Effect of Ba/Ce Ratio on the Structure and Performance of Pt-Based Catalysts: Correlation Between Physicochemical Properties and NOx Storage–Reduction Activity
Abstract
1. Introduction
2. Results and Discussion
2.1. N2 Physisorption Analysis: BET Surface Area and Pore Structure Characterization
2.2. Phase Structure and Crystallite Size of the Catalyst
2.3. Morphology and Textural Analysis
2.4. Electronic Properties of the Active Metal Species
2.5. Reducibility of Catalyst Components
2.6. Interactions Among Catalyst Components
2.7. NOx Storage Properties of the Catalyst
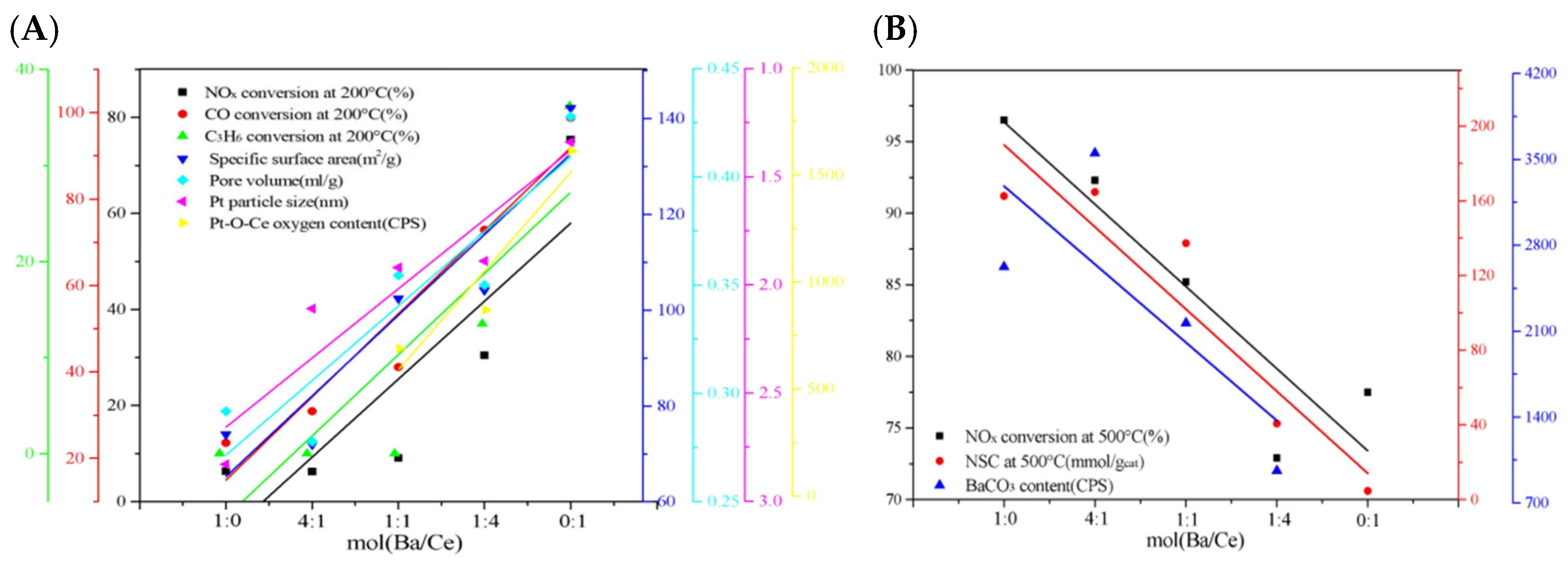
2.8. Three-Way Catalytic Performance and Its Correlation with Catalyst Structure
3. Materials and Methods
3.1. Materials
3.2. Catalyst Preparation
3.3. Characterizations of Catalysts
3.4. Catalytic Performance Evaluation
3.4.1. NOx Storage Capacity (NSC) Evaluation
- NSC: NOx storage capacity;
- : Mass of the catalyst sample (g);
- : Total volumetric flow rate of the gas (L/min);
- : NOx concentration in the blank test (ppm);
- : NOx concentration at the reactor outlet during storage (ppm);
- : Time (min);
- 22.4: Molar volume of an ideal gas at standard temperature and pressure (L/mol);
- : Outlet concentration of NO2 (ppm);
- : Outlet concentration of NO (ppm).
