Regioselective Esterification of Cardiac Glycosides Catalyzed by Novozym 435 and Lipase PS in Organic Solvents
Abstract
1. Introduction
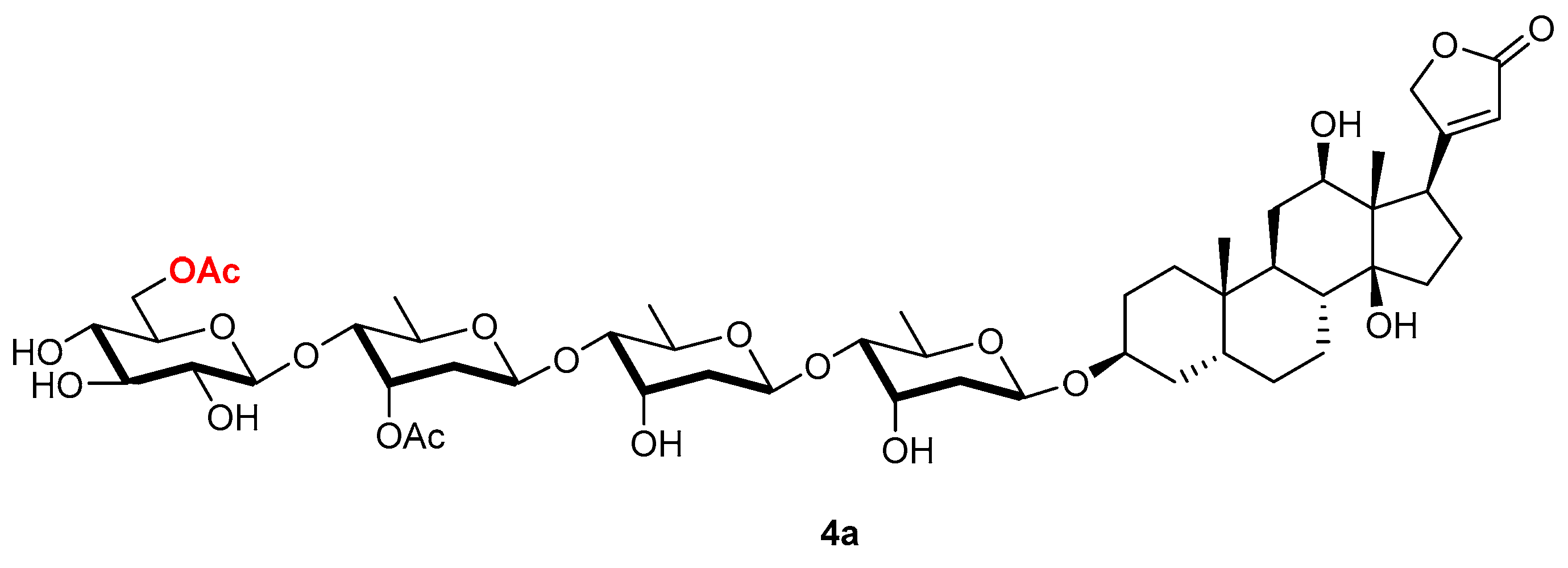
2. Results and Discussion
3. Materials and Methods
3.1. General Information
3.2. Synthesis
- 1H-NMR of D-digitoxose (5).
