in the substrate conversion, PMP, SMP and IP formation up to 540 min (Figure 2). Considering all of the factors, therefore, the optimum temperature for 1-octene metathesis using precatalyst 14 is 100 °C.
Figure 3 and Table 5 summarize the influence of temperature on the 1-octene metathesis reaction using precatalyst 15 after 540 min. As was the case with precatalysts 13 and 14, the 1-octene metathesis reaction using precatalyst 15 showed relatively low substrate conversion, PMP, IP and SMP formation and KIn, TON and TOF after 540 min. Generally, it showed low activity.
Figure 3.
The influence of temperature on the reaction composition during metathesis of 1-octene using the ruthenium alkylidene precatalyst 15: (a) conversion of 1-octene; (b) formation of PMPs; (c) formation of SMPs; (d) formation of IPs; Ru/1-octene (1:9000) (●, 70 °C; ■, 80 °C; ▲, 90 °C; ♦, 100 °C; □, 110 °C).
Table 5.
Summary of the catalytic activity of precatalyst 15 for the metathesis of 1-octene after 540 min.
At 70 °C, the reaction did not reach equilibrium after 2100 min, resulting in 47% 1-octene conversion to 45% PMPs, 1.7% SMPs, 0.2% IPs and 96% selectivity, 4032 TON, 3.29 × 10−2 TOF. Increasing the temperature to 80 °C raised the 1-octene conversion to 32%, resulting in 53.4% PMPs, 1.4% SMPs, 0.2% IP and 95% selectivity, 2765 TON, 4.46 × 10−3 KIn and 8.5 × 10−2 TOF after 540 min. The substrate conversion and PMP formation, KIn, TON and TOF are doubled, while the SMP formation showed a moderate increase, and IP formation decreased. The reaction did not equilibrate after 2100 min, resulting in 84% 1-octene conversion to 81% PMPs, 2.9% SMPs, 0.1% IPs, 97% selectivity, 7321 TON and 5.8 × 10−2 TOF. Raising the temperature to 90 °C converted 56% of 1-octene to 53.4% PMPs, 2.1% SMPs, 0.2% IPs and 96% selectivity, 4802 TON, 7.74 × 10−3 KIn and 14.8 × 10−2 TOF after 450 min. Except for IP formation and selectivity, a substantial increase was observed in all of the factors upon increasing the temperature by 10 °C.
The reaction, however, did not reach equilibrium at 2100 min, where it was stopped, resulting in 91% conversion of 1-octene to 87% PMPs, 4.1% SMPs, 0.2% IPs, 95% selectivity, 7835 TON and 6.2 × 10−2 TOF. Relatively high substrate conversion to high PMPs and SMPs is observed after 2100 min. At 100 °C, 75% of the 1-octene was converted to 71.9% PMPs, 2.5% SMPs and 0.3% IPs with 96% selectivity, 6469 TON, 12.83 × 10−3 KIn and 20.0 × 10−2 TOF after 540 min. The increase in 1-octene conversion to PMPs is significant, while its conversion to SMPs and IPs is relatively small. The TON, KIn and TOF also showed a substantial increase. The reaction, however, reached equilibrium after 780 min with 84% of substrate conversion to 81% PMPs, 3.5% SMPs, 0.3% IPs, 96% selectivity, 7251 TON and 15.5 × 10−2 TOF. In spite of all of the variations in substrate conversion, PMP, SMP and IP formation, the selectivity remained the same (96%), which is a remarkable phenomenon. As a result of the relatively small SMP and IP formation, we were interested to see the influence of the reaction temperature at 110 °C on the catalytic performance of 15. As is shown in Table 5 and Figure 3, 97% of the 1-octene was converted to 91.8% PMPs, 4.5% SMPs, 0.3% IPs with 95% selectivity, 8264 TON, 19.01 × 10−3 KIn and 26.0 × 10−2 TOF after 540 min. This is a remarkable result, which we did not see with any of the previous precatalysts at this temperature after 540 min. In addition to this, the reaction attained equilibrium after 660 min with 97% of the substrate being converted to 93% PMPs, 4.3% SMPs, 0.2% IPs with 95% selectivity, 8340 TON and 21.1 × 10−2 TOF. It is exciting to see nearly all of the 1-octene being converted to PMPs. It is difficult to decide the optimum reaction temperature for precatalyst 15 as a result of similar selectivities towards PMPs at the high temperatures. Therefore, we prefer to consider both 100 and 110 °C as optimum temperatures for precatalyst 15.
2.3.2. Comparison of Catalytic Activity and Selectivity
Table 6 and Figure 4 show a summary and comparison respectively of the catalytic activities of precatalysts 2–4 and 13–15 in 1-octene metathesis at 80 °C after 540 min. We choose 80 °C because the optimum temperature for precatalyst 4, our reference precatalyst, is 80 °C, as it will help us compare the influence of the substituents on the catalytic activities of precatalysts 13–15. We also included the first and second generation Grubbs precatalysts 2 and 3 for the sake of comparing the improvement in terms of the catalyst activity at high temperatures. As we have mentioned earlier, our main objective is to synthesize a catalyst that would perform better at high temperatures so that it could be considered for industrial applications.
Table 6.
Summary of the catalytic activity of different precatalysts for the metathesis of 1-octene at 540 min and 80 °C.
Figure 4.
Comparison of catalytic activity, selectivity and stability of precatalysts 4 and 13–15 during the course of metathesis of 1-octene: (a) conversion of 1-octene; (b) formation of PMPs; (c) formation of SMPs; (d) formation of IPs; Ru/1-octene (1:9000), 80 °C (●, 4; ■, 13; ▲, 14; ♦, 15).
Although high 1-octene conversion is observed for precatalysts 2 and 3, the highest PMP formation, selectivity, KIn, TON and TOF is observed for precatalyst 4. The lowest catalytic activity is observed for 15. Precatalysts 14 and 13 rank second and third, respectively. The precatalyst 3 resulted in relatively high SMPs, although it showed comparative TON and TOF to precatalysts 13 and 14. Precatalyst 2, on the other hand, resulted in high IP (25%) formation that made the reaction competitive regarding IP and PMP formation. The competitive reaction products in 2 and 3 made the selectivity toward PMPs become relatively small.
The relatively low 1-octene conversion and PMP formation for precatalyst 15 is due to the fact that the reaction temperature is way below its optimum temperature. To this effect, we wanted to compare the catalytic performances of all of the aforementioned precatalysts at their optimum temperatures after 420 min. Jordaan [23] optimized the 1-octene metathesis reaction of 2 and 3 at a 1-octene/Ru molar ratio of 9000 and found the optimum reaction temperatures to be 35 and 60 °C, respectively. Table 7 presents the results of the catalytic activities of all of the precatalysts at their optimum temperatures for 1-octene metathesis.
Table 7.
Summary of the catalytic activity of different precatalysts for the metathesis of 1-octene after 420 min and at optimum reaction temperatures.
