Abstract
Over efficient photocatalysts, CO2 photoreduction typically converts CO2 into low-carbon chemicals, which serve as raw materials for downstream synthesis processes. Here, an efficient composite photocatalyst heterojunction (Cu2O-u/g-C3N4) has been fabricated to reduce CO2. Graphitic carbon nitride (g-C3N4) was synthesized via thermal polymerization of urea at 550 °C, while pre-dispersed Cu2O derived from urea pyrolysis (Cu2O-u) was prepared by thermal reduction of urea and CuCl2·2H2O at 180 °C. The heterojunction Cu2O-u/g-C3N4 was subsequently constructed through hydrothermal treatment at 180 °C. This heterojunction exhibited a bandgap of 2.10 eV, with dual optical absorption edges at 485 nm and above 800 nm, enabling efficient harvesting of solar light. Under 175 W mercury lamp irradiation, the heterojunction catalyzed liquid-phase CO2 photoreduction to formic acid, acetic acid, and methanol. Its formic acid production activity surpassed that of pristine g-C3N4 by 3.14-fold and TiO2 by 8.72-fold. Reaction media, hole scavengers, and reaction duration modulated product selectivity. In acetonitrile/isopropanol systems, formic acid and acetic acid production reached 579.4 and 582.8 μmol·h−1·gcat−1. Conversely, in water/triethanolamine systems, methanol production reached 3061.6 μmol·h−1·gcat−1, with 94.79% of the initial conversion retained after three cycles. Finally, this work ends with the conclusions of the CO2 photocatalytic reduction to formic acid, acetic acid, and methanol, and recommends prospects for future research.
1. Introduction
Carbon dioxide (CO2) is a type of carbon oxide and one of the gases that generate the greenhouse effect. It is primarily generated through human activities, particularly the burning of fossil fuels for energy in transportation and industrial production [,]. The goal is to reduce CO2 emissions by 45% by 2030 and achieve net zero by 2050, limiting global warming to 1.5 °C, as established at the Glasgow Climate Change Conference 2021 []. Efficient strategies must be developed to reduce CO2 emissions and increase CO2 utilization. Consequently, research into the capture and utilization of CO2 has grown exponentially in recent years. In particular, the transformation of CO2 into chemicals or fuels presents a highly attractive and challenging concept, where CO2 can be treated as a low-cost, abundant carbon source for carbon-based materials [,,].
However, the stable molecule (ΔGf0 = −394.228 kJ/mol) and stable valence state of CO2 hinder its transformation into other chemicals [,]. It is hard to reduce CO2 to give CO2•− directly due to its highly negative formal reduction potential (−1.90 V vs. NHE) []. Therefore, proton-assisted electron transfer has been adopted to enable multi-electron reduction of CO2. This pathway yields various carbon-based products (e.g., CO, HCOOH, HCHO, CH3OH, C2H4, or CH4), with reduction potentials ranging from −0.24 to −0.61 V vs. NHE [,]. Overcoming the kinetic barriers imposed by the high stability of CO2 requires substantial energy input and efficient catalysts []. Promising catalytic strategies for CO2 conversion into other chemicals include photocatalysis [,], electrocatalysis [,], photoelectric catalysis [,], and photo-enzymatic catalysis [,]. Compared to electrocatalysis and photoelectric catalysis, photocatalysis is particularly attractive as it directly utilizes solar energy, which is treated as a green, renewable, and abundant resource []. CO2 photoreduction (CPR) mimics natural photosynthesis by utilizing light energy with photocatalysts to drive the CO2 reduction reaction []. CPR offers a green, safe, and environmentally benign approach for CO2 conversion []. An ideal CPR catalyst should possess the following advantages: (1) narrow band gap, (2) high charge separation and migration efficiency, (3) conduction band position lower than the CO2 reduction potential, abundant catalytic active sites, (4) efficient substrate adsorption and product desorption capabilities, (5) excellent light-harvesting capacity, (6) structural integrity maintenance during CPR processes, and (7) being cost-effective and readily available [,,].
Many different catalysts and their composites have been used in CO2 photoreduction, including metal oxides [,], metal–organic frameworks [,,], molecular catalysts [,], hybrid semiconductors [], and photo-biocatalysts (enzyme-based photocatalysts, which are more selective but less stable under photoreduction conditions) [,,]. Among these, n-type graphitic carbon nitride (g-C3N4) is a fascinating conjugated polymer and has been widely used as a metal-free and light-responsive photocatalyst in CO2 photoreduction [,]. The presence of sp2-hybridized carbon atoms in the layered g-C3N4 semiconductor forms a π conjugate electron structure, which enables the effective separation of the photogenerated carriers and possesses a more negative potential than that required for the reduction of CO2 to C1 or C2 chemicals [,,]. Moreover, g-C3N4 may be one of the ideal composite hosts for metal catalysts to suppress fast recombination of the photogenerated electron–hole pairs during photocatalysis due to low-cost and simple synthesis, a suitable electronic band structure (2.7–2.8 V vs. NHE), and stable properties [,,]. Thus, g-C3N4 has a wide range of applications in the photocatalytic degradation of organic pollutants, reduction of CO2, and hydrogen production [,,]. Meanwhile, cuprous oxide (Cu2O), as a well-known p-type semiconductor, exhibits low toxicity, good environmental acceptability, and low cost []. Cu2O also possesses a narrow band gap (2.0–2.4 V vs. NHE), which is advantageous for CO2 photoreduction [,,]. Therefore, coupling Cu2O with g-C3N4 has been widely applied in CO2 photoreduction [,]. Cu2O and g-C3N4, characterized by their narrow band gaps and low conduction band positions, exhibit superior CPR potential compared to P25 (TiO2) [,,]. Furthermore, compared to expensive photocatalysts such as bismuth-based materials, Cu2O and g-C3N4 offer significantly lower acquisition costs and greater scalability [,]. By constructing a heterojunction catalyst by loading Cu2O onto 2D-layered g-C3N4 with a high specific surface area, Cu2O nanoparticles can be effectively dispersed, expanding the catalytic surface area and enhancing efficiency [,]. This configuration further reduces the band gap and improves photocatalytic activity [].
Additionally, CPR reaction media, reaction duration, and hole scavengers critically modulate CPR activity by altering reaction pathways [,]. As essential components in liquid-phase CPR, hole scavengers consume photogenerated electrons and holes, thereby reducing the bandgap recombination rate of photocatalysts and extending their functional lifetime []. Common scavengers such as triethanolamine and isopropanol are widely employed [,,]. However, different hole scavengers exhibit varying redox capabilities []. The selection of an appropriate scavenger can promote specific reduction reactions and enhance product selectivity []. The reaction medium represents another crucial factor in liquid-phase CPR []. CO2 solubility in the medium governs its utilization efficiency, whereas the medium properties directly affect light absorption, electron transfer, and reaction kinetics []. In aqueous solutions, water molecules may undergo oxidation to consume photogenerated carriers, consequently compromising product selectivity. Conversely, for organic solvents, factors such as polarity and chemical properties significantly impact CPR performance, thereby modulating product selectivity []. Collective optimization of these parameters allows for precise manipulation of both product selectivity and reaction kinetics [,].
In this study, g-C3N4 was synthesized via urea thermal polymerization, while Cu2O-u (urea-pyrolyzed mixture pre-dispersed Cu2O) was prepared through thermal reduction using urea and CuCl2·2H2O. A narrow-bandgap Cu2O-u/g-C3N4 heterojunction photocatalyst was subsequently assembled via the hydrothermal method. The effects of CPR reaction medium, hole scavengers, and reaction time on product selectivity and reaction rates were systematically investigated. The use of Cu2O-u/g-C3N4 for CPR enabled the synthesis of formic acid, acetic acid, and methanol, laying the foundation for further research.
2. Results and Discussion
The preparation of Cu2O-u/g-C3N4 proceeded in three stages. (1) Graphitic carbon nitride (g-C3N4) was synthesized via thermal polymerization of urea [,]. The thermal decomposition products of urea vary with temperatures: when heated to ≥133 °C, urea decomposes into ammonia and cyanic acid (HOCN); as the temperature increases further (150–200 °C), it yields intermediates such as biuret and triuret; upon further heating (160–250 °C), it synthesizes intermediates including cyanuric acid and cyanuric acid amide; when the temperature rises to 200–350 °C, it generates intermediates such as melamine, melem, and melam; finally, at 550 °C, g-C3N4 with a heptazine ring structure is obtained from melam polymer [,], thereby completing the thermal polymerization reaction for g-C3N4 synthesis. (2) Cu2O nanoparticles were prepared by thermally reducing CuCl2·2H2O with urea as a reductant, while concurrently using the urea pyrolysis products at 180 °C as a carrier to disperse the Cu2O nanoparticles and prevent aggregation [,]. In this stage, Cu2+ from CuCl2·2H2O is reduced by urea on the surface of urea crystals (which serve as both reductant and carrier precursor), forming Cu2O nanoparticles. Simultaneously, the urea crystals (acting as the carrier) undergo pyrolysis at 180 °C, yielding a mixture containing biuret and cyanuric acid, which thereby supports and disperses the Cu2O nanoparticles []. The resulting composite is denoted as Cu2O-u. (3) Cu2O-u was loaded onto the g-C3N4 carrier using a hydrothermal method with Cu2O-u and g-C3N4 as precursors, thereby assembling the Cu2O-u/g-C3N4 heterojunction. This process further disperses the Cu2O nanoparticles and increases the accessible catalytic surface area of the heterojunction.