- 5b (3,5-diacetyl-digitoxose)
4. Conclusions
Supplementary Materials
Author Contributions
Funding
Data Availability Statement
Conflicts of Interest
Abbreviations
References
- Albrecht, H.P. Cardiac Glycosides in Naturally Occurring Glycosides; John Wiley & Sons, Inc.: Chichester, UK, 1999. [Google Scholar]
- Gaignault, J.C.; Bidet, D. Hétérosides Cardiotoniques. Fitoterapia 1988, 59, 259–315. [Google Scholar]
- Melero, C.P.; Medarde, M.; San Feliciano, A. A Short Review on Cardiotonic Steroids and Their Aminoguanidine Analogues. Molecules 2000, 5, 51–81. [Google Scholar] [CrossRef]
- Patel, S. Plant-Derived Cardiac Glycosides: Role in Heart Ailments and Cancer Management. Biomed. Pharmacother. 2016, 84, 1036–1041. [Google Scholar] [CrossRef]
- Ren, J.; Gao, X.; Guo, X.; Wang, N.; Wang, X. Research Progress in Pharmacological Activities and Applications of Cardiotonic Steroids. Front. Pharmacol. 2022, 13, 902459. [Google Scholar] [CrossRef] [PubMed]
- Krstić, D.; Krinulović, K.; Spasojević-Tišma, V.; Joksić, G.; Momić, T.; Vasić, V. Effects of Digoxin and Gitoxin on the Enzymatic Activity and Kinetic Parameters of Na+/K+-ATPase. J. Enzyme Inhib. Med. Chem. 2004, 19, 409–415. [Google Scholar] [CrossRef] [PubMed]
- Cornelius, F.; Mahmmoud, Y.A. Interaction between Cardiotonic Steroids and Na,K-ATPase. Effects of PH and Ouabain-Induced Changes in Enzyme Conformation. Biochemistry 2009, 48, 10056–10065. [Google Scholar] [CrossRef] [PubMed]
- Orlov, S.N.; Tverskoi, A.M.; Sidorenko, S.V.; Smolyaninova, L.V.; Lopina, O.D.; Dulin, N.O.; Klimanova, E.A. Na,K-ATPase as a Target for Endogenous Cardiotonic Steroids: What’s the Evidence? Genes Dis. 2021, 8, 259–271. [Google Scholar] [CrossRef]
- Shah, K.; Chhabra, S.; Singh Chauhan, N. Chemistry and Anticancer Activity of Cardiac Glycosides: A Review. Chem. Biol. Drug. Des. 2022, 100, 364–375. [Google Scholar] [CrossRef]
- Orellana, A.M.; Kinoshita, P.F.; Leite, J.A.; Kawamoto, E.M.; Scavone, C. Cardiotonic Steroids as Modulators of Neuroinflammation. Front. Endocrinol. 2016, 7, 10. [Google Scholar] [CrossRef]
- Schneider, N.; Cerella, C.; Simões, C.M.O.; Diederich, M. Anticancer and Immunogenic Properties of Cardiac Glycosides. Molecules 2017, 22, 1932. [Google Scholar] [CrossRef]
- Škubník, J.; Pavlíčková, V.; Rimpelová, S. Cardiac Glycosides as Immune System Modulators. Biomolecules 2021, 11, 659. [Google Scholar] [CrossRef]
- Kren, V.; Martinkova, L. Glycosides in Medicine: “The Role of Glycosidic Residue in Biological Activity”. Curr. Med. Chem. 2001, 8, 1303–1328. [Google Scholar] [CrossRef]
- Ooi, Y.; Toshihiro, H.; Mituso, N.; Satoh, T. Enzymic Formation of β-Alkyl Glycosides by β-Galactosidase from Aspergillus Oryzae and Its Application to the Synthesis of Chemically Unstable Cardiac Glycosides. Chem. Pharm. Bull. 1984, 35, 1808–1814. [Google Scholar]
- Ooi, Y.; Hashimoto, T.; Mitsuo, N.; Satoh, T. Enzymic Synthesis of Chemically Unstable Cardiac Glycosides by β-Galactosidase from Aspergillus Oryzae. Tetrahedron Lett. 1984, 25, 2241–2244. [Google Scholar] [CrossRef]