The lowest catalytic activity is observed for 13 in every aspect (except selectivity), and the highest selectivity is observed for 2. The highest substrate conversion and PMPs formation is observed for 15 (at 110 °C), which is followed by 3. Precatalyst 3, however, resulted in relatively high TON and TOF followed by 15 (at 110 °C). Precatalysts 15 (at 100 °C) and 4 showed similar activities, whereas precatalyst 14 showed better activity than these two. Generally, precatalysts 14 and 15 showed better activity than the rest of the precatalysts at high temperatures (100 and 110 °C). Therefore, we improved the optimum temperature of the very stable precatalyst 4 to temperatures as high as 100 and 110 °C, sustaining high catalyst activity and selectivity by introducing chloro and methoxy groups on the p-position of one of the α-phenyl groups in the pyridinyl alcoholato ligand.
2.3.3. Effect of Temperature on the Catalyst Lifetime
Previously [24,31], we reported the stability (as seen in the improved catalytic lifetimes) of precatalyst 4 and other related precatalysts inter alia by using the plot of the ln([starting material]) versus time. According to Grubbs and co-workers [32], a linear plot indicates a reaction with pseudo-first order rate kinetics, while a curved plot points towards catalyst decomposition. In this article, we use the same approach in order to compare catalyst stability.
The plots of precatalysts 13 and 14 show catalytic stability at 70 and 80 °C, while the precatalyst 15 showed relatively better catalytic stability between 70 and 100 °C (Figure 5). The deviation from linearity after 470 min in the course of the metathesis reaction of precatalyst 15 reveals its high stability even at 110 °C, while precatalysts 13 and 14 started catalyst decomposition already after 270 min at 90 °C, after 200 min at 100 °C and after 140 min at 110 °C. Although precatalysts 14 and 15 perform very well at 100 °C, precatalyst 15 shows better catalyst stability, and therefore, it will be a choice of interest for high temperature industrial olefin metathesis reactions. In our previous work [24], we reported that the Grubbs second generation precatalyst 3 resulted in a curved plot at 60 °C; therefore, all of the precatalysts 13–15 showed better catalyst stability at temperatures as high as 80 °C (13 and 14) and 100 °C (15). Comparing only with our reference precatalyst 4, all of the substituted precatalysts showed a better lifetime as a result of a slightly curved plot at 80 °C in the case of precatalyst 4 (Figure 5d).

Figure 5.
ln([n%1-octene]) versus time plots of: (a) precatalyst 13; (b) precatalyst 14; (c) precatalyst 15; (d) precatalyst 4 (●, 70 °C; ■, 80 °C; ▲, 90 °C; ♦, 100 °C; □, 110 °C).
So far, we have been discussing the catalytic activities and stabilities of the precatalysts in 1-octene metathesis. Generally, the experimental results revealed the fact that the substituted precatalysts 13–15 are more stable than the unsubstituted precatalyst 4. Our comparison in terms of catalytic performance showed the fact that the 4-chloro/methoxy-substituted pyridinyl alcoholato precatalysts 14 and 15 perform better than the 2-chlorosubstituted precatalyst 13 and the unsubstituted precatalyst 4 at high temperatures (≥80 °C). The question is, therefore, what is the reason behind this? Is it electronic, steric or the combination of the two? To answer these questions and to get a fundamental understanding of the differences in catalytic performance and catalyst stability among the precatalysts under investigation, a DFT (Density Functional Theory) study was performed.
2.4. Molecular Modelling
In the DFT study, the precatalysts 4 and 13–15 were optimized using the DMol3 module of Accelrys Material Studio 6.1 (Accelrys Software Inc., San Diego, CA, USA) [33]. Steric calculations between atoms and/or groups was calculated using Solid Angle [34], and energy calculations were performed based on previous work [35]. Table 8 presents the calculated properties of the precatalysts where all properties were obtained from the Gaussian output files using the pop = NBOread (NBO = natural bond order) keyword.
Table 8.
Experimental data and calculated properties of precatalyst 4 and 13–15.
Table 9 summarizes the observed trends of the calculated properties based on experimental data. Most of the calculated properties fit well to the observed experimental result. The observed close contact order 13 > 15 > 14 between the carbene carbon and the sterically bulky NHC (N-heterocyclic carbene) group indicates the possibility of relatively high steric repulsion between the 4-substituted chlorine and/or methoxy groups and the NHC, which leads to the reorganization of the structure, resulting in the aforementioned close contact order.
Table 9.
Summary of observed trends based on the experimental and calculated results.
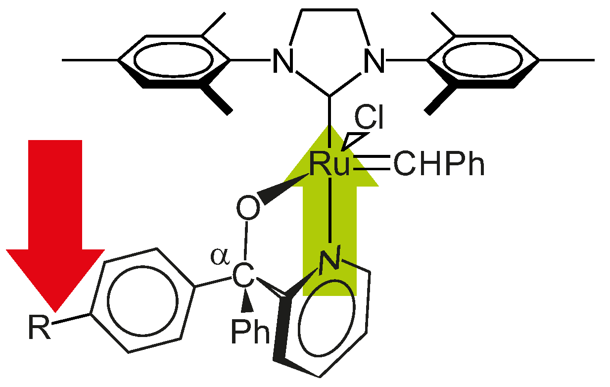
The highest close contact [34] for precatalyst 14 was due to the relatively large size of the chloro group compared to the methoxy oxygen. This steric repulsion can affect the Ru–N bond length, as can be seen in Figure 6, hence the Ru–N bond length order in Table 9. The shorter the Ru–N bond length, the slower the hemilability of the pyridinyl alcoholato ligand at a low temperature. Therefore, the relatively high optimum temperature for the precatalysts 14 and 15 is as a result of the strong Ru–N bond. It is therefore the combination of steric and electronic effects that contributed to the differences in the catalyst performance.
Figure 6.
Visual representation of forces (red and green arrows) contributing to the higher activity and stability of catalysts with ligands on the 4-position of one of the α-phenyl groups in the pyridinyl alcoholato ligand.
According to Wiberg [36], the larger the Wiberg index value, the more active the carbene double bond of the precatalyst. In other words, a π-system can be more active if there exists high electron density. Incidentally, therefore, in the precatalyst 14, the bonding electrons are denser than the rest of the catalysts. This is therefore in agreement with the theoretically-calculated Ru–N bond length order. The only switch between Wiberg’s index and Ru–N bond length order is between precatalysts 4 and 15; otherwise, it is in good agreement with the experimental results. The Ru and N natural charges also signify the fact that the closer the nitrogen to the ruthenium, the more the electron density (less positive charge) around the ruthenium and the less the negative charge on the nitrogen; hence, the ruthenium charge order of the precatalysts is 13 > 4 > 15 > 14.
3. Materials and Methods
3.1. Instrumental Methods
IR spectra were obtained by using a Bruker ALPHA-P FTIR (Bruker Optik GmbH, Ettlingen, Germany) equipped with an ATR (attenuated total reflection). A small amount of solid samples was applied directly onto the ATR.
1H-NMR (CDCl3, 600 MHz), 13C-NMR (150 MHz), 31P-NMR (CDCl3, 242 MHz), DEPT135 (CDCl3, 150 MHz), COSY (CDCl3, 600 MHz) and HSQC (CDCl3, 600 MHz and 150 MHz) spectra were obtained using a Bruker Ultrashield Plus 600 Avance III spectrometer (Bruker BioSpin GmbH, Rheinstetten, Germany). Samples were prepared by dissolving 20 mg of the sample in 0.75 mL CDCl3.
