A Novel 2-Methylimidazole Promoted Oxyacyloxylation of α-Hydroxy Ketones and Anhydrides: An Easy Access to α-Acyloxy Ketones
Abstract
1. Introduction
2. Results
2.1. Optimization of Reaction Conditions
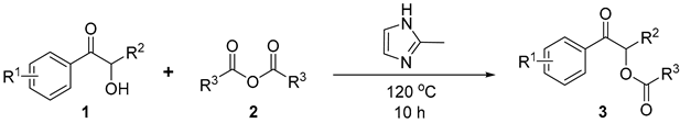
2.2. Scope of Substrates
2.3. Structural Characterization Analysis
2.4. Mechanism Investigation
2.5. Practicability of Gram-Scale Reaction
3. Materials and Methods
3.1. General Information
3.2. Experimental Procedure for α-Hydroxy Ketones 1
3.3. Experimental Procedure for Compounds 3a–3t
3.4. Characterization Data for All Products 3a–3t
4. Conclusions
Supplementary Materials
Author Contributions
Funding
Data Availability Statement
Conflicts of Interest
References
- Liu, J.C.T.; De La Peña, R.; Tocol, C.; Sattely, E.S. Reconstitution of early paclitaxel biosynthetic network. Nat. Commun. 2024, 15, 1419. [Google Scholar] [CrossRef] [PubMed]
- Li, C.K.; Yin, X.X.; Wang, S.; Sui, S.Y.; Liu, J.M.; Sun, X.C.; Di, J.M.; Chen, R.D.; Chen, D.W.; Han, Y.T.; et al. A Cytochrome P450 enzyme catalyses oxetane ring formation in paclitaxel biosynthesis. Angew. Chem. Int. Ed. 2024, 63, e202407070. [Google Scholar] [CrossRef] [PubMed]
- Wu, Y.; Ma, J.N.; Shi, J.H.; Cao, S.T.; Luo, J.M.; Zheng, T.T.; Wang, M. iTRAQ-based quantitative proteomic analysis of arthrobacter simplex in response to cortisone acetate and its mutants with improved A1-dehydrogenation efficiency. J. Agric. Food Chem. 2023, 71, 6376–6388. [Google Scholar] [CrossRef] [PubMed]
- Yang, C.S.; Wang, Y.; Su, Z.; Xiong, L.Y.; Wang, P.P.; Lei, W.; Yan, X.; Ma, D.W.; Zhao, G.P.; Zhou, Z.H. Biosynthesis of the highly oxygenated tetracyclic core skeleton of Taxol. Nat. Commun. 2024, 15, 2339. [Google Scholar] [CrossRef]
- Keskar, K.; Zepeda-Velazquez, C.; Dokuburra, C.B.; Jenkins, H.A.; McNulty, J. The synthesis of densely functionalised α-acyloxy enaminals and enaminones via a novel homogeneous silver(I) catalysed rearrangement. Chem. Commun. 2019, 55, 10868–10871. [Google Scholar] [CrossRef]
- Kong, J.; Lacroix, C.; Bournaud, C.; Yamashita, Y.; Kobayashi, S.; Vo-Thanh, G. Enantioselective acyl-transfer/protonation reactions with designed chiral thiourea-iminophosphorane catalysts. Adv. Synth. Catal. 2024, 366, 1101–1106. [Google Scholar] [CrossRef]
- Kwon, S.; Meng, F.F.; Tamam, H.; Gadalla, H.H.; Wang, J.P.; Dong, B.Y.; Jannasch, A.S.H.; Ratliff, T.L.; Yeo, Y. Systemic delivery of paclitaxel by Find-Me nanoparticles activates antitumor immunity and eliminates tumors. ACS Nano 2024, 18, 3681–3698. [Google Scholar] [CrossRef]
- Sadhukhan, S.; Baire, B. An unprecedented (semi) Favorskii rearrangement. Evidence for the 2-(acyloxy)cyclopropanones. Org. Lett. 2018, 20, 1748–1751. [Google Scholar] [CrossRef]
