Investigation of Room Temperature Synthesis of Titanium Dioxide Nanoclusters Dispersed on Cubic MCM-48 Mesoporous Materials
Abstract
:1. Introduction
2. Results and Discussion
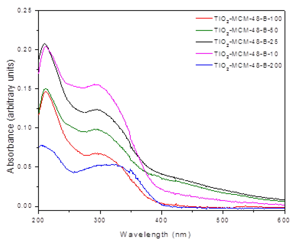
2.1. Physico-Chemical Characterization



| Catalyst | Si/Ti ratio (Synthesis gel) | Si/Ti ratio (AAS) | Ratio of Titet4+/Tioct4+ | Specific Surface Area (m2/g) | Pore Volume (cm3/g) | Pore Diameter (Å) |
|---|---|---|---|---|---|---|
| TiO2-MCM-48-A-200 | 200 | 189 | 1.61 | 1241 | 0.71 | 22 |
| TiO2-MCM-48-B-200 | 200 | 239 | 1.23 | 1687 | 0.98 | 21 |
| TiO2-MCM-48-C-200 | 200 | 177 | 1.51 | 1200 | 0.88 | 23 |
| TiO2-MCM-48-D-200 | 200 | 223 | 1.39 | 1436 | 0.75 | 21 |
| TiO2-MCM-48-B-100 | 100 | 87 | 1.60 | 898 | 0.53 | 20 |
| TiO2-MCM-48-B-50 | 50 | 47 | 1.23 | 1280 | 0.65 | 21 |
| TiO2-MCM-48-B-25 | 25 | 20 | 1.53 | 1563 | 0.82 | 21 |
| TiO2-MCM-48-B-10 | 10 | 13 | 0.91 | 1563 | 0.82 | 24 |




2.2. Catalytic Studies

3. Experimental Section
3.1. Chemicals Used
3.2. Synthesis of TiO2-MCM-48 Mesoporous Materials
| Method A | Method B | Method C | Method D |
|---|---|---|---|
| CTAB (1.2 g) | CTAB (1.2 g) | CTAB (1.2 g) | CTAB (1.2 g) |
| H2O (50 mL) | Ti-(iOPr)4 | Ti-(iOPr)4 (Stock) * | H2O (50 mL) |
| C2H5OH (25 mL) | H2O (50 mL) | H2O (50 mL) | C2H5OH (25 mL) |
| NH3 (6 mL) | C2H5OH (25 mL) | C2H5OH (25 mL) | NH3 (6 mL) |
| Si(OEt)4 (1.8 mL) | NH3 (6 mL) | NH3 (6 mL) | Si(OEt)4 (1.8 mL) |
| Ti-(iOPr)4 (Stock)* | Si(OEt)4 (1.8 mL) | Si(OEt)4 (1.8 mL) | Ti-(iOPr)4 |
3.3. Characterization Techniques
4. Conclusions
Supplementary Files
Supplementary File 1Acknowledgments
Author Contributions
Conflicts of Interest
References
- Beck, J.S.; Vartuli, J.C.; Roth, W.J.; Leonowicz, M.E.; Kresge, C.T.; Schmitt, K.D.; Chu, C.T.W.; Olson, D.H.; Sheppard, E.W.; McCullen, S.B.; et al. A new family of mesoporous molecular-sieves prepared with liquid-crystal templates. J. Am. Chem. Soc. 1992, 114, 10834–10843. [Google Scholar] [CrossRef]
- Kresge, C.T.; Leonowicz, M.E.; Roth, W.J.; Vartuli, J.C.; Beck, J.S. Ordered mesoporous molecular-sieves synthesized by a liquid-crystal template mechanism. Nature 1992, 359, 710–712. [Google Scholar] [CrossRef]
- Schuth, F. Engineered porous catalytic materials. Annu. Rev. Mater. Res. 2005, 35, 209–238. [Google Scholar] [CrossRef]
- Nooney, R.I.; Kalyanaraman, M.; Kennedy, G.; Maginn, E.J. Heavy metal remediation using functionalized mesoporous silicas with controlled macrostructure. Langmuir 2001, 17, 528–533. [Google Scholar] [CrossRef]
- Vallet-Regi, M.; Balas, F.; Arcos, D. Mesoporous materials for drug delivery. Angew. Chem. Int. Ed. 2007, 46, 7548–7558. [Google Scholar] [CrossRef] [PubMed]
- Zhao, D.Y.; Feng, J.L.; Huo, Q.S.; Melosh, N.; Fredrickson, G.H.; Chmelka, B.F.; Stucky, G.D. Triblock copolymer syntheses of mesoporous silica with periodic 50 to 300 angstrom pores. Science 1998, 279, 548–552. [Google Scholar] [CrossRef] [PubMed]
- Huo, Q.S.; Margolese, D.I.; Ciesla, U.; Feng, P.Y.; Gier, T.E.; Sieger, P.; Leon, R.; Petroff, P.M.; Schuth, F.; Stucky, G.D. Generalized synthesis of periodic surfactant inorganic composite-materials. Nature 1994, 368, 317–321. [Google Scholar] [CrossRef]