3.4.2. Three-Way Catalytic Performance Under Dynamic Light-Off Conditions
3.4.3. Steady-State Three-Way Catalytic Performance at Constant Temperature
- V: Total volumetric flow rate of the gas (L/min)
- Pollutant concentration without the catalyst (ppm)
- Pollutant concentration at the reactor outlet (ppm)
- t: Time (s or min), integration period here is 190 s
- NH3 or N2O released: Measured by integrating NH3 or N2O signals over rich/lean cycles
- Total mass of N2O: Integrated amount of N2O measured over the test period
- Catalyst mass: Mass of catalyst used (g)
- Number of cycles: Total number of rich/lean switching cycles during the test
4. Conclusions
Author Contributions
Funding
Data Availability Statement
Conflicts of Interest
References
- Huang, C.; Shan, W.; Lian, Z. Catalysis Science & Technology Recent Advances in Three-Way Catalysts of Natural Gas Vehicles. Catal. Sci. Technol. 2020, 10, 6407–6419. [Google Scholar] [CrossRef]
- Yin, X.; Li, S.; Deng, J.; Wang, Y.; Li, M.; Zhao, Y.; Wang, W.; Wang, J.; Chen, Y. Superior Pd–Rh Three-Way Catalyst: Modulating the Surface Composition by Introducing Ceria-Zirconia with Partial κ-Ce2Zr2O8 Structure as Support. Ind. Eng. Chem. Res. 2022, 61, 13011–13020. [Google Scholar] [CrossRef]
- Wang, X.; Huang, C.; Wu, B.; Yang, W.; Zhang, Y.; Xu, Y.; Jiao, Y.; Zhong, L.; Wang, J. A Pt Catalyst with Enhanced Three-Way Catalytic Activity Supported on CeO2 Modified with Al2O3 for Natural Gas Vehicles. Ind. Eng. Chem. Res. 2025, 64, 5854–5863. [Google Scholar] [CrossRef]
- Su, Y.; Kabin, K.S.; Harold, M.P.; Amiridis, M.D. Reactor and in Situ FTIR Studies of Pt/BaO/Al2O3 and Pd/BaO/Al2O3 NOx Storage and Reduction (NSR) Catalysts. Appl. Catal. B Environ. 2007, 71, 207–215. [Google Scholar] [CrossRef]
- Casapu, M.; Grunwaldt, J.-D.; Maciejewski, M.; Krumeich, F.; Baiker, A.; Wittrock, M.; Eckhoff, S. Comparative Study of Structural Properties and NOx Storage-Reduction Behavior of Pt/Ba/CeO2 and Pt/Ba/Al2O3. Appl. Catal. B Environ. 2008, 78, 288–300. [Google Scholar] [CrossRef]
- Lanza, A.; Bounechada, D.; Raphy, S.; Sato, R.; Phillipson, L.; Kolpin, A.; York, A.P.E. The Effect of the Oxygen Storage Material on a Three-Way Catalyst Spatio-Temporally Resolved with Spaci-MS. Catal. Today 2024, 437, 114775. [Google Scholar] [CrossRef]
- Zhang, L.; Spezzati, G.; Muravev, V.; Verheijen, M.A.; Zijlstra, B.; Filot, I.A.W.; Su, Y.-Q.; Chang, M.-W.; Hensen, E.J.M. Improved Pd/CeO2 Catalysts for Low-Temperature NO Reduction: Activation of CeO2 Lattice Oxygen by Fe Doping. ACS Catal. 2021, 11, 5614–5627. [Google Scholar] [CrossRef]
- Zhang, Y.; Yu, Y.; Shan, W.; Lian, Z.; He, H. Effect of Support Preparation with Different Concentration Precipitant on the NOx Storage Performance of Pt/BaO/CeO2 Catalysts. Catal. Today 2020, 339, 135–147. [Google Scholar] [CrossRef]