- Prasad, P.K.; Reddi, R.N.; Arumugam, S. Recent methods for the synthesis of α-acyloxy ketones. Org. Biomol. Chem. 2018, 16, 9334–9348. [Google Scholar] [CrossRef]
- Zhang, J.J.; Yang, J.D.; Cheng, J.P. Diazaphosphinyl radical-catalyzed deoxygenation of α-carboxy ketones: A new protocol for chemo-selective C-O bond scission via mechanism regulation. Chem. Sci. 2020, 11, 8476–8481. [Google Scholar] [CrossRef]
- Jafarpour, F.; Azizzade, M.; Golpazir-Sorkheh, Y.; Navid, H.; Rajai-Daryasarei, S. Divergent synthesis of α-aroyloxy ketones and indenones: A controlled domino radical reaction for di- and trifunctionalization of alkynes. J. Org. Chem. 2020, 85, 8287–8294. [Google Scholar] [CrossRef] [PubMed]
- Wei, L.; Guo, Y.H.; Li, Z.Y.; Jiang, H.F.; Qi, C.R. Silver-catalyzed coupling of ethynylbenziodoxolones with CO2 and amines to afford O-β-oxoalkyl carbamates. Org. Lett. 2024, 26, 4600–4605. [Google Scholar] [CrossRef] [PubMed]
- Tanyeli, C.; Iyigün, C. Manganese(III) acetate based oxidation of substituted α′-position on cyclic α,β-unsaturated ketones. Tetrahedron 2003, 59, 7135–7139. [Google Scholar] [CrossRef]
- White, J.D.; Jeffrey, S.C. Synthesis of the northern sector (C8-C19) of rapamycin via Chan rearrangement and oxidation of an α-acyloxyacetate. Tetrahedron 2009, 65, 6642–6647. [Google Scholar] [CrossRef] [PubMed][Green Version]
- Onodera, K.; Takashima, R.; Suzuki, Y. Selective synthesis of acylated cross-benzoins from acylals and aldehydes via N-heterocyclic carbene catalysis. Org. Lett. 2021, 23, 4197–4202. [Google Scholar] [CrossRef]
- Sakkani, N.; Jha, D.K.; Whatley, E.; Zhao, J.C.G. Visible light-assisted organocatalytic α-acyloxylation of ketones using carboxylic acids and N-halosuccinimides. Chem. Commun. 2022, 58, 11308–11311. [Google Scholar] [CrossRef]
- Kumar, N.; Pandey, S.K. Metal-free synthesis of α-acyloxy ketones from carboxylic acids and sulfoxonium ylides. Org. Biomol. Chem. 2023, 21, 8819–8822. [Google Scholar] [CrossRef]
- Wang, X.J.; Li, G.S.; Yang, Y.A.; Jiang, J.S.; Feng, Z.M.; Zhang, P.C. 1,2-Dibromoethane and KI mediated α-acyloxylation of ketones with carboxylic acids. Chin. Chem. Lett. 2020, 31, 711–714. [Google Scholar] [CrossRef]
- Wu, J.W.; Shi, H.W.; Liu, J.G.; Wang, R.Y.; Zhou, J.; Xu, X.L.; Xu, H.J. Electrochemical oxidative C(sp3)-H/O-H cross-coupling for the synthesis of α-acyloxyketones. Org. Chem. Front. 2023, 10, 2459–2464. [Google Scholar] [CrossRef]
- Gao, T.Y.; Yang, Y.W.; Hu, L.Z.; Luo, D.; Zhang, X.H.; Xiong, Y. Metal-free PhI(OAc)2-oxidized decarboxylation of propiolic acids towards synthesis of α-acetoxy ketones and insights into general decarboxylation with DFT calculations. Org. Biomol. Chem. 2023, 21, 1457–1462. [Google Scholar] [CrossRef]