- Tanev, P.T.; Pinnavaia, T.J. A neutral templating route to mesoporous molecular-sieves. Science 1995, 267, 865–867. [Google Scholar] [CrossRef] [PubMed]
- Joo, S.H.; Choi, S.J.; Oh, I.; Kwak, J.; Liu, Z.; Terasaki, O.; Ryoo, R. Ordered nanoporous arrays of carbon supporting high dispersions of platinum nanoparticles. Nature 2001, 412, 169–172. [Google Scholar] [CrossRef] [PubMed]
- Yanagisawa, T.; Shimizu, T.; Kuroda, K.; Kato, C. The preparation of alkyltrimethylammonium-kanemite complexes and their conversion to microporous materials. Bull. Chem. Soc. Jpn. 1990, 63, 988–992. [Google Scholar] [CrossRef]
- Vartuli, J.C.; Schmitt, K.D.; Kresge, C.T.; Roth, W.J.; Leonowicz, M.E.; McCullen, S.B.; Hellring, S.D.; Beck, J.S.; Schlenker, J.L.; Olson, D.H.; et al. Effect of surfactant silica molar ratios on the formation of mesoporous molecular-sieves: Inorganic mimicry of surfactant liquid-crystal phases and mechanistic implications. Chem. Mater. 1994, 6, 2317–2326. [Google Scholar] [CrossRef]
- Kresge, C.T.; Roth, W.J. The discovery of mesoporous molecular sieves from the twenty year perspective. Chem. Soc. Rev. 2013, 42, 3663–3670. [Google Scholar] [CrossRef] [PubMed]
- Peng, R.; Zhao, D.; Dimitrijevic, N.M.; Rajh, T.; Koodali, R.T. Room temperature synthesis of Ti-MCM-48 and Ti-MCM-41 mesoporous materials and their performance on photocatalytic splitting of water. J. Phys. Chem. C 2012, 116, 1605–1613. [Google Scholar] [CrossRef]
- Bronkema, J.L.; Bell, A.T. Mechanistic studies of methanol oxidation to formaldehyde on isolated vanadate sites supported on MCM-48. J. Phys. Chem. C 2007, 111, 420–430. [Google Scholar] [CrossRef]
- Boote, B.; Subramanian, H.; Ranjit, K.T. Rapid and facile synthesis of siliceous MCM-48 mesoporous materials. Chem. Commun. 2007, 4543–4545. [Google Scholar] [CrossRef] [PubMed]
- Huo, Q.S.; Leon, R.; Petroff, P.M.; Stucky, G.D. Mesostructure design with gemini surfactants: Supercage formation in a 3-dimensional hexagonal array. Science 1995, 268, 1324–1327. [Google Scholar] [CrossRef] [PubMed]
- Tanev, P.T.; Chibwe, M.; Pinnavaia, T.J. Titanium-containing mesoporous molecular-sieves for catalytic-oxidation of aromatic-compounds. Nature 1994, 368, 321–323. [Google Scholar] [CrossRef] [PubMed]
- Wu, P.; Tatsumi, T.; Komatsu, T.; Yashima, T. Postsynthesis, characterization, and catalytic properties in alkene epoxidation of hydrothermally stable mesoporous Ti-SBA-15. Chem. Mater. 2002, 14, 1657–1664. [Google Scholar] [CrossRef]
- Anand, R.; Hamdy, M.S.; Gkourgkoulas, P.; Maschmeyer, T.; Jansen, J.C.; Hanefeld, U. Liquid phase oxidation of cyclohexane over transition metal incorporated amorphous 3D-mesoporous silicates M-TUD-1 (M = Ti, Fe, Co and Cr). Catal. Today 2006, 117, 279–283. [Google Scholar] [CrossRef]
- Eimer, G.A.; Casuscelli, S.G.; Ghione, G.E.; Crivello, M.E.; Herrero, E.R. Synthesis, characterization and selective oxidation properties of Ti-containing mesoporous catalysts. Appl. Catal. A 2006, 298, 232–242. [Google Scholar] [CrossRef]