2.1. Characterization results of Cu2O-u/g-C3N4
Here, Cu2O-u based on 16% (w/v) CuCl2·2H2O and Cu2O-u/g-C3N4 based on 8% (w/v) previous Cu2O-u were selected as the representative to analyze the differences in structures between Cu2O-u, g-C3N4, and Cu2O-u/g-C3N4.
The crystal structures and compositions of the Cu2O-u, g-C3N4, and Cu2O-u/g-C3N4 were investigated by XRD (Figure 1a). The two characteristic diffraction peaks of g-C3N4 appear at (100) (2θ = 13.1°, d = 0.675 nm) and (002) (2θ = 27.4°, d = 0.325 nm) []. The peak at 13.1° is attributed to the in-plane structural packing of the aromatic system (s-triazine rings), while the peak at 27.4° corresponds to the interlayer stacking of the two-dimensional layered structure. These results indicate that the synthesized g-C3N4 possesses a planar layered structure []. The XRD spectrum of Cu2O-u/g-C3N4 exhibits enhanced characteristic peaks at the same positions for (100) and (002) positions with slight shifts induced by Cu2O-u doping, confirming g-C3N4 as the primary matrix []. Five weaker characteristic diffraction peaks assignable to Cu2O ((110) (2θ = 29.7°), (111) (2θ = 36.1°), (200) (2θ = 41.9°), (220) (2θ = 61.5°), and (311) (2θ = 72.7°)) are observed in the XRD spectra of both Cu2O-u and Cu2O-u/g-C3N4 [,]. This suggests that Cu2O is incorporated into Cu2O-u/g-C3N4 as a minor component. In addition to Cu2O peaks, the XRD pattern of Cu2O-u shows prominent diffraction peaks at 2θ = 13.5°, 17.5°, 19.3°, 20.8°, and 28.6°. This indicates that Cu2O-u, synthesized via thermal reduction of urea decomposition products, is a mixture []. The mixture contains contributions from both in-plane stacking of s-triazine rings in cyanuric acid (2θ = 13.5°) and planar stacking features of biuret or cyanuric acid (2θ = 28.6°). During the preparation of Cu2O-u/g-C3N4, partial exfoliation of the urea pyrolysis products within Cu2O-u occurred under hydrothermal conditions []. Consequently, only a residual cyanuric acid peak (2θ = 12.5°) appears in the XRD pattern of Cu2O-u/g-C3N4, attributed to thermal dissolution and subsequent precipitation during cooling []. However, new diffraction peaks emerge at 2θ = 6.3° and 10.9° in the XRD pattern of Cu2O-u/g-C3N4, distinct from those of g-C3N4 and Cu2O-u. These peaks likely originate from condensation reactions among cyanuric acid, biuret, and isopropanol during hydrothermal treatment, forming compounds with enlarged interplanar spacings []. Additionally, minor peaks near 2θ = 29.7° are observed in the XRD patterns of both Cu2O-u and Cu2O-u/g-C3N4. We speculate that these minor peaks may arise from: (1) incomplete reactions between cyanuric acid, biuret, and isopropanol (peaks < 29.7°), (2) residual unreacted/oxidized copper ions, and (3) mixed-valent copper impurities from urea doping (peaks > 29.7°).

Figure 1.
(a) XRD pattern of Cu2O-u, g-C3N4, and Cu2O-u/g-C3N4; (b) XPS survey spectra of Cu2O-u, g-C3N4, and Cu2O-u/g-C3N4 (binding energies were calibrated by C 1s peak at 284.6 eV); (c) FTIR spectra of Cu2O-u, g-C3N4, and Cu2O-u/g-C3N4.
The XPS survey spectra are shown in Figure 1b. Differences in the C 1s peaks were observed between g-C3N4 (synthesized at 550 °C, peak at 284.86 eV) and Cu2O-u (synthesized at 180 °C, peak at 285.01 eV), attributed to variations in product composition and morphology due to different heat treatment temperatures (and consequently differences in electron cloud density) [,]. The shift of the C 1s peak to higher binding energy in Cu2O-u indicates a higher electron binding energy for carbon, signifying its presence in a higher oxidation state within the urea pyrolysis mixture []. Under the influence of g-C3N4, the C 1s peak of Cu2O-u/g-C3N4 at 284.93 eV lies between those of g-C3N4 and Cu2O-u []. However, the N 1s peak of g-C3N4 (395.92 eV) occurs at a higher binding energy than that of Cu2O-u (395.79 eV), indicating that the fully thermally polymerized nitrogen in g-C3N4 possesses a higher oxidation state and greater chemical reactivity compared to nitrogen in the urea pyrolysis mixture []. In contrast to the C 1s trend, the N 1s peak of Cu2O-u/g-C3N4 (396.03 eV) is at a higher binding energy than those of both g-C3N4 and Cu2O-u, suggesting a decrease in the chemical reactivity of the nitrogen element after heterojunction formation []. The trends in the binding energies of the C and N elements in g-C3N4, Cu2O-u, and Cu2O-u/g-C3N4 imply significant bonding interactions between C and N []. Due to residual molecular oxygen, the O 1s peak of g-C3N4 (529.71 eV) occurs at a higher binding energy than those of Cu2O-u (527.79 eV) and Cu2O-u/g-C3N4 (528.88 eV) []. In Cu2O-u, the Cu element exerts a strong binding effect on the O element, resulting in a lower oxidation state and reduced reactivity of the oxygen. However, upon doping with g-C3N4 to form the Cu2O-u/g-C3N4 heterojunction, the reactivity of the oxygen element increases []. The Cu 2p3/2 peak of Cu2O-u (930.40 eV) is at a higher binding energy than that of Cu2O-u/g-C3N4 (929.53 eV), indicating that the Cu element in Cu2O-u is in a more reactive state and binds oxygen more strongly. In contrast, the Cu element in Cu2O-u/g-C3N4 exhibits weaker binding to oxygen, and the oxygen element is more reactive (possibly influenced by molecular oxygen). Furthermore, the N/C atomic ratios for g-C3N4, Cu2O-u, and Cu2O-u/g-C3N4 are 1.06, 0.83, and 1.12, respectively [,]. This indicates a difference between the urea pyrolysis mixtures in Cu2O-u and g-C3N4, with the mixture in Cu2O-u containing more carbon. After heterojunction formation, some carbon from the urea pyrolysis mixture is removed, reducing the carbon content in Cu2O-u/g-C3N4.
The FT-IR spectra of Cu2O-u, g-C3N4, and Cu2O-u/g-C3N4 are shown in Figure 2c. The g-C3N4 exhibits three characteristic peaks: the peak at 3186.6 cm−1 corresponds to secondary and primary amines along with their intermolecular hydrogen bonding []; the peak in the 1200−1–700 cm−1 range represents the stretching vibration of triazine rings []; and the peak at 809.6 cm−1 arises from the bending vibration of S-triazine rings [,]. In the FT-IR spectrum of Cu2O-u, a weak absorption peak at 616 cm−1 is attributed to the Cu(I)-O vibration, indicating the presence of a minor proportion of Cu2O in Cu2O-u. Characteristic peaks of urea pyrolysis byproducts such as biuret and cyanuric acid are observed in the 450–800 cm−1 region [], while triazine ring stretching vibrations appear at 1200−1–700 cm−1 []. Additional peaks include the C=O of amides at 1738.1 cm−1 [], O-H bonds of cyanuric acid at 2809.9 cm−1 [], C-H bonds on triazine rings at 3018.19 cm−1 [], and N-H bonds of various primary amines at 3186.19, 3434.0, and 3346.5 cm−1 [,]. These structural features confirm that the urea pyrolysis mixture within Cu2O-u forms a complex composite system, which collectively facilitates the dispersion and loading of Cu2O. After hydrothermal treatment, Cu2O-u/g-C3N4 retains the characteristic peaks of g-C3N4. The weak Cu(I)-O absorption peak shifts to 608.3 cm−1, and weakened peaks from urea pyrolysis byproducts are also detected. These observations suggest that following the removal of soluble carbon-containing species from Cu2O-u (as evidenced by changes in the N/C atomic ratio in XPS spectra), the remaining components collectively form the integrated Cu2O-u/g-C3N4 composite. Furthermore, a new peak emerges at 981.0 cm−1 in Cu2O-u/g-C3N4, assigned to C=N and C=O vibrations in pyrimidine- or pyridine-like structures. These compounds may be responsible for the appearance of new diffraction peaks at 6.3° and 10.9° in the XRD pattern of Cu2O-u/g-C3N4.

Figure 2.
TEM images of Cu2O-u (a–c), g-C3N4 (d–f), and Cu2O-u/g-C3N4 (g–i).
The morphology of Cu2O-u, g-C3N4, and Cu2O-u/g-C3N4 was characterized by TEM (Figure 2). The TEM images (Figure 2a–c) revealed that Cu2O-u exhibited both crystalline and amorphous regions, indicating that Cu2O was composited with rearranged urea and formed a porous structure similar to g-C3N4, resulting from the release of NH3 and CO2 during the thermal reaction. Specifically, the average lattice distance of Cu2O-u was 0.290 nm, while its amorphous pore size distribution ranged from approximately 0.2 to 0.5 nm, with a mean value of 0.320 nm. For g-C3N4 (Figure 2d–f), irregular pores with an average size of 0.400 nm were observed, attributed to NH3 and CO2 release during calcination. As shown in Figure 2g–i, Cu2O-u/g-C3N4 exhibited a surface morphology resembling that of g-C3N4. Meanwhile, the average amorphous pore size of Cu2O-u/g-C3N4 (0.320 nm) was smaller than that of g-C3N4. Furthermore, no regular lattices associated with metal oxides were detected in g-C3N4 or Cu2O-u/g-C3N4, confirming their amorphous nature. Notably, the crystalline phase of Cu2O-u (8 wt%) was obscured by the predominant amorphous g-C3N4 matrix.