- Chen, X.; Xin, Y.C.; Zhao, Z.W.; Hou, Y.J.; Wang, X.X.; Xia, W.J.; Li, Y.M. Decarboxylative oxyacyloxylation of propiolic acids: Construction of alkynyl-containing α-acyloxy ketones. J. Org. Chem. 2021, 86, 8216–8225. [Google Scholar] [CrossRef] [PubMed]
- Sun, Q.; Peng, Y.Z.; Wang, Y.J.; Bao, X.G. Construction of a-acyloxy ketones via photoredox-catalyzed O-H insertion of sulfoxonium ylides with carboxylic acids. Org. Lett. 2023, 25, 6613–6617. [Google Scholar] [CrossRef] [PubMed]
- Mondal, S.; Mondal, S.; Midya, S.P.; Das, S.; Mondal, S.; Ghosh, P. Merging photocatalytic C-O cross-coupling for α-oxycarbonyl-β-ketones: Esterification of carboxylic acids via a decarboxylative pathway. Org. Lett. 2023, 25, 184–189. [Google Scholar] [CrossRef] [PubMed]
- Zade, V.M.; Gangnale, L.D.; Athawale, P.R.; Reddy, D.S. Direct deoxygenation of α-hydroxy and α,β-dihydroxy ketones using a silyl lithium reagent. J. Org. Chem. 2023, 88, 14227–14235. [Google Scholar] [CrossRef] [PubMed]
- Casajus, H.; Lagarde, A.; Nauton, L.; Ocal, N.; Leremboure, M.; Fessner, W.D.; Duguet, N.; Charmantray, F.; Hecquet, L. Cleavage of aliphatic α-hydroxy ketones by evolved transketolase from geobacillus stearothermophilus. ACS Catal. 2022, 12, 3566–3576. [Google Scholar] [CrossRef]
- Chen, S.-H.; Jiang, K.; Liang, Y.-H.; He, J.-P.; Xu, B.-J.; Chen, Z.-H.; Wang, Z.-Y. Fine-tuning benzazole-based probe for the ultrasensitive detection of Hg2+ in water samples and seaweed samples. Food Chem. 2023, 428, 136800. [Google Scholar] [CrossRef]
- Cao, X.-Y.; Huang, Y.; Chen, S.-H.; Yu, S.-W.; Chen, Z.-J.; Li, Z.-H.; Zeng, Y.; Chen, N.; Cao, L.; Wang, Z.-Y. The first specific probe for pyrrolidine with multifunction by the interaction mechanism of atomic economic reaction. iScience 2024, 27, 110024. [Google Scholar] [CrossRef]
- Wu, H.-Q.; Yang, K.; Chen, X.-Y.; Arulkumar, M.; Wang, N.; Chen, S.-H.; Wang, Z.-Y. A 3,4-dihalo-2(5H)-furanone initiated ring-opening reaction of DABCO in the absence of a metal catalyst and additive and its application in a one-pot two-step reaction. Green Chem. 2019, 21, 3782–3788. [Google Scholar] [CrossRef]
- Wang, B.-W.; Jiang, K.; Li, J.-X.; Luo, S.-H.; Wang, Z.-Y.; Jiang, H.-F. 1,1-Diphenylvinylsulfide as functional AIEgen derived from the aggregation-caused-quenching molecule 1,1-diphenylvinylsulfide through simple thioetherification. Angew. Chem. Int. Ed. 2020, 59, 2338–2343. [Google Scholar] [CrossRef]
- Yu, S.-W.; Chen, Z.-J.; Chen, Z.-H.; Chen, S.-H.; Yang, K.; Xu, W.-J.; Wang, Z.-Y. Trace water in a BF3·OEt2 system: A facile access to sulfinyl alkenylsulfones from alkynes and sodium sulfinates. Org. Biomol. Chem. 2023, 21, 7776–7781. [Google Scholar] [CrossRef]
- Passia, M.T.; Demaerel, J.; Amer, M.M.; Drichel, A.; Zimmer, S.; Bolm, C. Acid-mediated imidazole-to-fluorine exchange for the synthesis of sulfonyl and sulfonimidoyl fluorides. Org. Lett. 2022, 24, 8802–8805. [Google Scholar] [CrossRef] [PubMed]
