Abstract
Three-dimensional printed electrodes seem to overcome many structural and operational limitations compared to ones fabricated with conventional methods. Compared to other 3D printing techniques, direct ink writing (DIW), as a sub-category of extrusion-based 3D printing techniques, allows for easier fabrication, the utilization of various materials, and high flexibility in electrode architectures with low costs. Despite the conveniences in fabrication procedures that are facilitated by DIW, what qualifies an ink as 3D printable has become challenging to discern. Probing rheological ink properties such as viscoelastic moduli and yield stress appears to be a promising approach to determine 3D printability. Yet, issues arise regarding standardization protocols. It is essential for the ink filament to be extruded easily and continuously to maintain dimensional accuracy, even after post-processing methods related to electrode fabrication. Additives frequently present in the inks need to be removed, and this procedure affects the electrical and electrochemical properties of the 3D-printed electrodes. In this context, the aim of the current review was to analyze various energy devices, highlighting the type of inks synthesized and their measured rheological properties. This review fills a gap in the existing literature. Thus, according to the inks that have been formulated, we identified two categories of DIW electrode architectures that have been manufactured: supported and free-standing architectures.
1. Introduction
Electrode structure and performance form an indissociable pair in the context of electrochemical devices. Battery electrodes face issues of dendrite formation, passivation, catalytic surface area utilization, and other issues [1]. The electrodes of fuel cells and super capacitors are confronted with water management and mass transport concerns and other limitations. Additionally, the structures of batteries and solid oxide fuel cells suffer from having poor densities in terms of their electrode/electrolyte interfaces [2,3]. Even though most electrochemical devices follow small-scale commercialization plans, the limitations that frame their optimum operation and their further commercialization should be overcome.
Additive manufacturing (AM) technology, popularly known as 3D printing, has become a successful method for fabricating a wide range of products with high geometrical complexity. The controlled deposition of successive layers of several materials makes 3D printing applicable in many areas, including in the manufacturing of biomedical implants [4], aerospace components [5], and automotive parts [6], as well as in food manufacturing [7]. Several AM technologies have been developed, such as Selective Laser Sintering (SLS), material extrusion (MatEx), Selective Laser Melting (SLM), direct ink writing (DIW, or Robocasting), and Binder Jetting [8,9,10,11], to name a few. Compared to other AM technologies, DIW is more advantageous due to its association with the ease of fabricating high-fidelity parts in a cost-effective manner, the open-source availability of printing apparatus, and its capability to handle diverse types of materials [12]. DIW, also known as Robocasting, was originally developed in 1997 by Sandia National Laboratories for aqueous alumina slurries [13]. Some years later, the process was applied for the fabrication of three-dimensional electrode structures with mixtures of BaTiO3, BaZrO3, and SrTiO3 [14]. In a more recent work, DIW was used to fabricate interdigitated Li-ion multilayer electrodes for micro-batteries [15].
The DIW process belongs to the general extrusion-based 3D printing technological category, according to which the material is forced to flow from a large barrel (usually a syringe with a diameter of the order of a few centimeters) to a nozzle of a much smaller radius (of the order of 1 mm to less than 100 μm) with straight cylindrical or conical (tapered) geometry. Finally, the material is deposited on a platform in the form of successive filament layers. There are three different extrusion modalities used to dispense the ink: (a) pneumatic, (b) piston-based, and (c) rotating screw fabrication methods [16,17]. Pneumatic and piston-based fabrication methods are the most common ones for electrochemical applications and other applications. They provide more flow control and are used for lower-viscosity inks [18]. Screw-based DIW is effective when more viscous inks are utilized, but generally, the screw design is more complex than pneumatic and piston designs [19]. Another option is to extrude the ink by using drop-on-demand inkjet printing. In this technique, the material is deposited in the form of droplets rather than a continuous filament, as in DIW. The advantages and disadvantages between these two technologies have been recently discussed by Tan et al. [20]. More direct writing techniques can be found in the referenced study by Balani et al. [19]. DIW offers unique features in the electrode’s construction for energy conversion and storage devices that cannot be succeeded by conventional methodologies [21]. Intricate 3D open geometries in batteries and supercapacitors can be easily fabricated, granting larger quantities of active material per area, promoting the efficient transport of electrons [22,23,24]. It has been shown, for instance, that batteries and supercapacitors fabricated with DIW outperform bulk structures [25]. Moreover, DIW can be integrated with other processing technologies such as electrodeposition, providing an easier way of fabricating tailored 3D electrodes with large areal capacity [26]. It should be mentioned that earlier reviews on 3D printing of electrodes for electrochemical applications, e.g., [27], focus on printing electrode structures with inkjet and gravure printing technologies, in which the fabrication mechanisms are different from the DIW process, as discussed in the present overview. Also, ink rheology in the above-mentioned printing technologies differs significantly from the electrode inks in DIW. For example, the viscosity of DIW inks is three to four orders of magnitude higher than inkjet printing inks [27].
This work discusses the ink formulation strategies discussed in the last few years by different research groups. These strategies center around the use of DIW 3D-printed electrodes for electrochemical devices. Additionally, it presents an overview of the measured rheological properties of 3D-printable electrode inks.
2. Rheology of 3D-Printable Inks
2.1. Rheological Properties
Printable inks in DIW usually consist of a liquid phase, dispersed with solid inclusion. The inks generally display both solid-like and liquid-like behavior, and for this reason, they are frequently referred to as viscoelastic materials. The term printability encompasses two main concepts. The first is good extrudability [6,16], which means that the filament must flow easily from the syringe to and out of the nozzle under the action of low to moderate extrusion pressures. From a rheological point of view, this is usually accomplished by designing the inks to exhibit shear-thinning behavior (i.e., viscosity decrease by increasing the shear rate). The second concept is shape fidelity, which means that the filament, upon extrusion from the nozzle, must turn quickly from a liquid material into a “solid-like” one that is able to sustain the weight by the successive layers deposited on top with minimum deformation (and a certain tolerance) [28]. If the deposited material spreads or slumps, dimensional accuracy is largely lost [29]. This is particularly important for 3D printing electrodes that are several layers high or when unsupported overhangs exist due to the desired geometry. Examples involve interdigitated structures [30] and 3D cuboid lattices [31]. There is a consensus among several studies [28,32,33,34,35,36] that shape fidelity is connected to the (i) yield stress, (ii) storage modulus G′ and loss modulus G″, and (iii) thixotropy of the inks, which define the rheology of the material.
Printable DIW inks for electrochemical devices can be colloidal dispersions, gels, or emulsions [22]. There are different kinds of interactions between the dispersed phase and the continuous surrounding phase, as well as between the solid constituents themselves [22,28]. Materials with such a complex micro-structure usually exhibit yield stress, which is the minimum required stress for the material to flow. Generally, the concept of yield stress is a matter of debate, and several studies have dealt, either theoretically or experimentally, with its existence [37,38,39,40]. Measuring the yield stress is a challenging issue [40]. Different methods involving the use of predominantly rotational rheometers have been exploited, and no “best” method has been identified [41].
The most common rheological model for materials with yield stress is the Herschel–Bulkley (HB) model, described by the authors of [42,43]:
where τ represents the shear stress, τo represents the yield stress, k represents the consistency index, represents the shear rate, and n represents the power law exponent. For n < 1, the material is shear thinning, while for n > 1, the material is shear thickening (viscosity increases with increasing shear rate). When n = 1, Equation (1) is referred to as the Bingham model and k is the plastic viscosity. In fact, Bingham introduced the yield stress concept based on plastic yielding in metals [37]. A schematic representation of the HB model is shown in Figure 1A. Also, for το = 0 in Equation (1), the model is usually referred to as power law [43].
Figure 1.
Schematic representation of the Herschel–Bulkley (HB) model with το (the yield stress) (A) and a plot of G′ (continuous line), G″ (broken dashed line) as a function of applied shear stress τ showing the different yield stress values extracted (τy1, τy2, τy3) from the different evaluation methods (B). Note that in the schematic plot in (A), the axes are in normal scale, while in (B), the axes are in logarithmic scale.
A classic way to evaluate the yield stress is curve fitting the Herschel–Bulkley model (Equation (1)) of measured shear stress (τ) versus shear rate () data points obtained by steady-state shear rate or shear stress sweeps. The fitting parameters of the model are as follows: το, k, and n. Another way is the direct extrapolation of τ as goes to zero. However, obtaining reliable stress measurements at very low shear rates () is a challenging task, and frequently, limitations arise due to the shear rate resolution of the rheometer. Also, wall slippage may be observed with increasing shear stress, leading to the underestimation of the actual yield stress of the ink [39].
An alternative method is to carry out dynamic oscillatory amplitude sweeps by increasing either the shear stress or strain amplitude. Parallel-plate and cone-and-plate rheometers are the most common utilized apparatus. The results of the test are presented as a plot with the applied shear stress or strain on the horizontal axis and the measured storage modulus (G′) on the vertical axis, along with the loss modulus (G″). G′ and G″ are viscoelastic material functions. Specifically, G′ describes the rigidity of the sample, and G″ relates to the viscosity [43]. A typical plot of G′, G″ versus shear stress (τ) is shown schematically in Figure 1B. At very low stress, G′ and G″ are constant, so-called plateau values. This region is frequently referred to as the linear viscoelastic region (LVE). If G′ > G″ in the LVE, like in Figure 1A, the sample behaves like a viscoelastic solid. If G′ < G″ in the LVE, it behaves like a viscoelastic fluid. Increasing the shear stress leads to a point where G′ = G″, usually referred to as the cross-over point or sometimes characteristic modulus [40]. Different authors have proposed a variety of ways to extract yield stress from plots of G′,G″ versus τ: (i) from the limit of LVE, (τy1) or the stress at 0.9 × G′ or 0.95 × G′ [33,44,45,46], (ii) by the point of intersection between the horizontal line of the LVE and a fitting-line corresponding to the region of high shear stress as shown in Figure 1B (τy2) [40,47,48], and (iii) by the point at which G′ = G″ (τy3).
Printable inks also exhibit thixotropy. This is a time-dependent property that refers to the viscosity change with time. Mewis and Wagner [49] define thixotropy in the following manner: “…the continuous decrease of viscosity with time when flow is applied to a sample that has been previously at rest and the subsequent recovery of viscosity in time when the flow is discontinued.” A frequently used method to measure ink thixotropy is the three-interval thixotropy test (3iTT) [28,50,51]. It involves the measurement of shear viscosity in three different shearing intervals as a function of time, mimicking the material flow in the nozzle and right after the nozzle exit [50]. In the first time interval, the viscosity is measured at a low shear rate, as shown in Figure 2. This figure represents a case wherein the material is essentially at rest. In the next time interval, the shear rate is increased. During this time interval, the high shear rate usually causes a disruption in the material micro-structure, and the measured viscosity becomes lower, attributed to the shear-thinning behavior of the ink. In the third step, a low shear rate is applied again, and the viscosity increases to an equilibrium value. It may take some time for the material to reach an equilibrium structure, as explained qualitatively in Figure 2. The more time it takes, the more thixotropic the material [28,51]. If the equilibrium viscosity is the same as the viscosity of the first time interval, then the initial structure can be regarded as fully recovered. The storage modulus and the loss modulus may also be time-dependent properties: G′(t), G″(t). Their change over time gives insight into structural behavior and can be measured in oscillatory mode by changing either the oscillation frequency or the amplitude [33]. The obtained results are usually plotted in the form of G′ and G″ as a function of time. Also, in this test, more than three time intervals can be applied. For example, Corker et al. [33] used five time intervals of varying frequency and amplitude.
Figure 2.
Schematic representation of the three-interval thixotropy test (3iTT) for shear viscosity. As the degree of thixotropy of the ink increases, the time required for structural recovery increases. Reproduced from Amorim et al. [28].
