Abstract
Dialkyl hexane-1,6-dicarbamate was synthesized, for the first time, by a one-pot reaction of 1,6-hexanediamine (HDA), urea, and alcohols, including methanol, ethanol, propanol, and butanol, in a self-designed batch reactor, using zinc-incorporated berlinite (ZnAlPO4) as a catalyst. The yield of dibutyl hexane-1,6-dicarbamate (2) was systematically investigated as a function of Zn/Al molar ratio, reaction temperature, reaction time, catalyst usage and urea/HDA/butanol molar ratio. Based on these studies, the optimized reaction conditions were as follows: molar ratio urea/HDA/butanol = 2.6:1:8.6, catalyst usage = 3.0 g, reaction temperature = 493 K, reaction time = 6 h and reaction pressure = 1.2 MPa; a yield of 2 of 89.7% was achieved over the ZnAlPO4 (molar ratio Zn/Al = 0.04) catalyst. The catalysts were characterized by X-ray photoelectric spectroscopy (XPS) and scanning electron microscope (SEM). Additionally, based on these experimental results, it was also proposed that the catalysis recycle of the one-pot synthesis of 2 from urea, HDA, and butanol over the ZnAlPO4 catalyst.
1. Introduction
Organic carbamates have wide application in the synthesis of fine and commodity chemicals [1,2], besides their usage as an amine protecting group in organic synthesis [1]. Currently, carbamates are commercially prepared by the reaction between alcohols and toxic isocyanates [3]. However, a number of drawbacks may occur in the route, including difficult handling of the toxic phosgene and the seriously corrosive side product HCl [2]. Several phosgene-free routes for organic carbamates synthesis have also been reported [4,5,6,7,8,9], among which the synthesis from amines, urea and alcohols by a one-pot reaction [9] has received considerable attention. This route appears to be promising because, on the one hand, ammonia is obtained as a main byproduct and, on the other hand, urea can be prepared on a large scale by the dehydration of ammonia and CO2 [10]. Thus, if the reaction from amines, urea, and alcohols is integrated with the dehydration of ammonia and CO2, a green process for the production of organic carbamates, with “zero emissions” can be achieved.
Dialkyl carbamates are of particular importance in industry because the corresponding diisocyanates can be obtained by their decomposition [11]. It has been reported in a few patents [12,13,14] that homogeneous catalysts, rather than heterogeneous catalysts, could significantly promote the one-pot synthesis of dialkyl carbamates from diamines, urea, and alcohols. As is well known, homogeneous catalysis systems, relative to heterogeneous ones, are always associated with drawbacks such as separation, recycling and loss of catalyst, as well as the contamination of product by the catalyst. These issues can be overcome easily if a homogeneous catalyst is replaced with a heterogeneous catalyst. However, to the best of our knowledge, thus far only a few heterogeneous catalysts such as TiO2-Cr2O3/SiO2 [15] and γ-Al2O3 [16] have been reported in the literature for the one-pot synthesis of dialkyl carbamates from diamines, urea, and alcohols.
In our previous work [17], it was reported that zinc-incorporated berlinite (ZnAlPO4) as a heterogeneous catalyst was highly active for the methoxycarbonylation of 1,6-hexanediamine (HDA) and dimethyl carbonate (DMC). This is due to a higher electron attracting ability for zinc ions in ZnAlPO4 compared with those in ZnO which occurs by the Zn(II) ions being incorporated into the berlinite framework and further resulting in oxygen vacancies in close vicinity to Zn(II) [17]. At the same time, it was reported that ZnO was an effective catalyst for the synthesis of DMC by catalytic methanolysis of urea, and the activity of ZnO was considered to be related to its electron-attracting ability, as revealed in the research of Bhanage et al. [18] and Wang et al. [19]. Therefore, compared with ZnO catalyst proposed in the patent of Merger et al. [20], ZnAlPO4 is expected to have higher activity and stability in the catalytic one-pot synthesis of carbamates from amines, urea, and alcohols.
Even though this is an interesting process route, the interrelated reports, especially for the one-pot synthesis of dialkyl carbamates over heterogeneous catalysts, are relatively scant. In this work, a batch operation was designed to carry out the catalytic studies of the effect of various reaction influencing factors, such as the Zn/Al molar ratio, the urea/amine/butanol molar ratio, reaction temperature, reaction time, and the amount of ZnAlPO4 catalyst, on the process. In addition, a possible mechanism for the one-pot synthesis of dialkyl carbamates from amines, urea, and alcohols over ZnAlPO4 was also proposed.
2. Results and Discussion
2.1. Catalyst Characterization
The atomic composition of the surface of ZnAlPO4 catalysts determined by the XPS measurement are summarized as follows: Zn:Al:P:O = 1.0:2.9:3.2:15.6 for ZnAlPO4 (0.04) berlinite; Zn:Al:P:O = 1.2:2.9:3.2:15.6 for ZnAlPO4 (0.05) catalyst, which are in good agreement with those obtained by both energy dispersive X-ray analysis (EDAX) and X-ray diffraction (XRD). The binding energy of the Zn2p3/2 and O1s peaks (Figure 1) for ZnAlPO4 (0.04) catalyst is, respectively, found to be 1022.3 eV and 532.2 eV, higher than that for ZnO (1021.8 ± 0.3 eV for the Zn2p3/2 and 530.0 eV for O1s [21]). This indicates that Zn(II) ions, replacing the Al(III) and/or P(V), are incorporated into the berlinite framework, resulting in oxygen vacancies from Zn(II) doping, and a stronger ability of attracting electrons compared with ZnO. Both the spectra of fourier transform infrared spectroscopy (FT-IR) and XRD for ZnAlPO4 provided evidence of the incorporation of Zn into the AlPO4 framework in our previous work [17], while the binding energy of the Zn2p3/2 and O1s peaks (Figure 1) for ZnAlPO4 (0.05) catalyst, compared with that for the ZnAlPO4 (0.04), is, respectively, found to be a completely new peak at a binding energy of around 1021.0 eV and 530 eV, which were identified as that for pure ZnO [21]. The above results indicate that the Zn/Al molar ratio corresponding to the capacity of Zn incorporation in the berlinite AlPO4 framework is no more than 0.05 because the higher molar ratio Zn/Al molar ratios leads to the appearance of ZnO phase in the catalysts, which were totally consistent with those of ZnAlPO4 catalysts as described in our former study [17,22].
Figure 1.
X-ray photoelectric spectroscopy (XPS) spectra of O1s and Zn2p from ZnAlPO4 catalysts.