According to the UV–vis DRS results (Figure 3a,b), g-C3N4 exhibited an absorption band edge at 450 nm, from which a narrow band gap of 2.56 eV was calculated using the Kubelka-Munk equation. Notably, Cu2O-u possessed a narrow band gap of 2.26 eV, calculated from its absorption band edge at 400 nm. This narrow band gap is attributed to the composite structure formed by crystalline Cu2O and amorphous urea-derived products. Cu2O-u exhibited an absorption band characteristic of Cu2O in the range of 500–600 nm []. Consistent with the TEM image results, the distinct absorption characteristics of Cu2O were not prominently observable in the Cu2O-u/g-C3N4 composite. The Cu2O-u/g-C3N4 composite exhibited a narrow band gap of 2.10 eV, calculated from its absorption band edge at 485 nm. This band gap value was similar to that associated with the amorphous urea-derived products in Cu2O-u. Moreover, a new absorption peak near 700 nm was observed in Cu2O-u/g-C3N4. This suggests an enhancement in light absorption capability. Consequently, the photocatalytic performance of the composite catalyst might also be improved following the composition of Cu2O-u with g-C3N4 [].

Figure 3.
(a) UV–vis DRS spectrum of the Cu2O-u, g-C3N4, and Cu2O-u/g-C3N4; (b) Tauc Plots corresponding with (a).
2.2. Effects of Cu2O-u/g-C3N4 Heterojunction Composition on Catalytic Activity in CPR
As a key component of the Cu2O-u/g-C3N4 heterojunction, the content of Cu2O significantly influences its efficiency in catalyzing CPR-mediated reactions. Therefore, we systematically investigated the effects of CuCl2·2H2O dosage during the thermal reduction synthesis of Cu2O-u, as well as the impact of Cu2O-u loading on the hydrothermal synthesis of the Cu2O-u/g-C3N4 heterojunction.
First, the influence of CuCl2·2H2O dosage (0, 0.5, 1, 2, 4, 8, 16, 24, 32, 40, 48, and 56% (w/w)) was evaluated (Figure 4a). Under identical experimental conditions, Cu2O-u/g-C3N4 demonstrated optimal catalytic performance for CPR-mediated formic acid synthesis when the CuCl2·2H2O dosage ranged between 16–24% (w/w). The highest catalytic activity was achieved at a CuCl2·2H2O-to-urea mass ratio of 16:84, yielding a formic acid synthesis efficiency of 657.40 μmol·h−1·gcat−1.

Figure 4.
(a) Effects of CuCl2·2H2O content on Cu2O-u/g-C3N4 activity; (b) effects of Cu2O-u content on Cu2O-u/g-C3N4 activity.
Subsequently, the effect of Cu2O-u loading (0, 1, 2, 4, 8, 16, 24, 48, 96, and 100% (w/w)) was investigated (Figure 4b). Comparative experiments revealed that Cu2O-u/g-C3N4 exhibited superior catalytic activity for CPR-driven formic acid synthesis within the Cu2O-u doping range of 1–8% (w/w). The optimal performance was observed at a Cu2O-u/g-C3N4 mass ratio of 8:92, achieving a formic acid synthesis efficiency of 656.3 μmol·h−1·gcat−1. This corresponds to 3.14 times the catalytic activity of pristine g-C3N4 and 8.72 times that of the commercial photocatalyst P25.
Based on these findings, the optimal synthesis conditions were determined as: a CuCl2·2H2O-to-urea mass ratio of 16:84 for thermal reduction synthesis of Cu2O-u, and a Cu2O-u to g-C3N4 mass ratio of 8:92 for constructing the Cu2O-u/g-C3N4. These parameters produced a heterojunction catalyst with significantly enhanced catalytic activity.
2.3. Effects of Reaction Conditions on Product Selectivity and Reaction Rate in CPR
CPR is a complex redox process, where product selectivity is governed by multiple factors and potentially yields various C1, C2, and C3 products [,]. Beyond the intrinsic activity of the catalyst itself, reaction conditions significantly influence product selectivity. With reaction phase state, light source, and temperature held constant, the reaction system (comprising the reaction medium and hole scavenger) and the reaction duration determine both CPR efficiency and product selectivity [,].
2.3.1. Effects of the Hole Scavenger
To investigate the influence of the reaction system on the product selectivity of Cu2O-u/g-C3N4 catalyzed CPR, liquid-phase CPR was conducted under various reaction systems composed of different reaction media (water, 0.5 mol·L−1 NaHCO3, 0.5 mol·L−1 NaOH, 0.5 mol·L−1 H2SO4, and acetonitrile) and hole scavengers (isopropanol and TEOA). The reactions were performed under irradiation from a 175 W mercury lamp for 2 h, using 0.01 wt% Cu2O-u/g-C3N4 and 4 wt% hole scavenger.
Experimental results demonstrate that both the hole scavenger and reaction medium significantly affect CPR product selectivity and efficiency (Figure 5). When TEOA served as the hole scavenger, Cu2O-u/g-C3N4 exhibited higher methanol synthesis efficiency compared to acetic or formic acid production, indicating preferential formation of alcoholic products. Notably, in an aqueous medium with TEOA, methanol synthesis efficiency reached 6304.3 μmol·h−1·gcat−1, whereas acetic acid efficiency was only 1525 μmol·h−1·gcat−1, and formic acid was nearly undetectable. The methanol yield exceeded that of acetic acid by over 4-fold. In contrast, product selectivity depended more strongly on the reaction medium when isopropanol was used as the scavenger. Methanol synthesis dominated in water/isopropanol systems, whereas formic acid production prevailed in NaHCO3/isopropanol systems. Furthermore, compared to isopropanol systems, TEOA not only rapidly consumes photogenerated electron–hole pairs without self-consumption but also enhances CO2 dissolution through its alkalinity, thereby accelerating the CPR reaction rate [,]. The total CO2 conversion (sum of formic acid, acetic acid, and methanol yields) in TEOA systems was several times higher than in isopropanol or scavenger-free systems []. Consequently, the total CO2 conversion in water/TEOA was 5.3-fold and 6.1-fold higher than in water/isopropanol and pure water systems, respectively.

Figure 5.
Effects of reaction system on selectivity of CPR products catalyzed by Cu2O-u/g-C3N4. (The red dashed line represents zero).
2.3.2. Effects of Reaction Medium
The reaction medium also serves as a critical factor influencing the product selectivity of Cu2O-u/g-C3N4-catalyzed CPR []. Experiments revealed that in acidic and neutral systems (including acetonitrile), the accumulated concentrations of CPR products (formic acid and acetic acid) were low during the initial 2 h. However, over time, both formic and acetic acids were continuously produced, and acetic acid accumulated to higher concentrations than formic acid. For instance, in the water/isopropanol system, the 24 h concentrations were 209.56 μmol·L−1 for formic acid and 299.5 μmol·L−1 for acetic acid (Figure 5). In alkaline systems, the synthesis rate and concentration of formic acid significantly exceeded those of acetic acid during the early stage of the CPR. In the NaHCO3/isopropanol system, the maximum formic acid concentration (9488.9 μmol·L−1) far exceeded that of acetic acid (624.2 μmol·L−1), and its synthesis efficiency exceeded that in neutral systems by over 30-fold. Similarly, in the NaOH/isopropanol system, the formic acid concentration (3465.0 μmol·L−1) substantially exceeded that of acetic acid (331.2 μmol·L−1).
These results indicate that Cu2O-u/g-C3N4 exhibits higher initiation efficiency in alkaline media, enabling rapid production of substantial formic acid. In contrast, non-alkaline systems exhibited slower CPR initiation rates due to limited CO2 availability, and initially formed formic acid may undergo further reduction to other products []. The enhanced solubility of CO2 in alkaline environments enhances the availability of CO2 for adsorption and utilization by Cu2O-u/g-C3N4. Additionally, the charge transfer within the catalyst is likely accelerated under alkaline conditions. Consequently, Cu2O-u/g-C3N4 exhibits significantly higher CPR rates in alkaline systems compared to acidic and neutral environments [].
2.3.3. Effects of Reaction Time
Reaction time also influences the selectivity of CPR using the Cu2O-u/g-C3N4 catalyst. As shown in Figure 6, in the alkaline system, the effect of reaction time on CPR selectivity becomes increasingly pronounced as the CPR reaction proceeds. Initially, formic acid accumulates more rapidly than acetic acid, with significant acetic acid accumulation becoming apparent only after 2 h. However, when the reaction proceeds to 20 h, the concentration of formic acid peaks and then gradually decreases, while acetic acid continues to accumulate. This phenomenon indicates that in the alkaline system, the Cu2O-u/g-C3N4-catalyzed CPR reaction initiates rapidly, resulting in the swift generation of formic acid early on. As the reaction continues, increased levels of free radicals in the environment lead to the gradual reduction of the earlier-produced formic acid into other low-carbon organic compounds. This trend also signifies that formic acid is a primary intermediate in the Cu2O-u/g-C3N4-catalyzed CPR process. In contrast, the neutral and acidic systems are constrained by the slower CPR initiation rate. In contrast, the neutral and acidic systems experience slower CPR initiation rates. As a result, the concentrations of formic acid and acetic acid show minimal temporal variation in these systems, likely because the formic acid generated initially is further converted into other products.