- Vinu, A.; Srinivasu, P.; Miyahara, M.; Ariga, K. Preparation and catalytic performances of ultralarge-pore Ti-SBA-15 mesoporous molecular sieves with very high Ti content. J. Phys. Chem. B 2006, 110, 801–806. [Google Scholar] [CrossRef] [PubMed]
- Blasco, T.; Corma, A.; Navarro, M.T.; Pariente, J.P. Synthesis, characterization, and catalytic activity of Ti-MCM-41 structures. J. Catal. 1995, 156, 65–74. [Google Scholar] [CrossRef]
- Koyano, K.A.; Tatsumi, T. Synthesis of titanium-containing mesoporous molecular sieves with a cubic structure. Chem. Commun. 1996, 145–146. [Google Scholar] [CrossRef]
- Chen, L.Y.; Chuah, G.K.; Jaenicke, S. Ti-containing mcm-41 catalysts for liquid phase oxidation of cyclohexene with aqueous H2O2 and tert-butyl hydroperoxide. Catal. Lett. 1998, 50, 107–114. [Google Scholar] [CrossRef]
- Pena, M.L.; Dellarocca, V.; Rey, F.; Corma, A.; Coluccia, S.; Marchese, L. Elucidating the local environment of Ti(iv) active sites in Ti-MCM-48: A comparison between silylated and calcined catalysts. Microporous Mesoporous Mater. 2001, 44, 345–356. [Google Scholar] [CrossRef]
- Ji, D.; Zhao, R.; Lv, G.M.; Qian, G.; Yan, L.; Suo, J.S. Direct synthesis, characterization and catalytic performance of novel Ti-SBA-1 cubic mesoporous molecular sieves. Appl. Catal. A 2005, 281, 39–45. [Google Scholar] [CrossRef]
- Berube, F.; Khadhraoui, A.; Janicke, M.T.; Kleitz, F.; Kaliaguine, S. Optimizing silica synthesis for the preparation of mesoporous Ti-SBA-15 epoxidation catalysts. Ind. Eng. Chem. Res. 2010, 49, 6977–6985. [Google Scholar] [CrossRef]
- Kumar, A.; Srinivas, D. Selective oxidation of cyclic olefins over framework Ti-substituted, three-dimensional, mesoporous Ti-SBA-12 and Ti-SBA-16 molecular sieves. Catal. Today 2012, 198, 59–68. [Google Scholar] [CrossRef]
- Bhaumik, A.; Tatsumi, T. Organically modified titanium-rich Ti-MCM-41, efficient catalysts for epoxidation reactions. J. Catal. 2000, 189, 31–39. [Google Scholar] [CrossRef]
- Kholdeeva, O.A.; Derevyankin, A.Y.; Shmakov, A.N.; Trukhan, N.N.; Paukshtis, E.A.; Tuel, A.; Romannikov, V.N. Alkene and thioether oxidations with H2O2 over Ti-containing mesoporous mesophase catalysts. J. Mol. Catal. A 2000, 158, 417–421. [Google Scholar] [CrossRef]
- Zhang, W.Z.; Pinnavaia, T.J. Transition metal substituted derivatives of cubic MCM-48 mesoporous molecular sieves. Catal. Lett. 1996, 38, 261–265. [Google Scholar] [CrossRef]
- Ahn, W.S.; Lee, D.H.; Kim, T.J.; Kim, J.H.; Seo, G.; Ryoo, R. Post-synthetic preparations of titanium-containing mesopore molecular sieves. Appl. Catal. A 1999, 181, 39–49. [Google Scholar] [CrossRef]
- Kang, K.K.; Ahn, W.S. Physiochemical properties of transition metal-grafted MCM-48 prepared using matallocene precursors. J. Mol. Catal. A 2000, 159, 403–410. [Google Scholar] [CrossRef]
- Guidotti, M.; Gavrilova, E.; Galarneau, A.; Coq, B.; Psaroa, R.; Ravasio, N. Epoxidation of methyl oleate with hydrogen peroxide. The use of Ti-containing silica solids as efficient heterogeneous catalysts. Green Chem. 2011, 13, 1806–1811. [Google Scholar] [CrossRef]