- Wang, Y.; Zhao, Y.; Zhu, S.; Lu, J.; He, S.; Lu, H.; Song, D.; Luo, Y. Insight into the Effect of CeO2 Morphology on Catalytic Performance for Steam Reforming of Glycerol. Fuel 2023, 334, 126587. [Google Scholar] [CrossRef]
- Kanazawa, T. Development of Hydrocarbon Adsorbents, Oxygen Storage Materials for Three-Way Catalysts and NOx Storage-Reduction Catalyst. Catal. Today 2004, 96, 171–177. [Google Scholar] [CrossRef]
- Castoldi, L.; Nova, I.; Lietti, L.; Forzatti, P. Study of the Effect of Ba Loading for Catalytic Activity of Pt–Ba/Al2O3 Model Catalysts. Catal. Today 2004, 96, 43–52. [Google Scholar] [CrossRef]
- Say, Z.; Vovk, E.I.; Bukhtiyarov, V.I.; Ozensoy, E. Influence of Ceria on the NOx Reduction Performance of NOx Storage Reduction Catalysts. Appl. Catal. B Environ. 2013, 142–143, 89–100. [Google Scholar] [CrossRef]
- Peden, C.H.F.; Kim, D.H.; Chin, Y.; Kwak, J.H. Changes in Ba Phases in BaO/Al2O3 upon Thermal Aging and H2O Treatment. Catal. Lett. 2005, 105, 259–268. [Google Scholar] [CrossRef]
- Zhang, L.; Bao, Q.; Zhang, B.; Zhang, Y.; Wan, S.; Wang, S.; Lin, J.; Xiong, H.; Mei, D.; Wang, Y. Distinct Role of Surface Hydroxyls in Single-Atom Pt1/CeO2 Catalyst for Room-Temperature Formaldehyde Oxidation: Acid–Base Versus Redox. JACS Au 2022, 2, 1651–1660. [Google Scholar] [CrossRef]
- Kim, B.-S.; Kim, P.S.; Bae, J.; Jeong, H.; Kim, C.H.; Lee, H. Synergistic Effect of Cu/CeO(2) and Pt-BaO/CeO(2) Catalysts for a Low-Temperature Lean NO (x) Trap. Environ. Sci. Technol. 2019, 53, 2900–2907. [Google Scholar] [CrossRef]
- Thommes, M.; Kaneko, K.; Neimark, A.V.; Olivier, J.P.; Rodriguez-Reinoso, F.; Rouquerol, J.; Sing, K.S.W. Physisorption of Gases, with Special Reference to the Evaluation of Surface Area and Pore Size Distribution (IUPAC Technical Report). Pure Appl. Chem. 2015, 87, 1051–1069. [Google Scholar] [CrossRef]
- Cychosz, K.A.; Thommes, M. Progress in the Physisorption Characterization of Nanoporous Gas Storage Materials. Engineering 2018, 4, 559–566. [Google Scholar] [CrossRef]
- Chen, X.; Chen, J.; Zhao, Y.; Chen, M.; Wan, H. Effect of Dispersion on Catalytic Performance of Supported Pt Catalysts for CO Oxidation. Chinese J. Catal. 2012, 33, 1901–1905. [Google Scholar] [CrossRef]
- Shen, M.; Lv, L.; Wang, J.; Zhu, J.; Huang, Y.; Wang, J. Study of Pt Dispersion on Ce Based Supports and the Influence on the CO Oxidation Reaction. Chem. Eng. J. 2014, 255, 40–48. [Google Scholar] [CrossRef]
- Swartz, S.L. Catalysis by Ceria and Related Materials Edited by Alessandro Trovarelli (Università di Udine, Italy). Catalytic Science Series. Volume 2. Series Edited by Graham J. Hutchings. Imperial College Press: London. 2002. vviii + 508 pp. $78.00. ISBN: 1-86094-299-7. J. Am. Chem. Soc. 2002, 124, 12923–12924. [Google Scholar] [CrossRef]
- Zhang, T.; Zheng, T.; Yang, K.; Dai, X.; Guo, L.; Yang, D.; Chang, S.; Wang, C.; Zhao, Y. Improving the Catalytic Activity and Thermal Stability of Pt-Supported Catalyst via Modulating Ce/Zr Molar Ratio. Appl. Surf. Sci. 2024, 670, 160689. [Google Scholar] [CrossRef]