Figure 6.
Effects of reaction time and reaction medium on selectivity of CPR products catalyzed by Cu2O-u/g-C3N4: 0.5 mol·L−1 NaHCO3 (a), 0.5 mol·L−1 NaOH (b), H2O (c), and 0.5 mol·L−1 H2SO4 (d).
2.3.4. CPR Product Pathways of Cu2O-u/g-C3N4
Figure 7 illustrates the proposed mechanism for the Cu2O-u/g-C3N4-catalyzed CPR reaction []. Dissolved CO2 exists as HCO3− in the aqueous reaction medium and is subsequently adsorbed onto the surface of the Cu2O-u/g-C3N4 []. Upon photoactivation, the heterojunction generates photogenerated electron–hole pairs. The adsorbed HCO3− then reacts with photogenerated electrons migrating to the surface, undergoing reduction to form *CO2−, with protons *H supplied by the reaction environment [,]. The *CO2− radical is further reduced to HCOO−, yielding formic acid (HCOOH). Subsequently, HCOOH is reduced by radicals (*OH) to formaldehyde (HCHO) as an intermediate []. HCHO is then reduced to methanol (CH3OH) []. CH3OH is further reduced to intermediate transition states such as *CH2OH and *CH3 [,]. Finally, these intermediate species (*CH2OH, *CH3) either react with each other or with *CO2−. Facilitated by photogenerated electrons, radicals, and protons, these species form C-C bonds, enabling the extension from C1 to C2 products, and thus synthesizing C2 compounds such as acetic acid []. CPR selectivity for specific CO2 reduction pathways can be enhanced or suppressed depending on the reaction medium and hole scavengers []. For instance, an alkaline solvent increases CO2 solubility, thereby enhancing HCOOH synthesis []. Meanwhile, TEOA not only enhances HCOOH formation but also rapidly consumes photogenerated holes, generating oxidized intermediates that promote the synthesis of the intermediate product CH3OH [].

Figure 7.
Possible mechanism of CPR catalyzed by Cu2O-u/g-C3N4. (* denotes lone electron or free radical).
2.4. Synthesis of Formic Acid and Acetic Acid by Cu2O-u/g-C3N4
Based on the above analysis, when isopropanol acts as the hole scavenger, the Cu2O-u/g-C3N4 heterojunction catalyst exhibits enhanced accumulation of formic acid and acetic acid during CPR. Consequently, we investigated the potential of Cu2O-u/g-C3N4 for synthesizing formic and acetic acids via CPR in an isopropanol system was investigated.
2.4.1. Effects of Isopropanol and Cu2O-u/g-C3N4 Concentration
Figure 8a illustrates the effects of isopropanol and Cu2O-u/g-C3N4 concentration on CPR activity. The catalytic activity of Cu2O-u/g-C3N4 for formic acid synthesis increased steadily with increasing isopropanol concentrations, reaching a maximum formic acid conversion rate of 4832.20 μmol·h−1·gcat−1 at 10% (v/v) isopropanol. However, when isopropanol concentration exceeded 10%, excessive isopropanol competitively occupied the active sites on the Cu2O-u/g-C3N4 heterojunction surface, resulting in a decrease in CPR activity [].

Figure 8.
Effects of content of isopropanol (a) and Cu2O-u/g-C3N4 (b) on CPR activity.
Changes in Cu2O-u/g-C3N4 concentration also affected CPR activity (Figure 8b). Both formic acid accumulation and catalyst efficiency initially increased and then decreased with higher catalyst loadings. This indicates that a minimal amount of Cu2O-u/g-C3N4 is sufficient for catalytic CPR requirements, while excessive concentration adversely impacts CPR performance. At high loading, the dispersed powdered Cu2O-u/g-C3N4 nanoparticles formed an opaque suspension layer in the reaction medium, which hindered light absorption and consequently reduced both photon utilization efficiency and CPR activity. Furthermore, at a Cu2O-u/g-C3N4 concentration of 0.005% (w/v), the accumulated formic acid concentration reached 2250.0 μmol·L−1, while the catalytic efficiency of Cu2O-u/g-C3N4 for formic acid synthesis via CPR reached 8666.0 μmol·h−1·gcat−1. In contrast, when the Cu2O-u/g-C3N4 concentration was increased to 0.025% (w/v), the accumulated formic acid concentration rose to 5061.5 μmol·L−1, but the catalytic efficiency decreased to 3899.0 μmol·h−1·gcat−1. Based on the comparison of the formic acid synthesis data, although a lower concentration of Cu2O-u/g-C3N4 catalyzed CPR more efficiently for formic acid synthesis, a higher concentration (0.025% w/v) was selected for subsequent experiments to achieve a higher concentration of the CPR product, thereby increasing the concentration available for enzymatic utilization.
2.4.2. Effects of the Reaction System
To explore the potential of the Cu2O-u/g-C3N4 in synthesizing formic and acetic acids, its catalytic performance in the CPR (Catalytic Photo-Reforming) process was investigated within a 600 mL system comprising 0.5 mol·L−1 NaHCO3 and isopropanol. As shown in Figure 9a, formic acid accumulated rapidly during the initial stage of CPR, reaching a maximum concentration of 2005.2 μmol·L−1 after 8 h. Subsequently, the formic acid concentration decreased gradually to 49.1 μmol·L−1 after 24 h. This suggests that the formic acid formed initially was rapidly consumed, and its synthesis rate became the rate-limiting step in the production of other products during the later stage of CPR. In contrast, acetic acid accumulated at a nearly constant rate throughout the reaction, reaching a concentration of 6753.8 μmol·L−1 after 24 h. Consequently, by controlling the reaction time in the NaHCO3/isopropanol system, the selectivity towards the synthesis of formic acid or acetic acid via CPR can be controlled.

Figure 9.
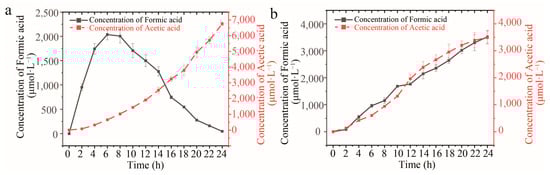
Production of formic acid and acetic acid from CPR catalyzed by Cu2O-u/g-C3N4: NaHCO3 with isopropanol (a) and acetonitrile with isopropanol (b).
Although Cu2O-u/g-C3N4 efficiently catalyzes the production of formic acid and acetic acid via CPR in the NaHCO3/isopropanol system, an acetonitrile/isopropanol system appears to facilitate subsequent direct organic transformations of CPR-derived C1 or C2 products using other catalysts, such as lipase-catalyzed ester synthesis reactions using formic acid or acetic acid []. Therefore, NaHCO3 was replaced with acetonitrile (which has approximately eight times higher CO2 solubility than aqueous environments []) to establish an acetonitrile/isopropanol system. The activity of Cu2O-u/g-C3N4 in catalyzing the synthesis of formic acid and acetic acid via CPR in this system was investigated. Experimental results (Figure 9b) revealed that the initial yields of both formic acid and acetic acid were low. However, both acids accumulated rapidly after 4 h of reaction. After 24 h, the concentrations of both formic acid and acetic acid approached 3500 μmol·L−1, with conversion rates of 579.4 and 582.8 μmol·h−1·gcat−1, respectively. These results demonstrate that Cu2O-u/g-C3N4 is capable of efficiently catalyzing the simultaneous production of formic acid and acetic acid via CPR in acetonitrile, with comparable synthesis rates for both acids.
2.5. Synthesis of Methanol by Cu2O-u/g-C3N4
Based on the analysis above, the Cu2O-u/g-C3N4 exhibits enhanced accumulation of methanol in CO2 photoreduction (CPR) using a water/TEOA system. Therefore, we investigated its potential for methanol synthesis through CPR under these conditions.
2.5.1. Effects of TEOA Concentration
Figure 10a illustrates the effect of TEOA concentration on methanol synthesis efficiency in the CPR process. As the TEOA concentration increased, the methanol synthesis efficiency increased initially and then decreased, a trend which is consistent with observations in the isopropanol system. This indicates that excessive TEOA (as a hole scavenger) adversely affects CPR activity. At a TEOA concentration of 6% (v/v), the maximum methanol synthesis efficiency was 3061.6 μmol·h−1·gcat−1, accompanied by a corresponding methanol accumulation of 9797.2 μmol·L−1. As shown in Table 1, the methanol synthesis efficiency catalyzed by the Cu2O-u/g-C3N4 ranks among the highest reported in the literature for other catalysts.

Figure 10.
Effects of TEOA content (a) and reaction time (b) on production of methanol from CPR catalyzed by Cu2O-u/g-C3N4; (c) reusability of Cu2O-u/g-C3N4 in production of methanol.

Table 1.
Comparison of CPR efficiency of photocatalysts for methanol synthesis.