The microphotographs (Figure 2) show the shapes of ZnAlPO4 catalyst particles, which include typical hexagonal particles and some spheroidal particles, and are reasonably similar to the structure of the berlinite nonporous phase described by Rokita M. [23]. Figure 2 also presents a comparison of the SEM of ZnAlPO4 (X) (X = 0.04, 0.05 and 0.15). One can see that the microphotographs of ZnAlPO4 (0.04) (Figure 2a) and ZnAlPO4 (0) (same as in Figure 2a, but not shown) are both completely consistent with that of berlinite AlPO4, without the presence of any other amorphous phases, while the microphotographs of the ZnAlPO4 (0.05) (Figure 2b) correspond to a mixture of berlinite AlPO4 and other amorphous phases. For the ZnAlPO4 (0.15) (Figure 2c), the amorphous phases of SEM are further increased compared with the ZnAlPO4 (0.05). The above results are both completely consistent with those of the analyses from both the spectra of XRD and XPS for the different Zn/Al molar ratio ZnAlPO4 [17,22].
Figure 2.
Scanning electron microscope (SEM) pictures of ZnAlPO4 catalysts: (a) ZnAlPO4 (0.04); (b) ZnAlPO4 (0.05); and (c) ZnAlPO4 (0.15).
2.2. Catalytic Activity of Zn/AlPO4 Catalysts at Different Molar Ratios
The catalytic performances of different Zn to AlPO4 molar ratios for ZnAlPO4 catalysts were investigated. The results are shown in Table 1. As the Zn to AlPO4 molar ratios increased from 0:1 to 0.05:1, the conversion of HDA and the yield of 2 rapidly increased. Subsequently, HDA conversion increased at a lower rate and reached 100% when Zn/AlPO4 = 0.08:1. The yield of 2 initially increased and then decreased with increased Zn/AlPO4 from 0:1 to 0.08:1. The maximum yield of 2 was 89.1%, which was obtained at a Zn/AlPO4 molar ratio of 0.04:1. The selectivity for dibutyl carbonate (3) and butyl carbamate (4) first decreased and then increased slightly, with increasing Zn/AlPO4 from 0:1 to 0.08:1. The selectivity for 2 exhibited an inverse trend with Zn/AlPO4 molar ratio, compared with that for 3 and 4, and achieved a maximum value at Zn/AlPO4 = 0.04:1. The selectivity for butyl 6-aminohexyl-1-carbamate (1) first slightly increased and then decreased with Zn/AlPO4 molar ratio from 0:1 to 0.04:1, with subsequent increase when Zn/AlPO4 > 0.04:1 (entries 8–11). In addition, the results show that AlPO4 had no catalytic activity for the synthesis of dialkyl carbamates from diamines, urea, and alcohols (entries 1,2). The catalytic activity for ZnO was the same as that for a Zn/AlPO4 molar ratio of 0.15:1 for ZnAlPO4 catalyst (entries 11,12), which was much lower than that for a Zn/AlPO4 molar ratio of 0.04 for ZnAlPO4 catalyst (entry 6). This result could be due to the fact that Zn ions in ZnO acquired a lower electron attracting ability than those in ZnAlPO4 [17]. On the one hand, with increased Zn/AlPO4 molar ratio from 0:1 to 0.04:1, the increase in catalyst activity was found to be correlated with the increase in Zn incorporated into the AlPO4 framework; on the other hand, with further increase in Zn loading to Zn/AlPO4 = 0.15:1, AlPO4 catalyst can be completely wrapped with ZnO based on the results of the characterization by XRD, FT-IR, XPS and SEM. Therefore, in the present study, a higher Zn/AlPO4 ratio was favorable for the conversion of HDA and formation of 2. However, a significantly higher ratio led to a decreased 2 yield. Thus, the optimum Zn/AlPO4 ratio was 0.04:1–0.05:1.
Table 1.
Experiment results of the synthesis of dibutyl hexane-1,6-dicarbamate from 1,6-hexanediamine (HDA), urea and butanol using Zn/AlPO4 with different molar ratios as catalyst a.
In summary, when the molar ratio of Zn to AlPO4 was 0.04, ZnAlPO4 catalyst had better catalytic performance.
2.3. Effect of Urea/HDA Molar Ratio
Figure 3 presents the effect of the urea/HDA molar ratio on the conversion of HDA, yield of 2, and selectivities for the four main byproducts (1, 3–5) under the reaction conditions: HDA 0.9 mol, ZnAlPO4 3.0 g, butanol 7.74 mol (708.0 mL), time 6 h, temperature 493 K and pressure 1.2 MPa. With the increase of urea/HDA molar ratio from 2.0:1 to 3.0:1, the conversion of HDA and the yield of 2 increased rapidly from 2.0:1 to 2.6:1 while it increased only slightly from 2.6:1 to 3.0:1, and a maximum value of 92.0% was achieved for the yield of 2 at the urea/HDA molar ratio of 3.0:1. The selectivities to both 3 and 4 increased gradually with urea/HDA molar ratios rising from 2.0:1 to 3.0:1, while that for both 1 and hexane-1,6-diurea (5) first increased with urea/HDA molar ratios rising from 2.0:1 to 2.2:1, and then followed by a decrease at urea/HDA molar ratio higher than 2.2. The reason could be due to the rate of both 3 and 4 production from Reactions (1) and (2) [24,25], being higher with an increase of urea/HDA molar ratio from 2.0 to 3.0 than that of the consumption from Reactions (3), (4), (5) and (6), respectively. On the other hand, for both 1 and 5, the rate of production from Reactions (3), (4) and (7) [20,26], were lower at the urea/HDA molar ratio higher than 2.2 than that of consumption from Reactions (8) and (9), respectively.
Figure 3.
Effect of molar ratio urea/HDA on HDA conversion, yield of 2 and selectivities for the main byproducts (1, 3–5). Reaction conditions: HDA: 0.9 mol; ZnAlPO4: 3.0 g; butanol: 7.74 mol (708.0 mL); time:6 h; reaction temperature: 493 K, reaction pressure: 1.2 MPa. (Legend: (□) HDA conversion; (△) yield of dialkyl carbamate; (■), (▲), (●) and (▼) selectivity for 3, 4, 1 and 5, respectively.). 1: butyl 6-aminohexyl-1-carbamate; 2: dibutyl hexane-1,6-dicarbamate; 3: dibutyl carbonate; 4: butyl carbamate; 5: hexane-1,6-diurea.
It was found that a higher urea/HDA molar ratio was favorable for the conversion of HDA and the formation of 2 by the experiment for studying effect of the urea/HDA molar ratios; however, too high a urea/HDA ratio is uneconomical for the synthesis of 2. Thus, the optimum urea/HDA ratio appears to be in the range of 2.4:1 to 2.6:1.