- Chen, Z.-H.; Yu, S.-W.; Xu, W.-J.; Li, M.-X.; Zeng, Y.; Deng, S.-W.; Lin, J.-Y.; Wang, Z.-Y. Synthesis of novel trisubstituted olefin-type probe molecules containing N-heterocycles and their application in detection of malononitrile. Organics 2024, 5, 46–58. [Google Scholar] [CrossRef]
- Nguyen, C.V.; Liao, Y.T.; Kang, T.C.; Chen, J.E.; Yoshikawa, T.; Nakasaka, Y.; Masuda, T.; Wu, K.C.W. A metal-free, high nitrogen-doped nanoporous graphitic carbon catalyst for an effective aerobic HMF-to-FDCA conversion. Green Chem. 2016, 18, 5957–5961. [Google Scholar] [CrossRef]
- Wu, C.P.; Sun, C.; Ren, K.X.; Yang, F.L.; Du, Y.X.; Gu, X.X.; Wang, Q.H.; Lai, C. 2-Methyl imidazole electrolyte additive enabling ultra-stable Zn anode. Chem. Eng. J. 2023, 452, 139465. [Google Scholar] [CrossRef]
- Dorel, R.; Boehm, P.; Schwinger, D.P.; Hartwig, J.F. Copper-mediated fluorination of aryl trisiloxanes with nucleophilic fluoride. Chem. Eur. J. 2020, 26, 1759–1762. [Google Scholar] [CrossRef]
- Spiller, T.E.; Donabauer, K.; Brooks, A.F.; Witek, J.A.; Bowden, G.D.; Scott, P.J.H.; Sanford, M.S. Room-temperature photochemical copper-mediated fluorination of aryl iodides. Org. Lett. 2024, 26, 6433–6437. [Google Scholar] [CrossRef]
- CCDC 2376760 (for 3q) Contains the Supplementary Crystallographic Data for This Paper. These Data Can Be Obtained Free of Charge from The Cambridge Crystallographic Data Centre. Available online: www.ccdc.cam.ac.uk/data_request/cif (accessed on 10 August 2024).
- Rauwerdink, A.; Kazlauskas, R.J. How the same core catalytic machinery catalyzes 17 different reactions: The serine-histidine-aspartate catalytic triad of α/β -hydrolase fold enzymes. ACS Catal. 2015, 5, 6153–6176. [Google Scholar] [CrossRef]
- Raum, H.N.; Modig, K.; Akke, M.; Weininger, U. Proton transfer kinetics in histidine side chains determined by pH-dependent multi-nuclear NMR relaxation. J. Am. Chem. Soc. 2024, 146, 22284–22294. [Google Scholar] [CrossRef]
- Nowrouzi, N.; Alizadeh, S.Z. In situ generated acylimidazolium acetate as an efficient catalyst and acylating agent for the acetylation of alcohols, phenols, and amines at ambient temperature. Chin. J. Catal. 2013, 34, 1787–1790. [Google Scholar] [CrossRef]
- Hajjami, M.; Ghorbani-Choghamarani, A.; Norouzi, M. An efficient and facile procedure for synthesis of acetates from alcohols catalyzed by poly(4-vinylpyridinium tribromide). Chin. J. Catal. 2012, 33, 1661–1664. [Google Scholar] [CrossRef]
- Peixoto, D.; Figueiredo, M.; Gawande, M.B.; Corvo, M.C.; Vanhoenacker, G.; Afonso, C.A.M.; Ferreira, L.M.; Branco, P.S. Developments in the reactivity of 2-methylimidazolium salts. J. Org. Chem. 2017, 82, 6232–6241. [Google Scholar] [CrossRef] [PubMed]
