Peroxymonosulfate Activation by Different Synthesized CuFe-MOFs: Application for Dye, Drugs, and Pathogen Removal
Abstract
1. Introduction
2. Results
2.1. Preliminary Catalytic Performance
2.2. Characterization
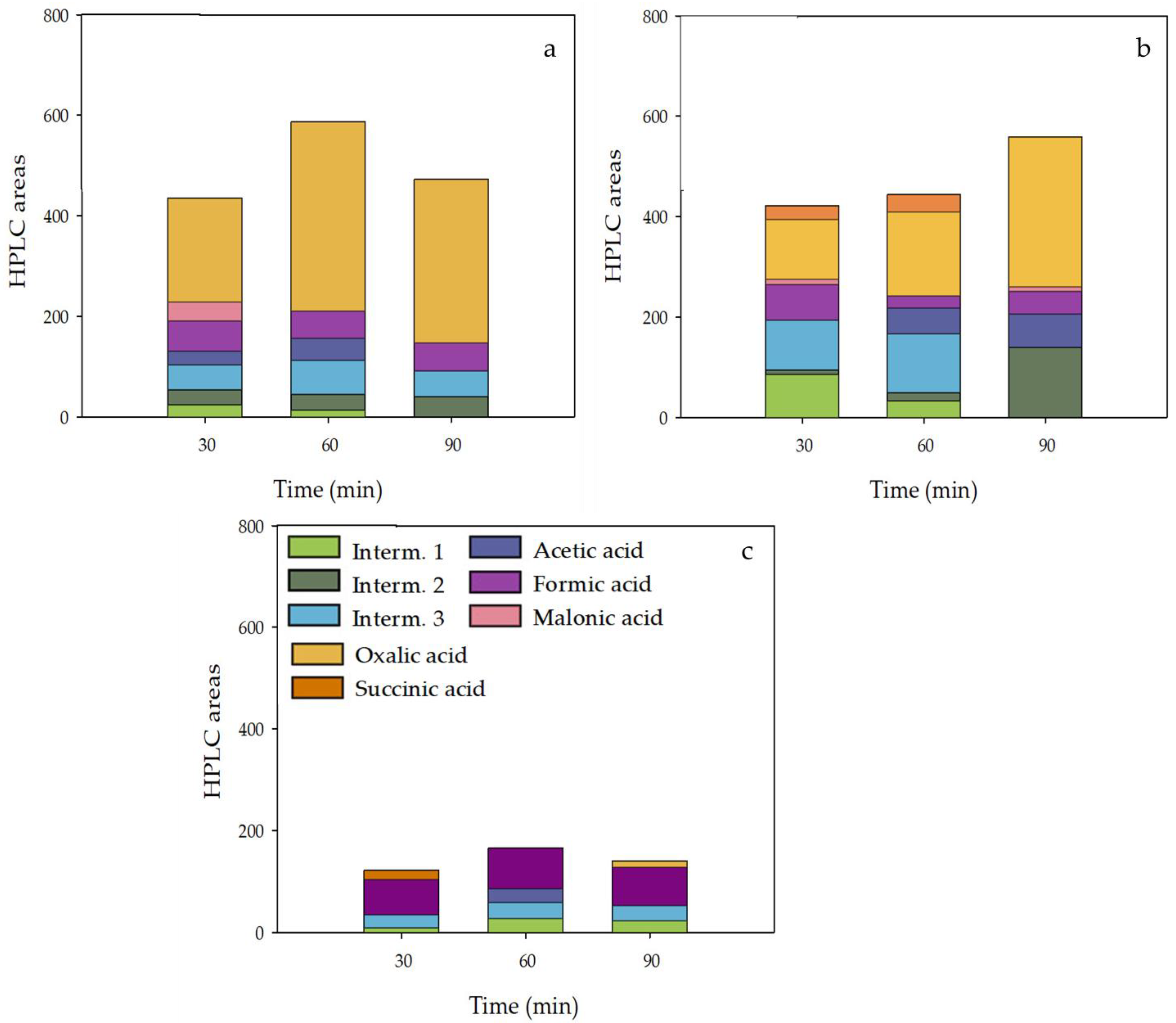
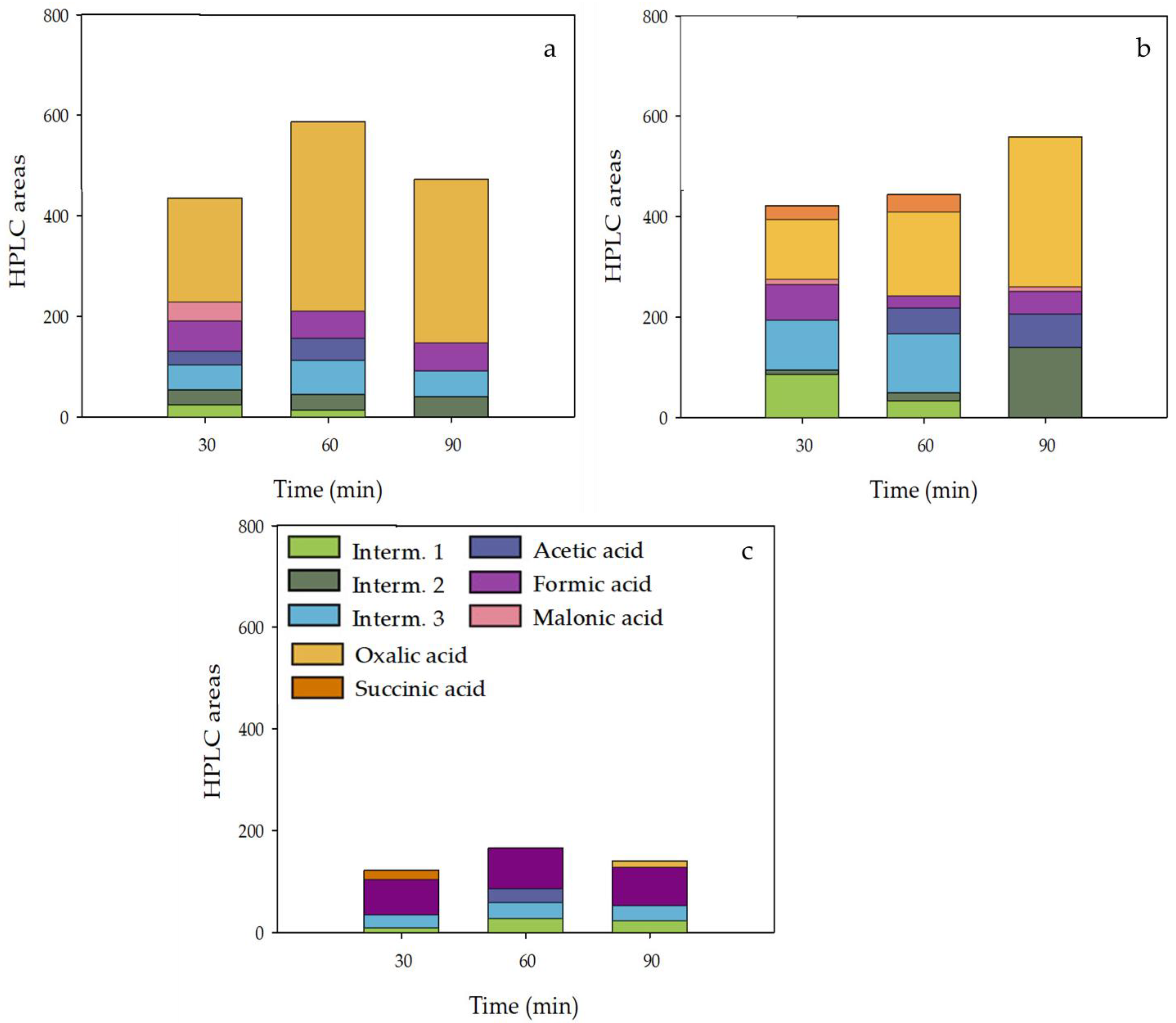
2.3. Rhodamine B Removal
2.3.1. Effect of pH
2.3.2. Effect of Catalyst Dosage
2.3.3. Effect of PMS Concentration
2.3.4. Rhodamine B Removal by Photo-Assisted Activation of PMS over CuFe-MOFs
2.4. Drug Removal
2.5. Antibacterial Capability
3. Materials and Methods
3.1. Chemicals and Microorganisms
3.2. Synthesis of the Bimetallic CuFe(BDC-NH2)x
- -
- CuFe(BDC-NH2)R: The procedure of this synthesis was adapted, with slight modifications, from the study of Fu et al. [68]. In this case, 0.724 g of NH2BDC was added to 32 mL of DMF. When NH2BDC was completely dissolved, 0.4 g of Cu(CH3COO)2⋅H2O and 0.556 g of FeSO4·7H2O, were added simultaneously with 4 mL of ethanol and 4 mL of ultrapure water. The mixture was dissolved completely after 30 min and transferred to a 100-mL Teflon-lined autoclaved reactor, which was kept in an oven at 90 °C for 24 h. The obtained solid was washed with ethanol and dried overnight at 80 °C. The monometallic Cu(BDC-NH2)R was synthesized analogously using only 0.4 g of Cu(CH3COO)2⋅H2O as precursor.