2.4. Effect of Butanol/HDA Molar Ratio
Figure 4 presents the effect of the butanol/HDA molar ratio on HDA conversion, yield of 2, and selectivities of the main byproducts (1, 3–5). With an increase in the butanol/HDA molar ratio from 2:1 to 7:1, the conversion of HDA and the yield of 2 increased rapidly, and then increased only slightly when butanol/HDA > 7:1. The selectivities for 3 and 4 increased for butanol/HDA molar ratios over the range of 2:1 to 9:1, while that for 5 decreased, and that for 1 remained unchanged. The reason could be due to the rate of both 3 and 4 production from Reactions (1) and (2) [24,25], being, respectively, higher with the increase of butanol/HDA molar ratio from 2.0 to 9.0 than that of consumption from Reactions (3), (4), (5) and (6). For 5, the rate of production from Reaction (7) was lower than that of consumption from Reaction (9) [20,26]. In addition, for 1, the rate of production from Reactions (3) and (4) was equal to that of consumption from Reaction (8). In addition, it is a fact that alcohol is not only a reaction raw material but also acts as a solvent for the one-pot reaction of 1,6-hexanediamine (HDA), urea and n-alcohols [20]. Thus, a higher butanol/HDA molar ratio was favorable for the conversion of HDA and the formation of 2 for all the butanol/HDA ratios tested. However, too high a butanol/HDA ratio could result in an increase in the difficulty of follow-up separation and purification. Thus, the optimum butanol/HDA ratio appears to be in the range of 8:1 to 9:1.
Figure 4.
Effect of molar ratio butanol/HDA on HDA conversion, yield of 2 and selectivities for the main byproducts (1, 3–5). Reaction conditions: HDA: 0.9 mol; ZnAlPO4: 3.0 g; urea: 2.34 mol; time: 6 h; reaction temperature: 493 K, reaction pressure: 1.2 MPa. (Legend: (□) HDA conversion; (△) yield of dialkyl carbamate; (■), (▲), (●) and (▼) selectivity for 3, 4, 1 and 5, respectively.). 1: butyl 6-aminohexyl-1-carbamate; 2: dibutyl hexane-1,6-dicarbamate; 3: dibutyl carbonate; 4: butyl carbamate; 5: hexane-1,6-diurea.
2.5. Effect of Reaction Temperature
Figure 5 presents the effect of reaction temperature on the conversion of HDA, yield of 2, and selectivities for four of the main byproducts under the reaction conditions: HDA 0.9 mol, ZnAlPO4 3.0 g, butanol 7.74 mol (708.0 mL), urea/HDA molar ratio 2.6, time 6 h and pressure 1.2 MPa. With increasing reaction temperature, the conversion of HDA increased rapidly over the temperature range 413 K to 473 K, while it increased only slightly at temperatures higher than 473 K, and a maximum value of 100.0% for the conversion of HDA was achieved at the temperature of 515 K. The yield of 2 increased as the temperature rose from 413 K to 493 K, attaining a maximum of 89.7% at 493 K, before decreasing at higher temperatures. The selectivity for 1 first decreased and then increased, on increasing reaction temperature, and achieved a minimum value at 493 K. This suggests that the activation energy for the formation of 2 is higher than that for 1. The decrease in yield for 2 and the increase in selectivity for 1 at temperatures higher than 493 K may be due to the decomposition of 2 to 1, because 2 as a secondary product can been formed via the further reaction of 1, urea and butanol [17,20,27]. The selectivities to both 3 and 4 decreased slightly with increasing temperature, while that for 5 decreased very slightly over the temperature range 413 to 433 K, and rapidly at the temperature higher than 433 K. This could be due to the fact that a higher temperature accelerates the synthesis of 2 by the above reactions, including Reactions (5), (6) and (9) [17,20,27]. Although a higher conversion of HDA could be attained at high temperatures, a very high temperature reduced the yield of 2, possibly because of the partial decomposition of 2 to 1 [17,27]. Thus, the optimum temperature for the production of 2 from urea, HDA and butanol is around 493 K.
Figure 5.
Effect of reaction temperature on HDA conversion, yield of 2 and selectivities for the main byproducts (1, 3–5). Reaction conditions: HDA: 0.9 mol; ZnAlPO4: 3.0 g; butanol: 7.74 mol (708.0 mL); urea/HDA molar ratio: 2.6; reaction time: 6 h, reaction pressure: 1.2 MPa. (Legend: (□) HDA conversion; (△) yield of dialkyl carbamate; (■), (▲), (●) and (▼) selectivity for 3, 4, 1 and 5, respectively.). 1: butyl 6-aminohexyl-1-carbamate; 2: dibutyl hexane-1,6-dicarbamate; 3: dibutyl carbonate; 4: butyl carbamate; 5: hexane-1,6-diurea.
2.6. Effect of Reaction Time
Figure 6 outlines the effect of reaction time on the conversion of HDA, yield of 2 and selectivities to four the main byproducts under the reaction conditions: HDA 0.9 mol, ZnAlPO4 3.0 g, butanol 7.74 mol (708.0 mL), urea/HDA molar ratio 2.6, temperature 493 K and pressure 1.2 MPa. It is seen that with increasing reaction time, the HDA conversion increased quickly within 6 h while it increased only very slightly over longer reaction times, and a value of nearly 100% for the HDA conversion was achieved at 7 h. The yield of 2 increased, and then decreased, with a maximum value of 89.7% being achieved at a reaction time of 6 h. With increasing reaction time, the selectivity to 1 decreased, followed by a slight increase, with a minimum at a reaction time of 6 h. The selectivity for both 3 and 4 presented an inverse trend with reaction time, compared with that observed for 1, with a maximum at a reaction time of 3 h. The reason could be due to the rate of production for both 3 and 4 from Reactions (1) and (2) being lower than that of consumption by Reactions (3) and (4) after 3 h, respectively. On prolonging the reaction timeframe, the selectivity for 5 gradually decreased. These results indicate that prolonging the reaction time promoted the formation of 2 via the further reaction of 5 and butanol [15,20]. The decrease in the yield of 2 at a longer reaction time may be explained by the partial decomposition of 2 to 1, because the synthesis of 2 via the further reaction of 1, urea, and butanol is an equilibrium reaction. A longer reaction time promoted the conversion of 1 to 2, but an extremely long reaction time resulted in the decomposition of 2 to 1. Thus, the optimum reaction time is suggested as being 6 h.
Figure 6.
Effect of reaction time on HDA conversion, yield of 2 and selectivities for the main byproducts (1, 3–5). Reaction conditions: HDA: 0.9 mol; ZnAlPO4: 3.0 g; butanol: 7.74 mol (708.0 mL); urea/HDA molar ratio: 2.6; reaction temperature: 493 K, reaction pressure: 1.2 MPa. (Legend: (□) HDA conversion; (△) yield of dialkyl carbamate; (■), (▲), (●) and (▼) selectivity for 3, 4, 1 and 5, respectively.). 1: butyl 6-aminohexyl-1-carbamate; 2: dibutyl hexane-1,6-dicarbamate; 3: dibutyl carbonate; 4: butyl carbamate; 5: hexane-1,6-diurea.