The masses of the alcohols and the complexes were determined using time-of-flight mass spectrometry (TOF-MS) with the following ionization techniques: atomic pressure chemical ionization (APCI), electron spray ionization (ESI) and matrix-assisted laser desorption ionization (MALDI). A Bruker MicrOTOF-Q II 10390 MS (Bruker Daltonik GmbH, Bremen, Germany) with APCI using the following parameters was used: number of scans 400–1500 m/z, positive ion polarity, capillary 4000 V, endplate offset −500 V, collision cell RF 350.0 Vpp, nebulizer 2.2 bar, dry heater 200 °C, dry gas 6.0 L/min. A Bruker MicrOTOF-Q II 10390 MS (Bruker Daltonik GmbH, Bremen, Germany) with ESI using the following parameters was used: scans between 50 and 1500 m/z, positive ion polarity, capillary 4500 V, endplate offset −500 V, collision cell RF 100.0 Vpp, nebulizer 0.4 bar, dry heater 180 °C, dry gas 4.0 L/min. A Bruker Autoflex TOF/TOF MS (Bruker Daltonik GmbH, Bremen, Germany) with MALDI using the following parameters was used: laser (laser beam attenuation 99, laser beam focus 64, laser repetition rate 250 Hz, number of shots 500), positive voltage polarity, PIE (pulsed ion extraction) delay 140 ns, ion source voltage 1 1.9 kV, ion source voltage 2 16.65 kV, lens voltage 7.8 kV, linear detector voltage 0 kV, deflection on true, deflection mass 400 Da, Reflector Voltage 1 21 kV, Reflector Voltage 2 9.55 kV, reflector detector voltage 1.775 kW. Sample preparation for MALDI-MS: 20 mg/mL in THF DCTB and 1 mg sample were dissolved in 1 mL CHCl3. Ratio of DCTB:sample 20 µL:µL; 1 µL of mixture was placed on a ground steel target plate.
Melting points of the pyridinyl alcoholato ligands and decomposition points of the precatalysts were determined with a Büchi B-540 melting point apparatus.
Gas chromatography/MS (GC/MS) analyses of the 1-octene metathesis reactions were performed on an Agilent 6890 (Agilent Technologies, Santa Clara, CA, USA) gas chromatograph equipped with an Agilent 7683B autosampler, HP-5 capillary column and an Agilent 5973 mass selective detector (MSD). The same oven program was used with either a two-minute solvent delay or no solvent delay. Helium was used as carrier gas with a 1.5-mL/min flow rate at 20 °C. The following general GC settings were used: column: HP-5, 30.0 m × 320 μm × 0.25 μm; split ratio: 0.1:1; split flow: 0.1 mL/min; inlet: 250 °C, 16.6 kPa; injection volume: 0.2 μL; detector: 50–550 Dalton mass range; scan speed of 2.94 s per decade; oven programming: 60 °C (hold time 2 min); 60 to 110 °C at 25 °C/min; 110 °C (hold time 10 min); 110 to 290 °C at 25 °C/min (hold time 16 min).
3.2. Materials and Reagents
2-Bromopyridine (99%), nBuLi (2.5 M in hexane), benzophenone (99%), 2-chlorobenzophenone (99%), 4-chlorobenzophenone (99%), 4-methoxybenzophenone (99%), Grubbs first generation (97%) and Grubbs second-generation (97%) catalysts were purchased from Sigma Aldrich (Sigma-Aldrich® South Africa, Johannesburg, South Africa). Diethyl ether and THF were dried over Na in the presence of benzophenone, and pentane is distilled in CaH2 in inert atmosphere before using as a solvent. A gastight Hamilton syringe (Hamilton, Bonaduz, GR, Switzerland) was used to add air-sensitive reagents and dried solvents to the reaction vessel. The Acrodisc Premium 25-mm syringe filter with GxF/0.45 µm GHP (GH Polypro) membrane (PALL Corporation, Port Washington, NY, USA) was used to filter the lithium salt from the precatalyst.
3.3. Synthesis Methods
3.3.1. General Procedure for the Synthesis of Ligands 5–8
Diethyl ether (50 mL) was added to a three-neck round-bottom flask (200 mL) in argon and cooled to −78 °C. To this, nBuLi (50 mmol, 2.5 M in hexane) was added slowly, which then was followed by the drop-wise addition of 2-bromopyridine (47.5 mmol, in 12.5 mL diethyl ether) at −78 °C, and the mixture was stirred for 15 min, resulting in a dark-red solution. The reaction temperature was raised to −20 °C, and mono ortho- and/or para-chloro and/or para-methoxy substituted benzophenone/benzophenone (52.5 mmol, in 20 mL diethyl ether) was added slowly to the reaction mixture and the mixture stirred for 2 h. The temperature was raised to room temperature, and the reaction mixture was hydrolysed carefully. The organic phase was separated from the aqueous phase and then extracted with 2 M HCl (5 × 10 mL). The aqueous phase was neutralized with a 2 M NaOH solution and extracted with diethyl ether. The organic phases were combined, dried with MgSO4, and the solvent was slowly evaporated to obtain a white crystalline solid product.
1,1-diphenyl-1-(2′-pyridinyl)-methanol, 5: Yield 5.96 g, 48%, white crystalline solid, m.p. (melting point): 105 °C, 1H NMR (CDCl3, 600 MHz, CDCl3); δH = 8.59 (d, J = 4.9 Hz, 1H, H-6 of C6H4N), 7.62 (td, J1 = 7.7 Hz, J2 = 1.8 Hz, 1H, H-4 of C6H4N), 7.45–7.19 (m, 11H, H-5 of C5H4N & 10H of 2Ph), 7.12 (d, J = 7.9 Hz, 1H, H-3 of C6H4N), 6.30 (s, 1H, OH); 13C NMR (CDCl3, 150 MHz): δC = 163.2 (qC, C-2 C6H4N), 147.7 (CH, C-6 C6H4N), 146.1 (2qC, C-1 Ph), 136.4 (CH, C-4 C6H4N), 128.1 (4CH, C-3 & C-5 Ph), 127.3 (4CH, C-2 & C-6 Ph), 122.9 (2CH, C-4 Ph & C-3 C6H4N), 122.3 (CH, C-5 C6H4N), 80.8 (C–OH); M+ (APCI, m/z): calculated 261.1153 (C18H15NO), found 262.1191 (C18H16NO), 261.1117 (C18H15NO), 260.1045 (C18H14NO), 244.1121 (C18H14N). IR (neat): v(OH) = 3342 cm−1, v(C–H, aromatic) = 3075 cm−1, 3018 cm−1, 756 cm−1, v(C=C & N=C, aromatic) = 1591 cm−1, 1571 cm−1, v(C–O, aliphatic) = 1168 cm−1, 1126 cm−1.
