Enhanced Stability and Activity of Nitrogen-Doped Carbon Nanotube-Supported Ni Catalysts for Methane Dry Reforming
Abstract
1. Introduction
2. Results and Discussion
2.1. FTIR Spectra of All Supports
2.2. Effect of Nitrogen Precursors on Catalysts
2.3. Effect of Mixing Method on Catalysts
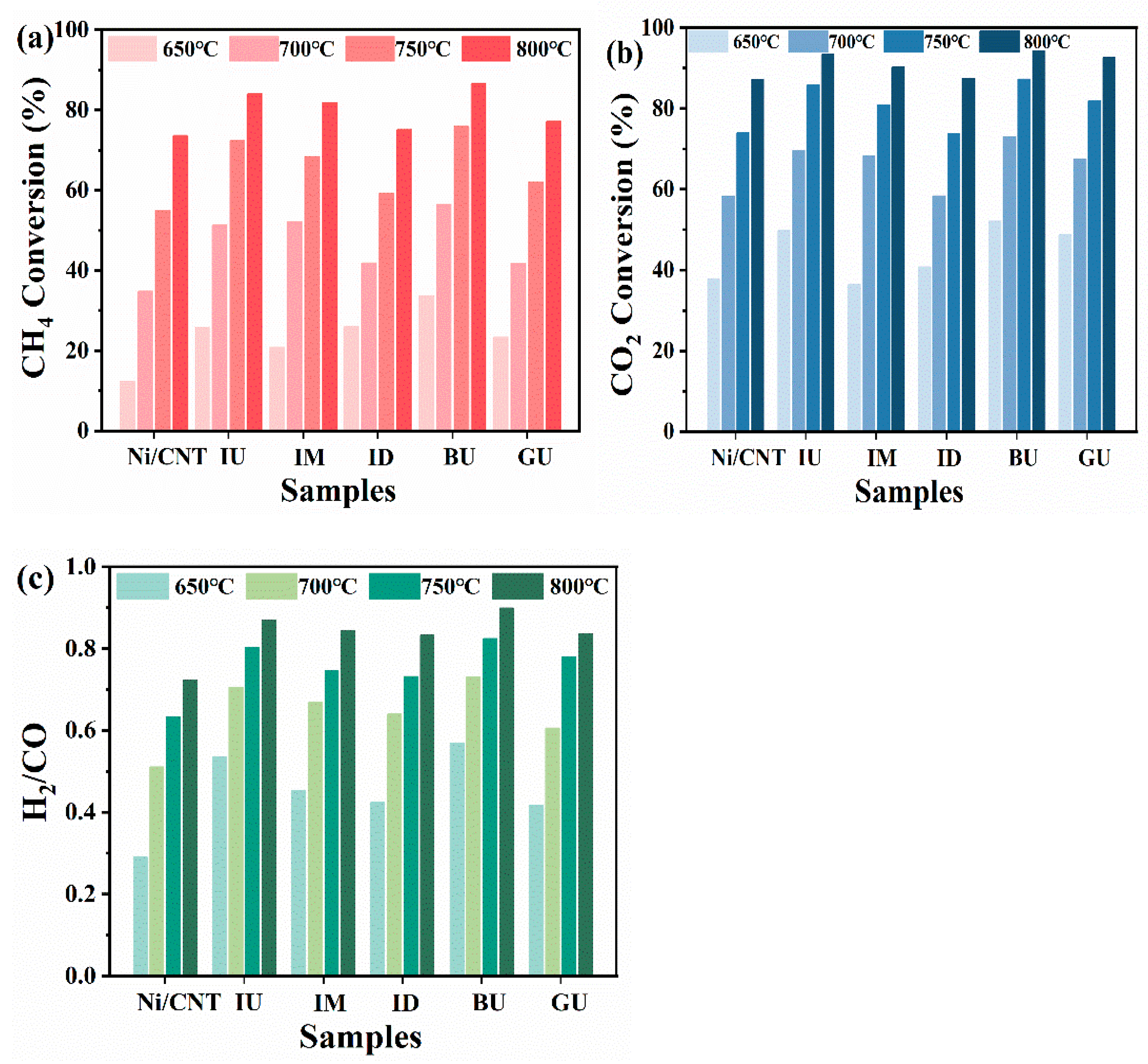
2.4. Catalyzing the Dry Reforming of Methane
2.5. Probing the Causes of Ni/NCNT-BU Inactivation
3. Experimental Section
3.1. Materials
3.2. Synthesis of NCNT-XY and Catalysts
3.2.1. Synthesis of NCNT-XY
3.2.2. Synthesis of Catalysts
3.3. Catalytic Characterization
3.4. Catalytic Test
4. Conclusions
Supplementary Materials
Author Contributions
Funding
Data Availability Statement
Conflicts of Interest
References
- Shi, Y.; Su, W.; Xing, Y.; Cui, Y.; Liu, X.; Guo, W.; Che, Z. Research progress and future prospects of chemical utilization of CO2. Chem. Eng. J. 2025, 510, 161579. [Google Scholar] [CrossRef]
- Montejano-Nares, E.; Martínez-Navarro, B.; López, E.C.; Asedegbega-Nieto, E.; Valiente, Á.M.; Conesa Alonso, J.M.; Rodríguez Ramos, I.; Guerrero Ruíz, A.R.; Ivars-Barceló, F. Avoiding dry reforming control in direct CH4 and CO2 conversion operating at low-temperature below ambient pressure over AgPd4-Fe3-δO4 nanocomposite. Chem. Eng. J. 2023, 474, 145373. [Google Scholar] [CrossRef]
- Meng, S.; Lambert, T.H.; Milner, P.J. Harnessing oxidized amines as robust sorbents for carbon capture. J. Am. Chem. Soc. 2025, 147, 6786–6794. [Google Scholar] [CrossRef] [PubMed]
- Zhou, L.; Martirez, J.M.P.; Finzel, J.; Zhang, C.; Swearer, D.F.; Tian, S.; Robatjazi, H.; Lou, M.; Dong, L.; Henderson, L.; et al. Light-driven methane dry reforming with single atomic site antenna-reactor plasmonic photocatalysts. Nat. Energy 2020, 5, 61–70. [Google Scholar] [CrossRef]
- Lv, H.; Dong, X.; Li, R.; Zeng, C.; Zhang, X.; Song, Y.; Liu, H.; Shao, J.; Ta, N.; Zhao, Q.; et al. Super-dry reforming of methane using a tandem electro-thermocatalytic system. Nat. Chem. 2025, 17, 695–702. [Google Scholar] [CrossRef]
- Li, Y.; Yao, L.; Li, J.; Yu, T.; Qiu, L.; Nasir, M.S.; Wang, T.; Rahman, M.A.; Anand, N.; Sadaf, S.M.; et al. GaN nanowire-supported NiOx for low-temperature and durable dry reforming of methane toward syngas. Appl. Catal. B Environ. 2025, 366, 125051. [Google Scholar] [CrossRef]
- Su, J.; Liu, C.; Zhou, H.; Zhang, L.; Jiao, W.; Liu, S.; Wang, Y.; Xie, Z. Syngas chemistry: Rational design of tandem reaction pathway for directional hydrocarbon synthesis. Chem 2025, 102552. [Google Scholar] [CrossRef]