2.7. Effect of the Amount of ZnAlPO4 Catalyst
Figure 7 presents the effect of the amount of ZnAlPO4 catalyst on the conversion of HDA, yield of 2, and selectivities for the four main byproducts under the reaction conditions: HDA 0.9 mol, butanol 7.74 mol (708.0 mL), urea/HDA molar ratio 2.6, time 6 h, temperature 493 K and pressure 1.2 MPa. On increasing the amount of ZnAlPO4 catalyst, the conversion of HDA increased, reaching nearly 100.0%, and also the yield of 2 increased, followed by a slight decrease, with a maximum of 89.7% achieved at 3.0 g ZnAlPO4 catalyst. The selectivity for 1, however, exhibited an inverse trend with the amount of ZnAlPO4 catalyst, compared with the yield of 2, and achieved a minimum value at 3.0 g ZnAlPO4 catalyst. With the amount of ZnAlPO4 catalyst increasing from 3.0 to 3.5 g, the yield of 2 decreased slowly while the selectivity of 1 increased. The reason could be that the decomposition of 2 to 1 is predominant compared with the synthesis of 2 via further reaction of 1, urea, and butanol by Reaction (8) [17,27]. With the amount of ZnAlPO4 catalyst increasing, the selectivities for both 3 and 4 first increased, followed by a decrease. This probably occurred because the higher catalyst amount caused the greater consumption of both 3 and 4 by Reactions (3), (4), (5) and (6) [17,20,26], respectively. The selectivity for 5 decreased gradually with the increase in the amount of ZnAlPO4 catalyst. The reason could be that the larger amount of catalyst faster formation of 2 via the further alcoholysis of 5 with butanol by Reaction (9) [26]. Consequently, the amount of 3.0 g of ZnAlPO4 catalyst seems to be the most favorable for the production of 2 from urea, HDA and butanol.
Figure 7.
Effect of the amount of ZnAlPO4 catalyst on HDA conversion, yield of 2 and selectivities for the main byproducts (1, 3–5). Reaction conditions: HDA: 0.9 mol; ZnAlPO4: 2.0 g; butanol: 7.74 mol (708.0 mL); urea/HDA molar ratio: 2.6; reaction temperature: 493 K, reaction pressure: 1.2 MPa. (Legend: (□) HDA conversion; (△) yield of dialkyl carbamate; (■), (▲), (●) and (▼) selectivity for 3, 4, 1 and 5, respectively.). 1: butyl 6-aminohexyl-1-carbamate; 2: dibutyl hexane-1,6-dicarbamate; 3: dibutyl carbonate; 4: butyl carbamate; 5: hexane-1,6-diurea.
2.8. The Influence of the Alcohol Type
The synthesis of other dialkyl hexane-1,6-dicarbamates was successfully achieved from HDA, urea, and n-alcohols of varying chain length under the reaction conditions as follows: all the batches consisted of 0.9 mol HDA, 4.5 mol urea, 7.74 mol alcohol and 3.0 g ZnAlPO4 (0.04) catalyst, time 6 h, temperature 433 K,pressure 1.2 MPa (Table 2). The reactivity of the alcohols was highest for MeOH, and decreased with increasing the alkyl chain length (entries 1–5). This result may be ascribed to stronger inductive effect on the carbonyl of urea with higher polarity of the longer chain alcohol. In fact, it is reported that the process for the alcoholysis of urea with alcohols may be in line with a nucleophilic substitution mechanism [24,28]. It is well known that stronger polarity solutions are more favorable to nucleophilic substitution reactions [29,30]. As a consequence, the one-pot synthesis of dicarbamate from HDA, urea and alcohol tends to be optimal in the shorter chain alcohol. In addition, secondary alcohols are in this reaction less reactive than their primary homologues, due to the increase of the steric hindrance of the nucleophilic attack for those compounds (entries 6 and 7).
Table 2.
Synthesis of dialkyl hexane-1,6-dicarbamates from 1,6-hexanediamine (HDA) a.
2.9. Analysis of the Reaction Mechanism
For the synthesis of 2, two different reaction routes, i.e., the alkoxycarbonylation of diamines with 3 [17,27] and the alcoholysis of 5 with alcohols [20], have been reported. At the same time, the catalytic formation of both 3 and 5 via reaction of urea by alcoholysis and ammonolysis, respectively, have also been developed [19,24,25]. In other words, during the one-pot synthesis of dibutyl hexane-1,6-dicarbamate from HDA, urea and butanol, there may be two different reaction intermediates, i.e. 5 and 3, respectively. Generally, in a nucleophilic substitution reaction, a strong nucleophilic group is prone to substituting for a weak one. The HDA, being a better nucleophile, is expected to be more reactive with urea than with butanol. Hence the intermediate product of 5 formed by the nucleophilic substitution reaction between urea and HDA is easier to synthesize than that of 4 obtained by the nucleophilic substitution reaction between urea and butanol. Remarkably, these results are also in accordance with those of Section 2.1, Section 2.2, Section 2.3, Section 2.4, Section 2.5, Section 2.6 and Section 2.7. Thus, for the one-pot production of 2 from urea, HDA, and butanol, it is suggested that 5, NH2COHN(CH2)6CONH2, was formed in situ via the ammonolysis of urea with HDA and contributed further to the formation of carbamate by butanolysis. Meanwhile, for the nucleophilic substitution reaction with urea, an electron-withdrawing effect exerted on the carbonyl group facilitated its reaction with a nucleophile [29,30]. In fact, it is reported that the Lewis acidic catalysts, i.e. ZrO2, ZnO and La2O3, were employed to promote the catalytic activation of urea by both the ammonolysis and alcoholysis [18,19,26,27,31]. Considering the greater ability of Zn(II) in ZnAlPO4 to attract electrons than ZnO, for the one-pot production of dibutyl hexane-1,6-dicarbamate from urea, HDA and butanol with ZnAlPO4 as a catalyst, the coordination of the carbonyl oxygen of urea to Zn(II) as an key active intermediate species is formed.
Although mechanistic studies of the production of 2 from urea, HDA, and butanol in the presence of a ZnAlPO4 catalyst are still in progress, based on the experimental analysis of results as above, a possible catalytic cycle that involves a number of steps for the one-pot synthesis of dibutyl hexane-1,6-carbamate from HDA, urea and butanol has been proposed (Scheme 1). At first, urea was activated by coordination with Zn(II), forming the species I as an key active intermediate. Then, the carbonyl carbon in species I was subject to nucleophilic attack by HDA, resulting in a reaction intermediate species IIa and a byproduct ammonia. Subsequently, the interaction of the zinc ion in species IIa with another molecule of urea resulted in the formation of both the intermediate species IIb and byproduct ammonia. Following that, the carbonyl carbon in species IIb was attacked by the nucleophilic CH3(CH2)3OH, forming a reaction intermediate species IIc and ammonia as a byproduct. Similarly, the interaction of the zinc ion in species IIc with another molecule of butanol resulted in the formation of a reaction intermediate species IId and ammonia as a byproduct. Finally, the cleavage of the Zn–O bond in the species IId resulted respectively in the formation of 2 and the recovery of the ZnAlPO4 catalyst. Meanwhile, 5 may be formed by the cleavage of the Zn–O bond in the species IIb.