- -
- CuFe(BDC-NH2)D: For this catalyst, the synthesis was carried out as described in the work of Khosravi et al. [29]. Briefly, 0.362 g of NH2BDC was mixed in 14 mL of DMF for 15 min. Meanwhile, 0.341 g CuCl2·6H2O and 0.541 g FeCl3⋅6H2O were stirred in 14 mL of DMF. Subsequently, both dilutions were mixed, and 2 mL of ethanol added and shaken vigorously for 30 min, followed by 20 min in ultrasound. Once finished, it was transferred to a 100-mL Teflon-lined autoclaved reactor, which was kept in an oven at 150 °C for 24 h. Subsequently, the obtained solid was washed and filtered with DMF and ethanol and dried overnight at 80 °C.
- -
- CuFe(BDC-NH2)S: The previous procedure was followed, the only difference being the salts used which were 0.4 g of Cu(CH3COO)2⋅H2O and 0.556 g of FeSO4·7H2O.
3.3. Culture Conditions
3.4. Experimental Set-Up
3.4.1. Pollutant Degradation
3.4.2. Disinfection Experiment
3.5. Analytical Methods
3.5.1. Determination of ANT and SMX
3.5.2. Disinfection Efficiency
3.5.3. Characterization of CuFe-MOFs
4. Conclusions
Author Contributions
Funding
Data Availability Statement
Acknowledgments
Conflicts of Interest
References
- Arellano, M.; Sanromán, M.A.; Pazos, M. Electro-Assisted Activation of Peroxymonosulfate by Iron-Based Minerals for the Degradation of 1-Butyl-1-Methylpyrrolidinium Chloride. Sep. Purif. Technol. 2019, 208, 34–41. [Google Scholar] [CrossRef]
- Nguyen, A.Q.K.; Ahn, Y.Y.; Shin, G.; Cho, Y.; Lim, J.; Kim, K.; Kim, J. Degradation of Organic Compounds through Both Radical and Nonradical Activation of Peroxymonosulfate Using CoWO4 Catalysts. Appl. Catal. B Environ. 2023, 324, 122266. [Google Scholar] [CrossRef]
- Bouzayani, B.; Rosales, E.; Pazos, M.; Elaoud, S.C.; Sanromán, M.A. Homogeneous and Heterogeneous Peroxymonosulfate Activation by Transition Metals for the Degradation of Industrial Leather Dye. J. Clean. Prod. 2019, 228, 222–230. [Google Scholar] [CrossRef]
- Hammad, M.; Angel, S.; Al-Kamal, A.K.; Asghar, A.; Amin, A.S.; Kräenbring, M.A.; Wiedemann, H.T.A.; Vinayakumar, V.; Ali, M.Y.; Fortugno, P.; et al. Synthesis of novel LaCoO3/graphene catalysts as highly efficient peroxymonosulfate activator for the degradation of organic pollutants. Chem. Eng. J. 2023, 454, 139900. [Google Scholar] [CrossRef]
- Dung, N.T.; Thuy, B.M.; Son, L.T.; Ngan, L.V.; Thao, V.D.; Takahashi, M.; Maenosono, S.; Thu, T.V. Mechanistic Insights into Efficient Peroxymonosulfate Activation by NiCo Layered Double Hydroxides. Environ. Res. 2023, 217, 114488. [Google Scholar] [CrossRef]
- Ni, T.; Yang, Z.; Zhang, H.; Zhou, L.; Guo, W.; Pan, L.; Yang, Z.; Chang, K.; Ge, C.; Liu, D. Peroxymonosulfate activation by Co3O4/SnO2 for efficient degradation of ofloxacin under visible light. J. Colloid Interface Sci. 2022, 615, 650–662. [Google Scholar] [CrossRef]
- Wang, J.; Wang, S. Activation of persulfate (PS) and peroxymonosulfate (PMS) and application for the degradation of emerging contaminants. Chem. Eng. J. 2018, 334, 1502–1517. [Google Scholar] [CrossRef]
- Fdez-Sanromán, A.; Pazos, M.; Sanroman, A. Peroxymonosulphate Activation by Basolite® F-300 for Escherichia coli Disinfection and Antipyrine Degradation. Int. J. Environ. Res. Public Health 2022, 19, 6852. [Google Scholar] [CrossRef] [PubMed]