- Aneggi, E.; Boaro, M.; Colussi, S.; de Leitenburg, C.; Trovarelli, A. Chapter 289—Ceria-Based Materials in Catalysis: Historical Perspective and Future Trends. In Including Actinides; Bünzli, J.-C.G., Pecharsky, V.K., Eds.; Handbook on the Physics and Chemistry of Rare Earths; Elsevier: Amsterdam, The Netherlands, 2016; Volume 50, pp. 209–242. [Google Scholar] [CrossRef]
- Feng, J.; Gao, C.; Yin, Y. Stabilization of noble metal nanostructures for catalysis and sensing. Nanoscale 2018, 10, 20492–20504. [Google Scholar] [CrossRef] [PubMed]
- Wang, Q.; Ling, W.; Lu, Y.; Zhao, H.; Cheng, Q.; Huang, Y. Synergistic Stabilization of Pt Single Atoms by Cl and Ru for Industrial-Scale Current Density Hydrogen Production. Angew. Chem. Int. Ed. Engl. 2025, 64, 202506619. [Google Scholar] [CrossRef] [PubMed]
- Liu, W.; Flytzanistephanopoulos, M. Total Oxidation of Carbon Monoxide and Methane over Transition Metal Fluorite Oxide Composite Catalysts: I. Catalyst Composition and Activity. J. Catal. 1995, 153, 304–316. [Google Scholar] [CrossRef]
- Wu, Z.; Li, M.; Overbury, S.H. On the Structure Dependence of CO Oxidation over CeO2 Nanocrystals with Well-Defined Surface Planes. J. Catal. 2012, 285, 61–73. [Google Scholar] [CrossRef]
- Castro-Latorre, P.; Neyman, K.M.; Bruix, A. Systematic Characterization of Electronic Metal—Support Interactions in Ceria-Supported Pt Particles. J. Phys. Chem. C 2023, 127, 17700–17710. [Google Scholar] [CrossRef]
- Slavinskaya, E.M.; Stadnichenko, A.I.; Domínguez, J.E.Q.; Stonkus, O.A.; Vorokhta, M.; Šmíd, B.; Castro-Latorre, P.; Bruix, A.; Neyman, K.M.; Boronin, A.I. States of Pt/CeO2 Catalysts for CO Oxidation below Room Temperature. J. Catal. 2023, 421, 285–299. [Google Scholar] [CrossRef]
- Aneggi, E.; Wiater, D.; de Leitenburg, C.; Llorca, J.; Trovarelli, A. Shape-Dependent Activity of Ceria in Soot Combustion. ACS Catal. 2014, 4, 172–181. [Google Scholar] [CrossRef]
- Jan, A.; Shin, J.; Ahn, J.; Yang, S.; Yoon, J.; Son, J.; Kim, H.; Lee, J.; Ji, H. Promotion of Pt/CeO2 Catalyst by Hydrogen Treatment for Low-Temperature CO Oxidation. RSC Adv. 2019, 9, 27002–27012. [Google Scholar] [CrossRef]
- Ferré, G.; Aouine, M.; Bosselet, F.; Burel, L.; Aires, F.J.C.S.; Geantet, C.; Ntais, S.; Maurer, F.; Casapu, M.; Grunwaldt, J.; et al. Catalysis Science & Technology for Low-Temperature CO Oxidation. Catal. Sci. Technol. 2020, 10, 3904–3917. [Google Scholar] [CrossRef]
- Stadnichenko, A.I.; Slavinskaya, E.M.; Stonkus, O.A.; Boronin, A.I. Low-Temperature CO Oxidation by the Pt/CeO2 Based Catalysts. ChemCatChem 2024, 16, e202301727. [Google Scholar] [CrossRef]
- Vincent, J.L.; Crozier, P.A. CeO2 -Supported Pt Catalysts for CO Oxidation. Nat. Commun. 2021, 12, 5789. [Google Scholar] [CrossRef] [PubMed]
- Wang, Z.; Wang, Y.; Subramanian, M.A.; Jiang, P. Structure and Functional Properties of Oxides in the BaO–Al2O3 System: Phosphors, Pigments and Catalysts. Prog. Solid State Chem. 2022, 68, 100379. [Google Scholar] [CrossRef]