1-(2′-chlorophenyl),1-phenyl-1-(2′-pyridinyl)-methanol, 6: Yield 9.81 g, 89%, white crystalline solid, m.p.: 122 °C, 1H NMR (CDCl3, 600 MHz, CDCl3); δH = 8.54 (d, 1H, J = 4.64 Hz, H-6 of C6H4N), 7.60 (dt, 1H, J = 7.73, 1.69 Hz, H-4 of C6H4N), 7.12 (d, 1H, J = 7.87 Hz, H-3 of C6H4N), 7.04 (t, 1H, J = 7.67 Hz, H-4 of substituted Ph), 6.76 (t, 1H, J = 7.87 Hz, H-3 of substituted Ph), 7.15–7.36 (m, 8H, H-5 of C6H4N and Ph); 13C NMR (CDCl3, 150 MHz): δC = 162.5 (q C-2 C6H4N), 147.8 (CH, C-6 C6H4N), 136.5 (CH, C-4 C6H4N), 122.6 (CH, C-3 C6H4N), 122.3 (CH, C-5 C6H4N), 144.5 (qC, C-1 substituted Ph), 134.7 (qC, C-2 substituted Ph), 131.7 (CH, C-2 substituted Ph), 130.9 (CH, C-3 substituted Ph), 127.2 (CH, C-3 substituted Ph), 127.5 (CH, C-4 substituted Ph), 142.7 (qC, Ph), 128.0 (2CH, C-2 Ph), 129.1 (2CH, C-3 Ph), 125.9 (CH, C-4 Ph), 81.0 (qC, COH); M+ (APCI, m/z): calculated 295.0763 (C18H14ClNO), found 295.0757 (C18H14ClNO), 296.0826 (C18H15ClNO), 278.0739 (C18H13ClN); IR (neat): v(OH) = 3347 cm−1, v(C–H, aromatic) = 3059 cm−1, 3005 cm−1, 753 cm−1, v(C=C & N=C, aromatic) = 1590 cm−1, 1568 cm−1, v(C–O, aliphatic) = 1169 cm−1, 1138cm−1.
1-(4′-chlorophenyl),1-phenyl-1-(2′-pyridinyl)-methanol, 7: Yield 11.23 g, 80%, white crystalline solid, m.p.: 110 °C, 1H NMR (CDCl3, 600 MHz, CDCl3); δH = 8.58 (d, 1H, J = 4.56 Hz, H-6 of C6H4N), 7.64 (dt, 1H, J = 8.02, 1.64 Hz, H-4 of C6H4N), 7.07 (d, 1H, J = 8.97 Hz, H-3 of C6H4N), 7.21–7.31 (m, 10H, H-5 of C6H4N & 2Ph), 6.27 (s, 1H, OH); 13C NMR (CDCl3, 150 MHz): δC = 162.6 (qC, C-2 C6H4N), 147.8 (CH, C-6 C6H4N), 136.5 (CH, C-4 C6H4N), 122.7 (CH, C-3 C6H4N), 122.5 (CH, C-5 C6H4N), 145.6 (qC, C-1 substituted Ph), 131.3 (qC, C-4 substituted Ph), 129.5 (2CH, C-2 substituted Ph), 128.0 (6CH, C-3 substituted Ph, C-2 & C-3 Ph), 144.7 (qC, C-1 of Ph), 127.5 (CH, C-4 Ph), 80.4 (qC, COH); M+ (APCI, m/z): calculated 295.0763 (C18H14ClNO), found 295.0745 (C18H14ClNO), 296.0800 (C18H15ClNO), 294.0674 (C18H13ClNO), 278.0727 (C18H13ClN); IR (neat): v(OH) = 3373 cm−1, v(C–H, aromatic) = 3072 cm−1, 3021 cm−1, 816 cm−1, v(C=C & N=C, aromatic) = 1589 cm−1, 1570 cm−1, v(C–O, aliphatic) = 1169 cm−1, 1093 cm−1.
1-(4′-methoxyphenyl),1-phenyl-1-(2′-pyridinyl)-methanol, 8: Yield 9.5 g, 70%, white crystalline solid, m.p.: 121.6 °C, 1H NMR (CDCl3, 600 MHz, CDCl3); δH = 8.57 (d, 1H, J = 4.85 Hz, 6-H of C6H4N), 7.62 (dt, 1H, J = 7.81, 1.58 Hz, H-4 of C6H4N), 7.08 (d, 1H, J = 7.19 Hz, H-3 of C6H4N), 7.17 (d, 2H, J = 8.87 Hz, H-2 & H-6 of substituted Ph), 6.81 (d, 2H, J = 8.65 Hz, H-3 & H-5 of substituted Ph), 7.19–7.28 (m, 6H, H-5 of C6H4N & Ph), 6.21 (s, 1H, OH), 3.77 (s, 3H, OCH3); 13C NMR (CDCl3, 150 MHz): δC = 158.7 (qC, C-2 C6H4N), 147.6 (CH, C-6 C6H4N), 138.3 (CH, C-4 C6H4N), 122.7 (CH, C-3 C6H4N), 122.2 (CH, C-5 C6H4N), 163.4 (qC, C-4 substituted Ph), 136.3 (qC, C-1 substituted Ph), 129.3 (2CH, C-2 substituted Ph), 113.2 (2CH, C-3 substituted Ph), 146.2 (qC, C-1 Ph), 128.0 (2CH, C-3 Ph), 127.8 (2CH, C-2 Ph), 127.2 (CH, C-4 Ph), 88.1 (qC, COH), 55.2 (OCH3); M+ (APCI, m/z): calculated 291.1259 (C19H17NO2), found 291.1219 (C19H17NO2), 274.1223 (C19H16NO), 184.0735 (C13H12O); IR (neat): v(OH) = 3403 cm−1, v(C–H, aromatic) = 3059 cm−1, 3014 cm−1, 842 cm−1, v(C–H, aliphatic) = 2962 cm−1, 2930 cm−1, 2905 cm−1, 2833 cm−1, v(C=C & N=C, aromatic) 1614 cm−1, 1587 cm−1, 1569 cm−1, 1510 cm−1, v(C–O, aliphatic) = 1167 cm−1, 1027 cm−1, v(C–O, phenol) = 1248 cm−1.
3.3.2. General Procedure for the Synthesis of the Lithium Salts 9–12
To the pyridinyl alcohol (2 mmol) in a Schlenk tube under argon atmosphere was added THF (20 mL). The alcohol was made to dissolve; nBuLi (2 mmol, 2.5 M in hexane) was added drop-wise, and the reaction mixture was stirred for 2 h, at room temperature. The solvent was removed under reduced pressure, and the white solid residue obtained was washed with pentane (5 mL × 2). The pentane was removed by gastight syringe, and the white solid was made to dry under reduced pressure. The white powder lithium salt was kept under inert atmosphere in a fridge for the next reaction.