- Dwarica, N.S.; Rice, P.S.; Groh, J.T.; Gibson, N.J.; Menges, F.S.; Mercado, B.Q.; Raugei, S.; Mayer, J.M. Hydrogen adsorption, reactivity, and catalysis on colloidal iron carbide nanoparticles. ACS Catal. 2025, 15, 6115–6129. [Google Scholar] [CrossRef]
- Ahasan, M.R.; Hossain, M.M.; Barlow, Z.; Ding, X.; Wang, R. Low-temperature plasma-assisted catalytic dry reforming of methane over CeO2 nanorod-supported NiO catalysts in a dielectric barrier discharge reactor. ACS Appl. Mater. Interfaces 2025, 15, 44984–44995. [Google Scholar] [CrossRef]
- Diao, J.; Zhang, T.; Xu, Z.; Guo, G. The atomic-level adjacent NiFe bimetallic catalyst significantly improves the activity and stability for plasma-involved dry reforming reaction of CH4 and CO2. Chem. Eng. J. 2023, 467, 143271. [Google Scholar] [CrossRef]
- Tu, Z.; Mu, C.; Yao, Y.; Wu, L.; Zou, Y.; Tong, Z.; Huang, K. Recent advances in unconventional heating and external field-assisted enhancement for dry reforming of methane. Chem. Eng. J. 2024, 481, 148899. [Google Scholar] [CrossRef]
- Al-Fatesh, A.S.; Arafat, Y.; Kasim, S.O.; Ibrahim, A.A.; Abasaeed, A.E.; Fakeeha, A.E. In situ auto-gasification of coke deposits over a novel Ni-Ce/W-Zr catalyst by sequential generation of oxygen vacancies for remarkably stable syngas production via CO2-reforming of methane. Appl. Catal. B Environ. 2021, 280, 119445. [Google Scholar] [CrossRef]
- Zhang, Z.; Zhang, Y.; Liu, L. Role and mechanism of calcium-based catalysts for methane dry reforming: A review. Fuel 2024, 355, 129329. [Google Scholar] [CrossRef]
- Romay, M.; Serrano, D.P.; Escola, J.M.; Pizarro, P. Unravelling the effectiveness of the small partial substitution of Fe by Ni in La0.9Sr0.1Fe1-xNixO3 perovskites to improve their performance in dry reforming of methane. Chem. Eng. J. 2024, 496, 154039. [Google Scholar] [CrossRef]
- Feng, X.; Du, Z.; Sarnello, E.; Deng, W.; Petru, C.R.; Fang, L.; Li, T.; Li, Y. Syngas production at a near-unity H2/CO ratio from photo-thermo-chemical dry reforming of methane on a Pt decorated Al2O3–CeO2 catalyst. J. Mater. Chem. A 2022, 10, 7896–7910. [Google Scholar] [CrossRef]
- Gangarajula, Y.; Hong, F.; Li, Q.; Jiang, X.; Liu, W.; Akri, M.; Su, Y.; Zhang, Y.; Li, L.; Qiao, B. Operando induced strong metal-support interaction of Rh/CeO2 catalyst in dry reforming of methane. App. Catal. B Environ. 2024, 343, 123503. [Google Scholar] [CrossRef]
- Yu, H.; Wang, Y.; Tao, X.; Yu, F.; Zhao, T.; Li, M.; Wang, H. Interfacial metal–support interaction and catalytic performance of perovskite LaCrO3-supported Ru catalyst. ACS Appl. Mater. Interfaces 2024, 16, 17483–17492. [Google Scholar] [CrossRef]
