Abstract
This paper elucidates the consecutive chain transfer reaction, initially to (p-vinylphenyl) methyl dichlorosilane (or (p-vinylbenzyl) methyl dichlorosilane), followed by hydrogen, during metallocene-catalyzed propylene polymerization by an isospecific metallocene catalyst (i.e., rac-dimethylsilylbis(2-methyl-4-phenylindenyl)zirconium dichloride, I)/ activated with methylaluminoxane (MAO), rendering a catalytic access styryldichlorosilane capped isotactic polypropylenes (iPP). The PP molecular weight is inversely related to the molar ratio of [(p-vinylphenyl) methyl dichlorosilane]/[propylene] and [(p-vinylbenzyl) methyl dichlorosilane]/[propylene]. Every polypropylene chain formed presents a terminal (p-vinylphenyl) methyl dichlorosilane (or (p-vinylbenzyl) methyl dichlorosilane) unit. Hydrogen enhances the concentration of the starting arm polymer for the subsequent synthesis of the star polymer by increasing the incorporation of the chain terminal group. In order to create star polymers with isotactic polypropylene(iPP) as the arm and a siloxane cross-linking structure as the core, the terminal dichlorosilane iPP unit can work up (with water) to create cyclic siloxane oligomer interlinkages between iPP chains.
1. Introduction
The pursuit of functionalized polyolefins has been a cornerstone of polymer science since the mid-20th century, driven by the desire to expand the application landscape of these ubiquitous materials [1,2,3,4,5,6]. Polyethylene (PE) and polypropylene (PP), the workhorses of the thermoplastic industry, are inherently non-polar and lack the surface properties necessary for many advanced applications. Functionalization, the strategic introduction of polar functionalities, addresses these limitations, endowing polyolefins with enhanced paintability, adhesion, and compatibility with diverse materials. This ability to tailor surface properties unlocks a plethora of new applications, from high-performance coatings and adhesives to advanced composites and biomedical devices [7,8,9,10,11,12].
A particularly intriguing avenue within polyolefin functionalization is the synthesis of star-shaped polymers. These unique architectures, characterized by multiple polymer chains radiating from a central core, offer a fascinating blend of scientific challenge and potential for novel properties [13,14]. Star polymers exhibit distinct rheological and mechanical behaviors compared to their linear counterparts, stemming from their compact, spherical structure and high degree of chain-end functionality. This translates to unique properties such as reduced melt viscosity, enhanced solution behavior, and improved impact resistance, making them promising candidates for a wide range of applications, including drug delivery, nanolithography, and advanced coatings [15,16].
Despite the vast potential of star polyolefins, their synthesis, particularly for isotactic polypropylene (iPP), has remained a significant challenge. iPP, a highly commercially relevant polymer, is typically synthesized via coordination polymerization, a mechanism that presents inherent difficulties to precisely controlling chain architecture [17]. The conventional approaches to star polymer synthesis, namely “core-first” and “arm-first”, encounter significant hurdles when applied to iPP. The “core-first” approach, relying on multifunctional initiators, is hampered by the scarcity of suitable initiators capable of initiating isospecific propylene polymerization. The “arm-first” approach, involving the coupling of pre-formed iPP chains, is complicated by the inherent limitations of coordination polymerization, including chain transfer reactions and the difficulty of introducing reactive functional groups at the chain ends [18,19,20].
Existing methodologies for star iPP synthesis have primarily relied on grafting-onto strategies, which involve multiple steps, including the synthesis of reactive iPP arms and multifunctional cores. While these approaches have achieved some success, they often suffer from limitations such as low arm numbers, steric hindrance during grafting, and complex synthetic procedures [21]. The only previous “arm-first” approach resulted in broad arm distributions and showed a strong dependence on the silane’s functionality (tri vs. di-chlorosilanes). This highlights a pressing need for a more efficient and versatile synthetic strategy that overcomes these challenges and enables the precise control of star iPP architecture [22].
Our approach addresses these limitations by employing a novel consecutive chain transfer reaction during metallocene-catalyzed propylene polymerization. This strategy uniquely combines the controlled insertion of styryldichlorosilanes, such as (p-vinylphenyl) methyl dichlorosilane or (p-vinylbenzyl) methyl dichlorosilane, with subsequent hydrogen activation. This dual chain transfer mechanism enables the precise introduction of dichlorosilane functionalities at the iPP chain ends, effectively boosting the concentration of reactive chain ends for subsequent star polymer formation. By controlling the molar ratio of styryldichlorosilane to propylene, we can precisely tailor the molecular weight of the iPP arms. Subsequent hydrolysis of the terminal dichlorosilane groups leads to the formation of siloxane crosslinks, resulting in the desired star iPP architecture.