2.5.2. Effects of Reaction Time
In an alkaline isopropanol system, reaction time influences the selectivity of formic and acetic acid synthesis during Cu2O-u/g-C3N4-catalyzed CPR. To avoid issues similar to those in aqueous TEOA systems, we investigated the impact of reaction time on methanol synthesis (Figure 10b). In the aqueous TEOA system, Cu2O-u/g-C3N4-catalyzed CPR proceeded rapidly. Formic acid generated at the initial CPR stage was quickly reduced to downstream products, resulting in formic acid accumulation below 40 μmol·L−1 over 0–24 h. Experiments confirmed that both methanol and acetic acid concentrations increased with prolonged CPR time. Acetic acid was synthesized at a low rate during the early CPR stage, reaching 2892.5 μmol·L−1 at 18 h. After 18 h, its accumulation rate accelerated sharply, reaching 28,764.3 μmol·L−1 at 24 h (10-fold increase compared to 18 h). This indicates that acetic acid is predominantly generated in the late CPR stage, suggesting it may be a terminal product of CPR []. In contrast, methanol accumulated rapidly in the early CPR stage, reaching 9020.0 μmol·L−1 within 2 h. Beyond 2 h, the methanol synthesis rate declined, resulting in a final accumulation of 17,960.6 μmol·L−1 at 24 h. This phenomenon implies that methanol synthesized during CPR is continuously consumed to generate other compounds. Specifically, between 2 h and 18 h, methanol was consumed to synthesize low-carbon intermediates, which were gradually converted to acetic acid after 18 h. Therefore, to obtain methanol with a relatively high concentration and enhance its availability in CPR, the optimal reaction time for Cu2O-u/g-C3N4-catalyzed CPR is 2 h. At this point, the methanol yield (9020.0 μmol·L−1) represents 50.22% of the total product accumulated over 24 h, while acetic acid production is 1088.7 μmol·L−1. This leads to a higher relative concentration of methanol in the CPR reaction solution.
2.5.3. Repeatability of Cu2O-u/g-C3N4 for Methanol Synthesis via CPR
Figure 10c evaluates the repeatability of Cu2O-u/g-C3N4 using methanol synthesis efficiency from CPR as the metric. Experimental results demonstrate that Cu2O-u/g-C3N4 exhibits good repeatability for catalyzing methanol production over three CPR cycles, retaining 94.79% of its initial efficiency. The heterojunction showed negligible activity loss during the first two cycles, with degradation commencing only in the third cycle. Although 94.79% activity was preserved after the third CPR cycle, efficiency declined to 72.23% after the fourth cycle, indicating substantial deactivation. Literature reports suggest that the cyclic N=C=N structure of g-C3N4 is susceptible to attack by hydroxyl radicals (·OH) generated under photogenerated holes (h+), leading to self-decomposition into CO, CO2, NO2, NO2−, NO3−, and organic fragments []. Without photogenerated holes, this cyclic structure remains oxidation-resistant. However, particularly in gaseous-phase CO2 photoreduction, rapid self-decomposition of g-C3N4 has been reported. In liquid-phase environments, g-C3N4 undergoes oxidative self-decomposition to NO3− and organic fragments under light and in the presence of ozone via the action of accumulated ·OH []. These studies indicate that g-C3N4 self-decomposition requires two conditions: (1) photogenerated holes for ·OH generation and (2) the presence of hydroxyl radicals. However, in this specific liquid-phase CPR system, abundant hole scavengers and solvents rapidly consume photogenerated holes and radicals, making g-C3N4 self-decomposition highly improbable. Therefore, the observed catalyst deactivation is more plausibly attributed to the promotion of bandgap recombination in the Cu2O-u/g-C3N4 heterojunction after multiple cycles [].
3. Materials and Methods
3.1. Materials
Urea (CO(NH2)2), hydrochloric acid (HCl), copper chloride (CuCl2·2H2O), and all other chemicals and reagents used in the experiments were analytical grade from commercial sources unless otherwise stated.
3.2. Synthesis of Cu2O-u/g-C3N4
Synthesis of g-C3N4: Ultrathin porous g-C3N4 was synthesized via urea acidification and thermal polymerization methods according to Li et al. []. The preparation process is illustrated in Figure 1. Firstly, 100 g of urea was dissolved in 100 mL of water in a ceramic crucible, and the solution pH was adjusted to 5 using hydrochloric acid. Secondly, the mixture was dried overnight at 60 °C with the precipitation of white crystals, and then the crystals were heated to 550 °C from room temperature at a heating rate of 10 °C·min−1 for 120 min. Finally, yellow g-C3N4 was obtained.
Synthesis of Cu2O-u: The synthesis of Cu2O-u was adapted from the method of Li et al. [] with modifications. The preparation process is illustrated in Figure 1. Firstly, varying contents of CuCl2·2H2O (0, 0.5, 1, 2, 4, 8, 16, 24, 32, 40, 48, and 56% (w/v)) was also added into the mixture and 10 g of urea was dissolved in 10 of mL water in a ceramic crucible until a transparent solution formed. Secondly, the mixture was dried overnight at 60 °C to precipitate crystals, which were then heated to 180 °C from room temperature at 10 °C·min−1 for 16 h. Finally, the product was washed with deionized water several times and dried at 60 °C overnight, yielding Cu2O composites with varying urea contents, denoted as Cu2O-u
Synthesis of Cu2O-u/g-C3N4: The procedure was modified from the Cu2O synthesis method reported by Li et al. []. The preparation process is illustrated in Figure 11. Varying contents of Cu2O-u (0, 0.5, 1, 2, 4, 8, 16, 24, 32, 40, 48, and 56% (w/v)) and 180 mg of g-C3N4 nanosheets were dispersed in a mixed solvent of isopropyl alcohol and water (Viso/Vwater = 3/2) via ultrasonication. The mixtures were then transferred to hydrothermal autoclaves and heated to 180 °C from room temperature at 10 °C·min−1 for 16 h. Finally, the products were collected by centrifugation, washed with deionized water several times, dried at 60 °C overnight, and yielded yellow Cu2O-u/g-C3N4 composites.

Figure 11.
Illustration of fabrication of Cu2O-u, g-C3N4, and Cu2O-u/g-C3N4 (a), photoreduction system of CO2 (b).
3.3. Characterization of Cu2O-u/g-C3N4
The crystal surfaces of photocatalysts were characterized by X-ray diffraction (XRD). The morphology of photocatalysts was observed by transmission electron microscope (TEM). The surface and section morphology of photocatalysts were observed by scanning electron microscope (SEM). The light absorption characteristics of photocatalysts were measured by ultraviolet–visible diffuse reflectance spectroscopy (UV–vis DRS). The chemical structures of photocatalysts were measured by Fourier transform infrared (FT-IR). The chemical environment of photocatalysts and the interaction of photocatalysts between Cu2O-u and g-C3N4 were analyzed based on X-ray photoelectron spectroscopy (XPS).
3.4. Testing of CO2 Photoreduction
Samples of Cu2O-u/g-C3N4 were suspended in a reaction system in a Pyrex reaction vessel. CO2 gas was bubbled through the mixture for 30 min. The mixture was then irradiated centrally using a 175W Hg lamp through a quartz window, with magnetic stirring maintained at ambient temperature and pressure. Aliquots of the reaction mixture were sampled at specified time intervals to quantify formic acid, acetic acid, and methanol production. Product yields (formic acid, acetic acid, methanol) were determined by high-performance liquid chromatography (HPLC) using a Shimadzu HPLC instrument equipped with a Bio-Rad Aminex HPX-87H Ion Exclusion Column (300 mm × 7.8 mm). 5 mmol·L−1 H2SO4 (0.500 mL·min−1) was used as the mobile phase.
4. Conclusions
To develop photocatalysts suitable for CPR applications, this work synthesized g-C3N4 via urea thermal polymerization, prepared urea-pyrolyzed mixture pre-dispersed Cu2O (Cu2O-u) via thermal reduction using urea and CuCl2·2H2O, and fabricated Cu2O-u/g-C3N4 photocatalysts using a hydrothermal method. The synthesized Cu2O-u/g-C3N4 exhibits a Z-scheme structure with a bandgap of 2.10 eV and dual absorption edges at 485 nm and extending beyond 800 nm, demonstrating efficient solar light harvesting. Under irradiation from a 175 W mercury lamp, the heterojunction catalyzes CPR to produce C1-C2 organics (formic acid, acetic acid, methanol), with catalytic activities 3.14 times higher than g-C3N4 and 8.72 times higher than P25. CPR product selectivity and reaction rates of CPR over Cu2O-u/g-C3N4 were modulated by three factors: reaction medium, hole scavengers, and reaction time. In aqueous systems with TEOA as a hole scavenger, methanol accumulation was enhanced (>4-fold higher yield than acids) with CPR rates more than five times faster than in isopropanol systems. Conversely, isopropanol favored acid production. Minimal formic acid formation occurred under acidic or neutral conditions. Alkaline conditions significantly enhanced catalysis, yielding >30 times more formic acid than neutral systems. Notably, formic acid is rapidly generated initially but subsequently consumed for acetic acid synthesis. In acetonitrile/isopropanol systems, formic and acetic acid production rates reached 579.4 and 582.8 μmol·h−1·gcat−1, respectively. Methanol production in aqueous TEOA achieved a rate of 3051 μmol·h−1·gcat−1, with the catalyst retaining 94.79% of its activity after three cycles. This work developed a novel photocatalyst design that achieves exceptional catalytic activity for the selective production of C1-C2 products from CO2 photoreduction.
Author Contributions
Methodology, Y.Z.; Formal analysis, F.X.; Investigation, J.L.; Resources, Z.L.; Writing—original draft, J.L.; Writing—review and editing, J.L.; Supervision, Y.L., G.S., and H.Z.; Project administration, G.S.; Funding acquisition, Y.L. All authors have read and agreed to the published version of the manuscript.
Funding
This research was funded by the National Key Research and Development Program of China grant number 2020YFA0907700, the Basic Research Program of Jiangsu and supported by the Jiangsu Basic Research Center for Synthetic Biology grant number BK20233003, the Wuxi Industrial Innovation Research Institute Pilot Technology Pre-research Project grant number XD24024, the National Natural Foundation of China grant number 32172174, and the Jiangsu Funding Program for Excellent Postdoctoral Talent grant number 2024ZB371.