3.3.3. General Procedure for the Synthesis of Complexes 4 and 13–15
The lithium salt of pyridin-2-yl-methanol (0.6 mmol, in 5 mL THF) was added to a Schlenk tube containing Grubbs second generation catalyst (0.6 mmol, in 5–10 mL THF) under inert atmosphere. The reaction mixture was stirred for 2–53 h at room temperature to 40 °C, depending on the reaction rate. Progress of the reaction was followed by TLC (thin layer chromatography) (6:1 hexane:ethyl acetate) until all of the Grubbs catalyst was consumed. The THF was removed from the resulting dark-green Grubbs 2-type precatalysts under reduced pressure in an inert condition. Toluene (7 mL) was added to the tarry black residue in the Schlenk tube, and all of the contents of the Schlenk tube were collected by gastight syringe and filtered into another Schlenk tube using a syringe filter, in an inert condition. Toluene was removed under reduced pressure; THF (1 mL) and pentane (5–10 mL) were added to the tarry black residue in the Schlenk tube, and the mixture was left for 20–30 min to form a precipitate. The pentane was removed by gastight syringe, and the product was washed with pentane (5 mL) using an ultrasonic bath for 5 min once and then four times without the ultrasonic bath. The washed pentane was removed by a gastight syringe, and the final product was dried under reduced pressure in an inert condition.
Benzylidene-chloro(1,3-bis-(2,4,6-trimethyl phenyl)-2-imidazolidinylidene)-[1-(2′-pyridinyl)-1,1-diphenyl-methanolato]ruthenium, 4: Yield 0.458 g, 98%, green powder, dec.p. (decomposition point): 114 °C, 1H NMR (CDCl3, 600 MHz, CDCl3): δH = 17.10 (s, 1H, carbene), 9.61 (d, 1H, J = 5.48 Hz, H-6 of C5H4N), 7.62 (t, 1H, J = 7.58 Hz, H-4 of C5H4N), 7.31–7.19 (m, 11H, H-3 of C5H4N & all H’s of 2Ph), 7.17–7.06 (m, 6H, all H’s of carbene Ph & H-5 of C5H4N), 6.64 (s, 4H, H-3 of mesityl), 3.99 (m, 4H, H of N(CH2)2N), 2.61/2.27/2.19 (3s, 18H, 6CH3 of mesityl); 31P NMR (CDCl3, 242 MHz): no signal; M+ (MALDI, m/z): calculated 793.2372 (C46H46ClN3ORu), found 793.2362 (C46H46ClN3ORu). IR (neat): v(C–H, aromatic) = 3055 cm−1, 3019 cm−1, 760 cm−1, v(CH3) = 2921 cm−1, 2849 cm−1, 1379 cm−1, v(C=N, & C=C, aromatic) = 1592 cm−1, 1568 cm−1, v(C–N) = 1262 cm−1, v(C–O, aliphatic) = 1165 cm−1, 1024 cm−1; 13C NMR (CDCl3, 150 MHz): δC = 291.70, 214.44, 171.21, 151.55, 149.88, 149.75, 143.58, 139.21, 137.32, 136.62, 133.94, 129.63, 128.84, 128.39, 127.89, 126.97, 126.84, 126.58, 126.29, 126.11, 122.39, 120.94, 93.94, 51.33, 20.95, 19.07, 18.89.
Benzylidene-chloro(1,3-bis-(2,4,6-trimethylphenyl)-2-imidazolidinylidene)-[1-(2′-pyridinyl)-1-(2′-chlorophenyl),1-phenyl-methanolato]ruthenium, 13: Yield 0.33 g, 66%, light green powder, dec.p.: 210 °C, 1H NMR (CDCl3, 600 MHz, CDCl3): δH = 17.34/17.26 (2s, 1H, carbene H), 9.76 (d, 1H, J = 5.47 Hz, H-6 of C5H4N), 7.65 (t, 1H, J = 7.37 Hz, H-4 of C5H4N), 7.36–7.40 (m, 4H, H of carbene Ph), 7.32 (t, 2H, J = 7.89 Hz, H-4 of carbene Ph & 5-H of C5H4N), 7.27 (d, 1H, J = 7.89 Hz, 3-H of C5H4N), 7.19–7.25 (m, 6H, H of unsubstituted Ph & 6-H of substituted Ph), 7.09 (m, 3H, 3-, 4- & 5-H of substituted Ph), 6.79–6.88 (2d, 4H, J = 7.88 Hz, H-3 of mesityl), 3.96 (m, 4H, N(CH2)2N), 2.65/2.52/2.21/2.14 (4s, 18H, 6CH3); 31P NMR (CDCl3, 242 MHz): no signal; M+ (MALDI, m/z): calculated 827.1983 (C46H45Cl2N3ORu), found 827.1972 (C46H45Cl2N3ORu); IR (neat): v(=C–H, aromatic) = 3057 cm−1, 3020 cm−1, 756 cm−1, v(CH3) = 2918 cm−1, 2853 cm−1, v(C=N & C=C, aromatic) = 1627 cm−1, 1591 cm−1, 1568 cm−1, v(C–N, aliphatic) = 1263 cm−1, v(C–O, aliphatic) = 1162 cm−1, 1026 cm−1; 13C NMR (CDCl3, 150 MHz): δC = 292.70, 214.17, 171.86, 150.01, 149.84, 148.01, 138.87, 137.53, 136.71, 134.30, 131.05, 130.69, 129.45, 129.42, 128.96, 128.58, 127.31, 127.27, 126.95, 126.90, 126.43, 126.27, 125.16, 123.31, 121.16, 94.31, 51.51, 20.94, 18.93, 18.80.
Benzylidene-chloro(1,3-bis-(2,4,6-trimethylphenyl)-2-imidazolidinylidene)-[1-(2′-pyridinyl)-1-(4′-chlorophenyl),1-phenyl-methanolato]ruthenium, 14: Yield 0.46 g, 94%, light green powder, dec.p.: 88 °C, 1H NMR (CDCl3, 600 MHz, CDCl3): δH = 17.11/17.09 (2s, 1H, carbene H), 9.55–9.70 (2d, 1H, J = 5.32 Hz, 6-H of C5H4N), 7.63 (t, 1H, J = 7.56 Hz, 4-H of C5H4N), 7.20–7.30 (m, 11H, 3-H of C5H4N, 2Ph), 7.15 (t, 2H, J = 7.28 Hz, meta-H of para-ClPh), 7.09 (t, 1H, J = 7.56 Hz, 5-H of C5H4N), 7.02 (d, 2H, J = 8.12 Hz, ortho-H of para-ClPh), 6.97/6.75 (2d, 4H, J = 8.12 Hz, mesityl H), 3.98 (m, 4H, N(CH2)2N), 2.60/2.28–2.19 (3s, 18H, 6CH3); 31P NMR (CDCl3, 242 MHz): no signal; M+ (ESI, m/z): calculated 827.1983 (C46H45Cl2N3ORu), found 827.1978 (C46H45Cl2N3ORu); IR (neat): IR: v(=C–H, aromatic) = 3055 cm−1, 3019 cm−1, 817 cm−1, v(CH3) = 2920 cm−1, 2848 cm−1, v(C=N & C=C, aromatic) = 1589–1444 cm−1, v(C–N, aliphatic) = 1260 cm−1, v(C–O, aliphatic) = 1164 cm−1, 1090 cm−1; 13C NMR (CDCl3, 150 MHz): δC = 292.35, 214.20, 170.84, 151.41, 149.19, 143.26, 139.15, 137.52, 137.37, 129.80, 129.67, 129.25, 128.93, 128.31, 126.97, 126.92, 126.78, 126.60, 126.52, 126.32, 122.27, 121.14, 92.72, 51.31, 20.95, 19.09, 18.85.