2. Results and Discussion
2.1. Propylene Polymerization
In this study, the synthesis of styryl dichlorosilane-capped isotactic polypropylenes (iPP) via a consecutive chain transfer reaction employs a styryldichlorosilane chain transfer agent and is carried out with a methylaluminoxane (MAO)-activated metallocene catalyst. Chung et al. [23]. initially reported a novel technique that enabled the functionalization of the iPP chain using a silane containing a styryl end during propylene polymerization. In the current study, (p-vinylphenyl) methyl dichlorosilane (M1) or (p-vinylbenzyl) methyl dichlorosilane (M2) is carried to the iPP chain’s end. The dichlorosilane-terminated iPPs were methoxylated using with absolute methanol, as detailed in Scheme 1. The resulting iPPs, terminated with methoxysilane groups, were used for further detailed structural analysis.
Scheme 1.
Synthesis of terminally methoxysilane-funtionalized iPP.
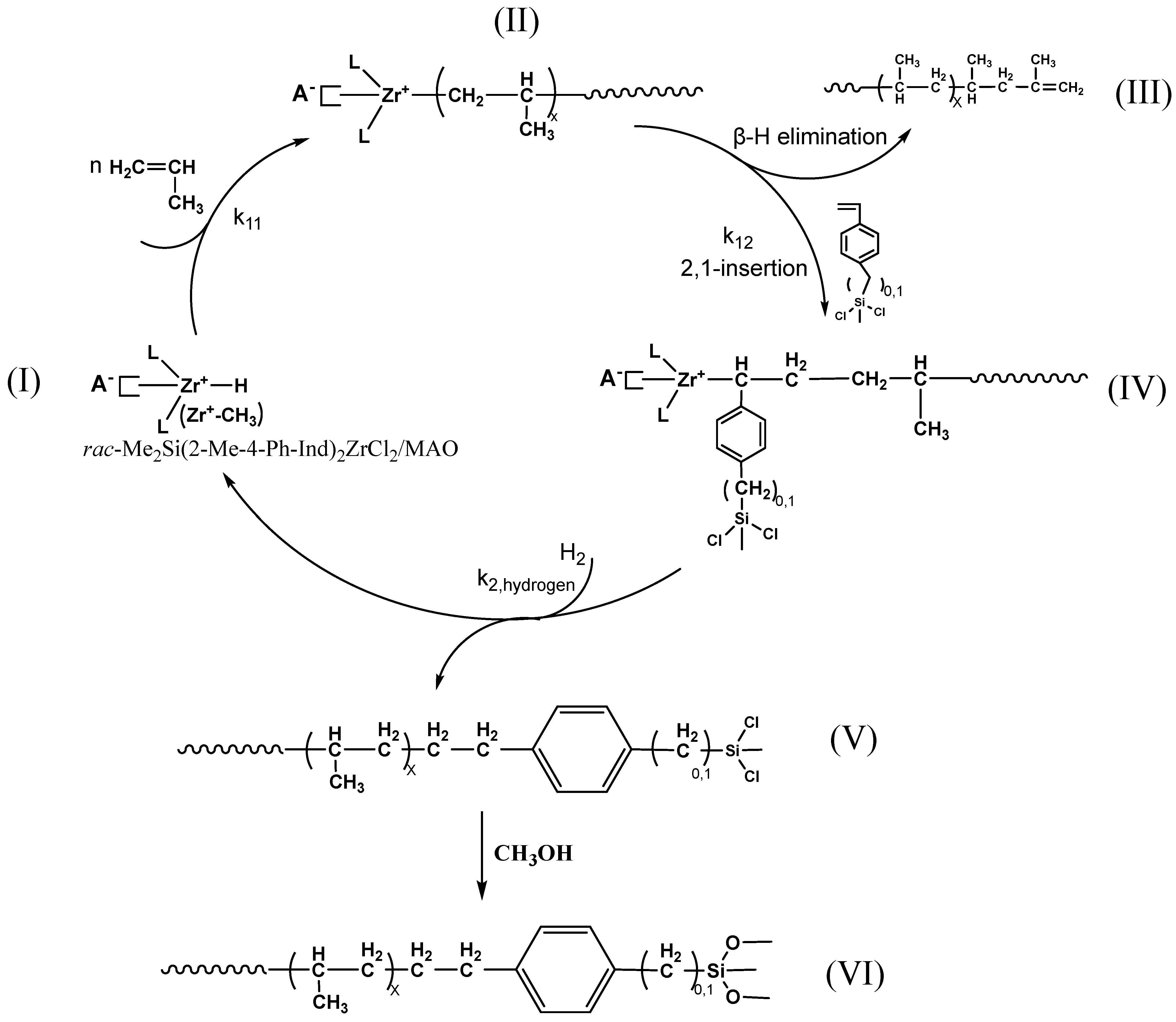
During propylene polymerization via the 1,2-manner, the active Zr-C propagation site (II) can also engage with M1 via the 2,1-manner, leading to the formation of an inactive propagation site (III) at the terminal M1 unit. While the catalytic Zr-C site in compound (III) loses its activity toward both propylene and M1, this dormant Zr-C site (III) is able to interact with hydrogen. This reaction produces a polypropylene terminated with styryldichlorosilane (pp-t-st-M1) (V) and regenerates a Zr-H species (I). The renewed Zr-H species (I) can reinitiate propylene polymerization, thereby sustaining the catalytic cycle.