2.2. An Overview of the Literature on 3D-Printable Inks’ Rheological Properties for Electrochemical Devices
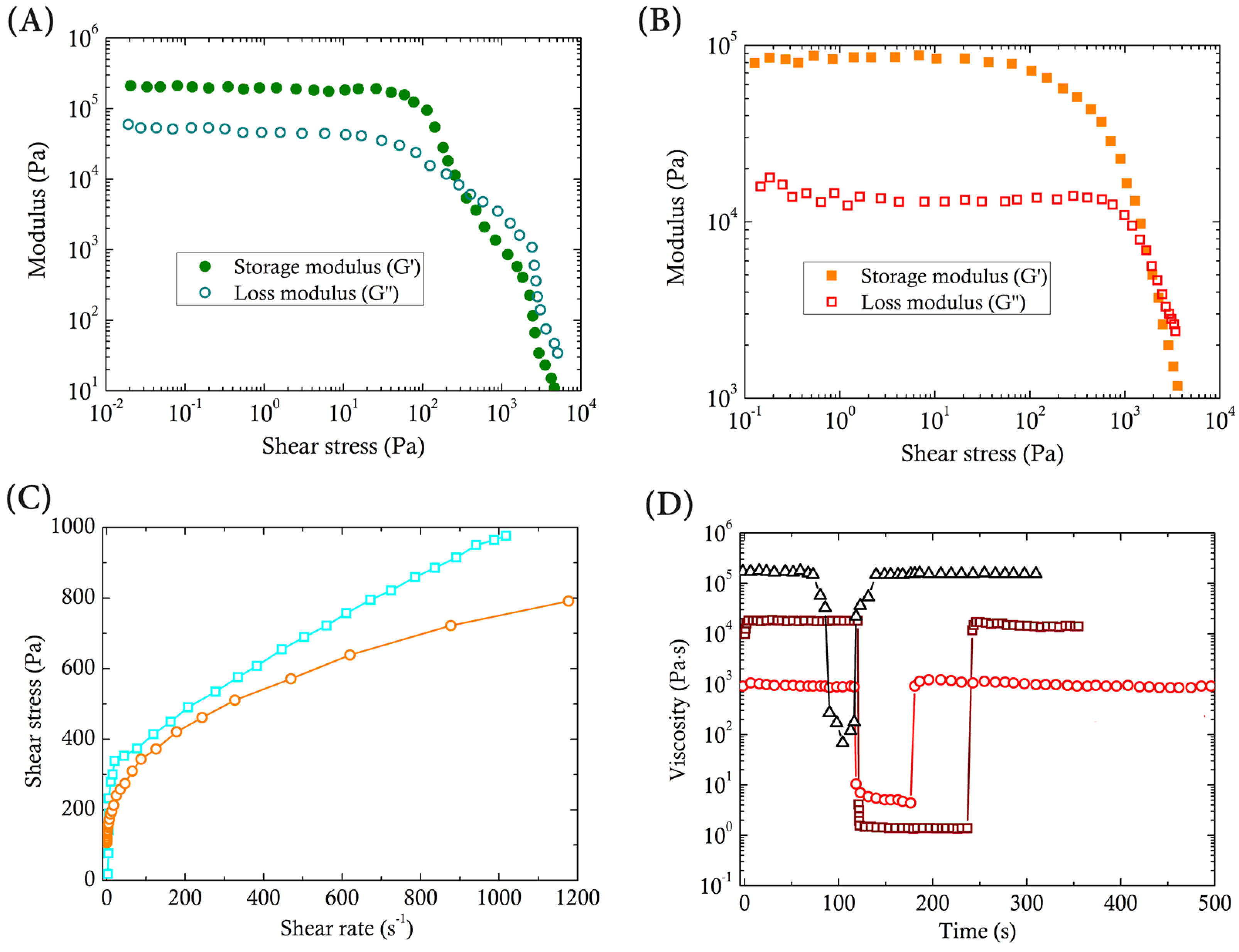
Table 1 summarizes the measured rheological parameters for 3D-printable inks commonly used in energy devices. The parallel-plate rheometer appears to be the dominant measuring device. Many of the studies rely on yield stress extraction from G′ and G″ measurements. Some examples of measured G′ and G″ as a function of shear stress are shown in Figure 3A,B. Different yield stress evaluation methods based on G′ and G″ have been addressed in the literature. For instance, Gao et al. [52] extract it from what they call as a sharp drop in G′, while Ao et al. [53], and several others, extract it via the cross-over point. The cross-over point appears to be a preferable choice among researchers. The yield stress extracted from the cross-over point ranges from 20 Pa to as high as 1700 Pa, and the storage modulus G′ ranges from the order of 103 Pa to 105 Pa. The variation in these rheological properties is mainly a consequence of the concentration and the type of the solid content. For example, in a study conducted by Corker et al. [33], the inks consisted of 2–3 vol% graphene oxide flakes in water, while Yuk et al. [54] used innovative formulations of PEDOT:PSS nanofibrils in water at 5–7 wt%, and Tran et al. [55] used pristine graphene/PEDOT:PSS in water at concentrations at 4–7 wt%. Therefore, tuning the ink rheology has a significant effect on 3D printability. In fact, Yuk et al. [54] and Tran et al. [55] report that lower concentrations than the above lead to the lateral spreading of the extruded DIW filaments, and higher concentrations (beyond 8 wt%) lead to nozzle clogging due to the formation of large aggregates of PEDOT:PSS nanofibrils. It should be pointed out that Corker et al. [33], in their study, refer to the stress at the cross-over as the flow stress, and yield stress is regarded at the limit of LVE. Garcia-Tuñón et al. [36] argue that the above-mentioned different methods used to evaluate the ink yield stress may lead to a lack of consensus and inconsistencies in defining ink printability.
In some other studies [56,57,58,59] included in Table 1, although the authors measured G′ and G″, they measured the ink yield stress by fitting the HB model, Equation (1), to viscosity or shear stress versus shear rate data. Some measurement data that were fitted using the HB model are shown in Figure 3C. The fitted power law exponent is n < 1, indicating that the inks are shear thinning, and in some cases [56,60], very shear thinning. In the referenced studies by Tagliaferri et al. [61] and Ghodbane et al. [60], the yield stress was measured via both the cross-over point and the Herschel–Bulkley model. While in Tagliaferri et al. [61], the Herschel–Bulkley model gave about one order of magnitude higher yield stress than the cross-over point, both values in Ghodhbane et al. [60] were generally comparable. This could be attributed to the different ink formulations in these studies: highly concentrated pristine graphene aqueous ink with a small amount of cellulose viscosifier was used in the study conducted by Tagliaferri et al. [61], and in the study conducted by Ghodhbane et al. [60], the inks consisted of chitosan, genipin crosslinker, and different amounts of doped and not-doped graphene. In the referenced study conducted by Shi et al. [62], yield stress was evaluated in different ways: from the LVE limit, at the cross-over point, and via the Herschel–Bulkley model. Interestingly, the stress at the cross-over point was extremely close to the one ascertained by the use of the Herschel–Bulkley model. The ink in a study by Shi et al. [62] consisted of MXene flakes and an amphiphilic surfactant (C12E9).
Table 1.
An overview of measured rheological properties for 3D-printable inks used in electrochemical devices.
Table 1.
An overview of measured rheological properties for 3D-printable inks used in electrochemical devices.
| Catalyst/Electrochemical Device | Storage Modulus, G′ (Pa) | Yield Stress (τy) from Plot of G′ and G″ vs. τ | Herschel–Bulkley Parameters | 3iTT or G′(t), G″(t) | Rheometer | Reference | |||
|---|---|---|---|---|---|---|---|---|---|
| το (Pa) | k (Pa∙sn) | n | |||||||
| Value | Evaluation Method | ||||||||
| GO suspensions-general | ~2 × 104–3 × 105 | 20~400 | LVE | - | - | Rotational | [33] | ||
| Printability maps of complex fluids | 9 × 103–9 × 104 | 270–840 | cross-over | - | - | [36] | |||
| PEDOT:PSS conductive polymer mesh micro-structures | ~1.5 × 103–3 × 103 | ~150 | cross-over | - | - | [54] | |||
| Hydrogel formulations | ~105 | 343 | cross-over | 215 | 150 | 0.09 | Multi-iTT | Parallel-plate | [60] |
| Supported electrode architectures | |||||||||
| LiNi0.815Co0.15Al0.035O2 (NCA)/Li-based batteries | ~2 × 104–105 | ~100–1000 | cross-over | - | - | Rotational | [53] | ||
| PEDOT:PSS-based MXene inks/Micro-supercapacitors | ~2 × 104 | - | 24 | 1.07 | 0.73 | - | Parallel-plate, cone-and-plate | [57] | |
| NiO-YSZ/Solid oxide fuel cell | - | - | 224.11 | 150.05 | 0.46 | - | Double-coaxial cylinder | [59] | |
| Li|Cu@LATP@Cu|Li (CU-3D-printed scaffold)/Li-battery | ~105–7 × 105 | - | 741–1502 | 456–1358 | 0.15–0.29 | - | Parallel-plate | [56] | |
| LiFePO4-PEDOT:PSS/Li-battery | ~6 × 103 | ~1000 | Cross-over | - | - | Rotational | [63] | ||
| PEDOT:PSS/MXene/micro-supercapacitor electrode | ~104 | - | - | - | Multi-iTT | Parallel-plate | [30] | ||
| Free-standing electrode architectures | |||||||||
| Zn/rechargeable alkaline battery anode | ~104–105 | 30~100 | G′ 90% of LVE plateau | - | G′(t), G″(t) | Rotational | [31] | ||
| Supercapacitor | ~2 × 105 | 1700 | Sharp drop iin G′ | - | - | Rotational | [52] | ||
| Graphene/PEDOT:PSS/supercapacitors | ~700–9 × 103 | 20~200 | Cross-over | - | - | Rotational | [55] | ||
| Graphene oxide/micro-supercapacitor | ~2 × 104 | - | 91.5 | 39.75 | 0.421 | 3iTT | Parallel-plate | [58] | |
| Graphene pristine/micro-supercapacitor | ~105 | 58 | Cross-over | 491 | 94.82 | 0.43 | 3iTT, G′(t) | Parallel-plate | [61] |
| MXene/micro-supercapacitor | ~2 × 105 | 80 | LVE | 271 | 5.25 | 0.71 | 3iTT | Parallel-plate | [62] |
| 274 | Cross-over | ||||||||
| rGO/CNT aerogel/quasi-solid state nickel-iron battery | 6 × 103 | 100 | - | - | - | Rotational | [64] | ||
| MXene/supercapacitors | 3.65 × 104 | 206 | Cross-over | - | 3iTT | [65] | |||
| MXene/supercapacitor | 5.1 × 103 | 191.56 | Cross-over | - | 3iTT | [66] | |||
| Reduced graphene oxide (rGO)-Super-P aerogel/Vanadium redox flow battery | ~7 × 104 | 689 | Cross-over | - | - | [67] | |||
| E-ReSe2@INC/hybrid-(Na+) capacitor | ~2 × 104 | ~250 | Cross-over | - | - | [68] | |||
| NiCo2O4 nanosheets (not in the ink)/pseudo-capacitive electrode | ~104 | ~200 | Cross-over | - | - | [69] | |||
Shi et al. [62] evaluated the printability of the inks in their study using a printability criterion developed by Corker et al. [33], namely the flow transition index (FTI). This criterion was developed by Corker et al. [33] based on rheological measurements for graphene oxide (GO) inks. According to Corker et al. [33], , and τy3 and τy1 are defined in Figure 1B. Note that, Corker et al. [33] refer to τy1 as the stiffness point. In Shi et al. [62], the calculated FTI was ~3.4, which, according to the authors, indicates that the ink used displays the ability to yield, break down, and rebuild during and after extrusion from the nozzle.
Figure 3.
Rheological behavior of printable inks reproduced from the literature. G′ and G″ as a function of shear stress by Shi et al. [62] (A) and by Ao et al. [53] (B). Measurements of shear stress versus shear rate by Shi et al. [62] (open squares) and Yun et al. [58] (open circles) (C) and 3iTT by Shi et al. [62] (triangles), Yang et al. [65] (squares), and Tagliaferri et al. [61] (circles) (D).
Figure 3.
Rheological behavior of printable inks reproduced from the literature. G′ and G″ as a function of shear stress by Shi et al. [62] (A) and by Ao et al. [53] (B). Measurements of shear stress versus shear rate by Shi et al. [62] (open squares) and Yun et al. [58] (open circles) (C) and 3iTT by Shi et al. [62] (triangles), Yang et al. [65] (squares), and Tagliaferri et al. [61] (circles) (D).

It should be pointed out that other printability criteria have also been developed [32,36]. Garcia-Tuñón et al. [36] studied the printability of various DIW carbon-based inks consisting of graphite, multiwalled carbon nanotubes (MWCNTs), and graphene oxide (GO) as active materials for energy applications. These authors evaluated the printability of the used inks by constructing a printability map via defining a, what they called, figure of merit (FoM), given by , where τy3 is the stress at the cross-over point (see Figure 1B). They qualified their ink formulations as printable for FoM > 20 with τy3 ranging from 250 Pa to 1500 Pa. Also, Garcia-Tuñón et al. [36] show that the inks in some of the studies reported in Table 1 are deemed printable according to their criterion.
Moreover, in Table 1, thixotropy tests are also gathered. It is evident that measurements of ink thixotropy are carried out to a far less extent. These measurements predominately involve the 3iTT, which is the mainstream technique. However, measuring G′ and G″ with time t may offer more insights and a deeper understanding of the ink’s structural behavior during printing. Also, in two studies by Ghodhbane et al. [30,60], a seven-interval thixotropy test was carried out. We marked this in Table 1 as a multiple-iTT. The results of thixotropy measurements for DIW-printable electrode inks from three representative studies are shown in Figure 3D. It can be observed that the time intervals used in each study are different. In Shi et al. [62], the second time interval was much shorter than that in Yang et al. [61] and Tagliaferi et al. [61]. Moreover, the shear rate applied in each interval is different. For example, Shi et al. [62] applied 1 s−1 in the first interval and 100 s−1 in the second interval, while Yang et al. [61] applied 0.01 s−1 in the first interval and 1000 s−1 in the second. Furthermore, the electrode inks used by Tagliaferi et al. [61] and Yang et al. [65] appear to recover instantly, while the ink used by Shi et al. [62] takes more time to equilibrate to the initial structure. Despite these differences, after high shearing, the formulated inks appear to fully recover and return to their initial structure.
Modeling the flow of the above-mentioned ink types for energy devices in DIW has not been exploited very often, and this modeling technique centers around numerical simulations. Ao et al. [53] carried out numerical simulations for the flow in a syringe/straight cylindrical nozzle system, along with particle transport, using COMSOL Multiphysics. In their analysis, they used the purely viscous Herschel–Bulkley rheological model, but the model parameters were not measured, except perhaps the yield stress, which was extracted from G′ and G″, as stated in Table 1. Shi et al. [62] also used COMSOL for DIW ink flow. In their study, the nozzle had a conical geometry, and the purely viscous Herschel–Bulkley model was used (model parameters displayed in Table 1). The authors presented valuable results in terms of the distribution of the ink shear stress, shear rate, and orientation of the MXene flakes. Simpler analytical models of predictive power, developed for flows of shear-thinning liquids with yield stress in a large reservoir (syringe barrel in DIW) and a straight cylindrical or conical channel (nozzle in DIW) [70,71,72,73], have not yet been used for modeling ink flow in DIW for the fabrication of energy devices. Also, numerical flow simulation-based models using the above rheological parameters to evaluate the degree of joining (referred to as sintering or coalescence) regarding the adjacent filaments of the fabricated structures [74,75] or relevant analytical sintering models [76,77,78,79,80] must be taken in consideration for the effective design of energy devices via DIW.