- Liang, D.; Wang, Y.; Wang, Y.; Chen, M.; Xie, X.; Li, C.; Wang, J.; Yuan, L. Dry reforming of methane for syngas production over noble metals modified M-Ni@S-1 catalysts (M = Pt, Pd, Ru, Au). Int. J. Hydrogen Energy 2024, 45, 1002–1015. [Google Scholar] [CrossRef]
- Cheng, F.; Duan, X.; Xie, K. Dry reforming of CH4/CO2 by stable Ni nanocrystals on porous single-crystalline MgO monoliths at reduced temperature. Angew. Chem. Int. Ed. 2021, 60, 18792–18799. [Google Scholar] [CrossRef]
- Pirshahid, M.R.B.; Alavi, S.M.; Rezaei, M.; Akbari, E.; Varbar, M.; Khosravi, K. Novel highly efficient Ni-based mesoporous alumina-silica supported catalysts for methane dry reforming: Influence of nickel loading. J. Energy Inst. 2023, 110, 123503. [Google Scholar] [CrossRef]
- Lyu, L.; Zhang, J.; Ma, Q.; Makpal, S.; Gao, X.; Fan, H.; Zhang, J.; Sun, J.; Zhao, T. Fe doped bimodal macro/mesoporous nickel-based catalysts for CO2-CH4 reforming. Ind. Eng. Chem. Res. 2022, 61, 10347–10356. [Google Scholar] [CrossRef]
- Shi, Y.; Tian, X.; Deng, Z.; Shi, W.; Fan, W.; Wang, F. Review and outlook of confined Ni catalysts for the dry reforming of methane reaction. Energy Fuels 2024, 38, 1633–1656. [Google Scholar] [CrossRef]
- Gai, X.; Yang, D.; Tang, R.; Luo, M.; Lu, P.; Xing, C. Preparation of Ni-Co/SiO2 catalyst by ammonia reflux impregnation and its CH4-CO2 reforming reaction performance. Fuel 2022, 316, 123337. [Google Scholar] [CrossRef]
- Gong, B.; Su, T.; Xie, X.; Ji, H.; Qin, Z. Promotional effects of Mg-substituted Ni/MgxHAP catalysts on carbon resistance during dry reforming of methane. Ind. Eng. Chem. Res. 2023, 62, 12935–12948. [Google Scholar] [CrossRef]
- Pinto, D.; Hu, L.; Urakawa, A. Enabling complete conversion of CH4 and CO2 in dynamic coke-mediated dry reforming (DC-DRM) on Ni catalysts. Chem. Eng. J. 2023, 474, 145641. [Google Scholar] [CrossRef]
- Kaviani, M.; Rezaei, M.; Alavi, S.M.; Akbari, E. Biogas dry reforming over nickel-silica sandwiched core-shell catalysts with various shell thicknesses. Fuel 2024, 355, 129533. [Google Scholar] [CrossRef]
- Qin, Z. Nanostructure design of catalysts: Latest advances and prospects. Nanomaterials 2023, 13, 1980. [Google Scholar] [CrossRef]
- Li, L.; Zheng, J.; Liu, Y.; Wang, W.; Huang, Q.; Chu, W. Impacts of SiC support and nickel precursor of NiLa/support catalysts for CO2 selective hydrogenation to synthetic natural gas (SNG). ChemistrySelect 2017, 2, 3750–3757. [Google Scholar] [CrossRef]
- Han, K.; Shi, H.; He, G.; Liao, F.; Wang, J.; An, C. Application of Pickering emulsion with multilayer dispersion-enhancement synergy of carbon nanotubes in composite energetic materials. Chem. Eng. J. 2025, 505, 159799. [Google Scholar] [CrossRef]