Scheme 1.
Possible mechanism for the formation of 2 and 5 via one-pot reaction of HDA, urea, and butanol using ZnAlPO4 as a catalyst. 2: dibutyl hexane-1,6-dicarbamate; 5: hexane-1,6-diurea.
It must be noted that the species IIa may react with not only another molecule of urea at the Lewis acid site Znδ+, to form the reaction intermediate product 5 [12,24], but also a nucleophile alcohol at the carbonyl carbon to form 1 (Scheme 2) [16,27]. In addition, as the nucleophilic ability of 1,6-hexanediamine is much stronger than that of butanol, the target product 2 is much harder to synthesize than the intermediate product 5.
Scheme 2.
Possible mechanism for the formation of 1 via one-pot reaction of HDA, urea, and butanol using ZnAlPO4 as a catalyst. 1: butyl 6-aminohexyl-1-carbamate.
The formation of the main byproducts, i.e., dibutyl carbonate (3) and butyl carbamate (4), identified in the present work, might be a result of a nucleophilic attack of the butoxyl groups of the butanol on the carbonyl carbon in urea, as shown in Scheme 3. Because of the ambient electrophilicity, urea may react with not only the amines but also the alcohols [18,19,31]. In fact, it has been reported that both dialkyl carbonate and alkyl carbamate can be synthesized via the alcoholysis of urea with the corresponding alcohol using ZnO as a catalyst [19,31]. Meanwhile, in our work, using ZnAlPO4, its higher electron-attracting ability of Zn(II) than that in ZnO as a catalyst, the byproducts of both 3 and 4 were also formed from the excess of urea and butanol, further resulting in the increased selectivities of all products (1–6) on the basis of the amount of HDA converted more than 100%, as seen.
Scheme 3.
Possible mechanism for the formation of both 3 and 4 via one-pot reaction of HDA, urea, and butanol using ZnAlPO4 as a catalyst. 3: dibutyl carbonate; 4: butyl carbamate.
3. Experimental Section
3.1. Chemical Reagent
The reagents involved are as follows: HDA (C.P., Shanghai Lingfeng Chemicals Company, Shanghai, China); MeOH, EtOH, n-PrOH, n-BuOH, n-Pentanol, 2-BuOH, 2-PrOH (A.R., Shanghai Ludou Chemicals Company, Shanghai, China); H2NCONH2 (A.R., China National Medicines Chemicals Reagents Corporation Ltd., Shanghai, China); Zn(OAc)2 (A.R., Shanghai Zhenxin chemical reagent factory, Shanghai, China); Al(OAc)3 (A.R., Beijing chemical reagent company, Beijing, China); and H3PO4 (85%, Tianjin Kermel chemical reagent company, Tianjin, China). Before use, all the agents were pretreated to remove the water they absorbed or contained: H2NCONH2 was dried at 373 K in a vacuum oven and the liquid agents were dehydrated using 4A molecular sieves.
3.2. Preparation of Catalysts
The berlinite-structured AlPO4 and ZnAlPO4 were hydrothermally synthesized by the same procedure as reported in our previous work [17]. The synthesized specimens were denoted as ZnAlPO4 (X), where X refers to the Zn/Al molar ratio in the specimen. For example, ZnAlPO4 (0.05) means that the specimen has a molar ratio Zn/Al = 0.05.
The ZnAlPO4 catalysts were separated from the reaction mixture by filtration, and then were reused via regeneration achieved easily by rinsing in methanol, and calcination in air at 823 K for 6 h.
3.3. Characterization of Catalysts
XPS was carried out on a Phi Quantum 2000 Scanning ESCA Microprobe with Al Kα radiation (ULVAC, Chigasaki-shi, Japan). A C1s binding energy of 284.6 eV was used as the reference.
SEM and EDAX analyses were performed on a Philips SEM 505 instrument equipped with an EDAX detecting unit (Philips, Eindhoven, The Netherlands).
The ZnAlPO4 catalysts were characterized by XPS and SEM. The results of structural characterization were totally consistent with those of ZnAlPO4 berlinite as described in our former study [17,22].
3.4. Apparatus and Procedure
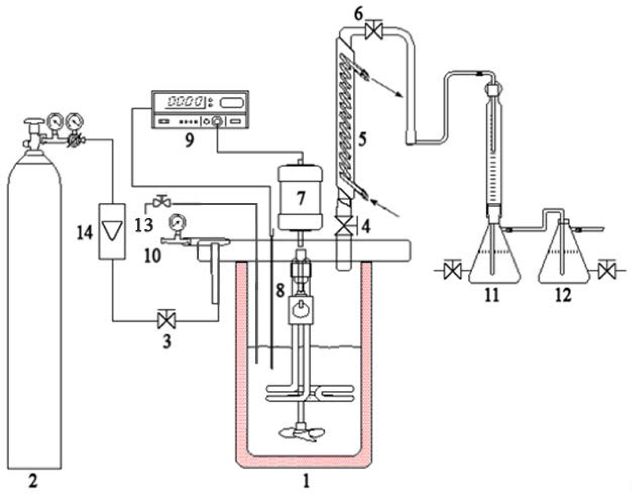
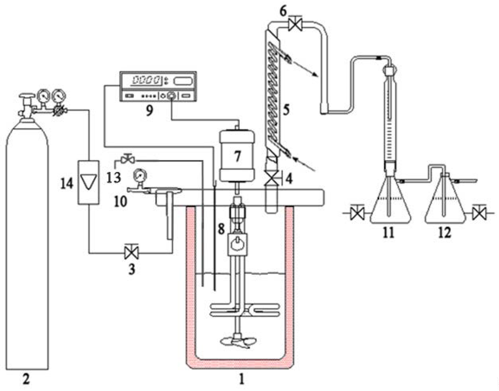
The scheme of the reaction system is shown in Figure 8. The reactor was a stainless steel VT = 500 mL autoclave with electric heating and dynamoelectric stirring. This apparatus was equipped with a back-pressure regulator (6), a sampling valve (13), a condenser (5), and a temperature and stirring speed controller (9). A filter was fixed at the end of the sample tube in the reactor, to prevent the heterogeneous catalyst from leaving the reactor during on-line sampling.
Figure 8.
Schematic diagram of the experimental apparatus. 1: Autoclave; 2: nitrogen cylinder; 3: nitrogen charge valve; 4: valve; 5: condenser; 6: ammonia charge valve; 7: stirrer; 8 thermocouple; 9: temperature and stirring speed controller; 10 pressure gauge; 11: NH3 absorption vessel; 12: CO2 absorption vessel; 13: sampling valve; 14: volume flow controller.