DIW constitutes an effective methodology for engineering 3D architectures with high accuracy, providing an opportunity to investigate different structure–property relationships at various scales. Three-dimensional printing also permits patterning electrode structures either directly onto various substrates or as a free-standing architecture, offering profound interfacial electrode/electrolyte contact. However, for 3D printing procedures to be cost-saving, a practical region for the ink recipe, ink rheology, and optimal printing parameters should be further considered. In the next section of this paper, we analyze and discuss the synthesis strategies that have been explored by many research groups to acquire printable inks for the fabrication of electrodes for use in many electrochemical devices via DIW.
3. Ink Synthesis Strategies for 3D Printing via DIW, Electrode Structures, and Electrochemical Performance
3.1. Printable Inks for Supported Electrode Architectures
Optimizing the fabrication of electrodes for next-generation electrochemical devices such as Li-ion-based batteries, Zn-metal-based batteries, or other types of batteries, micro-supercapacitors, and fuel cells is the key to ensuring their advanced performance. The electrode synthesis method and architecture used can really affect an electrode’s properties, sometimes creating complicated effects. Thus, the development of electrodes with optimized architectures [81,82,83] depends on the potential of manufacturing methods. Numerous manufacturing processes have been explored to fabricate electrodes with specific architectures. Meanwhile, the DIW method seems to give electrodes the most optimum operational parameters. This, however, requires the optimization of the composition of the printable ink, along with the optimum parameters. Depending on the electrochemical device that the electrode will be applied to, it should fulfill specific requirements.
In the last few years, with the rising demand for longer battery durations, the research community has paid attention to rechargeable Li-based batteries (LIBs) [84], mostly optimizing electrode structures to achieve both higher energy densities and longer lifecycles [85,86,87]. Batteries are known to be composed of an anode, a cathode, and, between them, an electrolyte (separator). Additionally, each side (anode and cathode) has one current collector (positive and negative). The anode and cathode compartments store Li, while the electrolyte, through its ‘body’, permits the movement of the positively charged lithium ions from the anode to the cathode, and vice versa. The transport of the lithium ions creates free electrons at the anode, leading to charge creation at the positive current collector. The electrical current then flows from the current collector through the desired powered device to the negative current collector [88].
However, to be eligible for practical energy storage applications, batteries should exhibit high energy and power density, along with long charging–discharging periods. However, metal-based batteries suffer from high interfacial resistances due to poor electrolyte/electrode mechanical contact [89]. Additionally, metal (e.g., Li) volumetric change during cycling creates high interfacial stresses, along with unsolicited interfacial side reactions. In addition to the above is the unsuppressed formation of metallic (Li or Zn) dendrites that enter the electrolyte, creating an internal short circuit [90,91,92].
Given the above-mentioned limitations, at this time, metal (Li or Zn)-based battery technology cannot provide the required high energy demand. The uncontrollable evolution of Li and Zn dendrites during cycles is recognized as the main cause of battery damage and, at the same time, the limiting factor to increasing their efficiency and mass production. To overcome this barrier, many researchers have proposed and investigated scaffolds for use as hosts which stabilize lithium deposition. Currently, DIW scaffolds have mostly been proposed in research works for use in metal-based batteries, seemingly overcoming the above-stated limitations. Through utilizing DIW technology, a metal anode could be incorporated into the polymeric electrolyte, leading to the suppression of the dendritic growth of lithium and less metal volume changes. For this reason, using polymer-based inks are preferable for advancing battery technology.
3.1.1. PVdF and Other Polymer-Based Inks
A few polymer-based inks are preferable for DIW technology due to their rheological properties and low melting temperature. For example, poly (vinylidene fluoride-hexafluoropropylene) (PVdF) exhibits viscosity decreases with increasing shear rate (shear-thinning), effectively facilitating the pumping process in extrusion-based 3D printing technologies. PVdF-based material, showing a strong electron-withdrawing functional group (-C-F) in the electrolyte’s matrix, is stable with the use of lithium metal; therefore, it is preferable for electrode/electrolyte construction. Nonetheless, PVdF and similar polymer-based materials have very low ionic and thermal conductivities, meaning that they cannot be used extensively in electrode construction, and so various synthesis methods should be explored for fabricating electrode/electrolyte architectures with the desired properties (high conductivity, very low resistance, etc.) [93]. On the contrary to conventional methods that lack control over architectural constructions, the DIW process overcomes these challenges, providing an opportunity to manufacture new architectures and diverse shapes with great material flexibility.
Shahbazian-Yassar R et al. [94,95,96], in a series of works, tried to ameliorate PVdF’s thermal characteristics by adding nanomaterials into its matrix. By using the DIW technique, the researchers had the flexibility to study various materials as additives, extruding the material over various substrates. The inks with each of the additive displayed different rheological parameters associated with viscosity as well as properties related to liquid elasticity. It is certain that extrusion-based printing methods require ink parameters tailored for constructing electrodes with high geometrical fidelity. Furthermore, Shahbazian-Yassar R et al. [94], in their latest work, managed to fabricate an electrolyte (using polymer-boron nitride nanosheets) with 400% higher in-plane thermal conductivity. Their lithium-ion half-cell experiments indicated stable cycling behavior at 1C charge–discharge rate for 250 cycles, with the lithium-ion cells retaining 90% of their capacity. Pinto et al. [97] fabricated different morphologies of PVDF and poly(vinylidene fluoride-co hexafluoropropylene) (PVDF-HFP) with DIW. They obtained films with high density and membranes of high porosity, varying electroactive β-phase content and mechanical and thermal features. Thus, with the aid of DIW, membranes and electroactive films can be prepared for each energy storage system in a facile way.
Electrodes fabricated via DIW can provide much more space and a greater contact area between the electrolyte and electrode. In addition, the DIW printing procedure permits the fabrication of not only various scaffold topologies but also various materials. However, the final electrode properties and architecture depend on the printing ink’s characteristics. Scaffolds that occupy larger volumes than single electrodes are more susceptible to failures. Therefore, to maintain the scaffold’s original shape, continuous extrusion of the ink filament should be ensured; therefore, higher amounts of binders are added. Nevertheless, the extra quantity of binders decreases the conductivity and increases the thickness of the scaffold, reducing the total performance of the electrode. For this reason, in order to successfully print scaffolds, many research groups [63,98] have used a conducting polymer that can be added to graphene oxide ink and acts as a binder and conductive agent. Therefore, this strategy combines graphene oxide with a conductive polymer such as poly-pyrrole, poly-thiophene, or poly-aniline, and this strategy has been suggested as an effective solution to ensure 3D-printable inks for scaffold production [54,63,98,99].
Gao et al. [63] reported the fabrication of a 3D-printed hierarchical porous multidimensional conductive scaffold for use in Li-ion batteries using LiFePO4 as cathode catalytic material (Figure 4A). This electrode of scaffold type, exhibited a rate capability of 122 mAhg−1 at 2 C and an areal capacity up to 5.8 mAh cm−2, retaining also ~95% of its capacity after 100 cycles. The scaffold kept its structure after the printing procedure due to the combination of two polymers (poly(3,4-ethylene dioxythiophene):polystyrene sulfonate) that had the ability to maintain water content. In addition, the addition of graphene oxide to the printable ink increased the electrode’s conductivity and porosity, enabling the electrolyte (liquid) to access the inner active sites and the pores to act as local energy storage spots. Electrolyte intrusion was enabled by the hierarchical porous structure, while, at the same time, the as-suggested multidimensional conductive network promoted electron and ion transport. The yellow outline in SEM image indicates the channels from the porous structure that continue in big depth (Figure 4A). Graphene (or reduced) oxide plays the roles of the dispersant, binder, and rheological modifier. The distinct pattern of surface chemistry and the graphene oxide sheets’ structure in interactions with water permit the formulation of a highly stable graphene oxide suspension with an appropriate viscoelastic behavior [51]. Figure 4A shows the highest specific capacity of the reduced graphene oxide-based ink.
Figure 4.
SEM images of three-dimensional printed hierarchical porous multidimensional conductive scaffolds as cathode materials (LiFePO4) and their respective electrochemical performances (A) [63]; a 3D-printed helical NCA cathode and an LTO anode at 0.3 C and their respective electrochemical performances [53] (B); the Cu anode/current collector scaffolds into which they melted Li directly onto the electrolyte (NASICON-type Li1+xAlx3+M2-x4+(PO4)3, LATP) and their respective electrochemical performances [56] (C).
Taking into consideration that most of the as-tested printable inks for Li-based batteries include non-electrode materials and complicated formulation procedures that may cause undesired phenomena such as nozzle clogging, which certainly affect electrode electrochemical performance, Ao et al. [53] studied and developed a number of clog-free printable electrode inks for Li-ion batteries. In detail, they proposed an approach with multiple ball-milled processes, synthesizing 3D-printable inks that can be used for very long printing processes, leading to excellent printability and rheological characteristics, as well as a lack of any nozzle blockage phenomena. Specifically, they directly printed the anode and cathode on copper and aluminum current collectors, respectively. The as-fabricated electrodes exhibited average discharge capacities of 158.3, 145.8, and 147.4 mAh g−1 in 100 cycles for Li4Ti5O12 (LTO), LiNi0.815Co0.15Al0.035O2 (NCA), and LiFePO4- catalyst-based half-cells. Figure 4B indicates the structure and the specific capacity of a 3D-printed helical NCA cathode and an LTO anode at 0.3C. The initial discharge capacity was 145 mAh g−1 with 94.24% coulombic efficiency. A capacity retention of 87.6% was observed after 50 cycles. Also, in this study, two different kinds of carbon-based materials with the combination of two different polymers were blended to acquire a printable ink. In detail, graphite was mixed with multiwalled carbon nanotubes and PVDF with N-methyl-2-pyrrolidone (NMP).
In their study, Cipollone et al. [56] printed a Cu anode/current collector scaffold into which they melted Li directly onto the electrolyte (NASICON-type Li1+xAlx3+M2−x4+(PO4)3, LATP), and they constructed a Li|Cu@LATP@Cu|Li symmetrical cell that demonstrated a current density of 0.05 mAcm−2 and a polarization voltage of 60 mV. Regarding printing procedures, they used a polymer (or gel) with a continuous ‘structure’ and high yield stress, allowing for the direct printing of the Cu catalytic anode onto the electrolyte. Figure 4C demonstrates the whole procedure. The authors studied many ink compositions using the lowest possible number of binders. In this way, they ensured continuity of the electrode’s structure and reduced shrinkage phenomena during post-processing. The as-printed electrode presented suppressed dendritic phenomena.
Therefore, one of the most significant strategies involving the use of DIW for ensuring higher areal capacities, energy densities, lifetimes, and faster charging–discharging processes in supported electrodes for metal-based batteries is to create porous electrodes for easier ion and mass transport and to directly print the electrode’s material onto the electrolyte. DIW certainly suppresses dendritic phenomena, posing unique opportunities for batteries to be evolved.
Despite the progress in battery technology, the storage of enormous amounts of energy cannot be fulfilled, and currently, this is considered a significant challenge. A supercapacitor is a new sort of energy storage device that has great potential in the energy storage field. Specifically, compared to batteries, they supply more power, operate at wider operating temperature ranges, have longer lifecycles, lower internal resistance values, and faster charging and discharging speeds [100,101].
Supercapacitors are principally divided into two types: pseudo-capacitors and electric double-layer supercapacitors. Pseudo-capacitors include two electrodes that have redox-active materials that can store electrical energy following different mechanisms. When an exterior potential is applied, quick and reversible redox reactions can occur on the electrode surface, which enables the transfer of charges between electrodes and electrolytes. Thus, the electrical energy is stored by the transfer of electron charge between electrode and electrolyte when redox reactions take place. On the other hand, the working principle of electric double-layer capacitors is based on a physical reversible process. When the positive and negative ions are adsorbed on the surface between the solid electrode and the electrolyte, a difference in potential between the two electrodes is created, achieving energy storage. During charging, the positive and negative ions are attracted to the respective charged electrode surfaces, while during discharge, the ions leave the electrode surfaces and return to the electrolyte [100].
Today, the manufacturing of supercapacitors, especially those that can realize high energy density values with a long lifetime or energy harvesting at a high rate, remains a major challenge. Specifically, electrodes, as the core element of energy storage [82,102], play a crucial role in overcoming the above challenges. So, the way electrodes are manufactured becomes exceptionally important. Thus far, most of the research works concerning the manufacturing of supercapacitor electrodes via DIW have investigated MXene-based inks, as discussed in the next section.
3.1.2. MXene-Based Inks
MXene catalytic materials, due to their astonishing physical and chemical properties, have drawn increasing interest as promising energy storage electrode-active materials [103,104], and so, in this section, we focus our discussion on Mxene-based electrodes for supercapacitors.
MXene materials belong to families of 2D transition metals such as nitrides, carbides, and carbonitride, and when applied to supercapacitors, they show excellent charge storage and transport abilities [104,105]. Therefore, rightly, their manufacturing with the DIW technique has attracted considerable attention. In the literature, structural integrity issues in relation to MXene-based inks have been reported [106]. Specifically, the necessity of using a great amount of MXene material in order for the ink to have certain rheological properties for 3D printing is the main challenge that needs to be overcome [107,108]. When the amount of MXene is not sufficient, after drying, a critical self-restacking of the structure can be observed. Therefore, many different approaches have been adopted for ameliorating the rheological properties of MXene-based inks, as we discuss below.
The use of commercial conductive poly(3,4-ethylenedioxythiophene)-poly(styrenesulfonate) (PEDOT:PSS) ink, due to its tunable electrical properties, good structural stability, exceptional redox activity, and biocompatibility, has raised increasing interest in applications associated with 3D printing many parts (electrodes, current collectors) of micro-supercapacitors, especially those associated with 3D printing parts of micro-supercapacitors onto flexible substrates [54,109]. The insertion of MXenes into the PEDOT:PSS ink amplifies its printability while regulating the interconnection between the printed layers, and so it is the most commonly investigated material for the fabrication of supercapacitors via DIW.