- Huang, W.; Wen, C.; Zhou, Z.-R.; Fu, Z.-H.; Katz, A.; Plotnikov, A.; Karlish, S.J.D.; Jiang, R.-W. An Efficient One-Pot Enzymatic Synthesis of Cardiac Glycosides with Varied Sugar Chain Lengths. Adv. Synth. Cat. 2019, 361, 3114–3119. [Google Scholar] [CrossRef]
- Shugrue, C.R.; Miller, S.J. Applications of Nonenzymatic Catalysts to the Alteration of Natural Products. Chem. Rev. 2017, 117, 11894–11951. [Google Scholar] [CrossRef]
- Sun, X.; Lee, H.; Lee, S.; Tan, K.L. Catalyst Recognition of Cis-1,2-Diols Enables Site-Selective Functionalization of Complex Molecules. Nat. Chem. 2013, 5, 790–795. [Google Scholar] [CrossRef]
- Ueda, Y.; Kawabata, T. Organocatalytic Site-Selective Acylation of Carbohydrates and Polyol Compounds. Top. Curr. Chem. 2016, 372, 203–232. [Google Scholar]
- Yoshida, K.; Furuta, T.; Kawabara, T. Perfectly Regioselective Acylation of a Cardiac Glycoside, Digitoxin, via Catalytic Amplification of the Intrinsic Reactivity | Elsevier Enhanced Reader. Tetrahedron Lett. 2010, 51, 4830–4832. [Google Scholar] [CrossRef]
- Danieli, B.; De Bellis, P.; Carrea, G.; Riva, S. Enzyme-Mediated Regioselective Acylations of Flavonoid Disaccharide Monoglycosides. Helv. Chim. Acta 1990, 73, 1837–1844. [Google Scholar] [CrossRef]
- Danieli, B.; Bertario, A.; Carrea, G.; Redigolo, B.; Secundo, F.; Riva, S. Chemo-Enzymatic Synthesis of 6″-O-(3-Arylprop-2-Enoyl) Derivatives of the Flavonol Glucoside Isoquercitrin. Helv. Chim. Acta 1993, 76, 2981–2991. [Google Scholar] [CrossRef]
- Riva, S.; Danieli, B.; Luisetti, M. A Two-Step Efficient Chemoenzymatic Synthesis of Flavonoid Glycoside Malonates. J. Nat. Prod. 1996, 59, 618–621. [Google Scholar] [CrossRef] [PubMed]
- Danieli, B.; De Bellis, P.; Carrea, G.; Riva, S. Regioselective Enzyme-Mediated Acylation of Colchicoside and Thiocolchicoside. Gazz. Chim. Ital. 1991, 121, 123–125. [Google Scholar]
- Danieli, B.; Luisetti, M.; Riva, S.; Bertinotti, A.; Ragg, E.; Scaglioni, L.; Bombardelli, E. Regioselective Enzyme-Mediated Acylation of Polyhydroxy Natural Compounds. A Remarkable, Highly Efficient Preparation of 6′-Acetyl and 6′-O-Carboxyacetyl Ginsenoside Rg1. J. Org. Chem. 1995, 60, 3637–3642. [Google Scholar] [CrossRef]
- Colombo, G.; Riva, S.; Danieli, B. Remote Control of Enzyme Selectivity: The Case of Stevioside and Steviolbioside. Tetrahedron 2004, 60, 741–746. [Google Scholar] [CrossRef]
- Kedra, M.; Kedrowa, S. Clinical evaluation of Proscillaridin A, a glycoside of Scilla maritima. Pol. Tyg. Lek. 1968, 23, 714–716. [Google Scholar]
- Pagliara, R. Clinical use of a new cardioactive glycoside: Proscillaridin A. Case studies. Minerva Med. 1967, 58, 4296–4301. [Google Scholar]
- Krenn, L.; Kopp, B.; Deim, A.; Robien, W.; Kubelka, W. Zum Bufadienolidmuster der roten “Meerzwiebel”. Planta Med. 1994, 60, 63–69. [Google Scholar] [CrossRef]