- Tatsumi, T.; Koyano, K.A.; Igarashi, N. Remarkable activity enhancement by trimethylsilylation in oxidation of alkenes and alkanes with H2O2 catalyzed by titanium-containing mesoporous molecular sieves. Chem. Commun. 1998, 325–326. [Google Scholar] [CrossRef]
- Corma, A.; Kan, Q.B.; Rey, F. Synthesis of Si and Ti-Si-MCM-48 mesoporous materials with controlled pore sizes in the absence of polar organic additives and alkali metal ions. Chem. Commun. 1998, 579–580. [Google Scholar] [CrossRef]
- Corma, A.; Serra, J.M.; Serna, P.; Valero, S.; Argente, E.; Botti, V. Optimisation of olefin epoxidation catalysts with the application of high-throughput and genetic algorithms assisted by artificial neural networks (softcomputing techniques). J. Catal. 2005, 229, 513–524. [Google Scholar] [CrossRef]
- Solberg, S.M.; Kumar, D.; Landry, C.C. Synthesis, structure, and reactivity of a new Ti-containing microporous/mesoporous material. J. Phys. Chem. B 2005, 109, 24331–24337. [Google Scholar] [CrossRef] [PubMed]
- Guidotti, M.; Pirovano, C.; Ravasio, N.; Lazaro, B.; Fraile, J.M.; Mayoral, J.A.; Coq, B.; Galarneau, A. The use of H2O2 over titanium-grafted mesoporous silica catalysts: A step further towards sustainable epoxidation. Green Chem. 2009, 11, 1421–1427. [Google Scholar] [CrossRef]
- Widenmeyer, M.; Grasser, S.; Kohler, K.; Anwander, R. TiOx overlayers on MCM-48 silica by consecutive grafting. Microporous Mesoporous Mater. 2001, 44, 327–336. [Google Scholar] [CrossRef]
- Zhao, D.; Budhi, S.; Rodriguez, A.; Koodali, R.T. Rapid and facile synthesis of Ti-MCM-48 mesoporous material and the photocatalytic performance for hydrogen evolution. Int. J. Hydrogen Energy 2010, 35, 5276–5283. [Google Scholar] [CrossRef]
- Kibombo, H.S.; Zhao, D.; Gonshorowski, A.; Budhi, S.; Koppang, M.D.; Koodali, R.T. Cosolvent-induced gelation and the hydrothermal enhancement of the crystallinity of titania-silica mixed oxides for the photocatalytic remediation of organic pollutants. J. Phys. Chem. C 2011, 115, 6126–6135. [Google Scholar] [CrossRef]
- Mahoney, L.; Koodali, R.T. Versatility of evaporation-induced self-assembly (EISA) method for preparation of mesoporous TiO2 for energy and environmental applications. Materials 2014, 7, 2697–2746. [Google Scholar] [CrossRef]
- Bandyopadhyay, M.; Birkner, A.; van den Berg, M.W.E.; Klementiev, K.V.; Schmidt, W.; Grunert, W.; Gies, H. Synthesis and characterization of mesoporous MCM-48 containing TiO2 nanoparticles. Chem. Mater. 2005, 17, 3820–3829. [Google Scholar] [CrossRef]
- Gao, Y.L.; Konovalova, T.A.; Xu, T.; Kispert, L.A. Electron transfer of carotenoids imbedded in MCM-41 and Ti-MCM-41: EPR, ENDOR, and UV-Vis studies. J. Phys. Chem. B 2002, 106, 10808–10815. [Google Scholar] [CrossRef]
- Bal, R.; Chaudhari, K.; Srinivas, D.; Sivasanker, S.; Ratnasamy, P. Redox and catalytic chemistry of Ti in titanosilicate molecular sieves: An EPR investigation. J. Mol. Catal. A 2000, 162, 199–207. [Google Scholar] [CrossRef]