As has been proven, the insertion of MXene nanosheets helps to optimize the ion/electron transport kinetics by promoting a hierarchical porous structure of PEDOT domains. Li et al. [30], in their study, doped their PEDOT:PSS ink with MXene nanosheets. Namely, they used aqueous-based PEDOT:PSS, an appropriate amount of ethylene glycol, and MXenes nanosheets catalysts, formulating a gel ink with eco-friendly characteristics. The integrity of the structures was validated by applying freeze-drying during the printing procedure (Figure 5A). Additionally, using the DIW technique, the control of the number of fabrication layers was possible, and consequently, the management of the areal capacitance of the as-fabricated electrodes was also possible. Reductions in manufacturing time and costs are additional advantages of this fabrication method. Figure 5A depicts the areal capacitance increment vs. layer number and the areal (0.889 F cm−2, @10 layers) and volumetric capacitance of the electrode vs. current density.
Figure 5.
PEDOT:PSS aqueous-based MXene ink for 3D printing multiple layers for micro-supercapacitor electrodes and the corresponding electrochemical performance (A) [30]; additivefree highly concentrated aqueous-based (MXene) ink and the corresponding 3D-printed electrodes’ architectures on flexible substrates for micro-supercapacitors and the corresponding electrochemical performances (MSC-1: one layer, MSC-2: two layers, etc. (B)) [57].
Meanwhile, MXene catalytic nanosheets are hydrophilic, presenting negative electrostatic charges, so they can formulate stable aqueous inks by themselves without the addition of any additives [110]. Thus, aqueous-based Mexene inks can be formulated at high concentrations (~36 mg mL−1) without presenting any sedimentation even after of months storage [110]. Depending on the method used, one can form Mxene dispersions of various concentrations [57]. Orangi et al. [57] used 290 mgMXene mL−1, a dispersion concentration which could be directly employed for DIW (Figure 5B). Another advantage that highly concentrated aqueous-based MXene inks offer is that, compared to PEDOT:PSS-based MXene inks, they can be printed at room temperature, as a small amount of water can be easily vaporized, and they can be printed onto a variety of substrates, even on paper ones.
Figure 5B also shows the areal capacitance of a 3D-printed electrode with various printed layers. Additionally, as depicted in the cyclic voltammogram in Figure 5B, the capacitance can be retained even under various bending angles (60°, 120°, 180°, and 0°).
Three-dimensional printing micro-supercapacitors can give remarkably enormous areal capacitances, exceptional rate behaviors, and excellent cycling stability. The most important result is the production of thickness-independent capacitances even under extraordinary distortions and low temperatures, and this can be achieved with aqueous-based inks.
Over and above batteries and supercapacitors, the DIW additive manufacturing process can also provide solutions for fuel cell electrode optimization by facilitating the creation of advanced architectures with improved characteristics. In the current overview, we focus on solid oxide fuel cells (SOFCs). Many sectors, such as industry, aim to achieve decarbonization, and the optimization of their processes and fuel cells is appropriate for success in this regard. SOFCs are considered the most appropriate type of fuel cell since their higher operational temperature (500–1000 °C) enhances energy conversion processes [111].
According to their operational working principle, SOFCs are composed of an anode and cathode that are separated by a solid oxide electrolyte with all its compartments made of ceramic materials. At the anode compartment, the fuel electrooxidation reaction takes place, while at the cathode, the oxygen electroreduction reaction takes place. The electrolyte permits only the transport of ions, while the electrons produced at the anode move through an external circuit, powering the desired device, and others move towards the cathode [112]. Due to the inherent properties of the different ceramic materials, SOFCs seem to operate efficiently at operating temperatures higher than 800 °C. Meanwhile, such high operating temperatures lead to important electrode fabrication failures (e.g., lower electrode–electrolyte interface area) due to critical material complications, increasing maintenance and operational costs and hindering the widespread commercialization of SOFCs. Hence, to fabricate low-temperature and intermediate-temperature SOFCs, the research community has focused on the development of different materials and cell designs [113]. In general, ceramic materials are very difficult in their handling compared with conventional methods; therefore, the DIW technique offers great opportunities to reduce the time and costs required for the fabrication of solid oxide electrodes.
3.1.3. Ceramic-Based Inks
In the context of the fabrication of solid-based electrolytic and fuel cell system parts (electrodes, interconnects, and electrolytes), DIW has emerged as the key method for addressing the operational issues of SOFCs [114,115,116]. DIW enables a significant increase in the interaction area between electrodes/electrolytes and interconnects/electrodes, which still constitutes a hindering factor to reducing SOFCs operating temperatures [2,3,117,118]; DIW also allows for architecture optimization and construction with lower costs and less complicated processes.
However, achieving printable ceramic-based inks is still a challenge since ceramics have high innate melting points. According to Del-Mazo-Barbara et al. [50], the most commonly explored ceramic-based inks are colloidal-, hydrogel-, or organogel-type inks. In the case of the colloidal category, ceramic particles are not stable, so additives such as polymers should be added. This addition, however, makes the inks very susceptible to pH changes and chemistry, and such inks make the architecture difficult to control. Hydrogels and organogels, on the other hand, present more advantages, as they overcome the ceramic particle–particle interaction and are based only on surface chemistry, so they can be used with any ceramic powder [50,119,120]. Additionally, the defects that are produced during post-printing procedures, which usually lead to cracking and deformation of the final structure, present another challenge that needs to be overcome when DIW is applied as the fabrication technique.
In view of the above, in the last few years, some research groups [119,121,122] have examined how the inclusion of various additives into ceramic inks could affect the properties of the ink and the final electrode’s structure and properties. For decades, alumina and yttria zirconia have been the most examined ceramic materials for SOFCs [123], and they are considered materials of great interest that should be explored in conjunction with the DIW method [121,124]. More precisely, it has been observed [124] that the addition of fine nanoparticles such as silica into alumina-based ink, in combination with sintering additives, ameliorates the ink’s properties, leading to reduced shrinkage phenomena and defects in the final ceramic structure. Other research groups [125,126,127] have used inorganic binders like aluminum dihydrogen phosphate instead of organic ones, and they have observed ultra-low shrinkage in the final ceramic structure.
According to Rath et al. [128], who used organic additives to optimize ceramic inks, in their study, highly viscous (ca 8 Pa s) ceramic inks caused micro-cracks on the structure surface; very low-viscosity inks (ca 3 Pa s) presented deformation and inhomogeneity, while average-viscosity inks (ca 8 Pa s) exhibited the desired printable behavior. In detail, they printed anode support layers, which they then dried at room temperature, and after they had dried, they were sintered at 1100 °C. After the 3D printing procedure, the electrode was sprayed and magnetron-sputtered to obtain a NiO spray-coated SZ (10Sc1CeSZ) hybrid anode catalyst, while lanthanum strontium manganite (LSM) was the cathode catalyst of the as-fabricated H2-SOFC. In the case of the hybrid anode structure, the electrochemical performance of the cell was significantly enhanced by 21%, exhibiting 442 mW cm−2 at 800 °C. Using post-printing processes such as spray and magnetron sputtering, electrodeposition, and others to apply an electroactive material onto the 3D-printed structure appears to enhance electrochemical performance.
Seo et al. [59,129], in a series of works, examined mixing NiO catalytic nanopowder with yttria stabilized zirconia (YSZ) ink, fabricating, via DIW, an anode-supported fuel cell. DIW gave them the opportunity to print two different anode patterns onto a substrate (Figure 6A) and increase the electrode/electrolyte interface. The increased interfacial area of the flat cell increased the current density to 0.17 A cm−2 at a terminal voltage of 0.7 V at 600 °C, whereas in a patterned cell wherein the enlargement factor was 1.14, the current density reached 0.32 A cm−2 (Figure 6A) [59]. According to their research, macro- and nano-scale structural modifications could further increase the electrode/electrolyte interface.
Figure 6.
Patterned cells based on NiO nanopowder mixed with yttria stabilized zirconia (YSZ) to fabricate an anode-supported fuel cell and their respective electrochemical performances at 600 oC and 700 oC (A) [59]; structural modification techniques introducing gadolinium-doped ceria (GDC) nanoparticles into a meso-porous lanthanum strontium cobalt ferrite (LSCF) cathode and their respective electrochemical performances at 600 oC, 650 oC and 700 oC (B) [129].
Seo et al. [129], following the same strategy of mixing meso- and nanostructures, successfully extruded ceramic- based ink on a flat anode disk surface by introducing gadolinium-doped ceria (GDC) nanoparticles into a meso-porous lanthanum strontium cobalt ferrite (LSCF) cathode with the aid of wet impregnation (Figure 6B). Previously, with the aid of an extrusion-based method, they 3D printed NiO–YSZ structures on the surface of a flat NiO–YSZ anode disk, and they used GDC as a barrier layer. According to their investigation, the combination of two different structural sizes, meso-mixed with nano, can lead to higher SOFC performance (Figure 6B). The electrochemical performances of each structure at different temperature values are depicted in Figure 6B. At all examined temperatures (Figure 6(Ba–Bc)), the meso/nanostructure exhibited the highest power density, with Pmax reaching 0.90 W cm−2 at 700 °C. This improved performance was attributed to the increase in the reaction site density (in the 10–100 µm range) of the electrode/electrolyte interface. It is certain, too, that a meso-structure at the electrode–electrolyte interface significantly increases cell performance, favoring the lower operating temperature of SOFCs.
To date, research on the fabrication of SOFC compartments via the DIW technique is very limited. However, all of the studies in the existing literature have noted the following deductions: the performance and the thermomechanical durability of the cell are significantly improved, and DIW technique is a potentially cost-effective process, enabling highly efficient large-area SOFC fabrication and lower operational temperatures.
3.2. Printable Inks for Free-Standing Electrode Architectures
DIW technology has provided researchers the opportunity to develop 3D free-standing architectures which can be employed directly as active materials of electrodes. The free-standing architecture allows for the construction of more porous electrodes, enabling greater mass transport and, consequently, significantly ameliorating electrochemical device performance. To achieve integrated free-standing architectures, more layers should be printed; therefore, in most cases, the printable ink should be highly concentrated. In the case of free-standing architectures, we also recognized different categories of inks that have been explored, as discussed below.
3.2.1. Hybrid Polymer-Based Inks
Colloidal polymer-based inks hinder long entanglement chains as they sequester into discrete particles, moderating the association between molecular weight and viscosity. Therefore, colloidal polymer-based inks present shear-thinning behavior, offering the opportunity for highly concentrated DIW inks.
Figure 7A [31] depicts an innovative direct ink writing manufacturing approach for free-standing 3D Zn-based catalysts. The key point to consider for the fabrication of a 3D-printable colloidal polymer-based ink is the addition of metal micro-particles (<200 μm) to form a homogeneous and highly concentrated suspension. The final electrode has a porous-tunable hierarchical Zn cellular structure with incredible electrical and mechanical strength. The as-fabricated Zn||NiOOH cell exhibited high rates of 25 mA cm−2, along with an areal capacity of 11.89 mAh cm−2. The cumulative and volumetric capacities were 7.8 Ah cm−2 and 23.78 mAh cm−3, respectively. The proposed electrode operated for over 650 cycles (Figure 7A). Also, the discharging capacities, as well as the coulombic efficiency of the 3D-printed anode at 10% depth of discharge vs. the cycle number, presented excellent values (Figure 7A).
Figure 7.
Three-dimensional printed Zn-based anodes with porous-tunable hierarchical Zn cellular structures for Zn-rechargeable batteries, fabricated using polymers and Zn micro-particles for ink synthesis, and their respective electrochemical performances [31] (A); a 3D-printed electrode for Li-based batteries, fabricated using PVDF, multiwalled carbon nanotubes (MWCNTs), and LiFePO4 nanoparticles for ink synthesis, and its electrochemical performance [21] (B); a 3D-printed cryogel electrode with vertically aligned NiCo2O4 nanosheets, along with patterning micro-lattices with multiple orthogonal layers of parallel cylindrical rods, for use in an asymmetric supercapacitor that was fabricated using single-walled carbon nanotubes (SWCNTs) and sodium carboxymethyl cellulose (CMC) for ink synthesis and its electrochemical performance (C) [69]; a 3D-printed solid-state interdigitated SSC device for symmetrical supercapacitors, fabricated using hybrid MXene ink by adding cellulose nanofibers for synthesis ink, and its electrochemical performance (D) [66]; (E) a 3D-printed electrode (and its electrochemical performance) with MXene flakes aligned with each other, forming a substantial number of interconnected micro-gaps and micro-pores almost parallel to the direction of ions for micro-supercapacitors. This electrode was created using a MXene-based hydrogel, along with the amphiphilic surfactant nonaethylene glycol monododecyl ether (C12E9) for ink synthesis [62].
As previously mentioned, the design of an electrode architecture appropriate for batteries is the key element for ensuring good contact between the electrode and electrolyte, as well as for the creation of multiple ion transmission paths. But, to accurately control the geometry and porosity of the 3D-printed architectures, the printing ink should be optimized [130]. Additionally, the contact between the electrolyte and the catalyst (e.g., LiFePO4) should be validated. The insertion of carbon nanotubes (CNTs) into the polymer matrix forms network structures, supporting the contact area as the active materials adhere to the CNTs, forming a micro-network and advancing the transmission of electrons and ions. Thus, we ‘observe’ that hybrid polymer-based inks that include CNTs and a catalyst (active material) in nanopowder form have excellent rheological parameters, give integral free-standing electrode architectures, and, consequently, provide superior electrochemical performance.