Data Availability Statement
Most data acquired for this manuscript are summarized in the manuscript. All other data can be obtained at the request of the corresponding author.
Conflicts of Interest
Author Zhikai Liu was employed by the company Wuxi Institute for Specialized nutrition and Health Co., Ltd. The remaining authors declare that the research was conducted in the absence of any commercial or financial relationships that could be construed as a potential conflict of interest.
References
- Cao, Y.; Guo, R.; Ma, M.; Huang, Z.; Zhou, Y. Effects of Electron Density Variation of Active Sites in CO2 Activation and Photoreduction: A Review. Xian Polytech Univ, Coll Environm & Chem Engn, Xian 710000, Peoples R China. Xinjiang Norm. Univ. Coll Chem. Chem. Engn. 2024, 40, 2303029. [Google Scholar] [CrossRef]
- Tedeeva, M.A.; Kustov, A.L.; Batkin, A.M.; Garifullina, C.; Zalyatdinov, A.A.; Yang, D.; Dai, Y.; Yang, Y.; Kustov, L.M. Catalytic systems for hydrogenation of CO2 to methanol. Mol. Catal. 2024, 566, 114403. [Google Scholar] [CrossRef]
- Reguero, M.; Claver, C.; Carrilho, R.M.B.; Masdeu-Bultó, A.M. Immobilized Molecular Catalysts for CO2 Photoreduction. Adv. Sustain. Syst. 2022, 6, 2100493. [Google Scholar] [CrossRef]
- Maximov, A.L.; Beletskaya, I.P. Carbon dioxide and “methanol” economy: Advances in the catalytic synthesis of methanol from CO2. Russ. Chem. Rev. 2024, 93, RCR5101. [Google Scholar] [CrossRef]
- Zulqarnain; Yusoff, M.H.M.; Keong, L.K.; Yasin, N.H.; Rafeen, M.S.; Hassan, A.; Srinivasan, G.; Yusup, S.; Shariff, A.M.; Jaafar, A.B. Recent development of integrating CO2 hydrogenation into methanol with ocean thermal energy conversion (OTEC) as potential source of green energy. Green Chem. Lett. Rev. 2023, 1, 16. [Google Scholar] [CrossRef]
- Rossini, F.D.; Jessup, R.S. Heat and free energy of formation of carbon dioxide. and of the transition between graphite and diamond. J. Res. Natl. Bur. Stand. 1938, 21, 491. [Google Scholar] [CrossRef]
- Sudhakaran, A.; Singh, C.; Aaradhya, H.M.; Biradar, A.; Samal, A.K.; Chaudhari, N.K.; Jadhav, A.H. Advancements and Perspective of Environmentally Sustainable Technologies for Electrochemical Selective Conversion of CO2 to Methanol. Catal. Rev. 2024, 1–113. [Google Scholar] [CrossRef]
- Boutin, E.; Merakeb, L.; Ma, B.; Boudy, B.; Wang, M.; Bonin, J.; Anxolabéhère-Mallart, E.; Robert, M. Molecular catalysis of CO2 reduction: Recent advances and perspectives in electrochemical and light-driven processes with selected Fe. Ni and Co aza macrocyclic and polypyridine complexes. Chem. Soc. Rev. 2020, 49, 5772–5809. [Google Scholar] [CrossRef]
- Adekoya, D.; Tahir, M.; Amin, N.A.S. Recent trends in photocatalytic materials for reduction of carbon dioxide to methanol. Renew. Sustain. Energy Rev. 2019, 116, 109389. [Google Scholar] [CrossRef]
- Fu, C.; Wan, Z.; Yang, X.; Zhang, J.; Zhang, Z. Artificial CO2 photoreduction: A review of photocatalyst design and product selectivity regulation. J. Mater. Chem. A 2024, 12, 28618–28657. [Google Scholar] [CrossRef]
- Cheng, S.-P.; Wei, L.-W.; Wang, H.-P. Photocatalytic Reduction of CO2 to Methanol by Cu2O/TiO2 Heterojunctions. Sustainability 2022, 14, 374. [Google Scholar] [CrossRef]
- Movahed, S.K.; Najinasab, A.; Nikbakht, R.; Dabiri, M. Visible light assisted photocatalytic reduction of CO2 to methanol using Fe3O4@N-C/Cu2O nanostructure photocatalyst. J. Photochem. Photobiol. A Chem. 2020, 401, 112763. [Google Scholar] [CrossRef]
- Li, J.; Chen, G.; Zhu, Y.; Liang, Z.; Pei, A.; Wu, C.-L.; Wang, H.; Lee, H.R.; Liu, K.; Chu, S.; et al. Efficient electrocatalytic CO2 reduction on a three-phase interface. Nat. Catal. 2018, 1, 592–600. [Google Scholar] [CrossRef]
- Jovanov, Z.P.; Hansen, H.A.; Varela, A.S.; Malacrida, P.; Peterson, A.A.; Nørskov, J.K.; Stephens, I.E.L.; Chorkendorff, I. Opportunities and challenges in the electrocatalysis of CO2 and CO reduction using bifunctional surfaces: A theoretical and experimental study of Au-Cd alloys. J. Catal. 2016, 343, 215–231. [Google Scholar] [CrossRef]
- Sahara, G.; Kumagai, H.; Maeda, K.; Kaeffer, N.; Artero, V.; Higashi, M.; Abe, R.; Ishitani, O. Photoelectrochemical Reduction of CO2 Coupled to Water Oxidation Using a Photocathode with a Ru(II)–Re(I) Complex Photocatalyst and a CoOx/TaON Photoanode. J. Am. Chem. Soc. 2016, 138, 14152–14158. [Google Scholar] [CrossRef]
- Kuk, S.K.; Singh, R.K.; Nam, D.H.; Singh, R.; Lee, J.-K.; Park, C.B. Photoelectrochemical Reduction of Carbon Dioxide to Methanol through a Highly Efficient Enzyme Cascade. Angew. Chem. Int. Ed. 2017, 56, 3827–3832. [Google Scholar] [CrossRef]
- Tian, Y.; Zhou, Y.; Zong, Y.; Li, J.; Yang, N.; Zhang, M.; Guo, Z.; Song, H. Construction of Functionally Compartmental Inorganic Photocatalyst–Enzyme System via Imitating Chloroplast for Efficient Photoreduction of CO2 to Formic Acid. ACS Appl. Mater. Interfaces 2020, 12, 34795–34805. [Google Scholar] [CrossRef]
- Chakrabortty, S.; Nayak, J.; Ruj, B.; Pal, P.; Kumar, R.; Banerjee, S.; Sardar, M.; Chakraborty, P. Photocatalytic conversion of CO2 to methanol using membrane-integrated Green approach: A review on capture, conversion and purification. J. Environ. Chem. Eng. 2020, 8, 103935. [Google Scholar] [CrossRef]
- Uddin, M.R.; Khan, M.R.; Rahman, M.W.; Yousuf, A.; Cheng, C.K. Photocatalytic reduction of CO2 into methanol over CuFe2O4/TiO2 under visible light irradiation. Reaction Kinetics. Mech. Catal. 2015, 116, 589–604. [Google Scholar] [CrossRef]
- Mori, K.; Matsuo, J.; Kondo, Y.; Hata, H.; Yamashita, H. Photoreduction of Carbon Dioxide to Formic Acid with Fe-Based MOFs: The Promotional Effects of Heteroatom Doping and Alloy Nanoparticle Confinement. ACS Appl. Energy Mater. 2021, 4, 11634–11642. [Google Scholar] [CrossRef]
- Prasetya, N.; Ladewig, B.P. New Azo-DMOF-1 MOF as a Photoresponsive Low-Energy CO2 Adsorbent and Its Exceptional CO2/N2 Separation Performance in Mixed Matrix Membranes. ACS Appl. Mater. Interfaces 2018, 10, 34291–34301. [Google Scholar] [CrossRef]
- Ahmed, S.; Khan, M.K.; Kim, J. Revolutionary advancements in carbon dioxide valorization via metal-organic framework-based strategies. Carbon Capture Sci. Technol. 2025, 15, 100405. [Google Scholar] [CrossRef]
- Rao, H.; Schmidt, L.C.; Bonin, J.; Robert, M. Visible-light-driven methane formation from CO2 with a molecular iron catalyst. Nature 2017, 548, 74–77. [Google Scholar] [CrossRef]
- Takeda, H.; Cometto, C.; Ishitani, O.; Robert, M. Electrons; Photons, Protons and Earth-Abundant Metal Complexes for Molecular Catalysis of CO2 Reduction. ACS Catal. 2017, 7, 70–88. [Google Scholar] [CrossRef]
- Yisilamu, G.; Maimaiti, H.; Awati, A.; Zhang, D.; Sun, F.; Xu, B. Preparation of Cuprous Oxide Nanoparticles Coated with Aminated Cellulose for the Photocatalytic Reduction of Carbon Dioxide to Methanol. Energy Technol. 2018, 6, 1168–1177. [Google Scholar] [CrossRef]
- Maciá-Agulló, J.A.; Corma, A.; Garcia, H. Photobiocatalysis: The Power of Combining Photocatalysis and Enzymes. Chem.—A Eur. J. 2015, 21, 10940–10959. [Google Scholar] [CrossRef]