For each run, a mixture with alcohol, urea, HDA and catalyst (ZnAlPO4) was placed in the reactor according to a definite order and amount; then, the autoclave was pressured with nitrogen to the desired initial pressure, and heated to the reaction temperature with stirring according to the set temperature program.
During the experiment, the gas co-products (NH3 and CO2) were carried along by nitrogen in order to promote reaction equilibrium, and after existing the condenser (5) were injected into the circulating cooling water at 353 K to avoid other reaction raw materials (in particular, the alcohol) escaping from the reactor. The gas co-products then flowed through the NH3 absorption vessel (11) filled with an aqueous solution of dilute hydrochloric acid (for removal of NH3), and then through the CO2 absorption vessel (12) filled with an aqueous solution of sodium hydrate (for removal of CO2). The NH3 absorption solution of vessel 11 was periodically analyzed by titration to determine the amount of NH3 released from the autoclave and to monitor the course of the reaction.
After the reaction was complete, the autoclave was cooled to room temperature, and the catalyst was recovered by filtration, washing with deionized water and drying at ca. 80 °C for 12–48 h. The filtrate was subjected to GC and GC-MS analysis.
3.5. Separation and Analysis of Intermediates and Products
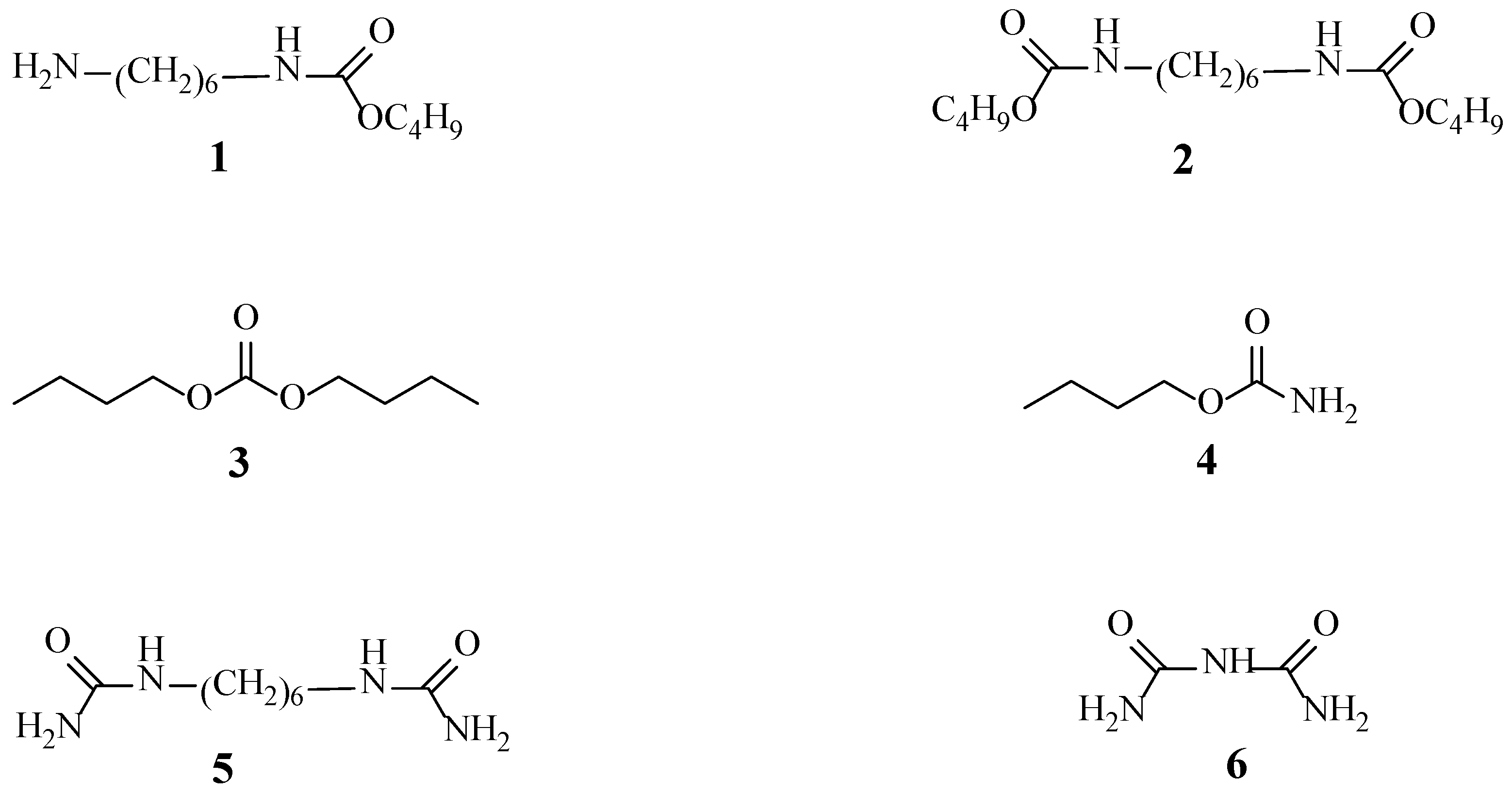
The product mixtures of the one-pot synthesis of dibutyl hexane-1,6-dicarbamate (2) from HDA, urea and butanol were analyzed using a Varian Saturn 2200 GC/MS spectrometer equipped with a 15 m × 0.32 mm CP-Wax 52CB fused Silica capillary column and a flame ionization detector (FID). The result of analysis showed that a few byproducts/intermediates, such as, 1 (butyl 6-aminohexyl-1-carbamate), 3 (dibutyl carbonate), 4 (butyl carbamate), 5 (hexane-1,6-diurea) and trace 6 (biuret) were also generated [12,20], in addition to the desired product 2 (dibutyl hexane-1,6-dicarbamate). The structural formula of the products for the one-pot synthesis of 2 from HDA, urea and butanol is shown in Chart 1.
Chart 1.
The chemical structural formula of the products for the one-pot synthesis of dibutyl hexane-1,6-dicarbamate from HDA, urea and butanol.
The liquid mixture was vacuum-distilled in order to obtain a preliminary orderly isolation of the relatively low boiling-point components including excess butanol and the byproducts/intermediates 3, 4, and 5. After this, the residual portion containing the target product 2, and byproducts 1 and 6 was cooled to room temperature to yield a white solid. The solid was subjected to recrystallization with deionized water and drying at ca. 80 °C for 12–48 h, to result in the pure 2.
It is interesting that the main byproducts mixture (1, 3–5) mentioned above can also be directly employed as the raw materials in the synthesis of the desired product 2 by Reactions (5), (6), (8) and (9) [15,16,19,20,26,28].