- Wang, T.; Jia, L.-W.; Wang, X.-T.; Wang, G.; Luo, F.-Q.; Wang, J.-M. Enhancing Low-Temperature NOx Storage and Reduction Performance of a Pt-Based Lean NOx Trap Catalyst. Rare Met. 2019, 38, 81–86. [Google Scholar] [CrossRef]
- Clayton, R.D.; Harold, M.P.; Balakotaiah, V.; Wan, C.Z. Pt Dispersion Effects during NOx Storage and Reduction on Pt/BaO/Al2O3 Catalysts. Appl. Catal. B Environ. 2009, 90, 662–676. [Google Scholar] [CrossRef]
- Seo, C.-K.; Kim, H.; Choi, B.; Lim, M.T.; Lee, C.-H.; Lee, C.-B. De-NOx Characteristics of a Combined System of LNT and SCR Catalysts According to Hydrothermal Aging and Sulfur Poisoning. Catal. Today 2011, 164, 507–514. [Google Scholar] [CrossRef]
- Liu, Z.; Epling, W.S.; Anderson, J.A. Influence of Pt Loading in Aged NOx Storage and Reduction Catalysts. J. Phys. Chem. C 2011, 115, 952–960. [Google Scholar] [CrossRef]
- Shi, C.; Ji, Y.; Graham, U.M.; Jacobs, G.; Crocker, M.; Zhang, Z.; Wang, Y.; Toops, T.J. NOx Storage and Reduction Properties of Model Ceria-Based Lean NOx Trap Catalysts. Appl. Catal. B Environ. 2012, 119–120, 183–196. [Google Scholar] [CrossRef]
- Symalla, M.O.; Drochner, A.; Vogel, H.; Büchel, R.; Pratsinis, S.E.; Baiker, A. Structure and NOx Storage Behaviour of Flame-Made BaCO3 and Pt/BaCO3 Nanoparticles. Appl. Catal. B Environ. 2009, 89, 41–48. [Google Scholar] [CrossRef]
- Mulla, S.S.; Chen, N.; Cumaranatunge, L.; Blau, G.E.; Zemlyanov, D.Y.; Delgass, W.N.; Epling, W.S.; Ribeiro, F.H. Reaction of NO and O2 to NO2 on Pt: Kinetics and Catalyst Deactivation. J. Catal. 2006, 241, 389–399. [Google Scholar] [CrossRef]
- Hilaire, S.; Wang, X.; Luo, T.; Gorte, R.J.; Wagner, J. A Comparative Study of Water-Gas-Shift Reaction over Ceria Supported Metallic Catalysts. Appl. Catal. A Gen. 2001, 215, 271–278. [Google Scholar] [CrossRef]
- Panagiotopoulou, P.; Kondarides, D.I. Effect of the Nature of the Support on the Catalytic Performance of Noble Metal Catalysts for the Water–Gas Shift Reaction. Catal. Today 2006, 112, 49–52. [Google Scholar] [CrossRef]
- Wang, C.; Feng, F.; Du, J.; Zheng, T.; Pan, Z.; Zhao, Y. Activation of Surface Lattice Oxygen in Ceria Supported Pt/Al2O3 Catalyst for Low-Temperature Propane Oxidation. ChemCatChem 2019, 11, 2021. [Google Scholar] [CrossRef]
- Chen, D.; He, D.; Lu, J.; Zhong, L.; Liu, F.; Liu, J.; Yu, J.; Wan, G.; He, S.; Luo, Y. Investigation of the Role of Surface Lattice Oxygen and Bulk Lattice Oxygen Migration of Cerium-Based Oxygen Carriers: XPS and Designed H2-TPR Characterization. Appl. Catal. B Environ. 2017, 218, 249–259. [Google Scholar] [CrossRef]
- Zhou, Z.; Harold, M.P.; Luss, D. Comparison of Pt-BaO/Al2O3 and Pt-CeO2/Al2O3 for NOx Storage and Reduction: Impact of Cycling Frequency. Appl. Catal. B Environ. 2019, 255, 117742. [Google Scholar] [CrossRef]










| Sample | Specific Surface Area (m2/g) | Pore Volume (mL/g) | Average Pore Diameter (nm) |