Benzylidene-chloro(1,3-bis-(2,4,6-trimethylphenyl)-2-imidazolidinylidene)-[1-(2′-pyridinyl)-1-(4′-methoxyphenyl),1-phenyl-methanolato]ruthenium, 15: Yield 0.46 g, 95.8%, dark green powder, dec.p.: 73.5 °C, 1H NMR (CDCl3, 600 MHz, CDCl3): δH = 17.10/17.08 (2s, 1H, carbene-H), 9.63–9.60 (2d, 1H, J = 5.74 Hz, H-6 of C5H4N), 7.61 (t, 1H, J = 7.74 Hz, H-4 of C5H4N), 7.11–7.28 (m, 12H, 3-, 5-H of C5H4N, & all H of 2Ph), 7.08 (d, 2H, J = 8.16 Hz, H-2 & H-6 of substituted Ph), 6.94 (m, 2H, H-3 & H-5 of substituted Ph), 6.73–6.81 (2d, 4H, J = 8.55 Hz, mesityl-H), 4.01 (m, 4H, N(CH2)2N), 3.77 (s, 3H, OCH3), 2.62/2.28/2.20 (3s, 18H, 6CH3 of mesityl); 31P NMR (CDCl3, 242 MHz): no signal; M+ (ESI, m/z): calculated 823.2478 (C47H48ClN3O2Ru), found 823.2407 (C47H48ClN3O2Ru); IR (neat): v(=C-H, aromatic) = 3055 cm−1, 3017 cm−1, 828 cm−1, v(CH3) = 2927 cm−1, 2851 cm−1, v(C=N & C=C, aromatic) = 1606 cm−1, 1590 cm−1, 1507 cm−1, v(C–N, aliphatic) = 1245 cm−1, v(C–O, aliphatic) = 1164 cm−1, 1029 cm−1, v(C–O, phenol) = 1297 cm−1; 13C NMR (CDCl3, 150 MHz): δC = 291.16, 214.47, 171.48, 151.50, 149.87, 139.23, 137.20, 136.63, 135.74, 133.92, 129.65, 128.85, 128.44, 126.94, 126.83, 126.59, 126.37, 126.28, 126.24, 120.88, 112.30, 92.77, 55.23, 51.32, 20.95, 19.09, 18.90.
3.4. Catalytic Reactions
A small-scale reactor (5 mL) was used for the 1-octene metathesis reactions. To this reactor, flushed with argon, the precatalysts and 1-octene were added in a 1:9000 molar ratio. Nonane (0.25 mL) was added as the internal standard; tert-BuOOH (2 drops) and toluene (0.3 mL) were added to quench the reaction and to increase the volume of the sample for GC analysis. Samples (0.05 mL) were collected at predetermined time intervals, and the progress of the reaction was monitored using an Agilent 6890 GC/FID (Gas Chromatograph equipped with a Flame Ionization Detector) (Agilent Technologies, Santa Clara, CA, USA).
3.5. Computational Details
All structures were optimized using the gradient corrected Perdew-Burke-Ernzerhof (PBE) [37] functional according to a previous work done by Minenkov et al. [38], Jacobsen [39] and Du Toit et al. [35]. Optimizations were run in DMol3, a DFT module of Accelrys Materials Studio 6.1 [33]. The double numerical basis set with a polarization p-function on the hydrogen atoms (DNP) was used for all complexes. Steric interaction between any atom/group of atoms in the complexes was calculated using Solid Angle [34]. The energy calculations were done based on previous work [35,40,41] also using the gradient corrected PBE [37] functional with the empirical D3 version of Grimme’s dispersion with Becke–Johnson damping (PBE-D3(BJ)) [42]. For Ru, the Stuttgart 28-electron relativistic effective core potential (ECP28MDF) with accompanying correlation consistent polarized valence quadruple zeta (cc-pVQZ-PP) basis set was used [43]. Furthermore, for the C and H atoms, the correlation consistent polarized valence quadruple zeta (cc-pVQZ) [44,45] basis set was chosen; whereas, for the rest of the atoms, an extended cc-pVQZ basis set obtained by adding diffuse functions from the augmented cc-pVQZ diffuse (aug-cc-pVQZ diffuse) [45,46] basis set was used. All basis sets were obtained from the Environmental Molecular Sciences Laboratory (EMSL) basis set exchange website [47,48]. The solvent effect was calculated with the polarizable continuum solvation model (PCM) [49,50,51,52]. Electrostatic and non-electrostatic effects were calculated by including the “Dis”, “Rep” and “Cav” Gaussian keywords with chlorobenzene as the solvent. For the solute cavity, the atomic radii was set to UAHF (united atom topological model for the Hartree–Fock level of theory). All properties were obtained from the Gaussian output files using the pop = NBOread keyword.
5. Conclusions
Four pyridinyl alcohols and four ruthenium-based precatalysts were successfully synthesized. The pyridinyl alcohol 1-(2′-pyridinyl)-1-(4-methoxyphenyl)-1-phenyl-methanol, the two chloro-substituted and the methoxy-substituted pyridinyl alcoholato ruthenium precatalysts were also synthesized for the first time. The very good performance of the 4-chloro- and 4-methoxy-substituted pyridinyl alcoholato ligand containing ruthenium precatalysts, at high temperatures, makes them very good precatalysts for high temperature linear olefin metathesis reactions. The significant increase in the catalytic performance of the newly-synthesized ruthenium precatalysts, at high temperatures, is attributed to the steric repulsions between the substituents and the sterically bulky NHC group that resulted in strengthening the Ru-N bond.
Acknowledgments
We are grateful to North-West University (NWU), the South African Department of Science and Technology-National Research Foundation’s (DST-NRF) Centre of Excellence in Catalysis (c*change ) for the financial support and Andre Joubert (NWU) for the acquisition of the NMR spectra.
Author Contributions
H.C.M.V., T.T.T. and J.H.L.J. conceived of and designed the experiments. T.T.T. performed the experiments. H.C.M.V., T.T.T. and J.H.L.J. analyzed the experimental data. J.I.d.T. and C.G.C.E.v.S. performed the modelling and analyzed the modelling data. H.C.M.V. contributed reagents/materials/analysis tools. T.T.T. wrote the paper.
Conflicts of Interest
The authors declare no conflict of interest. The founding sponsors had no role in the design of the study; in the collection, analyses or interpretation of data; in the writing of the manuscript; nor in the decision to publish the results.