Unless otherwise mentioned, the conversion of HDA was calculated on the basis of the initial amount of HDA, while the selectivities of products were calculated on the basis of the amount of HDA converted, and the yield of 2 was calculated by multiplying the conversion of HDA with the selectivity to 2. The yield of 2 thus obtained is denoted as GC yield.
Spectroscopic data for the one-pot synthesis of dialkyl hexane-1,6-dicarbamate from HDA, urea and the corresponding alcohol are given as follows.
Dibutyl hexane-1,6-dicarbamate (2): GC/MS, m/z: 316, 243, 186, 170, 158, 130, 116, 88, 74, 62, 44, 27.
Butyl 6-aminohexyl-1-carbamate (1): GC/MS, m/z: 216, 200, 186, 170, 158, 130, 116, 101, 57, 43, 29.
Dibutyl carbonate (3): GC/MS, m/z: 172, 143, 129, 116, 72, 56, 43, 29.
Butyl carbamate (4): GC/MS, m/z: 117, 101, 73, 57, 43, 29.
Hexane-1,6-diurea (5): GC/MS, m/z: 202, 186, 158, 143, 129, 115, 101, 87, 73, 59, 44, 16.
Biuret (6): GC/MS, m/z: 103, 60, 44, 17.
Dimethyl hexane-1,6-dicarbamate: GC/MS, m/z: 232, 217, 201, 173, 158, 130, 116, 88, 74, 59, 31.
Diethyl hexane-1,6-dicarbamate: GC/MS, m/z: 260, 231, 187, 172, 158, 146, 116, 88, 74, 45, 29.
Dipropyl hexane-1,6-dicarbamate: GC/MS, m/z: 288, 245, 201, 186, 172, 158, 130, 116, 88, 60, 44, 27.
Dipentyl hexane-1,6-dicarbamate: GC/MS, m/z: 344, 301, 273, 214, 172, 158, 130, 116, 71, 57, 44, 27.
Diisopropyl hexane-1,6-didicarbamate: GC/MS, m/z: 290, 260, 230, 202, 173, 159, 130, 116, 103, 57, 44, 30, 15.
Diisobutyl hexane-1,6-didicarbamate: GC/MS, m/z: 318, 244, 216, 202, 173, 159, 130, 116, 103, 57, 44, 30, 15.
4. Conclusions
ZnAlPO4 was identified, for the first time, as an effective heterogeneous catalyst for the one-pot production of dibutyl hexane-1,6-dicarbamate (2) from urea, HDA and butanol. A yield of up to 89.7% of 2 with 98.4% conversion of HDA was obtained at 493 K, over 6 h, under 1.2 MPa, with the molar ratio of urea/HDA/butanol 2.6:1:8.6 and the amount of ZnAlPO4 catalyst equal to 3.0 g. It is proposed that the catalysis recycle of the one-pot synthesis of 2 from urea, HDA, and butanol based on the ZnAlPO4 catalyst involves activation of the urea by a key active intermediate species, formed from the coordination of the carbonyl oxygen with Zn(II), as well as the production of a reaction intermediate hexane-6-diurea (5) by the ammonolysis of urea with HDA, as well as the formation of carbamate by the alcoholysis of 5 with butanol. Notably, as the above reactions are reversible under reaction conditions, it was necessary to remove ammonia from the reactor as quickly as possible. Additionally, the byproducts, i.e., both 3 and 4, formed from the alcoholysis of the excess of urea with butanol, and 1 obtained via the reaction of the intermediate species I, urea, and butanol, can also be directly employed as the raw materials in the synthesis of the desired product 2 by Reactions (1)–(3).
Acknowledgments
The financial support from the National Natural Science Foundation of China (NSFC-Nos. 21206019, 21476064, U1362112, 21536003 and 51521006). In addition, Wilfred R. Olson, P. Eng. for his efforts in reviewing and editing of English grammar and usage.
Author Contributions
This study was conceived as a result of discussion between D.L. Sun, J.R. Deng and Z.W. Liang. The experiments were designed and carried out by D.L. Sun and J.J. Mai. The data was analyzed by D.L. Sun and J.R. Deng. The manuscript was first composed by D.L. Sun and revised by D.L. Sun, R. Idem, and Z.W. Liang. All authors read and approved the final manuscript.
Conflicts of Interest
The authors declare no conflict of interest.
References
- Greene, T.W.; Wuts, P.G.M. Protective Groups in Organic Synthesis, 3rd ed.; John Wiley & Sons: New York, NY, USA, 1999; p. 527. [Google Scholar]
- Vauthey, I.; Valot, F.; Gozzi, C.; Fache, F.; Lemaine, M. An environmentally benign access to carbamates and ureas. Tetrahedron. Lett. 2000, 41, 6347–6350. [Google Scholar] [CrossRef]
- Shapiro, S.L.; Bandurco, V.; Freedman, L. Reaction of t-Ethinyl Alcohols with Aryl Isocyanates. J. Org. Chem. 1961, 26, 3710–3712. [Google Scholar] [CrossRef]
- Ragaini, F.; Gasperini, M.; Cenini, S. Phosphorus Acids as Highly Efficient Promoters for the Palladium-Phenanthroline Catalyzed Carbonylation of Nitrobenzene to Methyl Phenylcarbamate. Adv. Synth. Catal. 2004, 346, 63–71. [Google Scholar] [CrossRef]
- Shi, F.; Deng, Y. Polymer-Immobilized Gold Catalysts for the Efficient and Clean Syntheses of Carbamates and Symmetric Ureas by Oxidative Carbonylation of Aniline and Its Derivatives. J. Catal. 2002, 211, 548–552. [Google Scholar] [CrossRef]
- Kaminshkia, N.V.; Kostic, N.M. Alcoholysis of Urea Catalyzed by Palladium(II) Complexes. Inorg. Chem. 1998, 37, 4302–4312. [Google Scholar] [CrossRef]
- Lucas, N.; Amrute, A.P.; Palraj, K.; Shanbhag, G.V.; Vinu, A.; Halligudi, S.B. Non-phosgene route for the synthesis of methyl phenyl carbamate using ordered AlSBA-15 catalyst. J. Mol. Catal. A Chem. 2008, 295, 29–33. [Google Scholar] [CrossRef]
- Honda, M.; Sonehara, S.; Yasuda, H.; Nakagawa, Y.; Tomishige, K. Heterogeneous CeO2 catalyst for the one-pot synthesis of organic carbamates from amines, CO2 and alcohols. Green Chem. 2011, 13, 3406–3413. [Google Scholar] [CrossRef]