- Chaudhari, K.; Srinivas, D.; Ratnasamy, P. Reactive oxygen species in titanosilicates TS-1 and TiMCM-41: An in situ EPR spectroscopic study. J. Catal. 2001, 203, 25–32. [Google Scholar] [CrossRef]
- Chaudhari, K.; Bal, R.; Srinivas, D.; Chandwadkar, A.J.; Sivasanker, S. Redox behavior and selective oxidation properties of mesoporous titano- and zirconosilicate MCM-41 molecular sieves. Microporous Mesoporous Mater. 2001, 50, 209–218. [Google Scholar] [CrossRef]
- Wu, C.M.; Peng, R.; Dimitrijevic, N.M.; Rajh, T.; Koodali, R.T. Preparation of TiO2-SiO2 aperiodic mesoporous materials with controllable formation of tetrahedrally coordinated Ti4+ ions and their performance for photocatalytic hydrogen production. Int. J. Hydrogen Energy 2014, 39, 127–136. [Google Scholar] [CrossRef]
- Liu, Z.F.; Crumbaugh, G.M.; Davis, R.J. Effect of structure and composition on epoxidation of hexene catalyzed by microporous and mesoporous Ti-Si mixed oxides. J. Catal. 1996, 159, 83–89. [Google Scholar] [CrossRef]
- Tuel, A.; Hubert-Pfalzgraf, L.G. Nanometric monodispersed titanium oxide particles on mesoporous silica: Synthesis, characterization, and catalytic activity in oxidation reactions in the liquid phase. J. Catal. 2003, 217, 343–353. [Google Scholar] [CrossRef]
- Hutter, R.; Mallat, T.; Baiker, A. Titania-silica mixed oxides: II. Catalytic behavior in olefin epoxidation. J. Catal. 1995, 153, 177–189. [Google Scholar] [CrossRef]
- Dellarocca, V.; Marchese, L.; Pena, M.L.; Rey, F.; Corma, A.; Coluccia, S. Surface Properties of Mesoporous Ti-MCM-48 and Their Modifications Produced by Silylation. In Proceedings of Oxide-based Systems at the Crossroads of Chemistry—Second International Workshop, Como, Italy, 8–11 October 2000; Gamba, A., Colella, C., Coluccia, S., Eds.; Elsevier Science B.V.: Amsterdam, The Netherlands, 2001; pp. 209–220. [Google Scholar]
© 2015 by the authors; licensee MDPI, Basel, Switzerland. This article is an open access article distributed under the terms and conditions of the Creative Commons Attribution license (http://creativecommons.org/licenses/by/4.0/).
Share and Cite
Budhi, S.; Wu, C.-M.; Zhao, D.; Koodali, R.T. Investigation of Room Temperature Synthesis of Titanium Dioxide Nanoclusters Dispersed on Cubic MCM-48 Mesoporous Materials. Catalysts 2015, 5, 1603-1621. https://doi.org/10.3390/catal5031603
Budhi S, Wu C-M, Zhao D, Koodali RT. Investigation of Room Temperature Synthesis of Titanium Dioxide Nanoclusters Dispersed on Cubic MCM-48 Mesoporous Materials. Catalysts. 2015; 5(3):1603-1621. https://doi.org/10.3390/catal5031603
Chicago/Turabian StyleBudhi, Sridhar, Chia-Ming Wu, Dan Zhao, and Ranjit T. Koodali. 2015. "Investigation of Room Temperature Synthesis of Titanium Dioxide Nanoclusters Dispersed on Cubic MCM-48 Mesoporous Materials" Catalysts 5, no. 3: 1603-1621. https://doi.org/10.3390/catal5031603
APA StyleBudhi, S., Wu, C.-M., Zhao, D., & Koodali, R. T. (2015). Investigation of Room Temperature Synthesis of Titanium Dioxide Nanoclusters Dispersed on Cubic MCM-48 Mesoporous Materials. Catalysts, 5(3), 1603-1621. https://doi.org/10.3390/catal5031603