References
- Dias, E.L.; Nguyen, S.T.; Grubbs, R. Well-defined ruthenium olefin metathesis catalysts: Mechanism and activity. J. Am. Chem. Soc. 1997, 119, 3887–3897. [Google Scholar] [CrossRef]
- Dinger, M.B.; Mol, J.C. High turnover numbers with ruthenium-based metathesis catalysts. Adv. Synth. Catal. 2002, 344, 671–677. [Google Scholar] [CrossRef]
- Van Schalkwyk, C.; Vosloo, H.C.M.; du Plessis, J.A.K. A comparison of the activity of homogeneous tungsten and ruthenium catalysts for the metathesis of 1-octene. Adv. Synth. Catal. 2002, 344, 781–788. [Google Scholar] [CrossRef]
- Grubbs, R.H. The development of functional group tolerant romp catalysts. J. Macromol. Sci. Part A 1994, 31, 1829–1933. [Google Scholar] [CrossRef]
- Huang, J.; Schanz, H.-J.; Stevens, E.D.; Nolan, S.P. Influence of sterically demanding carbene ligation on catalytic behavior and thermal stability of ruthenium olefin metathesis catalysts. Organometallics 1999, 18, 5375–5380. [Google Scholar] [CrossRef]
- Weskamp, T.; Kohl, F.J.; Hieringer, W.; Gleich, D.; Herrmann, W.A. Highly active ruthenium catalysts for olefin metathesis: The synergy of n-heterocyclic carbenes and coordinatively labile ligands. Angew. Chem. Int. Ed. 1999, 38, 2416–2419. [Google Scholar] [CrossRef]
- Scholl, M.; Trnka, T.M.; Morgan, J.P.; Grubbs, R.H. Increased ring closing metathesis activity of ruthenium-based olefin metathesis catalysts coordinated with imidazolin-2-ylidene ligands. Tetrahedron Lett. 1999, 40, 2247–2250. [Google Scholar] [CrossRef]
- Lehman, S.E.; Schwendeman, J.E.; O’Donnell, P.M.; Wagener, K.B. Olefin isomerization promoted by olefin metathesis catalysts. Inorg. Chim. Acta 2003, 345, 190–198. [Google Scholar] [CrossRef]
- Maechling, S.; Zaja, M.; Blechert, S. Unexpected results of a turnover number (TON) study utilising ruthenium-based olefin metathesis catalysts. Adv. Synth. Catal. 2005, 347, 1413–1422. [Google Scholar] [CrossRef]
- Meyer, W.H.; Brüll, R.; Raubenheimer, H.G.; Thompson, C.; Kruger, G.J. Thioethercarboxylates in palladium chemistry: First proof of hemilabile properties of S–O ligands. J. Organomet. Chem. 1998, 553, 83–90. [Google Scholar] [CrossRef]
- Denk, K.; Fridgen, J.; Herrmann, W.A. N-heterocyclic carbenes, Part 33. Combining stable NHC and chelating pyridinyl-alcoholato ligands: A ruthenium catalyst for applications at elevated temperatures. Adv. Synth. Catal. 2002, 344, 666–670. [Google Scholar] [CrossRef]
- Francis, J.A.; Bott, S.G.; Barron, A.R. Aluminium compounds containing bidentate ligands: Chelate ring size and rigid conformation effects. J. Chem. Soc. Dalton Trans. 1998, 3305–3310. [Google Scholar] [CrossRef]
- Slugovc, C.; Burtscher, D.; Stelzer, F.; Mereiter, K. Thermally switchable olefin metathesis initiators bearing chelating carbenes: Influence of the chelate’s ring size. Organometallics 2005, 24, 2255–2258. [Google Scholar] [CrossRef]
- van der Schaaf, P.A.; Kolly, R.; Kirner, H.-J.; Rime, F.; Mühlebach, A.; Hafner, A. Synthesis and reactivity of novel ruthenium carbene catalysts. X-ray structures of [RuCl2(CHSC6H5)(PiPr3)2] and [RuCl2(CHCH2 CH2-C,N-2-C5H4N)(PiPr3)]. J. Organomet. Chem. 2000, 606, 65–74. [Google Scholar] [CrossRef]
- Kingsbury, J.S.; Harrity, J.P.; Bonitatebus, P.J.; Hoveyda, A.H. A recyclable Ru-based metathesis catalyst. J. Am. Chem. Soc. 1999, 121, 791–799. [Google Scholar] [CrossRef]
- Garber, S.B.; Kingsbury, J.S.; Gray, B.L.; Hoveyda, A.H. Efficient and recyclable monomeric and dendritic Ru-based metathesis catalysts. J. Am. Chem. Soc. 2000, 122, 8168–8179. [Google Scholar] [CrossRef]
- Gessler, S.; Randl, S.; Blechert, S. Synthesis and metathesis reactions of a phosphine-free dihydroimidazole carbene ruthenium complex. Tetrahedron Lett. 2000, 41, 9973–9976. [Google Scholar] [CrossRef]
- Hoveyda, A.H.; Gillingham, D.G.; Van Veldhuizen, J.J.; Kataoka, O.; Garber, S.B.; Kingsbury, J.S.; Harrity, J.P. Ru complexes bearing bidentate carbenes: From innocent curiosity to uniquely effective catalysts for olefin metathesis. Organ. Biomol. Chem. 2004, 2, 8–23. [Google Scholar] [CrossRef] [PubMed]
- Chang, S.; Jones, L.; Wang, C.; Henling, L.M.; Grubbs, R.H. Synthesis and characterization of new ruthenium-based olefin metathesis catalysts coordinated with bidentate schiff-base ligands. Organometallics 1998, 17, 3460–3465. [Google Scholar] [CrossRef]
- De Clercq, B.; Verpoort, F. Activity of a new class of ruthenium based ring-closing metathesis and ring-opening metathesis polymerization catalysts coordinated with a 1, 3-dimesityl-4, 5-dihydroimidazol-2-ylidene and a schiff base ligand. Tetrahedron Lett. 2002, 43, 9101–9104. [Google Scholar] [CrossRef]
- De Clercq, B.; Verpoort, F. A new class of ruthenium complexes containing Schiff base ligands as promising catalysts for atom transfer radical polymerization and ring opening metathesis polymerization. J. Mol. Catal. A: Chem. 2002, 180, 67–76. [Google Scholar] [CrossRef]
- Van Der Schaaf, P.A.; Mühlebach, A.; Hafner, A.; Kolly, R. Heterocyclyl Ligand Containing Ruthenium and Osmium Catalysts. WO Patent 1999029701 A1, 24 November 1998. [Google Scholar]
- Jordaan, M. Experimental and Theoretical Investigation of New Grubbs-Type Catalysts for the Metathesis of Alkenes. Ph.D. Thesis, North-West University, Potchefstroom, South Africa, 2007. [Google Scholar]
- Du Toit, J.I.; Jordaan, M.; Huijsmans, C.A.A.; Jordaan, J.H.L.; van Sittert, C.G.C.E.; Vosloo, H.C.M. Improved metathesis lifetime: Chelating pyridinyl-alcoholato ligands in the second generation Grubbs precatalyst. Molecules 2014, 19, 5522–5537. [Google Scholar] [CrossRef] [PubMed]
- De Klerk, A. Sasol 2 and 3 facilities. In Fischer-Tropsch Refining; Wiley-VCH: Weinheim, Germany, 2011; pp. 181–212. [Google Scholar]