- Hayashi, K.; Nakano, T.; Inoue, Y. Enhancing thermal conduction properties of vertically aligned CNT forests by reducing interfacial thermal resistance using an aluminum interlayer. Carbon 2025, 238, 120256. [Google Scholar] [CrossRef]
- Łamacz, A.; Jagódka, P.; Stawowy, M.; Matus, K. Dry reforming of methane over CNT-supported CeZrO2 Ni and Ni-CeZrO2 catalysts. Catalysts 2020, 10, 741. [Google Scholar] [CrossRef]
- Ma, Q.; Wang, D.; Wu, M.; Zhao, T.; Yoneyama, Y.; Tsubaki, N. Effect of catalytic site position: Nickel nanocatalyst selectively loaded inside or outside carbon nanotubes for methane dry reforming. Fuel 2013, 108, 430–438. [Google Scholar] [CrossRef]
- Wang, W.; Duong-Viet, C.; Ba, H.; Baaziz, W.; Tuci, G.; Caporali, S.; Nguyen-Dinh, L.; Ersen, O.; Gianbastiani, G.; Pham-Huu, C. Nickel nanoparticles decorated nitrogen-doped carbon nanotubes (Ni/N-CNT); A robust catalyst for the efficient and selective CO2 methanation. ACS Appl. Energy Mater. 2019, 2, 1111–1120. [Google Scholar] [CrossRef]
- Gödde, J.; Merko, M.; Xia, W.; Muhler, M. Nickel nanoparticles supported on nitrogen-doped carbon nanotubes are a highly active, selective and stable CO2 methanation catalyst. J. Energy Chem. 2021, 54, 323–331. [Google Scholar] [CrossRef]
- Gonçalves, L.P.L.; Meledina, M.; Meledin, A.; Petrovykh, D.Y.; Sousa, J.P.S.; Soares, O.S.G.P.; Kolen’ko, Y.V.; Pereira, M.F.R. Understanding the importance of N-doping for CNT-supported Ni catalysts for CO2 methanation. Carbon 2022, 195, 35–43. [Google Scholar] [CrossRef]
- Zhang, G.; Sun, Y.; Xu, Y.; Zhang, R. Catalytic performance of N-doped activated carbon supported cobalt catalyst for carbon dioxide reforming of methane to synthesis gas. J. Taiwan Inst. Chem. Eng. 2018, 93, 234–244. [Google Scholar] [CrossRef]
- Guo, Y.; Dong, A.; Huang, Q.; Li, Q.; Hu, Y.; Qian, J.; Huang, S. Hierarchical N-doped CNTs grafted onto MOF-derived porous carbon nanomaterials for efficient oxygen reduction. J. Colloid Interface Sci. 2022, 606, 1833–1841. [Google Scholar] [CrossRef]
- Yao, Y.; Zhang, J.; Chen, H.; Yu, M.; Gao, M.; Hu, Y.; Wang, S. Ni0 encapsulated in N-doped carbon nanotubes for catalytic reduction of highly toxic hexavalent chromium. Appl. Surf. Sci. 2018, 440, 421–431. [Google Scholar] [CrossRef]
- Dong, F.; Liang, X.; Zhang, Z.; Yin, H.; Wang, D.; Li, J.; Li, Y. Atomic Pt Sites Anchored in the Interface between Grains on Vacancy-Enriched CeO2 Nanosheets: One-Step Precursor Combustion Synthesis. Adv. Mater. 2024, 36, 109667. [Google Scholar] [CrossRef]