Li et al. [21], using a PVDF, multiwalled carbon nanotubes (MWCNTs), and LiFePO4 nanoparticles (catalyst), synthesized a printable ink that gave a cross-linked network structure (Figure 7B). The freeze-drying method was also used to help keep the structure intact. The grid network offered many channels for electrons and ion transfer; in this study, the following was achieved: an areal capacity of 1.44 mAh cm−2 at 0.5C, an areal energy density of 18.06 J cm−2, and very good cycling stability (preserving ~80% capacity after 500 cycles at 5 C) (Figure 7B).
Despite the structural design flexibility that is provided by the DIW technique, the accurate mass loading of the catalyst into hierarchical porous structures remains a challenge. To achieve the uniform deposition of the catalyst, the use of 3D-printed hierarchically porous carbon-based cryogel, playing the role of the conducting skeleton, has been suggested [25,69].
Yang et al. [69] used kapok-derived roof tile-shaped CT as a quasi-2D material. Exploiting its high micro-porosity and rich heteroatom doping, they achieved a superior ion-accessible surface area. Additionally, instead of using PVdF, they added a sodium carboxymethyl cellulose dispersant and single-walled carbon nanotubes (SWCNTs) to form a CT-SWNT-CMC ink. The as-obtained 3D CT-SWCNT-CMC cryogel (Figure 7C) was the scaffold used to ‘embrace’ the catalyst (NiCo2O4 nanosheets) that was deposited via the hydrothermal method, followed by a heat treatment process.
To avoid free-standing structure shrinking and deformation caused by capillary pressure during the drying process, similarly to many research groups, Yang et al. [69] also adopted a freeze-drying strategy. They managed to remove the water and consequently generate a porous architecture with high stability. The asymmetric supercapacitor, with CT-SWNT-NiCo2O4 as the anode (4-mm-thick) and CT-SWNT as the cathode (4-mm-thick), exhibited a good specific capacitance of 0.588 F cm−2, an energy density of 138 µWh cm−2, and excellent long-term cycling stability (82% after 50,00 cycles). This high capacity was retained even with thicker electrodes (Figure 7C).
3.2.2. MXene-Based Inks
As mentioned above, MXennes-based inks are needed at very high concentrations to achieve free-standing electrode architectures, making them difficult to handle. In the case of supported-electrode architectures, we noted that to avoid the shrinkage of the final electrode’s structure, caused by high MXene concentrations, aqueous-based as-formulated inks have been used. However, in the case of free-standing architectures, even higher MXene concentrations are required; therefore, the formulation of a highly MXene-based 3D-printable ink for free-standing electrodes is still a challenge.
According to Zhou et al. [66], the inclusion of cellulose nanofibers into a MXene-based ink, in combination with the freeze-drying technique, helped to avoid the shrinkage of the final electrode structure (Figure 7D). Using the optimum ratio of cellulose nanofibers to MXene resulted in hierarchical porous structures that were used for symmetrical supercapacitor fabrication. Some data pertaining to its electrochemical performance are depicted in Figure 7D. The areal capacitance reached 2.02 F cm−2, and the energy density was 101 μWhcm−2 (with power density of 0.299 mWcm−2). The symmetrical supercapacitor maintained 85% of its capacitance retention rate even after 5000 cycles.
Shi et al. [62], in their study, adopted another approach, incorporating the amphiphilic surfactant nonaethylene glycol monododecyl ether (C12E9) into a hydrogel MXene-based ink. In this study, MXene flakes were aligned with each other, forming a substantial number of interconnected micro-gaps and micro-pores, which were observed to be almost parallel to the direction of ion passage (Figure 7E). Without using C12E9, the MXene flakes were loosely bonded with each other, forbidding any hierarchical arrangement. Additionally, in cases involving the use of a small nozzle opener (<100 μm), those loosely bonded flakes might cause nozzle clogging. According to the cyclic voltammetry experimental results, the areal capacitance was calculated to be 1.58 F cm−2 at a scan rate of 5 mV s−1 and remained as high as 0.84 F cm−2 at 100 mV s−1 (Figure 7E).
3.2.3. Graphene- and Graphene Oxide-Based Inks
Additionally, graphene-based electrodes [131] predominate over energy devices, making the graphene’s successful handling for DIW structures imperative. Today, the synthesis of graphene (and its derivative)-based inks with the appropriate rheological behavior for use in the DIW process is still a challenge. Most works report the addition of additives like conductive polymers [132,133,134,135,136], nanoparticles [137], and others [138,139]. Yun et al. [58] studied the use of a concentrated graphene oxide ink, free of additives, for the precise construction of a 3D-printed micro-supercapacitor (MSCs) with an interdigitated architecture. The suggested optimum 3D-printable GO-catalytic ink, depending on the shear rate and strain amplitude, owns both gel and liquid behavior. After the printing procedure, a reduction process took place, giving a reduced graphene oxide catalyst of five printed layers. Additionally, to validate the high electrode/electrolyte interface, low internal charge transfer resistances, and ion transport pathways, a gel electrolyte ‘embraced’ the final electrode. According to the experimental measurement results, the areal specific capacitances of the pseudo-capacitor were estimated to be 101 mF cm−2 (@0.5 mA cm−2) and 111 mF cm−2 (@10 mV s−1).
Free-standing, sodium-ion hybrid capacitors were fabricated by Zong et al. [68], who examined graphene oxide-based inks; in this study, a E-ReSe2@INC catalyst (intercalated by nitrogen-doped carbon)/carbon nanotube (CNT)/graphene oxide (GO) ink and an active carbon (AC)/CNT/GO) ink were used. Both inks formed a vigorous 3D network framework (Figure 8A), showing long-term dispersion stability at rest. The-E-ReSe2@INC//AC sodium-ion hybrid capacitor (Figure 8A) delivered high energy and power density values of 81.4 Wh kg−1 and 0.32 mWh cm−2 and 9992.1 W kg−1 and 38.76 mW cm−2, respectively. This high-level performance was attributed to the use of extrusion-based technology, namely DIW, which allows one to use multicomponent inks, facilitating various porous electrode architectures that enable mass transfer and present adequate electrode/electrolyte interface areas.
Figure 8.
Three-dimensional printed sodium-ion hybrid capacitors fabricated via E-ReSe2@INC (intercalated by nitrogen-doped carbon)/carbon nanotube (CNT)/graphene oxide (GO) ink synthesis and their respective electrochemical performances (A) [68]; 3D-printed GO separator-AC/CNT/rGO ten layer electrodes fabricated using AC/CNT/rGO-high concentrated ink and their respective electrochemical performances (B) [52]; 3D-printed self-support anode and cathode electrodes for quasi-solid Ni-Fe batteries fabricated using both 1D carbon nanotubes and 2D rGO nanosheets ink and their respective electrochemical performances (C) [64]; 3D-printed micro-supercapacitor electrodes, fabricated using free-additive pristine graphene aqueous inks, and their respective electrochemical performances (D) [61].
The combination of three different carbon-based materials, such as active carbon mixed with carbon nanotubes and reduced graphene oxide, seems to offer rigid structures with very high porosity. Additionally, Gao et al. [52] examined the use of concentrated GO-based inks, a self-supported thin GO separator, and compact brick-like active carbon/carbon nanotube/reduced graphene oxide (AC/CNT/rGO) carbon composite catalysts with tunable thicknesses (Figure 8B). The as-printed architectures were dried and annealed without showing any shape deformation. The symmetric cell GO separator-AC/CNT/rGO ten-layer electrodes exhibited 4.56 F cm−2 areal capacitance and 10.28 F cm−3 volumetric capacitance.
In the same context, Kong et al. [64] blended 1D carbon nanotube ink and 2D rGO nanosheet ink to formulate compressible self-support anode and cathode electrodes with rGO/CNT aerogel micro-lattices for quasi-solid Ni-Fe batteries (Figure 8C), resulting in 3D-printed arrays. The GO −CNT ink was printed in a layer-by-layer arrangement in fine lines, shaping orthogonal multilayers with parallel porous cylindrical rods. After printing, freeze-drying and annealing treatments followed to obtain the micro-lattices (Figure 8C). Ultra-thin Ni(OH)2 nanosheet arrays formed the cathode, and holey α-Fe2O3 nanorod arrays shaped the anode. The catalyst mass loading was 130 mg cm−3, presenting compressibility up to 60%. The compressible battery retained ∼91.3% of its capacity (even after 10,000 cycles), exhibiting ultra-high energy density (28.1 mWh cm−3 @ 10.6 mW cm −3) (Figure 8C).
3.2.4. Aqueous-Based (Capillary) Inks
The addition of additives into inks requires more complicated post-printing processes to acquire an integrated free-standing electrode. Taking into consideration the effect of additives used in printable graphene-based inks, some researchers have assessed the final properties of electrodes following the use of capillary inks [140]. Capillary inks [140] are a novel category of inks that reduce printed electrodes’ post-processing procedures and facilitate the management of aqueous-based formulations. Additionally, they enable the 3D printing of powders, allowing for the synthesis of distinct chemistries as well as the manufacturing of complex electrode architectures and shapes. Furthermore, this ink category seems to be the key solution for the optimum handling of graphene-based inks [141]. Tagliaferri et al. [61] reported the fabrication of a micro-supercapacitor (carried out via 3D printing) using pristine graphene aqueous-based inks (Figure 8D). During fabrication, there was no need for additives or high-temperature post-processes. The reported symmetric capacitor’s performance was extremely high, exhibiting an intrinsic electrical conductivity of ∼1370 S m−1, an areal capacitance of 1.57 F cm −2 at 2 mA cm −2, an areal power density of 0.968 mW cm −2, and an areal energy density of 51.2 μWh cm −2 (Figure 8D).
According to Corker et al. [33], in the absence of additives, the rheological properties of 2D colloids of graphene oxide (GO) at small concentrations (0.1 vol%) show a transition from Newtonian-like to shear-thinning behavior, leading to the formation of weak networks. This continues up to 0.4 vol%, while above 0.4 vol%, GO aqueous-based flakes exhibit various rheological behaviors, from viscoelastic liquid to solid.
4. Conclusions and Future Perspectives
Direct ink writing (DIW) provides the flexibility to form 3D-printed electrodes of various shapes that are adaptable to many electrochemical devices. DIW permits layer-by-layer assembly, providing the opportunity to increase areal capacitance, the length of pathways for ions, and the contact area between the electrode and electrolyte to lower the internal resistance of electrodes and form various geometries. However, the catalytic ink formulation defines the post-processing treatment, the integrity of the structures, and, consequently, the structural properties. In this review, we have distinguished two major categories of electrode architectures: supported and free-standing architectures. DIW formulates supported scaffolds with improved electrochemical device performance, albeit to the detriment of volume; however, DIW provides researchers with the opportunity to develop free-standing architectures, which can be employed directly as active materials of electrodes. We deduced that polymer-based printable inks are preferable for supported architectures, while capillary inks that permit the use of graphene (and/or derivatives) are thriving. In the case of ceramic-based inks that are used in solid oxide fuel cells, the inclusion of nanoparticles into the ink offers easier handling. Finally, MXene-based inks constitute a special ink type since, at high concentrations, like graphene, they are harder to handle, and many different strategies involving MXene-based inks have been adopted.
To qualify all the above-mentioned inks as 3D printable, researchers measure inks’ rheological properties. Most of the previous studies in the literature relied on measuring viscoelastic properties such as storage modulus (G′), loss modulus (G″), and yield stress (extracted from G′,G″ plots). There is also a portion of studies that assessed ink rheology via the purely viscous Herschel–Bulkley model. Measurements of ink thixotropy have not been carried out to the same extent, yet measuring ink thixotropy can offer a deep understanding on how the material responds during DIW. Nonetheless, it is unclear what methodology one may follow to qualify an ink as printable (since ink formulations vary a lot), but some criteria have been developed in this regard. More research on the ink rheology–printability relationship is needed, combined with flow modeling of the DIW process for the design of energy devices.
DIW is a promising bottom-up manufacturing technology that has provided unique properties in energy storage and conversion devices. However, the ink formulas of electrodes/electrolytes are not well-established for each energy device, and this is a great challenge that needs to be overcome. In the event that a standard formulation ink is found to upscale electrode structures, DIW will be predicted to revolutionize the conventional manufacturing processes and substantially upgrade energy device performance. Nonetheless, the diffusion of DIW application in the future as a standard manufacturing process for energy device electrodes is challenged by many challenges regarding the meticulous selection of ink materials, improving printing accuracy and speed, and enhancing the repeatability and stability of electrode structures.
Author Contributions
Both authors, A.B. and N.D.P., contributed equally to conceptualization; methodology; formal analysis; investigation, resources; writing—original draft preparation; writing—review and editing. All authors have read and agreed to the published version of the manuscript.
Funding
This research received no external funding.
Data Availability Statement
No new data were created in this study. Analytical data that support this review are available to each respective reference.
Conflicts of Interest
The authors declare no conflicts of interest.