- Escudero-Curiel, S.; Pazos, M.; Sanromán, A. Sustainable regeneration of a honeycomb carbon aerogel used as a high-capacity adsorbent for Fluoxetine removal. J. Mol. Liq. 2022, 357, 119079. [Google Scholar] [CrossRef]
- Ghanbari, F.; Moradi, M. Application of peroxymonosulfate and its activation methods for degradation of environmental organic pollutants: Review. Chem. Eng. J. 2017, 310, 41–62. [Google Scholar] [CrossRef]
- Oh, W.D.; Dong, Z.; Lim, T.T. Generation of sulfate radical through heterogeneous catalysis for organic contaminants removal: Current development, challenges and prospects. Appl. Catal. B Environ. 2016, 194, 169–201. [Google Scholar] [CrossRef]
- Joseph, J.; Iftekhar, S.; Srivastava, V.; Fallah, Z.; Zare, E.N.; Sillanpää, M. Iron-based metal-organic framework: Synthesis, structure and current technologies for water reclamation with deep insight into framework integrity. Chemosphere 2021, 284, 131171. [Google Scholar] [CrossRef] [PubMed]
- Fdez-Sanromán, A.; Rosales, E.; Pazos, M.; Sanroman, A. Metal–Organic Frameworks as Powerful Heterogeneous Catalysts in Advanced Oxidation Processes for Wastewater Treatment. Appl. Sci. 2022, 12, 8240. [Google Scholar] [CrossRef]
- Yuan, S.; Feng, L.; Wang, K.; Pang, J.; Bosch, M.; Lollar, C.; Sun, Y.; Qin, J.; Yang, X.; Zhang, P.; et al. Stable Metal–Organic Frameworks: Design, Synthesis, and Applications. Adv. Mater. 2018, 30, 1704303. [Google Scholar] [CrossRef] [PubMed]
- Khalil, I.E.; Fonseca, J.; Reithofer, M.R.; Eder, T.; Chin, J.M. Tackling Orientation of Metal-Organic Frameworks (MOFs): The Quest to Enhance MOF Performance. Coord. Chem. Rev. 2023, 481, 215043. [Google Scholar] [CrossRef]
- Huang, D.; Zhang, G.; Yi, J.; Cheng, M.; Lai, C.; Xu, P.; Zhang, C.; Liu, Y.; Zhou, C.; Xue, W.; et al. Progress and Challenges of Metal-Organic Frameworks-Based Materials for SR-AOPs Applications in Water Treatment. Chemosphere 2021, 263, 127672. [Google Scholar] [CrossRef] [PubMed]
- Hassani, A.; Scaria, J.; Ghanbari, F.; Nidheesh, P.V. Sulfate Radicals-Based Advanced Oxidation Processes for the Degradation of Pharmaceuticals and Personal Care Products: A Review on Relevant Activation Mechanisms, Performance, and Perspectives. Environ. Res. 2023, 217, 114789. [Google Scholar] [CrossRef] [PubMed]
- Yang, S.; Qiu, X.; Jin, P.; Dzakpasu, M.; Wang, X.C.; Zhang, Q.; Zhang, L.; Yang, L.; Ding, D.; Wang, W.; et al. MOF-templated synthesis of CoFe2O4 nanocrystals and its coupling with peroxymonosulfate for degradation of bisphenol A. Chem. Eng. J. 2018, 353, 329–339. [Google Scholar] [CrossRef]
- Li, H.; Yang, Z.; Lu, S.; Su, L.; Wang, C.; Huang, J.; Zhou, J.; Tang, J.; Huang, M. Nano-porous bimetallic CuCo-MOF-74 with coordinatively unsaturated metal sites for peroxymonosulfate activation to eliminate organic pollutants: Performance and mechanism. Chemosphere 2021, 273, 129643. [Google Scholar] [CrossRef]
- Li, H.; Yao, Y.; Chen, J.; Wang, C.; Huang, J.; Du, J.; Xu, S.; Tang, J.; Zhao, H.; Huang, M. Heterogeneous activation of peroxymonosulfate by bimetallic MOFs for efficient degradation of phenanthrene: Synthesis, performance, kinetics, and mechanisms. Sep. Purif. Technol. 2021, 259, 118217. [Google Scholar] [CrossRef]