- Chen, L.; Ng, K.H.; Hsu, L. Self-regenerative Ni/SiO2 for dry reforming of methane (DRM): 1000 h-longevity assessment and operando insights to coke removal under N2 atmosphere. Chem. Eng. J. 2024, 499, 155907. [Google Scholar] [CrossRef]
- Benedetti, V.; Ail, S.S.; Patuzzi, F.; Baratieri, M. Valorization of char from biomass gasification as catalyst support in dry reforming of methane. Front. Chem. 2019, 7, 119. [Google Scholar] [CrossRef] [PubMed]
- Zhang, F.; Liu, X.; Yang, C.; Chen, G.; Meng, Y.; Zhou, H.; Zhang, S. Insights into robust carbon nanotubes in tribology: From nano to macro. Mater. Today 2024, 74, 203–234. [Google Scholar] [CrossRef]
- Qiao, M.; Meysami, S.S.; Ferrero, G.A.; Xie, F.; Meng, H.; Grobert, N.; Titirici, M. Low-cost chitosan-derived N-doped carbons boost electrocatalytic activity of multiwall carbon nanotubes. Adv. Funct. Mater. 2018, 28, 1707284. [Google Scholar] [CrossRef]
- Jiang, Z.; Shi, Y.; Bai, Y.; Song, X.; Wang, J.; Lv, P.; Wu, S.; Su, W. Pyridinic N and carbon defects synergistically promote methane dry reforming to syngas catalyzed by Co/N-CNTs. Fuel 2023, 337, 127136. [Google Scholar] [CrossRef]
- Zhang, X.; Zhang, G.; Liu, J.; Li, G.; Zhao, Y.; Wang, Y.; Lv, Y. Effects of defective structure originating from N incorporation-evaporation of Co-based biomass carbon catalysts on methane dry reforming. Fuel 2024, 357, 129752. [Google Scholar] [CrossRef]
- Rocha, R.P.; Soares, O.S.G.P.; Gonçalves, A.G.; Órfão, J.J.M.; Pereira, M.F.R.; Figueiredo, J.L. Different methodologies for synthesis of nitrogen doped carbon nanotubes and their use in catalytic wet air oxidation. Appl. Catal. A Gen. 2017, 548, 62–70. [Google Scholar] [CrossRef]
- Xiao, M.; Zhou, Q.; Zhang, Y.; Kou, X.; Niu, D.; Ma, L.; Xu, J. Fabrication of carbon nanotubes with rich Pyridinic nitrogen in H2/Ar atmosphere for efficient electroreduction of CO2 to CO. Diam. Relat. Mater. 2023, 132, 109667. [Google Scholar] [CrossRef]
- Soares, O.S.G.P.; Rocha, R.P.; Órfão, J.J.M.; Pereira, M.F.R.; Figueiredo, J.L. Mechanothermal approach for N-, S-, P-, and B-doping of carbon nanotubes: Methodology and catalytic performance in wet air oxidation. Chimia 2019, 5, 30. [Google Scholar] [CrossRef]
- Li, Y.; Zhang, T.; Wang, Y.; Wang, B. Transformation of waste cornstalk into versatile porous carbon adsorbent for selective CO2 capture and efficient methanol adsorption. J. Environ. Chem. Eng. 2021, 9, 106149. [Google Scholar] [CrossRef]