- Kopp, B.; Krenn, L.; Draxler, M.; Hoyer, A.; Terkola, R.; Vallaster, P.; Robien, W. Bufadienolides from Urginea Maritima from Egypt. Phytochemistry 1996, 42, 513–522. [Google Scholar] [CrossRef]
- Da Costa, E.M.; Armaos, G.; McInnes, G.; Beaudry, A.; Moquin-Beaudry, G.; Bertrand-Lehouillier, V.; Caron, M.; Richer, C.; St-Onge, P.; Johnson, J.R.; et al. Heart Failure Drug Proscillaridin A Targets MYC Overexpressing Leukemia through Global Loss of Lysine Acetylation. J. Exp Clin. Cancer Res. 2019, 38, 251. [Google Scholar] [CrossRef]
- Li, R.-Z.; Fan, X.-X.; Duan, F.-G.; Jiang, Z.-B.; Pan, H.-D.; Luo, L.-X.; Zhou, Y.-L.; Li, Y.; Yao, Y.-J.; Yao, X.-J.; et al. Proscillaridin A Induces Apoptosis and Suppresses Non-Small-Cell Lung Cancer Tumor Growth via Calcium-Induced DR4 Upregulation. Cell Death Dis. 2018, 9, 696. [Google Scholar] [CrossRef]
- Mori, J.; Nagai, S.-I.; Sakakibara, J.; Takeya, K.; Hotta, Y.; Ando, H. Studies on Cardiac Ingredients of Plants. III. Structural Confirmation and Biological Activity of Reduced Proscillaridins. Chem. Pharm. Bull. 1987, 35, 1839–1846. [Google Scholar] [CrossRef]
- Danieli, B.; Luisetti, M.; Sampognaro, G.; Carrea, G.; Riva, S. Regioselective Acylation of Polyhydroxylated Natural Compounds Catalyzed by Candida Antarctica Lipase B (Novozym 435) in Organic Solvents. J. Mol. Catal. B Enzym. 1997, 3, 193–201. [Google Scholar] [CrossRef]
- Monti, D.; Candido, A.; Cruz Silva, M.M.; Křen, V.; Riva, S.; Danieli, B. Biocatalyzed Generation of Molecular Diversity: Selective Modification of the Saponin Asiaticoside. Adv. Synth. Catal. 2005, 347, 1168–1174. [Google Scholar] [CrossRef]
- Hammarström, L.; Smith, C.I.E.; Persson, U. Functional Characterization of Lanatoside-C-Responsive Cells. Scand. J. Immunol. 1978, 8, 263–271. [Google Scholar] [CrossRef] [PubMed]
- Chao, M.-W.; Chen, T.-H.; Haung, H.-L.; Chang, Y.-W.; HangFu, W.-C.; Lee, Y.-C.; Teng, C.-M.; Pan, S.-L. Lanatoside C, a Cardiac Glycoside, Acts through Protein Kinase Cδ to Cause Apoptosis of Human Hepatocellular Carcinoma Cells. Sci. Rep. 2017, 7, 46134. [Google Scholar] [CrossRef] [PubMed]
- Ha, D.P.; Tsai, Y.-L.; Lee, A.S. Suppression of ER-Stress Induction of GRP78 as an Anti-Neoplastic Mechanism of the Cardiac Glycoside Lanatoside C in Pancreatic Cancer. Neoplasia 2021, 23, 1213–1226. [Google Scholar] [CrossRef] [PubMed]
- Vinod, N.; Kim, J.H.; Choi, S.; Lim, I. Combination of I-131-Trastuzumab and Lanatoside C Enhanced Therapeutic Efficacy in HER2 Positive Tumor Model. Sci. Rep. 2021, 11, 12871. [Google Scholar] [CrossRef]
- Duan, Y.; Chen, L.; Shao, J.; Jiang, C.; Zhao, Y.; Li, Y.; Ke, H.; Zhang, R.; Zhu, J.; Yu, M. Lanatoside C Inhibits Human Cervical Cancer Cell Proliferation and Induces Cell Apoptosis by a Reduction of the JAK2/STAT6/SOCS2 Signaling Pathway. Oncol. Lett. 2021, 22, 740. [Google Scholar] [CrossRef]
- Danieli, B.; Luisetti, M.; Steurer, S.; Michelitsch, A.; Likussar, W.; Riva, S.; Reiner, J.; Schubert-Zsilavecz, M. Application of Lipase-Catalyzed Regioselective Esterification in the Preparation of Digitonin Derivatives. J. Nat. Prod. 1999, 62, 670–673. [Google Scholar] [CrossRef]