This consecutive chain transfer reaction using α-olefins and styrenic molecules is feasible if side reactions like copolymerization and direct chain transfer to hydrogen, monomer, or via β-hydride elimination are minimized. The rac-Me2Si [2-Me-4-Ph(Ind)]2ZrCl2/MAO catalyst is well-suited for this [24] due to its high regio- and styrenic-regularity in propylene polymerization, high molecular weight capability, and low copolymerization and undesirable chain transfer activity. Its regioselective propylene insertion minimizes chain transfer. The regioselective 1,2-insertion [25,26,27,28,29] of propylene is known to be the key factor to reducing chain transfer reactions. Table 1 presents the results of two systematic investigations into propylene polymerization. These studies were conducted using a rac-Me2Si[2-Me-4-Ph(Ind)]2ZrCl2/MAO catalyst system, with the addition of M1/hydrogen and M2/hydrogen as chain transfer agents, respectively. The incorporation of styrenic molecules effectively lowers the propylene polymerization and hydrogen restores the catalyst activity, proving that hydrogen is needed to complete the chain transfer cycle. Comparing runs from M1-1 to M1-6 by altering the M1 or M2 concentration, we find out that increasing the concentration of the M1 lowers the molecular weight of the resulting polymer with a limited molecular weight, characteristic of single-site polymerization processes.
Table 1.
Conditions and results of methoxysilane-terminated iPP a.
The GPC curves of PP-t-M1 polymers (M1-2, M1-3, M1-5, M1-6 in Table 1) obtained by propylene polymerization mediated by rac-Me2Si[2-Me-4-Ph(Ind)]2ZrCl2 in the presence of M1/hydrogen are displayed in Figure 1. As the concentration of M1 increased, it became evident that the molecular weight of the polymer was decreasing. The polymer’s narrow molecular weight distribution (Mw/Mn = ~2) suggests a clean chain transfer (termination) process and a single-site polymerization, which is an intriguing observation. With an increase in M2 concentration, the GPC curves for PP-t-M2 polymers showed a similar trend: a narrowing of the molecular weight distribution and a progressive decrease in polymer molecular weight.
Figure 1.
GPC curve of methoxysilane-terminated iPPs obtained from M1. (a) M1-2 (b) M1-3 (c) M1-5 (d) M1-6.
An efficient chain transfer reaction minimizes its impact on the polymerization rate while effectively lowering the final polymer’s molecular weight. Figure 2 illustrates the relationship between the polymer’s molecular weight (Mn) and the molar ratios of [propylene]/[M1] and [propylene]/[M2]. The molecular weight of PP-t-M1 exhibits a linear dependence on the [propylene]/[M1] ratio, with little influence from the [M1]/[hydrogen] ratio. This indicates that the chain transfer reaction to the styryl molecule is the primary termination mechanism. The cationic character of the catalyst site is evident in its greater reactivity toward M2 compared to M1 during chain transfer processes.
Figure 2.
The plots of number average molecular weights (Mn) of (a) PP-t-M1 and (b) PP-t-M2 polymers versus (A) the concentrations of M1 and M2 in the polymerization and (B) the mole ratios of [propylene]/[M1] and [propylene]/[M2], respectively.
The thermal characteristics of the resultant reactive isometric polypropylene were also studied by using differential scanning calorimetry (DSC). Some of the results are summarized in Table 1, and Figure 3 shows the DSC curves for the iPP-t-M1 polymers. The data in Table 1 indicate that the melting and crystallization points of the polymer decrease as the concentration of the chain transfer agent increases. This observed reduction in Tm and Tc can be attributed to a decrease in the polymer’s molecular weight. As the M1 concentration rises, the average chain length of the iPP diminishes. Shorter polymer chains result in less perfect and smaller crystals, consequently lowering the melting point. Simultaneously, the decreased chain length affects the nucleation and growth kinetics during crystallization, leading to a lower crystallization temperature.
Figure 3.
DSC curve of methoxysilane-terminated iPPs obtained from M1 (a) M1-1, (b) M1-2, (c) M1-3, (d) M1-5, and (e) M1-6.