- Jammi, S.; Rout, L.; Saha, P.; Akkilagunta, V.K.; Sanyasi, S.; Punniyamurthy, T. Synthesis, structure and application of chiral copper(II) coordination polymers for asymmetric acylation. Inorg. Chem. 2008, 47, 5093–5098. [Google Scholar] [CrossRef] [PubMed]
- Mahdavi, H.; Ghaemy, M.; Zeraatpisheh, F. Iodine supported on 3-aminopropyl silica gel as efficient catalyst for acetylation of alcohols under solvent-free conditions. Chin. J. Chem. 2009, 27, 347–352. [Google Scholar] [CrossRef]
- Speckmeier, E.; Padié, C.; Zeitler, K. Visible light mediated reductive cleavage of C-O bonds accessing α-substituted aryl ketones. Org. Lett. 2015, 17, 4818–4821. [Google Scholar] [CrossRef]
- Chen, J.Z.; Zhang, Z.F.; Liu, D.L.; Zhang, W.B. Palladium-catalyzed chemo- and enantioselective C-O bond cleavage of α-acyloxy ketones by hydrogenolysis. Angew. Chem. Int. Ed. 2016, 55, 8444–8447. [Google Scholar] [CrossRef]
- Speckmeier, E.; Zeitler, K. Desyl and phenacyl as versatile, photocatalytically cleavable protecting groups: A classic approach in a different (visible) light. ACS Catal. 2017, 7, 6821–6826. [Google Scholar] [CrossRef]
- Zhu, H.; Manchado, A.; Omar Farah, A.; McKay, A.P.; Cordes, D.B.; Cheong, P.H.-Y.; Kasten, K.; Smith, A.D. Isothiourea- catalysed acylative dynamic kinetic resolution of tetra-substituted morpholinone and benzoxazinone lactols. Angew. Chem. Int. Ed. 2024, 63, e202402908. [Google Scholar] [CrossRef]
- Iino, Y.; Matsushima, Y.; Nakashima, K.; Hirashima, S.I.; Miura, T. Organocatalyzed synthesis of γ-alkenyl butenolides via asymmetric direct vinylogous conjugate addition-elimination of substituted furanone derivatives to β-phenylsulfonylenones. J. Org. Chem. 2024, 89, 11789–11795. [Google Scholar] [CrossRef]
- Cunningham, C.C.; Panger, J.L.; Lupi, M.; Denmark, S.E. Organoselenium-catalyzed enantioselective synthesis of 2-oxa- zolidinones from alkenes. Org. Lett. 2024, 26, 6703–6708. [Google Scholar] [CrossRef]
- Zhang, W.-W.; Sha, Q. B(C6F5)3-catalyzed multicomponent reactions of 2,3-diketoesters, amines, allenes, and nucleophiles: Synthesis of 2α-functionalized pyrroles. J. Org. Chem. 2024, 89, 12286–12297. [Google Scholar] [CrossRef]
- Alahyen, I.; Taillier, C.; Lhoste, J.; Dalla, V.; Comesse, S. N-Benzyloxyacrylamides as bisnucleophiles in an organocatalyzed domino aza-Michael/Morita-Baylis-Hillman sequence. Org. Lett. 2024, 26, 1926–1930. [Google Scholar] [CrossRef] [PubMed]
- Wang, H.Y.; Zhong, L.J.; Lv, G.F.; Li, Y.; Li, J.H. Photocatalytic dual decarboxylative alkenylation mediated by triphenylphosphine and sodium iodide. Org. Biomol. Chem. 2020, 18, 5589–5593. [Google Scholar] [CrossRef] [PubMed]