- Wu, C.; Liu, J.; Wu, W.; Wang, Y.; Zhao, Y.; Li, G.; Zhang, Y.; Zhang, G. Mild modification of sponge-like carbon: Ammonia post-treatment for enhanced CO2 adsorption and suitability for supercapacitors. Sep. Purif. Technol. 2025, 353, 128525. [Google Scholar] [CrossRef]
- Zhang, R.; Liu, D.; Wu, D.; Liu, Y.; Gui, J.; Zhong, C.; Chen, S.; Wang, J. Low temperature synthesis of nitrogen-rich biomass for high-performance removal of phosphate. J. Environ. Chem. Eng. 2022, 10, 107000. [Google Scholar] [CrossRef]
- Zhang, D.; Wei, G.; Wang, Y.; Wang, J.; Ning, P.; Zhang, Q.; Wang, M.; Zhang, T.; Long, K. Carbon dioxide reforming of methane over MgO promoted Ni/CNT catalyst. Korean J. Chem. Eng. 2018, 35, 1979–1987. [Google Scholar] [CrossRef]
- Kim, D.; Kim, J.H.; Li, M.; Noda, S.; Kim, J.; Kim, K.S.; Yang, C. Controllable pore structures of pure and sub-millimeter-long carbon nanotubes. Appl. Surf. Sci. 2021, 566, 150751. [Google Scholar] [CrossRef]
- Likodimos, V.; Steriotis, T.A.; Papageorgiou, S.K.; Romanos, G.E.; Marques, R.R.N.; Rocha, R.P.; Faria, J.L.; Pereira, M.F.R.; Figueiredo, J.L.; Silva, A.M.T.; et al. Controlled surface functionalization of multiwall carbon nanotubes by HNO3 hydrothermal oxidation. Carbon 2014, 69, 311–326. [Google Scholar] [CrossRef]
- Swetha, A.C.; Ghosh, C.; Dasgupta, A.; Murugadoss, A. Disordered nickel oxide nanostructure-enriched bimetallic AuNi nanoparticles for methanol electrooxidation. ACS Appl. Nano Mater. 2025, 8, 6541–6553. [Google Scholar] [CrossRef]
- Wu, Z.; Wang, T.; Zou, J.; Li, Y.; Zhang, C. Amorphous nickel oxides supported on carbon nanosheets as high-performance catalysts for electrochemical synthesis of hydrogen peroxide. ACS Catal. 2022, 12, 5911–5920. [Google Scholar] [CrossRef]
- Zhang, M.; Hu, C.; Li, N.; Zhang, Y.; Khodakov, A.; Zhang, Y.; Wang, L.; Li, J.; Hong, J. Low temperature glycerol steam reforming on Ni/CNTs catalysts: The effect of nano-confinement. Int. J. Hydrogen Energy 2024, 91, 1253–1261. [Google Scholar] [CrossRef]
- Zhen, W.; Li, B.; Lu, G.; Ma, J. Enhancing catalytic activity and stability for CO2 methanation on Ni@ MOF-5 via control of active species dispersion. Chem. Commun. 2015, 51, 1728–1731. [Google Scholar] [CrossRef]
- Shi, L.; Li, Y.; Xue, D.; Tan, P.; Jiang, Y.; Liu, X.; Sun, L. Fabrication of highly dispersed nickel in nanoconfined spaces of as-made SBA-15 for dry reforming of methane with carbon dioxide. Chem. Eng. J. 2020, 390, 124491. [Google Scholar] [CrossRef]
- Wang, S.; Wang, J. Degradation of sulfamethoxazole using peroxymonosulfate activated by cobalt embedded into N, O co-doped carbon nanotubes. Sep. Purif. Technol. 2021, 277, 119457. [Google Scholar] [CrossRef]