References
- Shah, S.S.; Najam, T.; Brouzgou, A.; Tsiakaras, P. Alkaline Oxygen Electrocatalysis for Fuel Cells and Metal–Air Batteries. Encycl. Electrochem. Online 2007, 9, 1–28. [Google Scholar]
- Medvedev, D.; Brouzgou, A.; Demin, A.; Tsiakaras, P. Proton-conducting electrolytes for solid oxide fuel cell applications. In Advances in Medium and High Temperature Solid Oxide Fuel Cell Technology; Springer: Cham, Switzerland, 2017; Volume 574, pp. 77–118. [Google Scholar]
- Brouzgou, A.; Demin, A.; Tsiakaras, P. Interconnects for Solid Oxide Fuel Cells. Advances in Medium and High Temperature Solid Oxide Fuel Cell Technology; Springer: Cham, Switzerland, 2017; pp. 119–153. [Google Scholar]
- Vignesh, M.; Ranjith Kumar, G.; Sathishkumar, M.; Manikandan, M.; Rajyalakshmi, G.; Ramanujam, R.; Arivazhagan, N. Development of biomedical implants through additive manufacturing: A review. J. Mater. Eng. Perform. 2021, 30, 4735–4744. [Google Scholar] [CrossRef]
- Joshi, S.C.; Sheikh, A.A. 3D printing in aerospace and its long-term sustainability. Virtual Phys. Prototyp. 2015, 10, 175–185. [Google Scholar] [CrossRef]
- Shahrubudin, N.; Lee, T.C.; Ramlan, R. An overview on 3D printing technology: Technological, materials, and applications. Procedia Manuf. 2019, 35, 1286–1296. [Google Scholar] [CrossRef]
- Sun, J.; Zhou, W.; Huang, D.; Fuh, J.Y.; Hong, G.S. An overview of 3D printing technologies for food fabrication. Food Bioprocess Technol. 2015, 8, 1605–1615. [Google Scholar] [CrossRef]
- Ambrosi, A.; Pumera, M. 3D-printing technologies for electrochemical applications. Chem. Soc. Rev. 2016, 45, 2740–2755. [Google Scholar] [CrossRef]
- Das, A.; Gilmer, E.L.; Biria, S.; Bortner, M.J. Importance of polymer rheology on material extrusion additive manufacturing: Correlating process physics to print properties. ACS Appl. Polym. Mater. 2021, 3, 1218–1249. [Google Scholar] [CrossRef]
- Li, X.; Chen, Y. Vat-Photopolymerization-based ceramic manufacturing. J. Mater. Eng. Perform. 2021, 30, 4819–4836. [Google Scholar] [CrossRef]
- Hossain, S.S.; Lu, K. Recent progress of alumina ceramics by direct ink writing: Ink design, printing and post-processing. Ceram. Int. 2023, 49, 10199–10212. [Google Scholar] [CrossRef]
- Travitzky, N.; Bonet, A.; Dermeik, B.; Fey, T.; Filbert-Demut, I.; Schlier, L.; Schlordt, T.; Greil, P. Additive manufacturing of ceramic-based materials. Adv. Eng. Mater. 2014, 16, 729–754. [Google Scholar] [CrossRef]
- a Baer, T.; Cesarano, J., III; Calvert, P.; Cesarano, J.; Baer, T.A.; Calvert, P. Recent developments in freeform fabrication of dense ceramics from slurry deposition. In Proceedings of the 1997 International Solid Freeform Fabrication Symposium, Austin, TX, USA, 11–13 August 1997. [Google Scholar]
- Smay, J.E.; Nadkarni, S.S.; Xu, J. Direct Writing of Dielectric Ceramics and Base Metal Electrodes. Int. J. Appl. Ceram. Technol. 2007, 4, 47–52. [Google Scholar] [CrossRef]
- Sun, K.; Wei, T.-S.; Ahn, B.Y.; Seo, J.Y.; Dillon, S.J.; Lewis, J.A. 3D Printing of Interdigitated Li-Ion Microbattery Architectures. Adv. Mater. 2013, 25, 4539–4543. [Google Scholar] [CrossRef]
- Lamnini, S.; Elsayed, H.; Lakhdar, Y.; Baino, F.; Smeacetto, F.; Bernardo, E. Robocasting of advanced ceramics: Ink optimization and protocol to predict the printing parameters—A review. Heliyon 2022, 8, e10651. [Google Scholar] [CrossRef]
- Guo, C.-F.; Zhang, M.; Bhandari, B. A comparative study between syringe-based and screw-based 3D food printers by computational simulation. Comput. Electron. Agric. 2019, 162, 397–404. [Google Scholar] [CrossRef]
- Malda, J.; Visser, J.; Melchels, F.P.; Jüngst, T.; Hennink, W.E.; Dhert, W.J.A.; Groll, J.; Hutmacher, D.W. 25th Anniversary Article: Engineering Hydrogels for Biofabrication. Adv. Mater. 2013, 25, 5011–5028. [Google Scholar] [CrossRef]
- Balani, S.B.; Ghaffar, S.H.; Chougan, M.; Pei, E.; Şahin, E. Processes and materials used for direct writing technologies: A review. Results Eng. 2021, 11, 100257. [Google Scholar] [CrossRef]
- Tan, J.Z.Y.; Ávila-López, M.A.; Jahanbakhsh, A.; Lu, X.; Bonilla-Cruz, J.; Lara-Ceniceros, T.E.; Andresen, J.M.; Maroto-Valer, M.M. 3D direct ink printed materials for chemical conversion and environmental remediation applications: A review. J. Mater. Chem. A 2023, 11, 5408–5426. [Google Scholar] [CrossRef]
- Li, L.; Tan, H.; Yuan, X.; Ma, H.; Ma, Z.; Zhao, Y.; Zhao, J.; Wang, X.; Chen, D.; Dong, Y. Direct ink writing preparation of LiFePO4/MWCNTs electrodes with high-areal Li-ion capacity. Ceram. Int. 2021, 47, 21161–21166. [Google Scholar] [CrossRef]
- Tagliaferri, S.; Panagiotopoulos, A.; Mattevi, C. Direct ink writing of energy materials. Mater. Adv. 2021, 2, 540–563. [Google Scholar] [CrossRef]
- Browne, M.P.; Redondo, E.; Pumera, M. 3D printing for electrochemical energy applications. Chem. Rev. 2020, 120, 2783–2810. [Google Scholar] [CrossRef] [PubMed]
- Huang, T.; Liu, W.; Su, C.; Li, Y.-Y.; Sun, J. Direct ink writing of conductive materials for emerging energy storage systems. Nano Res. 2022, 15, 6091–6111. [Google Scholar] [CrossRef]
- Yao, B.; Chandrasekaran, S.; Zhang, H.; Ma, A.; Kang, J.; Zhang, L.; Lu, X.; Qian, F.; Zhu, C.; Duoss, E.B. 3D-printed structure boosts the kinetics and intrinsic capacitance of pseudocapacitive graphene aerogels. Adv. Mater. 2020, 32, 1906652. [Google Scholar] [CrossRef]
- Zhang, Y.; Peng, W.; Cao, Y.; Wang, W.; Teng, D.; Huang, Y.; Fan, G. 3D graphene-based active electrodes with large areal capacitance by modified direct ink writing method. Colloids Surf. A Phys. Eng. Asp. 2023, 671, 131603. [Google Scholar] [CrossRef]
- Goh, G.L.; Tay, M.F.; Lee, J.M.; Ho, J.S.; Sim, L.N.; Yeong, W.Y.; Chong, T.H. Potential of printed electrodes for electrochemical impedance spectroscopy (EIS): Toward membrane fouling detection. Adv. Electron. Mater. 2021, 7, 2100043. [Google Scholar] [CrossRef]
- Amorim, P.; d’Ávila, M.; Anand, R.; Moldenaers, P.; Van Puyvelde, P.; Bloemen, V. Insights on shear rheology of inks for extrusion-based 3D bioprinting. Bioprinting 2021, 22, e00129. [Google Scholar] [CrossRef]
- Rau, D.A.; Williams, C.B.; Bortner, M.J. Rheology and Printability: A Survey of Critical Relationships for Direct Ink Write Materials Design. Prog. Mater Sci. 2023, 140, 101188. [Google Scholar] [CrossRef]
- Li, L.; Meng, J.; Bao, X.; Huang, Y.; Yan, X.P.; Qian, H.L.; Zhang, C.; Liu, T. Direct-Ink-Write 3D Printing of Programmable Micro-Supercapacitors from MXene-Regulating Conducting Polymer Inks. Adv. Energy Mater. 2023, 13, 2203683. [Google Scholar] [CrossRef]
- Zhu, C.; Schorr, N.B.; Qi, Z.; Wygant, B.R.; Turney, D.E.; Yadav, G.G.; Worsley, M.A.; Duoss, E.B.; Banerjee, S.; Spoerke, E.D. Direct ink writing of 3D Zn structures as high-capacity anodes for rechargeable alkaline batteries. Small Struct. 2023, 4, 2200323. [Google Scholar] [CrossRef]
- M’barki, A.; Bocquet, L.; Stevenson, A. Linking rheology and printability for dense and strong ceramics by direct ink writing. Sci. Rep. 2017, 7, 6017. [Google Scholar] [CrossRef]
- Corker, A.; Ng, H.C.-H.; Poole, R.J.; García-Tuñón, E. 3D printing with 2D colloids: Designing rheology protocols to predict ‘printability’of soft-materials. Soft Matter 2019, 15, 1444–1456. [Google Scholar] [CrossRef]
- Liu, Y.; Hildner, M.; Roy, O.; Van den Bogert, W.A.; Lorenz, J.; Desroches, M.; Koppi, K.; Shih, A.; Larson, R.G. On the selection of rheological tests for the prediction of 3D printability. J. Rheol. 2023, 67, 791–791. [Google Scholar] [CrossRef]
- Cipriani, C.E.; Shu, Y.; Pentzer, E.B.; Benjamin, C.C. Viscoelastic and thixotropic characterization of paraffin/photopolymer composites for extrusion-based printing. Phys. Fluids 2022, 34, 093106. [Google Scholar] [CrossRef]
- García-Tuñón, E.; Agrawal, R.; Ling, B.; Dennis, D.J. Fourier-transform rheology and printability maps of complex fluids for three-dimensional printing. Phys. Fluids 2023, 35, 017113. [Google Scholar] [CrossRef]
- Barnes, H.A. The yield stress—A review or ‘παντα ρει’—Everything flows? J. Non-Newton. Fluid Mech. 1999, 81, 133–178. [Google Scholar] [CrossRef]
- Bonn, D.; Denn, M.M.; Berthier, L.; Divoux, T.; Manneville, S. Yield stress materials in soft condensed matter. Rev. Mod. Phys. 2017, 89, 035005. [Google Scholar] [CrossRef]
- De Kee, D. Yield stress measurement techniques: A review. Phys. Fluids 2021, 33, 111301. [Google Scholar] [CrossRef]
- Dinkgreve, M.; Paredes, J.; Denn, M.M.; Bonn, D. On different ways of measuring “the” yield stress. J. Non-Newton. Fluid Mech. 2016, 238, 233–241. [Google Scholar] [CrossRef]
- Chauhan, G.; Verma, A.; Das, A.; Ojha, K. Rheological studies and optimization of Herschel–Bulkley flow parameters of viscous karaya polymer suspensions using GA and PSO algorithms. Rheol. Acta 2018, 57, 267–285. [Google Scholar] [CrossRef]
- Steffe, J.F. Rheological Methods in Food Process Engineering; Freeman Press; Michigan State University: East Lansing, MI, USA, 1996. [Google Scholar]
- Vlachopoulos, J.; Polychronopoulos, N.D. Understanding Rheology and Technology of Polymer Extrusion. Chemical Engineering, Publications, Ed.; Polydynamics Inc.: Dundas, ON, Canada, 2019. [Google Scholar]
- Rueb, C.; Zukoski, C. Viscoelastic properties of colloidal gels. J. Rheol. 1997, 41, 197–218. [Google Scholar] [CrossRef]
- Smay, J.E.; Gratson, G.M.; Shepherd, R.F.; Cesarano, J., III; Lewis, J.A. Directed colloidal assembly of 3D periodic structures. Adv. Mater. 2002, 14, 1279–1283. [Google Scholar] [CrossRef]
- Wereley, N.; Chaudhuri, A.; Yoo, J.-H.; John, S.; Kotha, S.; Suggs, A.; Radhakrishnan, R.; Love, B.; Sudarshan, T. Bidisperse magnetorheological fluids using Fe particles at nanometer and micron scale. J. Intell. Mater. Syst. Struct. 2006, 17, 393–401. [Google Scholar] [CrossRef]
- Rouyer, F.; Cohen-Addad, S.; Höhler, R. Is the yield stress of aqueous foam a well-defined quantity? Colloids Surf. A Phys. Eng. Asp. 2005, 263, 111–116. [Google Scholar] [CrossRef]
- De Graef, V.; Depypere, F.; Minnaert, M.; Dewettinck, K. Chocolate yield stress as measured by oscillatory rheology. Food Res. Int. 2011, 44, 2660–2665. [Google Scholar] [CrossRef]
- Mewis, J.; Wagner, N.J. Thixotropy. Adv. Colloid Interface Sci. 2009, 147, 214–227. [Google Scholar] [CrossRef] [PubMed]
- Del-Mazo-Barbara, L.; Ginebra, M.-P. Rheological characterisation of ceramic inks for 3D direct ink writing: A review. J. Eur. Ceram. Soc. 2021, 41, 18–33. [Google Scholar] [CrossRef]
- Solís Pinargote, N.W.; Smirnov, A.; Peretyagin, N.; Seleznev, A.; Peretyagin, P. Direct Ink Writing Technology (3D Printing) of Graphene-Based Ceramic Nanocomposites: A Review. Nanomater. 2020, 10, 1300. [Google Scholar] [CrossRef] [PubMed]