- Gebhardt, S.; Bihler, S.; Schubert-Zsilavecz, M.; Riva, S.; Monti, D.; Falcone, L.; Danieli, B. Biocatalytic Generation of Molecular Diversity: Modification of Ginsenoside Rb1 by β-1,4-Galactosyltransferase and Candida Antarctica Lipase, Part 4. Helv. Chim. Acta 2002, 85, 1943–1959. [Google Scholar] [CrossRef]
- Danieli, B.; De Bellis, P.; Carrea, G.; Riva, S. Enzyme-Mediated Acylation of Flavonoid Monoglycosides. Heterocycles 1989, 29, 2061. [Google Scholar] [CrossRef]
- Riva, S.; Carrea, G.; Ottolina, G.; Secundo, F.; Danieli, B.; De Bellis, P. Enzymatic Regioselective Acylation of Polyhydroxylated Natural Compounds in Organic Solvents. Ann. N. Y. Acad. Sci. 1990, 613, 712–716. [Google Scholar] [CrossRef]
- Ueda, Y.; Mishiro, K.; Yoshida, K.; Furuta, T.; Kawabata, T. Regioselective Diversification of a Cardiac Glycoside, Lanatoside C, by Organocatalysis. J. Org. Chem. 2012, 77, 7850–7857. [Google Scholar] [CrossRef] [PubMed]
- Riva, S. Enzymatic Modification of the Sugar Moieties of Natural Glycosides. J. Mol. Catal. B Enzym. 2002, 19–20, 43–54. [Google Scholar] [CrossRef]
- Coxon, B. Two-Dimensional Proton Chemical Shift Correlated NMR Spectroscopy of Digitoxose1. J. Carbohydr. Chem. 1984, 3, 525–543. [Google Scholar] [CrossRef]





Disclaimer/Publisher’s Note: The statements, opinions and data contained in all publications are solely those of the individual author(s) and contributor(s) and not of MDPI and/or the editor(s). MDPI and/or the editor(s) disclaim responsibility for any injury to people or property resulting from any ideas, methods, instructions or products referred to in the content. |
© 2023 by the authors. Licensee MDPI, Basel, Switzerland. This article is an open access article distributed under the terms and conditions of the Creative Commons Attribution (CC BY) license (https://creativecommons.org/licenses/by/4.0/).
Share and Cite
Bassanini, I.; Roncaglia, L.; Danieli, B.; Riva, S. Regioselective Esterification of Cardiac Glycosides Catalyzed by Novozym 435 and Lipase PS in Organic Solvents. Catalysts 2023, 13, 819. https://doi.org/10.3390/catal13050819
Bassanini I, Roncaglia L, Danieli B, Riva S. Regioselective Esterification of Cardiac Glycosides Catalyzed by Novozym 435 and Lipase PS in Organic Solvents. Catalysts. 2023; 13(5):819. https://doi.org/10.3390/catal13050819
Chicago/Turabian StyleBassanini, Ivan, Lucia Roncaglia, Bruno Danieli, and Sergio Riva. 2023. "Regioselective Esterification of Cardiac Glycosides Catalyzed by Novozym 435 and Lipase PS in Organic Solvents" Catalysts 13, no. 5: 819. https://doi.org/10.3390/catal13050819
APA StyleBassanini, I., Roncaglia, L., Danieli, B., & Riva, S. (2023). Regioselective Esterification of Cardiac Glycosides Catalyzed by Novozym 435 and Lipase PS in Organic Solvents. Catalysts, 13(5), 819. https://doi.org/10.3390/catal13050819