- Zhou, J.; Yu, S.; Kang, H.; He, R.; Ning, Y.; Yu, Y.; Wang, M.; Chen, B. Construction of multi-enzyme cascade biomimetic carbon sequestration system based on photocatalytic coenzyme NADH regeneration. Renew. Energy 2020, 156, 107–116. [Google Scholar] [CrossRef]
- Amao, Y.; Takahara, S.; Sakai, Y. Visible-light induced hydrogen and formic acid production from biomass and carbon dioxide with enzymatic and artificial photosynthesis system. Int. J. Hydrog. Energy 2014, 39, 20771–20776. [Google Scholar] [CrossRef]
- Ong, W.-J.; Tan, L.-L.; Ng, Y.H.; Yong, S.-T.; Chai, S.-P. Graphitic Carbon Nitride (g-C3N4)-Based Photocatalysts for Artificial Photosynthesis and Environmental Remediation: Are We a Step Closer To Achieving Sustainability? Chem. Rev. 2016, 116, 7159–7329. [Google Scholar] [CrossRef]
- Li, P.; Liu, L.; An, W.; Wang, H.; Cui, W. Efficient photothermal catalytic CO2 reduction to CH3CH2OH over Cu2O/g-C3N4 assisted by ionic liquids. Appl. Surf. Sci. 2021, 565, 150448. [Google Scholar] [CrossRef]
- Adekoya, D.O.; Tahir, M.; Amin, N.A.S. g-C3N4/(Cu/TiO2) nanocomposite for enhanced photoreduction of CO2 to CH3OH and HCOOH under UV/visible light. J. CO2 Util. 2017, 18, 261–274. [Google Scholar] [CrossRef]
- Cao, S.; Li, Y.; Zhu, B.; Jaroniec, M.; Yu, J. Facet effect of Pd cocatalyst on photocatalytic CO2 reduction over g-C3N4. J. Catal. 2017, 349, 208–217. [Google Scholar] [CrossRef]
- Bika, P.; Papailias, I.; Giannakopoulou, T.; Tampaxis, C.; Steriotis, T.A.; Trapalis, C.; Dallas, P. Prominent COFg-C3N4, and Their Heterojunction Materials for Selective Photocatalytic CO2 Reduction. Catalysts 2023, 13, 1331. [Google Scholar] [CrossRef]
- Chen, P.; Dong, X.A.; Huang, M.; Li, K.; Xiao, L.; Sheng, J.; Chen, S.; Zhou, Y.; Dong, F. Rapid Self-Decomposition of g-C3N4 During Gas–Solid Photocatalytic CO2 Reduction and Its Effects on Performance Assessment. ACS Catal. 2022, 12, 4560–4570. [Google Scholar] [CrossRef]
- Patnaik, S.; Sahoo, D.P.; Parida, K. Recent advances in anion doped g-C3N4 photocatalysts: A review. Carbon 2021, 172, 682–711. [Google Scholar] [CrossRef]
- Sun, Z.; Wang, H.; Wu, Z.; Wang, L. g-C3N4 based composite photocatalysts for photocatalytic CO2 reduction. Catal. Today 2018, 300, 160–172. [Google Scholar] [CrossRef]
- Wang, K.; Li, Q.; Liu, B.; Cheng, B.; Ho, W.; Yu, J. Sulfur-doped g-C3N4 with enhanced photocatalytic CO2-reduction performance. Appl. Catal. B Environ. 2015, 1761–1777, 44–52. [Google Scholar] [CrossRef]
- Xu, G.; Zhang, H.; Wei, J.; Zhang, H.-X.; Wu, X.; Li, Y.; Li, C.; Zhang, J.; Ye, J. Integrating the g-C3N4 Nanosheet with B–H Bonding Decorated Metal–Organic Framework for CO2 Activation and Photoreduction. ACS Nano 2018, 12, 5333–5340. [Google Scholar] [CrossRef]
- Chen, J.; Shen, S.; Guo, P.; Wang, M.; Wu, P.; Wang, X.; Guo, L. In-situ reduction synthesis of nano-sized Cu2O particles modifying g-C3N4 for enhanced photocatalytic hydrogen production. Appl. Catal. B Environ. 2014, 152–153, 335–341. [Google Scholar] [CrossRef]
- Zhang, P.; Wang, T.; Zeng, H. Design of Cu-Cu2O/g-C3N4 nanocomponent photocatalysts for hydrogen evolution under visible light irradiation using water-soluble Erythrosin B dye sensitization. Appl. Surf. Sci. 2017, 391, 404–414. [Google Scholar] [CrossRef]
- Wen, J.; Xie, J.; Chen, X.; Li, X. A review on g-C3N4-based photocatalysts. Appl. Surf. Sci. 2017, 391, 72–123. [Google Scholar] [CrossRef]
- Peng, B.; Zhang, S.; Yang, S.; Wang, H.; Yu, H.; Zhang, S.; Peng, F. Synthesis and characterization of g-C3N4/Cu2O composite catalyst with enhanced photocatalytic activity under visible light irradiation. Mater. Res. Bull. 2014, 56, 19–24. [Google Scholar] [CrossRef]
- Li, D.; Zuo, S.; Xu, H.; Zan, J.; Sun, L.; Han, D.; Liao, W.; Zhang, B.; Xia, D. Synthesis of a g-C3N4-Cu2O heterojunction with enhanced visible light photocatalytic activity by PEG. J. Colloid Interface Sci. 2018, 531, 28–36. [Google Scholar] [CrossRef]
- Zuo, S.; Xu, H.; Liao, W.; Sun, L.; Han, D.; Zan, J.; Zhang, B.; Li, D.; Xia, D. Acid-treated g-C3N4-Cu2O composite catalyst with enhanced photocatalytic activity under visible-light irradiation. Appl. Organomet. Chem. 2018, 32, e4448. [Google Scholar] [CrossRef]
- Paul, A.M.; Sajeev, A.; Nivetha, R.; Gothandapani, K.; Bhardwaj, P.; Raghavan, V.; Jacob, G.; Sellapan, R.; Jeong, S.K.; Grace, A.N. Cuprous oxide (Cu2O)/graphitic carbon nitride (g-C3N4) nanocomposites for electrocatalytic hydrogen evolution reaction. Diam. Relat. Mater. 2020, 107, 107899. [Google Scholar] [CrossRef]
- Thompson, W.A.; Fernandez, E.S.; Maroto-Valer, M.M. Review and Analysis of CO2 Photoreduction Kinetics. ACS Sustain. Chem. Eng. 2020, 8, 4677–4692. [Google Scholar] [CrossRef]
- Liu, Z.; Li, J.; Chen, Z.; Li, M.; Wang, L.; Wu, S.; Zhang, J. Photocatalytic conversion of carbon dioxide on triethanolamine: Unheeded catalytic performance of sacrificial agent. Appl. Catal. B Environ. 2023, 326, 122338. [Google Scholar] [CrossRef]
- Fang, S.; Rahaman, M.; Bharti, J.; Reisner, E.; Robert, M.; Ozin, G.A.; Hu, Y.H. Photocatalytic CO2 reduction. Nat. Rev. Methods Primers 2023, 3, 61. [Google Scholar] [CrossRef]
- Wang, S.; Lin, J.; Wang, X. Semiconductor–redox catalysis promoted by metal–organic frameworks for CO2 reduction. Phys. Chem. Chem. Phys. 2014, 16, 14656–14660. [Google Scholar] [CrossRef]
- Sato, S.; Morikawa, T.; Saeki, S.; Kajino, T.; Motohiro, T. Visible-Light-Induced Selective CO2 Reduction Utilizing a Ruthenium Complex Electrocatalyst Linked to a p-Type Nitrogen-Doped Ta2O5 Semiconductor. Angew. Chem. Int. Ed. 2010, 49, 5101–5105. [Google Scholar] [CrossRef]
- Bahadori, E.; Tripodi, A.; Villa, A.; Pirola, C.; Prati, L.; Ramis, G.; Rossetti, I. High Pressure Photoreduction of CO2: Effect of Catalyst Formulation. Hole Scavenger Addition and Operating Conditions. Catalysts 2018, 8, 430. [Google Scholar] [CrossRef]
- Das, R.; Chakraborty, S.; Peter, S.C. Systematic Assessment of Solvent Selection in Photocatalytic CO2 Reduction. ACS Energy Lett. 2021, 6, 3270–3274. [Google Scholar] [CrossRef]
- Gross, P.; Höppe, H.A. Biuret—A Crucial Reaction Intermediate for Understanding Urea Pyrolysis To Form Carbon Nitrides: Crystal-Structure Elucidation and In Situ Diffractometric. Vibrational and Thermal Characterisation. Chem.—A Eur. J. 2020, 26, 14366–14376. [Google Scholar] [CrossRef]
- Yang, W.; Jia, L.; Wu, P.; Zhai, H.; He, J.; Liu, C.; Jiang, W. Effect of thermal program on structure–activity relationship of g-C3N4 prepared by urea pyrolysis and its application for controllable production of g-C3N4. J. Solid State Chem. 2021, 304, 122545. [Google Scholar] [CrossRef]
- Kroke, E.; Schwarz, M.; Horath-Bordon, E.; Kroll, P.; Noll, B.; Norman, A.D. Tri-s-triazine derivatives. Part I. From trichloro-tri-s-triazine to graphitic C3N4 structures. New J. Chem. 2002, 26, 508–512. [Google Scholar] [CrossRef]
- Shi, W.; Guo, X.; Cui, C.; Jiang, K.; Li, Z.; Qu, L.; Wang, J.-C. Controllable synthesis of Cu2O decorated WO3 nanosheets with dominant (0 0 1) facets for photocatalytic CO2 reduction under visible-light irradiation. Appl. Catal. B Environ. 2019, 243, 236–242. [Google Scholar] [CrossRef]
- Wang, D.; Dong, N.; Niu, Y.; Hui, S. A Review of Urea Pyrolysis to Produce NH3 Used for NOx Removal. J. Chem. 2019, 2019, 6853638. [Google Scholar] [CrossRef]