- Daouraa, O.; Fornasieric, G.; Boutrosa, M.; Hassand, N.E.; Beaunierb, P.; Thomasb, C.; Selmane, M.; Miche, A.; Sassoye, C.; Ersen, O.; et al. One-pot prepared mesoporous silica SBA-15-like monoliths with embedded Ni particles as selective and stable catalysts for methane dry reforming. Appl. Catal. B Environ. 2021, 280, 119417. [Google Scholar] [CrossRef]
- Zeng, F.; Zhang, J.; Xu, R.; Zhan, R.; Ge, J. Highly dispersed Ni/MgO-mSiO2 catalysts with excellent activity and stability for dry reforming of methane. Nano Res. 2022, 15, 5004–5013. [Google Scholar] [CrossRef]
- Li, T.; Liu, J.; Zhang, Y.; Zhang, X.; Wang, Y.; Zhao, Y.; Li, G.; Zhang, G. Utilization of coal gasification fine slag-derived mesoporous silica supports for enhanced dry reforming of methane catalysts. Fuel 2024, 375, 132619. [Google Scholar] [CrossRef]
- Amin, R.; Liu, B.; Huang, Z.B.; Zhao, Y.C. Hydrogen and syn gas production via CO2 dry reforming of methane over Mg/La promoted Co–Ni/MSU-S catalyst. Int. J. Hydrogen Energy 2016, 41, 807–819. [Google Scholar] [CrossRef]
- Yuan, F.; Huang, Y.; Fan, M.; Chen, C.; Qian, J.; Hao, Q.; Yang, J.; Sun, D. N-doped carbon nanofibrous network derived from bacterial cellulose for the loading of Pt nanoparticles for methanol oxidation reaction. Chem. Eur. J. 2018, 24, 1844–1852. [Google Scholar] [CrossRef]
- Madrona, C.; Vila, M.; Oropeza, F.E.; de La Peña O’Shea, V.A.; Vilatela, J.J. Macroscopic yarns of FeCl3-intercalated collapsed carbon nanotubes with high doping and stability. Carbon 2021, 173, 311–321. [Google Scholar] [CrossRef]
- Mofokeng, T.P.; Tetana, Z.N.; Ozoemena, K.I. Defective 3D nitrogen-doped carbon nanotube-carbon fiber networks for high-performance supercapacitor: Transformative role of nitrogen-doping from surface-confined to diffusive kinetics. Carbon 2020, 169, 312–326. [Google Scholar] [CrossRef]
- Diao, Y.; Zhang, X.; Liu, Y.; Chen, B.; Wu, G.; Shi, C. Plasma-assisted dry reforming of methane over Mo2C-Ni/Al2O3 catalysts: Effects of β-Mo2C promoter. App. Catal. B Environ. 2022, 301, 120779. [Google Scholar] [CrossRef]
- Liang, Z.; Zhang, Y.; Zhang, G.; Liu, J.; Cai, Y.; Wang, Y.; Zhao, Y.; Li, G.; Bei, K. Promotion effect of different lanthanide doping on Co/Al2O3 catalyst for dry reforming of methane. Int. J. Hydrogen Energy 2023, 48, 18644–18656. [Google Scholar] [CrossRef]
- Wang, Y.; Yao, L.; Wang, Y.; Wang, S.; Zhao, Q.; Mao, D.; Hu, C. Low-temperature catalytic CO2 dry reforming of methane on Ni-Si/ZrO2 catalyst. ACS Catal. 2018, 8, 6495–6506. [Google Scholar] [CrossRef]