- Qin, F.; Li, Q.F.; Wang, J.W.; Feng, Y.L.; Kang, M.Q.; Zhu, Y.L.; Wang, X.K. One Pot Synthesis of Methyl N-Phenyl Carbamate from Aniline, Urea and Methanol. Catal. Lett. 2008, 126, 419–425. [Google Scholar] [CrossRef]
- Barzagli, F.; Mani, F.; Peruzzini, M. From greenhouse gas to feedstock: formation of ammonium carbamate from CO2 and NH3 in organic solvents and its catalytic conversion into urea under mild conditions. Green Chem. 2011, 13, 1267–1274. [Google Scholar] [CrossRef]
- Michalczak, H.W.; Kohlstruk, S.; Krecainski, M.; Grund, G.; Lomoelder, R. Process for the Continuous Preparation of (Cyclo)Aliphatic Diisocyanates. US Patent 8,816,125, 26 August 2014. [Google Scholar]
- Bohmholdt, G.; Disteldorf, J.; Kirchner, P.; Michalczak, H.W. From Diamines, Urea, Alcohols and by-Products from Thermal Cracking. US Patent 5,087,739, 11 February 1992. [Google Scholar]
- Wilmes, O.; Konig, E.; Nachtkamp, K.; Kysela, E. Process for the Production of Diurethanes and Their Use for the Production of Diisocyanates. US Patent 5,744,633, 28 April 1998. [Google Scholar]
- Otterbach, A.; Schwarz, H.V.; Mattner, O.; Merger, F.; Schwarz, W.; Brandt, E. Multistep, Continuous Preparation of Organic Polyisocyanates. US Patent 5,386,053, 31 January 1995. [Google Scholar]
- Wang, P.X.; Ma, Y.B.; Liu, S.M.; Zhou, F.; Yang, B.Q.; Deng, Y.Q. N-Substituted carbamate synthesis using urea as carbonyl source over TiO2-Cr2O3/SiO2 catalyst. Green Chem. 2015, 17, 3964–3971. [Google Scholar] [CrossRef]
- Wang, G.R.; Li, X.; Wang, Y.J.; Zhao, X.Q. Mechanism for Synthesis of Dibutyl Toluene-2,4-Dicarbamate via Urea Route Catalyzed by γ-Al2O3. Ind. Eng. Chem. Res. 2014, 53, 2130–2136. [Google Scholar] [CrossRef]
- Sun, D.L.; Deng, J.R.; Chao, Z.S. Catalysis over zinc-incorporated berlinite (ZnAlPO4) of the methoxycarbonylation of 1,6-hexanediamine with dimethyl carbonate to form dimethylhexane-1,6-dicarbamate. Chem. Cent. J. 2007. [Google Scholar] [CrossRef] [PubMed]
- Bhanage, B.M.; Fujita, S.; Ikushima, Y.; Arai, M. Transesterification of urea and ethylene glycol to ethylene carbonate as an important step for urea based dimethyl carbonate synthesis. Green Chem. 2003, 5, 429–432. [Google Scholar] [CrossRef]
- Wang, M.H.; Zhao, N.; Sun, Y.H. Synthesis of Dimethyl Carbonate from Urea and Methanol over ZnO. Ind. Eng. Chem. Res. 2005, 44, 7596–7599. [Google Scholar] [CrossRef]
- Merger, F.; Towae, F. Process for the Preparation of N-aryl di- or Polyurethanes. US Patent 4,611,079, 9 September 1986. [Google Scholar]
- Wagner, C.D.; Zatko, D.A.; Raymond, R.H.; Chem, A. Use of the oxygen KLL auger lines in identification of surface chemical states by electron spectroscopy for chemical analysis. Anal. Chem. 1980, 52, 1445–1451. [Google Scholar] [CrossRef]
- Sun, D.L.; Luo, J.Y.; Wen, R.Y.; Deng, J.R.; Chao, Z.S. Phosgene-free synthesis of hexamethylene-1,6-diisocyanate by the catalytic decomposition of dimethylhexane-1,6-dicarbamate over zinc-incorporated berlinite (ZnAlPO4). J. Hazard. Mater. 2014, 266, 167–173. [Google Scholar] [CrossRef] [PubMed]
- Rokita, M.; Handke, M.; Mozgawa, W. Spectroscopic studies of polymorphs of AlPO4 and SiO2. J. Mol. Struct. 1998, 450, 213–217. [Google Scholar] [CrossRef]
- Lin, H.Y.; Yang, B.L.; Sun, J.J.; Wang, X.P.; Wang, D.P. Kinetics studies for the synthesis of dimethyl carbonate from urea and methanol. Chem. Eng. J. 2004, 21, 103–110. [Google Scholar] [CrossRef]
- Sun, J.J.; Yang, B.L.; Lin, H.Y. A Semi-continuous Process for the Synthesis of Methyl Carbamate from Urea and Methanol. Chem. Eng. Technol. 2004, 27, 435–439. [Google Scholar] [CrossRef]
- Friederichs, W.; Penninger, S.; Wershofen, S. Process for the Preparation of Highly Pure Aromatic Diurethanes and/or Polyurethanes. US Patent 5,399,736, 21 March 1995. [Google Scholar]
- Sun, D.L.; Xie, S.J.; Deng, J.R.; Huang, C.J.; Ruckenstein, E.; Chao, Z.S. CH3COONa as an effective catalyst for methoxycarbonylation of 1,6-hexanediamine by dimethyl carbonate to dimethylhexane-1,6-dicarbamate. Green Chem. 2010, 12, 483–490. [Google Scholar] [CrossRef]
- Wang, D.P.; Yang, B.; Zhai, X.W.; Zhou, L.G. Synthesis of diethyl carbonate by catalytic alcoholysis of urea. Fuel Process Technol. 2007, 88, 807–812. [Google Scholar] [CrossRef]
- Shivarkar, A.B.; Gupte, S.P.; Chaudhari, R.V. Carbamate synthesis via transfunctionalization of substituted ureas and carbonates. J. Mol. Catal. A 2004, 223, 85–92. [Google Scholar] [CrossRef]
- Carloni, S.; Devos, D.E.; Jacobs, P.A.; Maggi, R.; Sartori, G.; Raffaella, S. Catalytic Activity of MCM-41–TBD in the Selective Preparation of Carbamates and Unsymmetrical Alkyl Carbonates from Diethyl Carbonate. J. Catal. 2002, 205, 199–204. [Google Scholar] [CrossRef]
- Zhao, W.B.; Peng, W.C.; Wang, D.F.; Zhao, N.; Li, J.P.; Xiao, F.K.; Wei, W.; Sun, Y.H. Zinc oxide as the precursor of homogenous catalyst for synthesis of dialkyl carbonate from urea and alcohols. Catal. Commun. 2009, 10, 655–658. [Google Scholar]
© 2016 by the authors; licensee MDPI, Basel, Switzerland. This article is an open access article distributed under the terms and conditions of the Creative Commons by Attribution (CC-BY) license (http://creativecommons.org/licenses/by/4.0/).