2.2. End Group Analysis
Figure 4 and Figure 5 displays the characteristic 1H-NMR spectra of iPPs with methoxysilane as the end group from runs M1-6 and M2-5, respectively. In the case of run M1-1, where chain transfer to aluminum was suppressed using TMA-removed dMAO, only two groups that are terminal were detected: methoxysilane and vinyl groups. The chemical shifts at 3.63 ppm, 7.24 ppm, and 7.60 ppm correspond to the methoxyl and aromatic protons at the terminal position, respectively. For the M1 series, a methylsilane group resonance was found at 0.39 ppm. Peaks at δ = 4.73 and 4.80 ppm were assigned to vinyl groups that terminate in chains resulting from β-H elimination. Notably, starting from run M1-2, no vinyl groups related to typical chain transfer methods (via β-H elimination) were detected upon hydrogen introduction, indicating that most of the chain ends were successfully converted to methoxysilane capped groups. These terminal signals are distinct and allow for quantitative analysis. Consequently, the methoxysilane conversion ratios were quantitatively determined; they are summarized in Table 1. The results reveal that M2 exhibited a higher conversion ratio but lower polymerization activity compared to M1, likely due to the steric bulkiness of the styrenic group in M2. This trend is correlated with the result of the Mn versus [M1] or [M2] plots presented in Figure 2.
Figure 4.
1H NMR spectra of methoxysilane-terminated iPPs obtained from (a) M1-1 and (b) M1-5.
Figure 5.
1H NMR spectra of methoxysilane-terminated iPP obtained from M2-5.
Figure 6 presents the 13C NMR spectrum of a PP-t-M1 sample (sample M1-5 in Table 1), with an inset highlighting the expanded aliphatic region. The spectrum displays all of the carbon signals related to both chain ends, in addition to the three principal peaks that occur at δ = 21.6, 28.5, and 46.2 ppm. These peaks correspond to the CH3 (mmmm), CH, and CH2 groups that are present in the PP backbone. Importantly, no vinyl groups from typical chain transfer involving elimination of β-H or chemical shifts for -CH-C6H4-CH3 from copolymerization were detected. Figure 7 illustrates the information regarding the structure that was collected through the use of 2-D 1H and 13C (DEPT-135) NMR spectra of a PP-t-M1 polymer.
Figure 6.
13C NMR spectra of PP-t-p-M1 sample (Mn = 3449 g/mol; Mw/Mn = 2.0).
Figure 7.
2-D 1H and 13C (DEPT-135) NMR spectrum of methoxysilane-terminated iPP (sample M1-5).
2.3. Fabricating i-PP Star Polymer with Hydrolytic Condensation Mechanism
In the arm-first approach, the use of low-molecular-weight macro-monomers is beneficial for building star polymers. Higher molecular weights tend to reduce chain-end reactivity because the concentration of chain ends decreases and the ends become embedded within the polymer coil. To mitigate this, hydrogen is introduced to suppress the formation of vinyl groups, which compete for chain-end concentration, and to promote the incorporation of styryldichlorosilane comonomers at the chain terminals. In this study, the molecular weight (Mn) of the arm polymers was deliberately controlled to fall within the range of 2000 to 6000 g mol−1 by adjusting the concentration of styryldichlorosilane and hydrogen.
For fabricating the star polymers, the core synthesis was conducted using a hydrolytic condensation reaction, as shown in Scheme 2. Styryldichlorosilane-capped iPPs undergo facile hydrolysis in the presence of water, yielding dialkylsiloxane oligomers through hydrolytic condensation, following thorough washing with anhydrous n-hexane to remove the residual styryl dichlorosilane. Figure 8 and Figure 9 display the 1H NMR spectra of the methoxysilane-terminated iPP arm polymers as well as the resulting hydrolyzed star product synthesized from M1 and M2.
Scheme 2.
Synthesis of star iPP with hydrolytic condensation mechanism.
Figure 8.
1H NMR spectra of methoxysilane-terminated iPP and star iPP obtained from M1.
Figure 9.
1H NMR spectra of methoxysilane-terminated iPP and star iPP obtained from M2.
The absolute molecular weights of the polymers were further characterized by GPC and detailed in Table 2. When comparing the GPC profiles of the arm polymers M1-5 and M1-6 (Figure 10) with those of the star polymers, the latter exhibit a shift toward higher molecular weight regions without displaying significant shoulder peaks. Additionally, the molecular weight distributions of the star polymers (PDI = 3.0–5.0) closely match those of their corresponding arm polymers, suggesting a high degree of homogeneity in the star polymer structure. The average number of arms (farm) listed in Table 2 was determined using peak molecular weight (Mp) data, which provide more accurate results for polymers with relatively broad polydispersity indices (PDI). Table 2 indicates that a 15-min hydrolysis period can completely convert a siloxane group, resulting in a star polymer with 3–4 arms. The efficiency of fabricating star polymers is entirely contingent upon the incorporation rate of styryldichlorosilane. Prior research indicates that the incorporation rate of styryldichlorosilane is 1.91 mol%, with a Si-end group percentage of 61.4% (approximately 38.6% is attributed to the vinyl group from β-H elimination), leading to the formation of a two-arm (linear) polymer instead of a star polymer [22]. Even with the use of styryltrichlorosilane comonomer, which has a higher star polymer fabrication efficiency than styryldichlorosilane, the synthesis of a four-armed star polymer needed 10 to 20 h of intermolecular reaction time. In current work, we increased the incorporation rate of styryldichlorosilane to 6.13 mol % with the introduction of hydrogen, resulting in the successful synthesis of 3–4 arm star polymers in a significantly reduced timeframe of 15 min.