- Tole, T.T.; Jordaan, J.H.L.; Vosloo, H.C.M. Synthetic methods of α-pyridinyl and α-bipyridinyl alcohols and α,α′-pyridine and α,α′-bipyridine diols. Curr. Organ. Synth. 2015, 12, 261–304. [Google Scholar] [CrossRef]
- Herrmann, W.A.; Lobmaier, G.M.; Priermeier, T.; Mattner, M.R.; Scharbert, B. New dioxomolybdenum (VI) catalysts for the selective oxidation of terminal n-alkenes with molecular oxygen. J. Mol. Catal. A: Chem. 1997, 117, 455–469. [Google Scholar] [CrossRef]
- Sperber, N.; Papa, D.; Schwenk, E.; Sherlock, M. Pyridyl-substituted alkamine ethers as antihistaminic agents. J. Am. Chem. Soc. 1949, 71, 887–890. [Google Scholar] [CrossRef] [PubMed]
- McCarty, F.J.; Tilford, C.H.; Van Campen, M., Jr. Central stimulants. α,α-Disubstituted 2-piperidinemethanols and 1,1-disubstituted heptahydroöxazolo [3, 4-a] pyridines. J. Am. Chem. Soc. 1957, 79, 472–480. [Google Scholar] [CrossRef]
- Silverstein, R.M.; Webster, F.X.; Kiemle, D.; Bryce, D.L. Infrared spectroscopy. In Spectrometric Identification of Organic Compounds, 8th ed.; Wiley: Chichester, UK, 2015; pp. 71–125. [Google Scholar]
- Van der Gryp, P.; Barnard, A.; Cronje, J.-P.; de Vlieger, D.; Marx, S.; Vosloo, H.C.M. Separation of different metathesis grubbs-type catalysts using organic solvent nanofiltration. J. Membr. Sci. 2010, 353, 70–77. [Google Scholar] [CrossRef]
- Ritter, T.; Hejl, A.; Wenzel, A.G.; Funk, T.W.; Grubbs, R.H. A standard system of characterization for olefin metathesis catalysts. Organometallics 2006, 25, 5740–5745. [Google Scholar] [CrossRef]
- Accelrys Software Inc. Materials Studio Release Notes, Release 6.1, Accelrys Software Inc.: San Diego, CA, USA, 2012.
- Guzei, I.A.; Wendt, M. An improved method for the computation of ligand steric effects based on solid angles. Dalton Trans. 2006, 3991–3999. [Google Scholar] [CrossRef] [PubMed]
- Du Toit, J.I.; van Sittert, C.G.C.E.; Vosloo, H.C.M. Towards a better understanding of alkene metathesis: Elucidating the properties of the major metal carbene catalyst types. Monatshefte Chem.-Chem. Mon. 2015, 146, 1115–1129. [Google Scholar] [CrossRef]
- Wiberg, K.B. Application of the Pople-Santry-Segal CNDO method to the cyclopropylcarbinyl and cyclobutyl cation and to bicyclobutane. Tetrahedron 1968, 24, 1083–1096. [Google Scholar] [CrossRef]
- Perdew, J.P.; Burke, K.; Ernzerhof, M. Generalized gradient approximation made simple. Phys. Rev. Lett. 1996, 77, 3865–3868. [Google Scholar] [CrossRef] [PubMed]
- Minenkov, Y.; Singstad, A.; Occhipinti, G.; Jensen, V.R. The accuracy of DFT-optimized geometries of functional transition metal compounds: A validation study of catalysts for olefin metathesis and other reactions in the homogeneous phase. Dalton Trans. 2012, 41, 5526–5541. [Google Scholar] [CrossRef] [PubMed]
- Jacobsen, H. Hydrogen and dihydrogen bonding of transition metal hydrides. Chem. Phys. 2008, 345, 95–102. [Google Scholar] [CrossRef]
- Minenkov, Y.; Occhipinti, G.; Jensen, V.R. Complete reaction pathway of ruthenium-catalyzed olefin metathesis of ethyl vinyl ether: Kinetics and mechanistic insight from DFT. Organometallics 2013, 32, 2099–2111. [Google Scholar] [CrossRef]
- Occhipinti, G.; Koudriavtsev, V.; Törnroos, K.W.; Jensen, V.R. Theory-assisted development of a robust and z-selective olefin metathesis catalyst. Dalton Trans. 2014, 43, 11106–11117. [Google Scholar] [CrossRef] [PubMed]
- Grimme, S.; Ehrlich, S.; Goerigk, L. Effect of the damping function in dispersion corrected density functional theory. J. Comput. Chem. 2011, 32, 1456–1465. [Google Scholar] [CrossRef] [PubMed]
- Peterson, K.A.; Figgen, D.; Dolg, M.; Stoll, H. Energy-consistent relativistic pseudopotentials and correlation consistent basis sets for the 4d elements Y–Pd. J. Chem. Phys. 2007, 126, 124101. [Google Scholar] [CrossRef] [PubMed]
- Dunning, T.H. Gaussian basis sets for use in correlated molecular calculations. I. The atoms boron through neon and hydrogen. J. Chem. Phys. 1989, 90, 1007–1023. [Google Scholar] [CrossRef]
- Woon, D.E.; Dunning, T.H. Gaussian basis sets for use in correlated molecular calculations. III. The atoms aluminum through argon. J. Chem. Phys. 1993, 98, 1358–1371. [Google Scholar] [CrossRef]
- Kendall, R.A.; Dunning, T.H.; Harrison, R.J. Electron affinities of the first-row atoms revisited. Systematic basis sets and wave functions. J. Chem. Phys. 1992, 96, 6796–6806. [Google Scholar] [CrossRef]
- Feller, D. The role of databases in support of computational chemistry calculations. J. Comput. Chem. 1996, 17, 1571–1586. [Google Scholar] [CrossRef]
- EMSL Basis Set Exchange v1.2.2. Available online: https://bse.pnl.gov/bse/portal (accessed on 4 July 2016).
- Tomasi, J.; Persico, M. Molecular interactions in solution: An overview of methods based on continuous distributions of the solvent. Chem. Rev. 1994, 94, 2027–2094. [Google Scholar] [CrossRef]
- Tomasi, J.; Mennucci, B.; Cammi, R. Quantum mechanical continuum solvation models. Chem. Rev. 2005, 105, 2999–3094. [Google Scholar] [CrossRef] [PubMed]
- Cossi, M.; Scalmani, G.; Rega, N.; Barone, V. New developments in the polarizable continuum model for quantum mechanical and classical calculations on molecules in solution. J. Chem. Phys. 2002, 117, 43–54. [Google Scholar] [CrossRef]
- Scalmani, G.; Frisch, M.J. Continuous surface charge polarizable continuum models of solvation. I. General formalism. J. Chem. Phys. 2010, 132, 114110–114115. [Google Scholar] [CrossRef] [PubMed]
© 2017 by the authors; licensee MDPI, Basel, Switzerland. This article is an open access article distributed under the terms and conditions of the Creative Commons Attribution (CC-BY) license (http://creativecommons.org/licenses/by/4.0/).