|---|---|---|---|
| La2O3–Al2O3 | 143 | 0.36 | 7.2 |
| CeO2 | 141 | 0.29 | 7.6 |
| B-PA | 74 | 0.29 | 6.9 |
| 4B1C-PA | 72 | 0.28 | 6.6 |
| BC-PA | 102 | 0.35 | 6.3 |
| 1B4C-PA | 104 | 0.35 | 6.4 |
| C-PA | 142 | 0.43 | 5.8 |
| A-B-PA | 58 | 0.28 | 7.0 |
| A-4B1C-PA | 76 | 0.32 | 6.7 |
| A-BC-PA | 87 | 0.35 | 6.4 |
| A-1B4C-PA | 99 | 0.42 | 6.7 |
| A-C-PA | 90 | 0.41 | 6.8 |
| Sample | CeO2 Crystallite Size (nm) | BaCO3 Crystallite Size (nm) | Pt Crystallite Size (nm) | Pt Particle Size (nm) | Pt Dispersion (%) | Pt Loading (wt.%) |
|---|---|---|---|---|---|---|
| B-PA | – | 31.5 | – | 2.83 | 29.90 | 0.90 |
| 4B1C-PA | 19.2 | 30.0 | – | 2.11 | 40.18 | 1.01 |
| BC-PA | 18.1 | 29.6 | – | 1.92 | 44.01 | 1.04 |
| 1B4C-PA | 10.8 | 23.2 | – | 1.89 | 45.46 | 1.03 |
| C-PA | 11.7 | – | – | 1.34 | 63.25 | 1.00 |
| A-B-PA | – | 28.1 | 16.0 | 11.53 | 7.35 | 0.89 |
| A-4B1C-PA | 16.0 | 27.9 | 14.9 | 10.83 | 7.79 | 0.94 |
| A-BC-PA | 17.8 | 37.6 | 20.3 | 19.61 | 6.97 | 0.88 |
| A-1B4C-PA | 17.9 | 24.1 | 32.85 | 32.85 | 2.58 | 0.87 |
| A-C-PA | 23.4 | – | 48.8 | 44.60 | 1.90 | 0.94 |
| Sample | Low-Temperature Reduction Peak Temperature (°C) | Low-Temperature Reduction Peak Area (CPS) | High-Temperature Reduction Peak Temperature (°C) | High-Temperature Reduction Peak Area (CPS) |
|---|---|---|---|---|
| B-PA | - | - | 539 | 2624.14 |
| 4B1C-PA | - | - | 531 | 3550.72 |
| BC-PA | 240 | 688.85 | 520 | 2167.84 |
| 1B4C-PA | 211 | 868.9 | 485 | 962.6 |
| C-PA | 233 | 1611.16 | - | - |
| Sample | 200 °C | 300 °C | 400 °C | 500 °C | ||||
|---|---|---|---|---|---|---|---|---|
| NSC | NO2/NO | NSC | NO2/NO | NSC | NO2/NO | NSC | NO2/NO | |
| mmol/gcat | mmol/gcat | (mmol/gcat) | mmol/gcat | |||||
| B-PA | 148.59 | 0.90 | 239.35 | 4.73 | 280.21 | 21.90 | 162.50 | 11.21 |
| 4B1C-PA | 199.83 | 3.00 | 317.81 | 10.94 | 328.30 | 29.70 | 164.68 | 11.13 |
| BC-PA | 228.85 | 5.50 | 361.27 | 30.20 | 278.92 | 34.94 | 137.32 | 11.50 |
| 1B4C-PA | 165.96 | 15.13 | 216.81 | 89.90 | 109.28 | 37.71 | 40.74 | 11.31 |
| C-PA | 131.31 | 18.91 | 123.13 | 13.42 | 28.42 | 38.50 | 4.60 | 11.50 |
| A-B-PA | 64.73 | 11.93 | 36.31 | 23.83 | 32.69 | 28.95 | 16.42 | 11.30 |
| A-4B1C-PA | 91.28 | 10.95 | 73.51 | 34.80 | 68.86 | 33.11 | 41.34 | 11.62 |
| A-BC-PA | 82.42 | 12.91 | 47.20 | 34.91 | 43.58 | 34.62 | 23.01 | 11.81 |
| A-1B4C-PA | 81.94 | 15.46 | 40.43 | 56.49 | 28.13 | 35.75 | 7.92 | 11.50 |
| A-C-PA | 51.61 | 20.81 | 26.67 | 74.92 | 6.80 | 37.21 | 11.61 | 11.62 |
| Sample | Average NOx Conversion (%) | Average CO Conversion (%) | Average C3H6 Conversion (%) | Average NH3 Released (µmol gcat−1 cycle−1) | Average N2O Released (µmol gcat−1 cycle−1) |
|---|---|---|---|---|---|
| B-PA | 6.3 | 23.6 | 0.0 | 0.5 | 0.3 |
| 4B1C-PA | 6.2 | 30.9 | 0.0 | 0.5 | 0.3 |
| BC-PA | 9.1 | 41.1 | 0.0 | 0.4 | 0.3 |
| 1B4C-PA | 30.5 | 72.9 | 13.5 | 0.7 | 1.7 |
| C-PA | 75.4 | 98.8 | 36.2 | 1.5 | 7.4 |
| A-B-PA | −0.8 | −0.9 | 0.0 | 0.1 | 0.0 |