Table 2.
Efficiency of star structures by different carbon spacers of styryl-DCS terminated iPPs.
Figure 10.
GPC curves of the star iPPs and their corresponding styryl-terminated i-PP polymers.
The intrinsic viscosity ([η]) was measured using a specialized viscosity detector, and the corresponding data for the characteristics of dilute solutions are provided in Table 2. The weight-average intrinsic viscosity ([η]w) was calculated by integrating throughout the spectrum of molecular weight distribution. Figure 11 presents the Mark–Houwink plot, which depicts the relationship between intrinsic viscosity and polymer molecular weight for the star polymers in the S1 series, including arm polymer M1-5. During the hydrolytic condensation reaction, a gradual reduction in polymer solution viscosity was observed, particularly in sample S1-5, where a significant decrease in slope was noted. The Mark–Houwink exponent (α), calculated based on the slope of the curve representing the intrinsic viscosity, decreased progressively from 0.46 for the linear arm M1-5 to 0.36 for the 4-arm star polymer S1-5. The α value reflects the configuration of the polymer chain, with 0 indicating spheres that are rigid, 0.5 representing polymers that are flexible in a Θ solvent, and 2 corresponding to rod-like structures [30]. The declining α value observed in the hydrolyzed star iPP suggests that the multiarm star polymers increasingly adopt characteristics resembling rigid spheres.
Figure 11.
Mark–Houwink plots of the starting styryl-terminated iPP polymer (M1-5) and the star polymers (S1-5).
Table 2 illustrates the influence of a carbon spacer between a styryl group and a dichlorosilane group on the efficiency of a star structure via arm-first approach, wherein core formation occurred through the hydrolytic condensation of dichlorosilane functional group. Among the two chain transfer agents (M1 and M2), M2 showed better star polymer fabrication efficiency. This is because the methylene spacer in (p-vinylbenzyl)methyl dichlorosilane provides greater flexibility, which reduces steric hindrance during the hydrolytic condensation process. Steric hindrance can impede the close approach of silanol groups, which is essential for forming the siloxane bonds that create the star polymer’s core. The increased flexibility of the benzyl spacer can also enhance the reaction kinetics of the hydrolytic condensation, giving the silanol end groups greater freedom to move and react, leading to more efficient star formation. Moreover, the silane group in (p-vinylphenyl) methyl dichlorosilane, is directly attached to the phenyl ring-terminated polymer chain. This creates a relatively rigid connection and experiences greater steric hindrance, potentially limiting the number of iPP chains that can converge to form the star’s core. The melting and crystallization behavior of the two series of polymer samples were analyzed using the DSC method, and the melting temperature (Tm), melting enthalpy (ΔHm) and crystallization temperature (Tc) of the samples are summarized in Table 2. The hydrolyzed samples of both styryl dichlorosilanes exhibit superior melting and crystallization properties compared to their methoxylation series counterparts, attributable to the effective hydrolysis and condensation efficiency of the dichlorosilyl group within the macromolecular chain.
3. Materials and Methods
All of the operations that were influenced by oxygen and moisture were done in a drybox filled with nitrogen and equipped with a dry train. Hexane, heptane, toluene, tetrahydrofuran, and diethyl ether (AR grade, from Beijing Chemical Works, Beijing, China) were distilled in a nitrogen environment before being used, and they were refluxed over sodium using benzophenone as an indicator. Trimethylaluminum (TMA) was eliminated by vacuum drying methylaluminoxane (MAO, 1.4 M in toluene), which was acquired from Albemarle (Charlotte, NC, USA). Before usage, the resultant TMA-free MAO (dMAO) was diluted with toluene. The catalyst rac-Me2Si[2-Me-4-Ph(Ind)]2ZrCl2 (I) was prepared following a previously reported method [24]. High-purity hydrogen and nitrogen were utilized as supplied, while Yanshan Petrochemical Co. of China (Beijing, China) provided polymerization-grade propylene. 4-Chlorostyrene, 4-methylchlorostyrene, and SiCH3Cl3 were purchased from J&K Scientific Company (San Jose, CA, USA).