- Gao, T.; Zhou, Z.; Yu, J.; Zhao, J.; Wang, G.; Cao, D.; Ding, B.; Li, Y. 3D printing of tunable energy storage devices with both high areal and volumetric energy densities. Adv. Energy Mater. 2019, 9, 1802578. [Google Scholar] [CrossRef]
- Ao, S.; Guo, Z.; Song, Y.; Fang, D.; Bao, Y. Clog-Free, Low-Cost, and Uniform Electrode Inks for 3D Printed Lithium-Ion Batteries. ACS Appl. Energy Mater. 2022, 5, 6970–6979. [Google Scholar] [CrossRef]
- Yuk, H.; Lu, B.; Lin, S.; Qu, K.; Xu, J.; Luo, J.; Zhao, X. 3D printing of conducting polymers. Nat. Commun. 2020, 11, 1604. [Google Scholar] [CrossRef] [PubMed]
- Tran, T.S.; Balu, R.; Mata, J.; Dutta, N.K.; Choudhury, N.R. 3D printed graphene aerogels using conductive nanofibrillar network formulation. Nano Trends 2023, 2, 100011. [Google Scholar] [CrossRef]
- Cipollone, D.; Yang, H.; Yang, F.; Bright, J.; Liu, B.; Winch, N.; Wu, N.; Sierros, K.A. 3D printing of an anode scaffold for lithium batteries guided by mixture design-based sequential learning. J. Mater. Process. Technol. 2021, 295, 117159. [Google Scholar] [CrossRef]
- Orangi, J.; Hamade, F.; Davis, V.A.; Beidaghi, M. 3D printing of additive-free 2D Ti3C2Tx (MXene) ink for fabrication of micro-supercapacitors with ultra-high energy densities. ACS Nano 2019, 14, 640–650. [Google Scholar] [CrossRef] [PubMed]
- Yun, X.; Lu, B.; Xiong, Z.; Jia, B.; Tang, B.; Mao, H.; Zhang, T.; Wang, X. Direct 3D printing of a graphene oxide hydrogel for fabrication of a high areal specific capacitance microsupercapacitor. RSC Adv. 2019, 9, 29384–29395. [Google Scholar] [CrossRef]
- Seo, H.; Iwai, H.; Kishimoto, M.; Ding, C.; Saito, M.; Yoshida, H. Microextrusion printing for increasing electrode–electrolyte interface in anode-supported solid oxide fuel cells. J. Power Sources 2020, 450, 227682. [Google Scholar] [CrossRef]
- Ghodhbane, M.; Beneventi, D.; Zebda, A.; Dubois, L.; Alcaraz, J.-P.; Boucher, F.; Boutonnat, J.; Menassol, G.; Chaussy, D.; Belgacem, N. 3D printed cathodes for implantable abiotic biofuel cells. J. Power Sources 2023, 580, 233356. [Google Scholar] [CrossRef]
- Tagliaferri, S.; Nagaraju, G.; Panagiotopoulos, A.; Och, M.; Cheng, G.; Iacoviello, F.; Mattevi, C. Aqueous inks of pristine graphene for 3D printed microsupercapacitors with high capacitance. ACS Nano 2021, 15, 15342–15353. [Google Scholar] [CrossRef]
- Shi, G.; Zhu, Y.; Batmunkh, M.; Ingram, M.; Huang, Y.; Chen, Z.; Wei, Y.; Zhong, L.; Peng, X.; Zhong, Y.L. Cytomembrane-inspired MXene ink with amphiphilic surfactant for 3D printed microsupercapacitors. ACS Nano 2022, 16, 14723–14736. [Google Scholar] [CrossRef]
- Gao, C.; Cui, X.; Wang, C.; Wang, M.; Wu, S.; Quan, Y.; Wang, P.; Zhao, D.; Li, S. 3D-printed hierarchical porous and multidimensional conductive network based on conducting polymer/graphene oxide. J. Mater. 2023, 10, 234–244. [Google Scholar] [CrossRef]
- Kong, D.; Wang, Y.; Huang, S.; Zhang, B.; Lim, Y.V.; Sim, G.J.; Valdivia y Alvarado, P.; Ge, Q.; Yang, H.Y. 3D printed compressible quasi-solid-state nickel–iron battery. ACS Nano 2020, 14, 9675–9686. [Google Scholar] [CrossRef]
- Yang, W.; Yang, J.; Byun, J.J.; Moissinac, F.P.; Xu, J.; Haigh, S.J.; Domingos, M.; Bissett, M.A.; Dryfe, R.A.; Barg, S. 3D printing of freestanding MXene architectures for current-collector-free supercapacitors. Adv. Mater. 2019, 31, 1902725. [Google Scholar] [CrossRef] [PubMed]
- Zhou, G.; Li, M.C.; Liu, C.; Wu, Q.; Mei, C. 3D printed Ti3C2Tx MXene/cellulose nanofiber architectures for solid-state supercapacitors: Ink rheology, 3D printability, and electrochemical performance. Adv. Funct. Mater. 2022, 32, 2109593. [Google Scholar] [CrossRef]
- Li, Q.; Dong, Q.; Wang, J.; Xue, Z.; Li, J.; Yu, M.; Zhang, T.; Wan, Y.; Sun, H. Direct ink writing (DIW) of graphene aerogel composite electrode for vanadium redox flow battery. J. Power Sources 2022, 542, 231810. [Google Scholar] [CrossRef]
- Zong, W.; Guo, H.; Ouyang, Y.; Mo, L.; Zhou, C.; Chao, G.; Hofkens, J.; Xu, Y.; Wang, W.; Miao, Y.E. Topochemistry-driven synthesis of transition-metal selenides with weakened van der Waals force to enable 3D-printed Na-ion hybrid capacitors. Adv. Funct. Mater. 2022, 32, 2110016. [Google Scholar] [CrossRef]
- Yang, Z.; Yang, X.; Yang, T.; Cao, Y.; Zhang, C.; Zhang, Y.; Li, P.; Yang, J.; Ma, Y.; Li, Q. 3D printing of carbon tile-modulated well-interconnected hierarchically porous pseudocapacitive electrode. Energy Storage Mater. 2023, 54, 51–59. [Google Scholar] [CrossRef]
- Hatzikiriakos, S.G.; Mitsoulis, E. Slip effects in tapered dies. Polym. Eng. Sci. 2009, 49, 1960–1969. [Google Scholar] [CrossRef]
- Fusi, L.; Housiadas, K.D.; Georgiou, G.C. Flow of a Bingham fluid in a pipe of variable radius. J. Non-Newton. Fluid Mech. 2020, 285, 104393. [Google Scholar] [CrossRef]
- Taylor-West, J.J.; Hogg, A.J. The converging flow of viscoplastic fluid in a wedge or cone. J. Fluid Mech. 2021, 915, A69. [Google Scholar] [CrossRef]
- Polychronopoulos, N.D.; Sarris, I.E.; Benos, L.; Vlachopoulos, J. Pressure drop in converging flows in three-dimensional printing of concrete. Phys. Fluids 2023, 35, 093104. [Google Scholar] [CrossRef]
- Mollah, M.T.; Comminal, R.; Serdeczny, M.P.; Šeta, B.; Spangenberg, J. Computational analysis of yield stress buildup and stability of deposited layers in material extrusion additive manufacturing. Addit. Manuf. 2023, 71, 103605. [Google Scholar]
- Comminal, R.; da Silva, W.R.L.; Andersen, T.J.; Stang, H.; Spangenberg, J. Modelling of 3D concrete printing based on computational fluid dynamics. Cem. Concr. Res. 2020, 138, 106256. [Google Scholar] [CrossRef]
- Polychronopoulos, N.D.; Vlachopoulos, J. The role of heating and cooling in viscous sintering of pairs of spheres and pairs of cylinders. Rapid Prototyp. J. 2020, 26, 719–726. [Google Scholar] [CrossRef]
- Polychronopoulos, N.D.; Vlachopoulos, J. Mathematical modeling of sintering of two cylinders in fused filament fabrication. In Proceedings of the PPS2019 Europe-Africa Regional Conference of the Polymer Processing Society, Pretoria, South Africa, 18–22 November 2019. [Google Scholar]
- Polychronopoulos, N.D.; Sarris, I.E.; Vlachopoulos, J. A viscous sintering model for pore shrinkage in packings of cylinders. Rheol. Acta 2021, 60, 397–408. [Google Scholar] [CrossRef]
- Polychronopoulos, N.D.; Benos, L.T.; Stergiou, C.I.; Sarris, I.E.; Vlachopoulos, J. Viscous coalescence of unequally sized spherical and cylindrical doublets. Soft Matter 2022, 18, 4017–4029. [Google Scholar] [CrossRef]
- Polychronopoulos, N.D.; Benos, L.; Vlachopoulos, J. Mathematical modelling of coalescence of viscous particles: An overview. Can. J. Chem. Eng. 2023, 101, 5231. [Google Scholar] [CrossRef]
- Singh, M.; Kaiser, J.; Hahn, H. Effect of Porosity on the Thick Electrodes for High Energy Density Lithium Ion Batteries for Stationary Applications. Batteries 2016, 2, 35. [Google Scholar] [CrossRef]
- Banti, A.; Charalampakis, M.; Pardalis, P.; Prochaska, C.; Sotiropoulos, S.; Binas, V. Electrochemical Studies of Inkjet Printed Semi-Transparent NiCo2O4/ITO Supercapacitor Electrodes. Catalysts 2023, 13, 1110. [Google Scholar] [CrossRef]
- Pandey, S.; Pathak, M.; Karakoti, M.; Tatrari, G.; Shantibhusan, B.; Dhapola, P.S.; Dhali, S.; Srivastava, A.; Rana, S.; Sahoo, N.G. Binder-Free Supercapacitors Based on Thin Films of MWCNT/GO Nanohybrids: Computational and Experimental Analysis. Catalysts 2023, 13, 235. [Google Scholar] [CrossRef]
- Rahimi, M. Lithium-Ion Batteries: Latest Advances and Prospects. Batteries 2021, 7, 8. [Google Scholar] [CrossRef]
- Kim, M.-C.; Song, J.H.; Lee, Y.-W.; Sohn, J.I. Redox-Mediated Polymer Catalyst for Lithium-Air Batteries with High Round-Trip Efficiency. Catalysts 2020, 10, 1479. [Google Scholar] [CrossRef]
- Mok, J.; Choi, D.; Bhang, S.H. Environmentally Friendly Route for Fabricating Conductive Agent for Lithium-Ion Batteries: Carbon Nanoparticles Derived from Polyethylene. Catalysts 2021, 11, 424. [Google Scholar] [CrossRef]
- Fu, W.; Wang, Y.; Kong, K.; Kim, D.; Wang, F.; Yushin, G. Materials and Processing of Lithium-Ion Battery Cathodes. Nanoenergy Adv. 2023, 3, 138–154. [Google Scholar] [CrossRef]
- Martí-Florences, M.; Cecilia, A.; Costa-Castelló, R. Modelling and Estimation in Lithium-Ion Batteries: A Literature Review. Energies 2023, 16, 6846. [Google Scholar] [CrossRef]
- Machín, A.; Márquez, F. The Next Frontier in Energy Storage: A Game-Changing Guide to Advances in Solid-State Battery Cathodes. Batteries 2024, 10, 13. [Google Scholar] [CrossRef]
- Zhao, Y.; Cheng, W.; Wu, J.; Hu, Z.; Liu, F.; Wang, L.; Peng, H. Recent advances in charge mechanism of noble metal-based cathodes for Li-O2 batteries. Chin. Chem. Lett. 2023, 34, 107413. [Google Scholar] [CrossRef]
- Kumar, Y.; Mooste, M.; Tammeveski, K. Recent progress of transition metal-based bifunctional electrocatalysts for rechargeable zinc-air battery application. Curr. Opin. Electrochem. 2023, 38, 101229. [Google Scholar] [CrossRef]
- Jian, C.; Chen, X.-Y.; Liu, Y.; Qiao, Y.; Guan, S.; Li, L.; Chou, S. Recent Progress of Transition Metal-Based Catalysts as Cathodes in O2/H2O-Involved and Pure Li-CO2 batteries. Energy Environ. Sci. 2023, 16, 792–829. [Google Scholar]
- Sico, G.; Montanino, M.; Loffredo, F.; Borriello, C.; Miscioscia, R. Gravure Printing for PVDF Thin-Film Pyroelectric Device Manufacture. Coatings 2022, 12, 1020. [Google Scholar] [CrossRef]
- Rasul, M.G.; Cheng, M.; Jiang, Y.; Pan, Y.; Shahbazian-Yassar, R. Direct ink printing of PVdF composite polymer electrolytes with aligned BN Nanosheets for lithium-metal batteries. ACS Nanosci. Au 2022, 2, 297–306. [Google Scholar] [CrossRef] [PubMed]
- Cheng, M.; Jiang, Y.; Yao, W.; Yuan, Y.; Deivanayagam, R.; Foroozan, T.; Huang, Z.; Song, B.; Rojaee, R.; Shokuhfar, T. Elevated-temperature 3D printing of hybrid solid-state electrolyte for Li-ion batteries. Adv. Mater. 2018, 30, 1800615. [Google Scholar] [CrossRef]
- Cheng, M.; Ramasubramanian, A.; Rasul, M.G.; Jiang, Y.; Yuan, Y.; Foroozan, T.; Deivanayagam, R.; Tamadoni Saray, M.; Rojaee, R.; Song, B. Direct ink writing of polymer composite electrolytes with enhanced thermal conductivities. Adv. Funct. Mater. 2021, 31, 2006683. [Google Scholar] [CrossRef]
- Pinto, R.S.; Serra, J.P.; Barbosa, J.C.; Gonçalves, R.; Silva, M.M.; Lanceros-Méndez, S.; Costa, C.M. Direct-Ink-Writing of Electroactive Polymers for Sensing and Energy Storage Applications. Macromol. Mater. Eng. 2021, 306, 2100372. [Google Scholar] [CrossRef]
- Qiu, M.; Wang, D.; Tawiah, B.; Jia, H.; Fei, B.; Fu, S. Constructing PEDOT: PSS/Graphene sheet nanofluidic channels to achieve dendrite-free Zn anode. Compos. B Eng. 2021, 215, 108798. [Google Scholar] [CrossRef]