| A-4B1C-PA | −2.1 | 0.2 | 0.0 | 0.1 | 0.0 |
| A-BC-PA | −1.6 | 6.4 | 0.0 | 0.1 | 0.1 |
| A-1B4C-PA | −3.6 | 23.1 | 0.0 | 0.7 | 0.1 |
| A-C-PA | 11.0 | 69.9 | 4.0 | 2.9 | 0.7 |
| Sample | Average NOx Conversion (%) | Average CO Conversion (%) | Average C3H6 Conversion (%) | Average NH3 Released (µmol gcat−1 cycle−1) | Average N2O Released (µmol gcat−1 cycle−1) |
|---|---|---|---|---|---|
| B-PA | 96.5 | 59.5 | 100 | 7.9 | 0.0 |
| 4B1C-PA | 92.3 | 52.3 | 100 | 8.0 | 0.0 |
| BC-PA | 85.2 | 64.5 | 100 | 6.8 | 0.0 |
| 1B4C-PA | 72.9 | 60.9 | 100 | 4.8 | 0.0 |
| C-PA | 77.5 | 70.6 | 100 | 5.6 | 0.0 |
| A-B-PA | 66.4 | 65.9 | 69.4 | 7.3 | 0.0 |
| A-4B1C-PA | 66.6 | 56.0 | 91.9 | 9.0 | 0.0 |
| A-BC-PA | 59.8 | 49.5 | 100 | 11.1 | 0.0 |
| A-1B4C-PA | 57.6 | 57.2 | 100 | 10.9 | 0.0 |
| A-C-PA | 67.8 | 60.1 | 100 | 8.3 | 0.0 |
| Gas Composition | NO (ppm) | CO (ppm) | C3H6 (ppm) | CO2 (%) | O2 (%) | H2O (%) | N2 | GHSV (h−1) |
|---|---|---|---|---|---|---|---|---|
| Lean | 500 | 2500 | 1000 | 8 | 0.15 | 10 | Balance gas | 30,000 |
| Rich | 500 | 2500 | 1000 | 8 | 0.94 | 10 | Balance gas | 30,000 |
Disclaimer/Publisher’s Note: The statements, opinions and data contained in all publications are solely those of the individual author(s) and contributor(s) and not of MDPI and/or the editor(s). MDPI and/or the editor(s) disclaim responsibility for any injury to people or property resulting from any ideas, methods, instructions or products referred to in the content. |
© 2025 by the authors. Licensee MDPI, Basel, Switzerland. This article is an open access article distributed under the terms and conditions of the Creative Commons Attribution (CC BY) license.
Share and Cite
Yang, D.; Sun, Y.; Zheng, T.; Guo, L.; Huang, Y.; Du, J.; Wang, X.; Ning, P. Effect of Ba/Ce Ratio on the Structure and Performance of Pt-Based Catalysts: Correlation Between Physicochemical Properties and NOx Storage–Reduction Activity. Catalysts 2026, 16, 21. https://doi.org/10.3390/catal16010021
Yang D, Sun Y, Zheng T, Guo L, Huang Y, Du J, Wang X, Ning P. Effect of Ba/Ce Ratio on the Structure and Performance of Pt-Based Catalysts: Correlation Between Physicochemical Properties and NOx Storage–Reduction Activity. Catalysts. 2026; 16(1):21. https://doi.org/10.3390/catal16010021
Chicago/Turabian StyleYang, Dongxia, Yanxing Sun, Tingting Zheng, Lv Guo, Yao Huang, Junchen Du, Xinyue Wang, and Ping Ning. 2026. "Effect of Ba/Ce Ratio on the Structure and Performance of Pt-Based Catalysts: Correlation Between Physicochemical Properties and NOx Storage–Reduction Activity" Catalysts 16, no. 1: 21. https://doi.org/10.3390/catal16010021
APA StyleYang, D., Sun, Y., Zheng, T., Guo, L., Huang, Y., Du, J., Wang, X., & Ning, P. (2026). Effect of Ba/Ce Ratio on the Structure and Performance of Pt-Based Catalysts: Correlation Between Physicochemical Properties and NOx Storage–Reduction Activity. Catalysts, 16(1), 21. https://doi.org/10.3390/catal16010021