- Wang, J.L.; Gao, G.C.; Cheng, J.D.; Li, J.T.; Chen, X.S.; Chen, X.M.; Zhang, D.H.; Li, H.Q.; Cai, X.H.; Huang, B.B. Photocatalytic organosulfur reagent-promoted selective mono-(deutero)hydrodechlorination. Green Chem. 2024, 26, 5167–5172. [Google Scholar] [CrossRef]
- Kuan, J.Y.; Chen, J.H.; Han, J.L. Switchable synthesis of tritylone alcohols and 2-benzoylbenzoate esters from spiroindane-1,3-diones. J. Org. Chem. 2024, 89, 12360–12369. [Google Scholar] [CrossRef] [PubMed]
- Dhami, A.; Kumar, A.; Hisana, K.N.; Mohanan, K. Organocatalyzed, three-component construction of cyanopyrazoles using diazoacetonitrile. Adv. Synth. Catal. 2024, 366, 2551–2556. [Google Scholar] [CrossRef]
- Agrawal, S.; Majhi, P.; Goodfellow, A.; Tak, R.; Cordes, D.; McKay, A.; Kasten, K.; Buehl, M.; Smith, A.D. Enantioselective synthesis of tetra-substituted 3-hydroxyphthalide esters by isothiourea-catalysed acylative dynamic kinetic resolution. Angew. Chem. Int. Ed. 2024, 63, e202402909. [Google Scholar] [CrossRef]
- Dai, P.F.; Qu, J.P.; Kang, Y.B. Organocatalyzed aerobic oxidation of aldehydes to acids. Org. Lett. 2019, 21, 1393–1396. [Google Scholar] [CrossRef]
- Onida, K.; Haddleton, A.J.; Norsic, S.; Boisson, C.; D’Agosto, F.; Duguet, N. Organocatalytic synthesis of substituted vinylene carbonates. Adv. Synth. Catal. 2021, 363, 5129–5137. [Google Scholar] [CrossRef]
- Liang, Y.F.; Wu, K.; Song, S.; Li, X.Y.; Huang, X.Q.; Jiao, N. I2- or NBS-catalyzed highly efficient α-hydroxylation of ketones with dimethyl sulfoxide. Org. Lett. 2015, 17, 876–879. [Google Scholar] [CrossRef]
- Chen, C.; Qiu, H.H. Study on the α-acetoxylation of sp3-C-H bonds adjacent to carbonyl of arones. Chin. J. Org. Chem. 2016, 36, 826–829. [Google Scholar] [CrossRef]
- Zhang, Z.; Li, P.F. Sulfur-mediated difunctionalization of internal and terminal alkynes for the synthesis of α-acetoxy ketones. Tetrahedron Lett. 2020, 61, 151707. [Google Scholar] [CrossRef]
- Nagano, T.; Jia, Z.H.; Li, X.S.; Yan, M.; Lu, G.; Chan, A.S.C.; Hayashi, T. Redox catalysis of halide ion for formal cross-dehydrogenative coupling: Bromide ion-catalyzed direct oxidative α-acetoxylation of ketones. Chem. Lett. 2010, 39, 929–931. [Google Scholar] [CrossRef]
- Hokamp, T.; Wirth, T. Hypervalent iodine(III)-catalysed enantioselective α-acetoxylation of ketones. Chem. Eur. J. 2020, 26, 10417–10421. [Google Scholar] [CrossRef] [PubMed]
- Nestl, B.M.; Bodlenner, A.; Stuermer, R.; Hauer, B.; Kroutil, W.; Faber, K. Biocatalytic racemization of synthetically important functionalized α-hydroxyketones using microbial cells. Tetrahedron-Asymmetry 2007, 18, 1465–1474. [Google Scholar] [CrossRef]
- Pei, W.W.; Li, S.H.; Nie, X.P.; Li, Y.W.; Pei, J.; Chen, B.Z.; Wu, J.; Ye, X.L. Convenient syntheses of 2-alkyl(aryl)-4,5- diphenyloxazoles and 2-alkyl(aryl)-4-phenyloxazoles. Synthesis 1998, 1998, 1298–1304. [Google Scholar] [CrossRef]