1H and 29Si spectra were acquired at room temperature using a Bruker AVANCE 400 using chloroform-d (CDCl3) as solvent (Bruker, Billerica, MA, USA). A relaxation reagent was mixed with samples before the 29Si NMR experiment was conducted. All high temperature 1H and 13C NMR spectra were recorded on a Bruker AVANCE III 500WB spectrometer at 110 °C using 1,1,2,2-tetrachloroethane-d2 as the solvent. The polymers’ melting points were determined using Perkin-Elmer DSC-7 differential scanning calorimetry at 10 °C/min in nitrogen (Spectralab Scientific Inc., Markham, ON, Canada). After 3 min at 200 °C, the samples were cooled to ambient temperature and warmed at 10 °C/min to 200 °C. The cooling and second heating profiles were recorded to determine the melting temperature (Tm), fusion enthalpy (ΔHm), and crystallization temperature (Tc). Gel permeation chromatography (GPC) on an Agilent Technology PL-GPC 220 high-temperature size exclusion chromatography (Agilent, Santa Clara, CA, USA) combined with a two-angle (15° and 90°) laser light scattering detector, viscosity detector, and differential refractive index detector analyzed molecular weights and distributions. Measurements were taken at 150 °C using 1,2,4-trichlorobenzene (TCB) as the solvent at 1.0 mL/min. Calibration was performed using narrow molecular weight polystyrene (PS) standards.
3.1. Preparation of the Chain Transfer Agent
(p-vinylphenyl) methyl dichlorosilane (M1) was synthesized as previously reported [22]. For the preparation of (p-vinylbenzyl)methyldichlorosilane (M2), a Grignard reagent, p-vinylbenzyl magnesium chloride, was prepared from 4-chloromethylstyrene in diethyl ether. The Grignard reagent solution was reacted with SiCH3Cl3 to give M2. The products were analyzed by nuclear magnetic resonance, as shown in Figure 1. For M2, 1H NMR (400 MHz, CDCl3, Figure 12): δ = 7.34 (2H, d, C=CH), 7.11 (2H, d, C=CH), 6.66 (1H, m, C=CH), 5.70 (1H, d, C=CH2), 5.21 (1H, d, C=CH2), 2.67(2H, s, CH2),0.73 (3H, s, CH3); 29Si NMR(400 MHz) δ: 27.95 (CH2=CH(C6H4)CH2Si(CH3)Cl2).
Figure 12.
1H NMR and 29Si NMR spectra of (p-vinylbenzyl) methyldichlorosilane (M2).
3.2. Synthesis of Methoxysilane-Terminated iPP
Propylene polymerization was carried out in a 250 mL round-bottom flask fitted with a magnetic stirrer. The flask was dried and then pressurized with a gas mixture of 0.005 MPa hydrogen and 0.095 MPa propylene. (For reactions without hydrogen, the pressure was initially set to 0.1 MPa.) In a representative procedure (run M1-2 in Table 1), 40 mL of toluene, 8 mL of MAO (1 M in toluene), and 0.3 mL of M1 (0.04 M in toluene) were introduced into the reactor and vigorously stirred for 5 min at 50 °C. A toluene solution (2 mL) containing the metallocene catalyst rac-Me2Si[2-Me-4-Ph(Ind)]2ZrCl2 (4.0 × 10−6 mol) was then added to the rapidly stirring mixture. After 15 min, the reaction was stopped by diluting the polymer solution with pure methanol, which produced iPPs capped with methoxysilane groups. Following precipitation, the resultant suspension was filtered, washed with methanol, and then dried under vacuum for 24 h at 50 °C.
3.3. Synthesis of Star iPP
For the synthesis of the star iPP, the reactor contents were filtered under a nitrogen atmosphere after polymerization. The polymer was then washed extensively with anhydrous n-hexane to eliminate any residual (p-vinylphenyl) methyl dichlorosilane (M1). The washed polymer was suspended in 200 mL of deionized water in a 500 mL three-necked flask and stirred under reflux conditions for 20 min. Finally, the polymer was collected and dried under vacuum at 50 °C for 24 h.
4. Conclusions
In this study, rac-Me2Si(2-Me-4-Ph-Ind)2ZrCl2/MAO, an Al-activated metallocene catalyst, was used to copolymerize propylene with (p-vinylphenyl) methyl dichlorosilane or (p-vinylbenzyl) methyl chlorosilane and hydrogen to conduct a chain transfer reaction, first to the styryldichlorosilane and then to hydrogen, and create terminally dichlorosilane-funtionalized iPPs. In this chemistry, hydrogen is introduced to suppress the formation of vinyl groups, which compete for chain-end concentration, and to promote the incorporation of styryldichlorosilane comonomers at the chain terminals. The terminal dichlorosilane groups are treated with absolute methanol to generate the arm structure. For the purpose of creating stars, terminal dichlorosilane iPP was hydrolyzed at the end of the metallocene polymerization after washing with n-hydrous hexane in a nitrogen atmosphere to remove any remaining pristine styryldichlorosilane from the polymerization. Hydrolyzed disilanol i-PP causes hydrolytic co-condensation between chain ends, resulting in a core that is cross-linked with siloxane. Among the two chain transfer agents, (p-vinylbenzyl) methyl chlorosilane) showed better star polymer fabrication efficiency than (p-vinylphenyl) methyl dichlorosilane.
Author Contributions
Writing—original draft preparation, Visualization, experimental work and results interpretation: N.J.; investigation, writing—review and editing F.C.; Conceptualization, methodology, investigation, supervision J.-Y.D. All authors have read and agreed to the published version of the manuscript.