- Zhang, S.; Chen, Y.; Liu, H.; Wang, Z.; Ling, H.; Wang, C.; Ni, J.; Çelebi-Saltik, B.; Wang, X.; Meng, X. Room-temperature-formed PEDOT: PSS hydrogels enable injectable, soft, and healable organic bioelectronics. Adv. Mater. 2020, 32, 1904752. [Google Scholar] [CrossRef] [PubMed]
- Şahin, M.E.; Blaabjerg, F.; Sangwongwanich, A. A Comprehensive Review on Supercapacitor Applications and Developments. Energies 2022, 15, 674. [Google Scholar] [CrossRef]
- Ma, N.; Yang, D.; Riaz, S.; Wang, L.; Wang, K. Aging Mechanism and Models of Supercapacitors: A Review. Technologies 2023, 11, 38. [Google Scholar] [CrossRef]
- Forouzandeh, P.; Kumaravel, V.; Pillai, S.C. Electrode Materials for Supercapacitors: A Review of Recent Advances. Catalysts 2020, 10, 969. [Google Scholar] [CrossRef]
- Kannan, K.; Sadasivuni, K.K.; Abdullah, A.M.; Kumar, B. Current Trends in MXene-Based Nanomaterials for Energy Storage and Conversion System: A Mini Review. Catalysts 2020, 10, 495. [Google Scholar] [CrossRef]
- Najam, T.; Shah, S.S.A.; Peng, L.; Javed, M.S.; Imran, M.; Zhao, M.-Q.; Tsiakaras, P. Synthesis and nano-engineering of MXenes for energy conversion and storage applications: Recent advances and perspectives. Coord. Chem. Rev. 2022, 454, 214339. [Google Scholar] [CrossRef]
- Liu, D.; Barbar, A.; Najam, T.; Javed, M.S.; Shen, J.; Tsiakaras, P.; Cai, X. Single noble metal atoms doped 2D materials for catalysis. Appl. Catal. B Environ. 2021, 297, 120389. [Google Scholar] [CrossRef]
- Pandya, K.S.; Shindalkar, S.S.; Kandasubramanian, B. Breakthrough to the pragmatic evolution of direct ink writing: Progression, challenges, and future. Prog. Add. Manuf. 2023, 8, 1303–1328. [Google Scholar] [CrossRef]
- Li, K.; Liang, M.; Wang, H.; Wang, X.; Huang, Y.; Coelho, J.; Pinilla, S.; Zhang, Y.; Qi, F.; Nicolosi, V. 3D MXene architectures for efficient energy storage and conversion. Adv. Funct. Mater. 2020, 30, 2000842. [Google Scholar] [CrossRef]
- Sreenilayam, S.P.; Ahad, I.U.; Nicolosi, V.; Brabazon, D. MXene materials based printed flexible devices for healthcare, biomedical and energy storage applications. Mater. Today 2021, 43, 99–131. [Google Scholar] [CrossRef]
- Ovhal, M.M.; Kumar, N.; Kang, J.-W. 3D direct ink writing fabrication of high-performance all-solid-state micro-supercapacitors. Mol. Cryst. Liq. Cryst. 2020, 705, 105–111. [Google Scholar] [CrossRef]
- Zhang, C.; McKeon, L.; Kremer, M.P.; Park, S.-H.; Ronan, O.; Seral-Ascaso, A.; Barwich, S.; Coileáin, C.Ó.; McEvoy, N.; Nerl, H.C.; et al. Additive-free MXene inks and direct printing of micro-supercapacitors. Nat. Commun. 2019, 10, 1795. [Google Scholar] [CrossRef]
- Prioriello, A.; Duranti, L.; Luisetto, I.; Sanna, F.; Larosa, C.; Grilli, M.L.; Di Bartolomeo, E. Structured Catalyst for Indirect Internal Reforming (IIR) of Biogas in Solid Oxide Fuel Cell (SOFC). Catalysts 2023, 13, 1129. [Google Scholar] [CrossRef]
- Bianchi, F.R.; Bosio, B. Operating Principles, Performance and Technology Readiness Level of Reversible Solid Oxide Cells. Sustainability 2021, 13, 4777. [Google Scholar] [CrossRef]
- Choolaei, M.; Vostakola, M.F.; Horri, B.A. Recent Advances and Challenges in Thin-Film Fabrication Techniques for Low-Temperature Solid Oxide Fuel Cells. Crystals 2023, 13, 1008. [Google Scholar] [CrossRef]
- Zhang, J.; Pang, X.; Yang, N. Materials and Applications of 3D Print for Solid Oxide Fuel Cells. Ιn 3D Printing: Fundamentals to Emerging Applications; CRC Press: Boca Raton, FL, USA, 2023; pp. 115–126. [Google Scholar]
- Yuan, J.; Chen, Y.; Sun, J.; Wang, Y.; Lin, M.; Wang, M.; Wang, H.; Bai, J. 3D Printing of Robust 8YSZ Electrolytes with a Hyperfine Structure for Solid Oxide Fuel Cells. ACS Appl. Energy Mater. 2023, 6, 4133–4143. [Google Scholar] [CrossRef]
- Ye, H.; Ma, Y.; Wang, C.; Liu, J.; Liu, Y.; Liu, Y.; Xu, X.; Chen, Z.; Zhao, X.; Tao, T. A 3D printed redox-stable interconnector for bamboo-like tubular solid oxide fuel cells. Int. J. Hydrog. Energy 2023, 48, 34979–34986. [Google Scholar] [CrossRef]
- Demin, A.; Gorbova, E.; Brouzgou, A.; Volkov, A.; Tsiakaras, P. Sensors based on solid oxide electrolytes. Ιn Solid Oxide-Based Electrochemical Devices; Lo Faro, M., Ed.; Academic Press: Cambridge, MA, USA, 2020; pp. 167–215. [Google Scholar] [CrossRef]
- Pikalova, E.; Bogdanovich, N.; Kolchugin, A.; Brouzgou, A.; Bronin, D.; Plaksin, S.V.; Khasanov, A.; Tsiakaras, P. Effect of Nature of the Ceramic Component of the Composite Electrodes Based on La1.7Ca(Sr)0.3NiO4+δ on Their Electrochemical Performance. ECS Trans. 2015, 68, 809. [Google Scholar] [CrossRef]
- Yang, L.; Zeng, X.; Ditta, A.; Feng, B.; Su, L.; Zhang, Y. Preliminary 3D printing of large inclined-shaped alumina ceramic parts by direct ink writing. J. Adv. Ceram. 2020, 9, 312–319. [Google Scholar] [CrossRef]
- Liu, Q.; Zhai, W. Hierarchical Porous Ceramics with Distinctive Microstructures by Emulsion-Based Direct Ink Writing. ACS Appl. Mater. Interfaces 2022, 14, 32196–32205. [Google Scholar] [CrossRef]
- Fan, J.; Guan, R.; Ou, K.; Fu, Q.; Liu, Q.; Li, D.-S.; Zheng, H.; Sun, Y. Direct Ink Writing 3D Printing of Graphene/Al2O3 Composite Ceramics with Gradient Mechanics. Adv. Eng. Mater. 2023, 25, 2201414. [Google Scholar] [CrossRef]
- Jin, H.; Jia, D.; Yang, Z.; Zhou, Y. Fabrication and properties of embedded dense coating on direct ink writing Si2N2O porous ceramics. Surf. Coat. Technol. 2020, 394, 125801. [Google Scholar] [CrossRef]
- Amini Horri, B. Special Issue “Emerging Materials and Fabrication Methods for Solid Oxide Fuel Cells (SOFCs)”. Energies 2022, 15, 3182. [Google Scholar] [CrossRef]
- Ye, Z.; Chu, C.; Zhang, D.; Ma, S.; Guo, J.; Cheng, Y.; Xu, G.; Li, Z.; Sun, A. Study on 3D-Direct Ink Writing based on adding silica submicron-particles to improve the rheological properties of alumina ceramic ink. Mater. Today Commun. 2021, 28, 102534. [Google Scholar] [CrossRef]
- Xu, X.; Zhang, J.; Jiang, P.; Liu, D.; Jia, X.; Wang, X.; Zhou, F. Direct ink writing of aluminum-phosphate-bonded Al2O3 ceramic with ultra-low dimensional shrinkage. Ceram. Int. 2022, 48, 864–871. [Google Scholar] [CrossRef]
- Shao, H.; Yang, X.; He, Y.; Fu, J.; Liu, L.; Ma, L.; Zhang, L.; Yang, G.; Gao, C.; Gou, Z. Bioactive glass-reinforced bioceramic ink writing scaffolds: Sintering, microstructure and mechanical behavior. Biofabrication 2015, 7, 035010. [Google Scholar] [CrossRef] [PubMed]
- Rosental, T.; Magdassi, S. A new approach to 3D printing dense ceramics by ceramic precursor binders. Adv. Eng. Mater. 2019, 21, 1900604. [Google Scholar] [CrossRef]
- Rath, M.K.; Kossenko, A.; Danchuk, V.; Shatalov, M.; Rahumi, O.; Borodianskiy, K.; Zinigrad, M.; Sahoo, T.; Mishra, S. Development of highly efficient and durable large-area solid oxide fuel cell by a direct-ink-writing three-dimensional printer. J. Power Sources 2022, 552, 232225. [Google Scholar] [CrossRef]
- Seo, H.; Kishimoto, M.; Ding, C.; Iwai, H.; Saito, M.; Yoshida, H. Improvement in the Electrochemical Performance of Anode-supported Solid Oxide Fuel Cells by Meso- and Nanoscale Structural Modifications. Fuel Cells 2020, 20, 570–579. [Google Scholar] [CrossRef]
- Yan, J.; Huang, S.; Von Lim, Y.; Xu, T.; Kong, D.; Li, X.; Yang, H.Y.; Wang, Y. Direct-ink writing 3D printed energy storage devices: From material selectivity, design and optimization strategies to diverse applications. Mater. Today 2022, 54, 110–152. [Google Scholar] [CrossRef]
- Brouzgou, A. Graphene-based Nanomaterials as Organocatalyst. Ιn Graphene-Based Nanomaterial Catalysis; Singh, M., Rai, V.K., Rai, A., Eds.; Bentham Science Publisher: Sharjah, United Arab Emirates, 2022; p. 24. [Google Scholar]
- Pierin, G.; Grotta, C.; Colombo, P.; Mattevi, C. Direct Ink Writing of micrometric SiOC ceramic structures using a preceramic polymer. J. Eur. Ceram. Soc. 2016, 36, 1589–1594. [Google Scholar] [CrossRef]
- Shi, G.; Lowe, S.E.; Teo, A.J.; Dinh, T.K.; Tan, S.H.; Qin, J.; Zhang, Y.; Zhong, Y.L.; Zhao, H. A versatile PDMS submicrobead/graphene oxide nanocomposite ink for the direct ink writing of wearable micron-scale tactile sensors. Appl. Mater. Today 2019, 16, 482–492. [Google Scholar] [CrossRef]
- Tandel, R.; Gozen, B.A. Direct-Ink-writing of liquid metal-graphene-based polymer composites: Composition-processing-property relationships. J. Mater. Process. Technol. 2022, 302, 117470. [Google Scholar] [CrossRef]
- Zhao, Y.; Liu, F.; Zhao, Z.; Bai, P.; Ma, Y.; Alhadhrami, A.; Mersal, G.A.; Lin, Z.; Ibrahim, M.M.; El-Bahy, Z.M. Direct ink printing reduced graphene oxide/KCu7S4 electrodes for high-performance supercapacitors. Adv. Compos. Hybrid Mater. 2022, 5, 1516–1526. [Google Scholar] [CrossRef]
- Raj, R.; Dixit, A.R. Direct ink writing of carbon-doped polymeric composite ink: A review on its requirements and applications. 3D Print Addit. Manuf. 2023, 10, 828–854. [Google Scholar] [CrossRef] [PubMed]
- Alam, A.; Saeed, G.; Kim, K.-W.; Kim, J.K.; Park, H.S.; Lim, S. Direct ink writing (DIW) printed high-performance asymmetric supercapacitor based on 0D@2D silver-nanoparticles@MXene as anode and 0D@2DMnO2-nanoparticles@ MXene as cathode materials. J. Energy Storage 2023, 72, 108227. [Google Scholar] [CrossRef]
- Saadi, M.; Maguire, A.; Pottackal, N.T.; Thakur, M.S.H.; Ikram, M.M.; Hart, A.J.; Ajayan, P.M.; Rahman, M.M. Direct ink writing: A 3D printing technology for diverse materials. Adv. Mater. 2022, 34, 2108855. [Google Scholar] [CrossRef]
- Ravichandran, D.; Xu, W.; Kakarla, M.; Jambhulkar, S.; Zhu, Y.; Song, K. Multiphase direct ink writing (MDIW) for multilayered polymer/nanoparticle composites. Addit. Manuf. 2021, 47, 102322. [Google Scholar] [CrossRef]
- Ding, H.; Barg, S.; Derby, B. Direct 3D printing of graphene using capillary suspensions. Nanoscale 2020, 12, 11440–11447. [Google Scholar] [CrossRef] [PubMed]
- Li, X.; Ling, S.; Cao, W.; Zeng, L.; Yuan, R.; Zhang, C. Surface-Adaptive Capillarity Enabling Densified 3D Printing for Ultra-High Areal and Volumetric Energy Density Supercapacitors. Angew. Chem. 2022, 134, e202202663. [Google Scholar] [CrossRef]
Disclaimer/Publisher’s Note: The statements, opinions and data contained in all publications are solely those of the individual author(s) and contributor(s) and not of MDPI and/or the editor(s). MDPI and/or the editor(s) disclaim responsibility for any injury to people or property resulting from any ideas, methods, instructions or products referred to in the content. |
© 2024 by the authors. Licensee MDPI, Basel, Switzerland. This article is an open access article distributed under the terms and conditions of the Creative Commons Attribution (CC BY) license (https://creativecommons.org/licenses/by/4.0/).