- Rangel, L.S.; de la Rosa, J.R.; Ortiz, C.L.; Castaldi, M.J. Pyrolysis of urea and guanidinium salts to be used as ammonia precursors for selective catalytic reduction of NOx. J. Anal. Appl. Pyrolysis 2015, 113, 564–574. [Google Scholar] [CrossRef]
- Li, P.; Liu, L.; An, W.; Wang, H.; Guo, H.; Liang, Y.; Cui, W. Ultrathin porous g-C3N4 nanosheets modified with AuCu alloy nanoparticles and C-C coupling photothermal catalytic reduction of CO2 to ethanol. Appl. Catal. B Environ. 2020, 266, 118618. [Google Scholar] [CrossRef]
- Boccuzzi, F.; Chiorino, A.; Manzoli, M. FTIR study of methanol decomposition on gold catalyst for fuel cells. J. Power Sources 2003, 118, 304–310. [Google Scholar] [CrossRef]
- Zhang, X.; Xie, X.; Wang, H.; Zhang, J.; Pan, B.; Xie, Y. Enhanced Photoresponsive Ultrathin Graphitic-Phase C3N4 Nanosheets for Bioimaging. J. Am. Chem. Soc. 2013, 135, 18–21. [Google Scholar] [CrossRef]
- Tammer, M.G. Sokrates: Infrared and Raman characteristic group frequencies: Tables and charts. Colloid Polym. Sci. 2004, 283, 235. [Google Scholar] [CrossRef]
- Guo, D.; Wang, L.; Du, Y.; Ma, Z.; Shen, L. Preparation of octahedral Cu2O nanoparticles by a green route. Mater. Lett. 2015, 160, 541–543. [Google Scholar] [CrossRef]
- Raziq, F.; Sun, L.; Wang, Y.; Zhang, X.; Humayun, M.; Ali, S.; Bai, L.; Qu, Y.; Yu, H.; Jing, L. Synthesis of Large Surface-Area g-C3N4 Comodified with MnOx and Au-TiO2 as Efficient Visible-Light Photocatalysts for Fuel Production. Adv. Energy Mater. 2018, 8, 1701580. [Google Scholar] [CrossRef]
- Fu, J.; Jiang, K.; Qiu, X.; Yu, J.; Liu, M. Product selectivity of photocatalytic CO2 reduction reactions. Mater. Today 2020, 32, 222–243. [Google Scholar] [CrossRef]
- Di, J.; Hao, G.; Liu, G.; Zhou, J.; Jiang, W.; Liu, Z. Defective materials for CO2 photoreduction: From C1 to C2+ products. Coord. Chem. Rev. 2023, 482, 215057. [Google Scholar] [CrossRef]
- Bosch, H.; Versteeg, G.F.; Van Swaaij, W.P.M. Gas—Liquid mass transfer with parallel reversible reactions—I. Absorption of CO2 into solutions of sterically hindered amines. Chem. Eng. Sci. 1989, 44, 2723–2734. [Google Scholar] [CrossRef]
- Alhebshi, A.; Aldeen, E.S.; Mim, R.S.; Tahir, B.; Tahir, M. Recent advances in constructing heterojunctions of binary semiconductor photocatalysts for visible light responsive CO2 reduction to energy efficient fuels: A review. Int. J. Energy Res. 2022, 46, 5523–5584. [Google Scholar] [CrossRef]
- Kianička, J.; Čík, G.; Šeršeň, F.; Špánik, I.; Sokolík, R.; Filo, J. Photo-Reduction of CO2 by VIS Light on Polythiophene-ZSM-5 Zeolite Hybrid Photo-Catalyst. Molecules 2019, 24, 992. [Google Scholar] [CrossRef]
- Zhang, Q.; Yang, C.; Guan, A.; Kan, M.; Zheng, G.; CO, P. Photocatalytic CO2 conversion: From C1 products to multi-carbon oxygenates. Nanoscale 2022, 14, 10268–10285. [Google Scholar] [CrossRef]
- Gong, S.; Niu, Y.; Liu, X.; Xu, C.; Chen, C.; Meyer, T.J.; Chen, Z. Selective CO2 Photoreduction to Acetate at Asymmetric Ternary Bridging Sites. ACS Nano 2023, 17, 4922–4932. [Google Scholar] [CrossRef]
- Kovačič, Ž.; Likozar, B.; Huš, M. Photocatalytic CO2 Reduction: A Review of Ab Initio Mechanism. Kinetics, and Multiscale Modeling Simulations. ACS Catal. 2020, 10, 14984–15007. [Google Scholar] [CrossRef]
- Gamayurova, V.S.; Zinov’eva, M.E.; Shnaider, K.L.; Davletshina, G.A. Lipases in Esterification Reactions: A Review. Catal. Ind. 2021, 13, 58–72. [Google Scholar] [CrossRef]
- Mendieta-Reyes, N.E.; Cheuquepán, W.; Rodes, A.; Gómez, R. Spectroelectrochemical Study of CO2 Reduction on TiO2 Electrodes in Acetonitrile. ACS Catal. 2020, 10, 103–113. [Google Scholar] [CrossRef]
- Xie, B.; Wong, R.J.; Tan, T.H.; Higham, M.; Gibson, E.K.; Decarolis, D.; Callison, J.; Aguey-Zinsou, K.-F.; Bowker, M.; Catlow, C.R.A.; et al. Synergistic ultraviolet and visible light photo-activation enables intensified low-temperature methanol synthesis over copper/zinc oxide/alumina. Nat. Commun. 2020, 11, 1615. [Google Scholar] [CrossRef]
- Ostad, M.I.; Shahrak, M.N.; Galli, F. Photocatalytic carbon dioxide reduction to methanol catalyzed by ZnO. Pt, Au, and Cu nanoparticles decorated zeolitic imidazolate framework-8. J. CO2 Util. 2021, 43, 101373. [Google Scholar] [CrossRef]
- Lashgari, M.; Soodi, S. CO2 conversion into methanol under ambient conditions using efficient nanocomposite photocatalyst/solar-energy materials in aqueous medium. RSC Adv. 2020, 10, 15072–15078. [Google Scholar] [CrossRef]
- Liu, Y.; Huang, R.; Hu, W.; Lin, L.; Liu, J.; Wang, Q.; Wang, D.; Wu, Z.; Zhang, J. High-performance photothermal conversion of sludge derived biochar and its potential for peroxydisulfate-based advanced oxidation processes. Sep. Purif. Technol. 2022, 303, 122214. [Google Scholar] [CrossRef]
- Yuan, J.; Gu, C.; Ding, W.; Hao, C. Correction to Photo-electrochemical Reduction of Carbon Dioxide into Methanol at CuFeO2 Nanoparticle-Decorated CuInS2 Thin-Film Photocathodes. Energy Fuels 2021, 35, 10944. [Google Scholar] [CrossRef]
- Bafaqeer, A.; Tahir, M.; Amin, N.A.S. Well-designed ZnV2O6/g-C3N4 2D/2D nanosheets heterojunction with faster charges separation via pCN as mediator towards enhanced photocatalytic reduction of CO2 to fuels. Appl. Catal. B Environ. 2019, 242, 312–326. [Google Scholar] [CrossRef]
- Shao, X.; Yin, X.; Wang, J. Nanoheterostructures of potassium tantalate and nickel oxide for photocatalytic reduction of carbon dioxide to methanol in isopropanol. J. Colloid Interface Sci. 2018, 512, 466–473. [Google Scholar] [CrossRef]
- Li, J.; Luo, D.; Yang, C.; He, S.; Chen, S.; Lin, J.; Zhu, L.; Li, X. Copper(II) imidazolate frameworks as highly efficient photocatalysts for reduction of CO2 into methanol under visible light irradiation. J. Solid State Chem. 2013, 203, 154–159. [Google Scholar] [CrossRef]
- Zhang, S.; Yin, X.; Zheng, Y. Enhanced photocatalytic reduction of CO2 to methanol by ZnO nanoparticles deposited on ZnSe nanosheet. Chem. Phys. Lett. 2018, 693, 170–175. [Google Scholar] [CrossRef]
- Sewify, G.H.; El-Hout, S.I. Ag2O-supported FePO4 heterojunctions: Facile fabrication and fast visible-light carbon dioxide photoreduction into methanol with superb recyclability. Mater. Sci. Semicond. Process. 2025, 187, 109160. [Google Scholar] [CrossRef]
- Li, M.; Liu, D.; Chen, X.; Yin, Z.; Shen, H.; Aiello, A.; McKenzie, K.R., Jr.; Jiang, N.; Li, X.; Wagner, M.J.; et al. Radical-Driven Decomposition of Graphitic Carbon Nitride Nanosheets: Light Exposure Matters. Environ. Sci. Technol. 2021, 55, 12414–12423. [Google Scholar] [CrossRef]
Disclaimer/Publisher’s Note: The statements, opinions and data contained in all publications are solely those of the individual author(s) and contributor(s) and not of MDPI and/or the editor(s). MDPI and/or the editor(s) disclaim responsibility for any injury to people or property resulting from any ideas, methods, instructions or products referred to in the content. |
© 2025 by the authors. Licensee MDPI, Basel, Switzerland. This article is an open access article distributed under the terms and conditions of the Creative Commons Attribution (CC BY) license (https://creativecommons.org/licenses/by/4.0/).