- Agrawal, S.; Martinez-Castro, E.; Marcos, R.; Martín-Matute, B. Readily available ruthenium complex for efficient dynamic kinetic resolution of aromatic α-hydroxy ketones. Org. Lett. 2014, 16, 2256–2259. [Google Scholar] [CrossRef]
- Loner, C.M.; Luzzio, F.A.; Demuth, D.R. Preparation of azidoaryl- and azidoallryloxazoles for click chemistry. Tetrahedron Lett. 2012, 53, 5641–5644. [Google Scholar] [CrossRef][Green Version]









![]() | ||||
|---|---|---|---|---|
| Entry | Dose of 2-Methylimidazole (Equiv.) | Temp. (°C) | Time (h) | Yield (%) [b] |
| 1 | 0 | 140 | 12 | 0 |
| 2 | 1.0 | 140 | 12 | 78 |
| 3 | 1.3 | 140 | 12 | 83 |
| 4 | 2.0 | 140 | 12 | 90 |
| 5 | 3.0 | 140 | 12 | 84 |
| 6 | 4.0 | 140 | 12 | 80 |
| 7 | 2.0 | 140 | 10 | 91 |
| 8 | 2.0 | 140 | 8 | 89 |
| 9 | 2.0 | 140 | 14 | 86 |
| 10 | 2.0 | 120 | 10 | 94 |
| 11 | 2.0 | 100 | 10 | 92 |
| 12 | 2.0 | 25 | 10 | 0 |
| 13 | 1.0 | 100 | 12 | 82 |
| 14 [c] | 2.0 | 120 | 10 | 84 |
| 15 [d] | 2.0 | 120 | 10 | 87 |
| 16 [e] | 2.0 | 120 | 10 | 90 |
![]() |
|---|
![]() |
Disclaimer/Publisher’s Note: The statements, opinions and data contained in all publications are solely those of the individual author(s) and contributor(s) and not of MDPI and/or the editor(s). MDPI and/or the editor(s) disclaim responsibility for any injury to people or property resulting from any ideas, methods, instructions or products referred to in the content. |
© 2024 by the authors. Licensee MDPI, Basel, Switzerland. This article is an open access article distributed under the terms and conditions of the Creative Commons Attribution (CC BY) license (https://creativecommons.org/licenses/by/4.0/).
Share and Cite
Yu, S.-W.; Li, Z.-H.; Li, M.-X.; Zeng, Y.; Ye, W.-X.; Xie, J.-Y.; Wang, Z.-Y. A Novel 2-Methylimidazole Promoted Oxyacyloxylation of α-Hydroxy Ketones and Anhydrides: An Easy Access to α-Acyloxy Ketones. Catalysts 2024, 14, 811. https://doi.org/10.3390/catal14110811
Yu S-W, Li Z-H, Li M-X, Zeng Y, Ye W-X, Xie J-Y, Wang Z-Y. A Novel 2-Methylimidazole Promoted Oxyacyloxylation of α-Hydroxy Ketones and Anhydrides: An Easy Access to α-Acyloxy Ketones. Catalysts. 2024; 14(11):811. https://doi.org/10.3390/catal14110811
Chicago/Turabian StyleYu, Shi-Wei, Zhong-Hao Li, Miao-Xin Li, Yu Zeng, Wan-Xin Ye, Jia-Yu Xie, and Zhao-Yang Wang. 2024. "A Novel 2-Methylimidazole Promoted Oxyacyloxylation of α-Hydroxy Ketones and Anhydrides: An Easy Access to α-Acyloxy Ketones" Catalysts 14, no. 11: 811. https://doi.org/10.3390/catal14110811
APA StyleYu, S.-W., Li, Z.-H., Li, M.-X., Zeng, Y., Ye, W.-X., Xie, J.-Y., & Wang, Z.-Y. (2024). A Novel 2-Methylimidazole Promoted Oxyacyloxylation of α-Hydroxy Ketones and Anhydrides: An Easy Access to α-Acyloxy Ketones. Catalysts, 14(11), 811. https://doi.org/10.3390/catal14110811