- Donphai, W.; Faungnawakij, K.; Chareonpanich, M.; Limtrakul, J. Effect of Ni-CNTs/mesocellular silica composite catalysts on carbon dioxide reforming of methane. Appl. Catal. A Gen. 2014, 475, 16–26. [Google Scholar] [CrossRef]
- Figueira, C.E.; Junior, P.F.M.; Giudici, R.; Alves, R.M.B.; Schmal, M. Nanoparticles of Ce, Sr, Co in and out the multi-walled carbon nanotubes applied for dry reforming of methane. Appl. Catal. A Gen. 2018, 550, 297–307. [Google Scholar] [CrossRef]











| Samples | SBET (m2/g) a | Vp (cm3/g) b | da (nm) b |
|---|---|---|---|
| CNT | 254.9 | 2.02 | 22.3 |
| NCNT-IU | 241.6 | 2.05 | 21.5 |
| NCNT-IM | 144.2 | 1.24 | 20.6 |
| NCNT-ID | 126.3 | 0.81 | 18.8 |
| Ni/CNT | 243.8 | 1.60 | 19.7 |
| Ni/NCNT-IU | 268.1 | 1.23 | 13.8 |
| Ni/NCNT-IM | 238.2 | 1.11 | 13.8 |
| Ni/NCNT-ID | 211.9 | 1.23 | 16.9 |
| Samples | SBET (m2/g) | Vp (cm3/g) | da (nm) |
|---|---|---|---|
| NCNT-BU | 239.6 | 1.74 | 20.3 |
| NCNT-GU | 239.9 | 1.82 | 21.7 |
| Ni/NCNT-BU | 243.6 | 1.38 | 17.4 |
| Ni/NCNT-GU | 253.5 | 1.56 | 18.2 |
Disclaimer/Publisher’s Note: The statements, opinions and data contained in all publications are solely those of the individual author(s) and contributor(s) and not of MDPI and/or the editor(s). MDPI and/or the editor(s) disclaim responsibility for any injury to people or property resulting from any ideas, methods, instructions or products referred to in the content. |
© 2025 by the authors. Licensee MDPI, Basel, Switzerland. This article is an open access article distributed under the terms and conditions of the Creative Commons Attribution (CC BY) license (https://creativecommons.org/licenses/by/4.0/).
Share and Cite
Tao, Z.; Shen, D.; Liu, Y.; Zhang, X.; Zhang, G. Enhanced Stability and Activity of Nitrogen-Doped Carbon Nanotube-Supported Ni Catalysts for Methane Dry Reforming. Catalysts 2025, 15, 559. https://doi.org/10.3390/catal15060559
Tao Z, Shen D, Liu Y, Zhang X, Zhang G. Enhanced Stability and Activity of Nitrogen-Doped Carbon Nanotube-Supported Ni Catalysts for Methane Dry Reforming. Catalysts. 2025; 15(6):559. https://doi.org/10.3390/catal15060559
Chicago/Turabian StyleTao, Zhizhi, Dong Shen, Yanni Liu, Xiaodi Zhang, and Guojie Zhang. 2025. "Enhanced Stability and Activity of Nitrogen-Doped Carbon Nanotube-Supported Ni Catalysts for Methane Dry Reforming" Catalysts 15, no. 6: 559. https://doi.org/10.3390/catal15060559
APA StyleTao, Z., Shen, D., Liu, Y., Zhang, X., & Zhang, G. (2025). Enhanced Stability and Activity of Nitrogen-Doped Carbon Nanotube-Supported Ni Catalysts for Methane Dry Reforming. Catalysts, 15(6), 559. https://doi.org/10.3390/catal15060559