Funding
This research was funded by National Natural Science Foundation of China, grant numbers. 52173013 and 52373015.
Data Availability Statement
Data will be available upon request.
Conflicts of Interest
The authors declare no conflicts of interest.
References
- Natta, G. Une Nouvelle Classe de Polymeres d’α-Olefines Ayant Une Régularité de Structure Exceptionnelle. J. Polym. Sci. 1955, 16, 143–154. [Google Scholar] [CrossRef]
- Natta, G.; Mazzanti, G.; Longi, P.; Bernardini, F. Isotactic Polymers of Silicon-Containing Vinyl Monomers. J. Polym. Sci. 1958, 31, 181–183. [Google Scholar] [CrossRef]
- Clark, K.J.; Powell, T. Polymers of Halogen-Substituted 1-Olefins. Polymer 1965, 6, 531–534. [Google Scholar] [CrossRef]
- Chung, T.C. Synthesis of Polyalcohols via Ziegler-Natta Polymerization. Macromolecules 1988, 21, 865–869. [Google Scholar] [CrossRef]
- Galli, P.; Vecellio, G. Polyolefins: The Most Promising Large-Volume Materials for the 21st Century. J. Polym. Sci. Part A Polym. Chem. 2004, 42, 396–415. [Google Scholar] [CrossRef]
- Corradini, P. The Discovery of Isotactic Polypropylene and Its Impact on Pure and Applied Science. J. Polym. Sci. Part A Polym. Chem. 2004, 42, 391–395. [Google Scholar] [CrossRef]
- Chung, T.C. Functionalization of Polyolefins; Academic Press: Cambridge, MA, USA, 2002; ISBN 0121746518. [Google Scholar]
- Boffa, L.S.; Novak, B.M. Copolymerization of Polar Monomers with Olefins Using Transition-Metal Complexes. Chem. Rev. J. 2000, 100, 1479–1494. [Google Scholar] [CrossRef]
- Kesti, M.R.; Coates, G.W.; Waymouth, R.M. Homogeneous Ziegler-Natta Polymerization of Functionalized Monomers Catalyzed by Cationic Group IV Metallocenes. J. Am. Chem. Soc. 1992, 114, 9679–9680. [Google Scholar] [CrossRef]
- Aaltonen, P.; Loefgren, B. Synthesis of Functional Polyethylenes with Soluble Metallocene/Methylaluminoxane Catalyst. Macromolecules 1995, 28, 5353–5357. [Google Scholar] [CrossRef]
- Wilen, C.-E.; Nasman, J.H. Polar Activation in Copolymerization of Propylene and 6-Tert-Butyl-[2-(1,1-Dimethylhept-6-Enyl)]-4-Methylphenol over a Racemic [1,1′-(Dimethylsilylene)Bis(.Eta.5-4,5,6,7-Tetrahydro-1-Indenyl)]Zirconium Dichloride/Methylalumoxane Catalyst System. Macromolecules 1994, 27, 4051–4057. [Google Scholar] [CrossRef]
- Rix, F.C.; Brookhart, M.; White, P.S. Mechanistic Studies of the Palladium (II)-Catalyzed Copolymerization of Ethylene with Carbon Monoxide. J. Am. Chem. Soc. 1996, 118, 4746–4764. [Google Scholar]
- Gao, H.; Matyjaszewski, K. Synthesis of Functional Polymers with Controlled Architecture by CRP of Monomers in the Presence of Cross-Linkers: From Stars to Gels. Prog. Polym. Sci. 2009, 34, 317–350. [Google Scholar] [CrossRef]
- Hadjichristidis, N.; Pitsikalis, M.; Pispas, S.; Iatrou, H. Polymers with Complex Architecture by Living Anionic Polymerization. Chem. Rev. 2001, 101, 3747–3792. [Google Scholar] [CrossRef] [PubMed]
- Goh, T.K.; Coventry, K.D.; Blencowe, A.; Qiao, G.G. Rheology of Core Cross-Linked Star Polymers. Polymer 2008, 49, 5095–5104. [Google Scholar] [CrossRef]
- Snijkers, F.; Cho, H.Y.; Nese, A.; Matyjaszewski, K.; Pyckhout-Hintzen, W.; Vlassopoulos, D. Effects of Core Microstructure on Structure and Dynamics of Star Polymer Melts: From Polymeric to Colloidal Response. Macromolecules 2014, 47, 5347–5356. [Google Scholar]
- Chung, T. Functional Polyolefins for Energy Applications. Macromolecules 2013, 46, 6671–6698. [Google Scholar] [CrossRef]
- Liu, P.; Landry, E.; Ye, Z.; Joly, H.; Wang, W.-J.; Li, B.-G. “Arm-First” Synthesis of Core-Cross-Linked Multiarm Star Polyethylenes by Coupling Palladium-Catalyzed Ethylene “Living” Polymerization with Atom-Transfer Radical Polymerization. Macromolecules 2011, 44, 4125–4139. [Google Scholar] [CrossRef]
- Zhang, K.; Ye, Z.; Subramanian, R. A Trinuclear Pd−Diimine Catalyst for “Core-First” Synthesis of Three-Arm Star Polyethylenes via Ethylene “Living” Polymerization. Macromolecules 2009, 42, 2313–2316. [Google Scholar] [CrossRef]
- Zhang, Y.; Li, H.; Xu, Z.; Bu, W.; Liu, C.; Dong, J.-Y.; Hu, Y. Synthesis of Low Dispersity Star-like Polyethylene: A Combination of Click Chemistry and a Sol–Gel Process. Polym. Chem. 2014, 5, 3963–3967. [Google Scholar] [CrossRef]
- Huang, H.; Niu, H.; Dong, J.-Y. Synthesis of Star Isotactic Polypropylene Using Click Chemistry. Macromolecules 2010, 43, 8331–8335. [Google Scholar]
- Liu, X.; Niu, H.; Li, Y.; Dong, J.-Y. New Effort to Synthesize Star Isotactic Polypropylene. Polym. Chem. 2018, 9, 3347–3354. [Google Scholar] [CrossRef]
- Dong, J.Y.; Chung, T.C. Synthesis of Polyethylene Containing a Terminal p-Methylstyrene Group: Metallocene-Mediated Ethylene Polymerization with a Consecutive Chain Transfer Reaction to p-Methylstyrene and Hydrogen. Macromolecules 2002, 35, 1622–1631. [Google Scholar] [CrossRef]
- Spaleck, W.; Kueber, F.; Winter, A.; Rohrmann, J.; Bachmann, B.; Antberg, M.; Dolle, V.; Paulus, E.F. The Influence of Aromatic Substituents on the Polymerization Behavior of Bridged Zirconocene Catalysts. Organometallics 1994, 13, 954–963. [Google Scholar] [CrossRef]
- Chadwick, J.C.; Miedema, A.; Sudmeijer, O. Hydrogen Activation in Propene Polymerization with MgCl2-Supported Ziegler-Natta Catalysts: The Effect of the External Donor. Macromol. Chem. Phys. 1994, 195, 167–172. [Google Scholar] [CrossRef]
- Chadwick, J.C.; Van Kessel, G.M.M.; Sudmeijer, O. Regio- and Stereospecificity in Propene Polymerization with MgCl2-Supported Ziegler-Natta Catalysts: Effects of Hydrogen and the External Donor. Macromol. Chem. Phys. 1995, 196, 1431–1437. [Google Scholar] [CrossRef]
- Jüngling, S.; Mülhaupt, R.; Stehling, U.; Brintzinger, H.-H.; Fischer, D.; Langhauser, F. Propene Polymerization Using Homogeneous MAO-Activated Metallocene Catalysts: Me2Si(Benz[e]Indenyl)2ZrCl2/MAO vs. Me2Si(2-Me-Benz[e]Indenyl)2ZrCl2/MAO. J. Polym. Sci. Part A Polym. Chem. 1995, 33, 1305–1317. [Google Scholar] [CrossRef]
- Busico, V.; Cipullo, R.; Talarico, G.; Caporaso, L. Highly Regioselective Transition-Metal-Catalyzed 1-Alkene Polymerizations: A Simple Method for the Detection and Precise Determination of Regioirregular Monomer Enchainments. Macromolecules 1998, 31, 2387–2390. [Google Scholar] [CrossRef]
- Lin, S.; Waymouth, R.M. Regioirregular Propene Insertion in Polypropenes Synthesized with Unbridged Bis(2-Aryl)Indenyl Zirconium Dichloride Catalysts: Implications on Activity. Macromolecules 1999, 32, 8283–8290. [Google Scholar] [CrossRef]
- Xia, X.; Ye, Z.; Morgan, S.; Lu, J. “Core-First” Synthesis of Multiarm Star Polyethylenes with a Hyperbranched Core and Linear Arms via Ethylene Multifunctional “Living” Polymerization with Hyperbranched Polyethylenes Encapsulating Multinuclear Covalently Tethered Pd-Diimine Catalysts. Macromolecules 2010, 43, 4889–4901. [Google Scholar] [CrossRef]
Disclaimer/Publisher’s Note: The statements, opinions and data contained in all publications are solely those of the individual author(s) and contributor(s) and not of MDPI and/or the editor(s). MDPI and/or the editor(s) disclaim responsibility for any injury to people or property resulting from any ideas, methods, instructions or products referred to in the content. |
© 2025 by the authors. Licensee MDPI, Basel, Switzerland. This article is an open access article distributed under the terms and conditions of the Creative Commons Attribution (CC BY) license (https://creativecommons.org/licenses/by/4.0/).