- Liu, J.; Li, X.; Liu, B.; Zhao, C.; Kuang, Z.; Hu, R.; Liu, B.; Ao, Z.; Wang, J. Shape-Controlled Synthesis of Metal-Organic Frameworks with Adjustable Fenton-Like Catalytic Activity. ACS Appl. Mater. Interfaces 2018, 10, 38051–38056. [Google Scholar] [CrossRef] [PubMed]
- Gao, C.; Chen, S.; Quan, X.; Yu, H.; Zhang, Y. Enhanced Fenton-like catalysis by iron-based metal organic frameworks for degradation of organic pollutants. J. Catal. 2017, 356, 125–132. [Google Scholar] [CrossRef]
- Liao, X.; Wang, F.; Wang, F.; Cai, Y.; Yao, Y.; Teng, B.T.; Hao, Q.; Shuxiang, L. Synthesis of (100) surface oriented MIL-88A-Fe with rod-like structure and its enhanced fenton-like performance for phenol removal. Appl. Catal. B Environ. 2019, 259, 118064. [Google Scholar] [CrossRef]
- Bai, Y.; Nie, G.; He, Y.; Li, C.; Wang, X.; Ye, L. Cu-MOF for effectively organic pollutants degradation and E. coli inactivation via catalytic activation of peroxymonosulfate. J. Taiwan Inst. Chem. Eng. 2022, 132, 104154. [Google Scholar] [CrossRef]
- Zhou, X.; Luo, C.; Luo, M.; Wang, Q.; Wang, J.; Liao, Z.; Chen, Z.; Chen, Z. Understanding the synergetic effect from foreign metals in bimetallic oxides for PMS activation: A common strategy to increase the stoichiometric efficiency of oxidants. Chem. Eng. J. 2020, 381, 122587. [Google Scholar] [CrossRef]
- Liu, S.; Lai, C.; Li, B.; Zhang, C.; Zhang, M.; Huang, D.; Qin, L.; Yi, H.; Liu, X.; Huang, F.; et al. Role of Radical and Non-Radical Pathway in Activating Persulfate for Degradation of p-Nitrophenol by Sulfur-Doped Ordered Mesoporous Carbon. Chem. Eng. J. 2020, 384, 123304. [Google Scholar] [CrossRef]
- Liu, C.; Wang, Y.; Zhang, Y.; Li, R.; Meng, W.; Song, Z.; Qi, F.; Xu, B.; Chu, W.; Yuan, D.; et al. Enhancement of Fe@porous Carbon to Be an Efficient Mediator for Peroxymonosulfate Activation for Oxidation of Organic Contaminants: Incorporation NH2-Group into Structure of Its MOF Precursor. Chem. Eng. J. 2018, 354, 835–848. [Google Scholar] [CrossRef]
- Peng, Y.; Zhao, M.; Chen, B.; Zhang, Z.; Huang, Y.; Dai, F. Hybridization of MOFs and COFs: A New Strategy for Construction of MOF@COF Core–Shell Hybrid Materials. Adv. Mater. 2018, 30, 1705454. [Google Scholar] [CrossRef] [PubMed]
- Khosravi, F.; Gholinejad, M.; Sansano, J.M.; Luque, R. Bimetallic Fe–Cu Metal Organic Frameworks for Room Temperature Catalysis. Appl. Organomet. Chem. 2022, 36, e6749. [Google Scholar] [CrossRef]
- Usman, K.A.S.; Maina, J.W.; Seyedin, S.; Conato, M.T.; Payawan, L.M.; Dumée, L.F.; Razal, J.M. Downsizing Metal–Organic Frameworks by Bottom-up and Top-down Methods. NPG Asia Mater. 2020, 12, 58. [Google Scholar] [CrossRef]
- Zhong, M.; Zhang, S.; Dong, A.; Sui, Z.; Feng, L.; Chen, Q. Cu-MOF/Au–Pd Composite Catalyst: Preparation and Catalytic Performance Evaluation. J. Mater. Sci. 2020, 55, 10388–10398. [Google Scholar] [CrossRef]
- Abdel-Azim, S.; Aman, D.; Van Steen, E.; El Salam, H.A. Visible-Light Responsive Cu–MOF–NH2 for Highly Efficient Aerobic Photocatalytic Oxidation of Benzyl Alcohol. Kinet. Catal. 2021, 62, S9–S20. [Google Scholar] [CrossRef]
- Zango, Z.U.; Jumbri, K.; Sambudi, N.S.; Hanif Abu Bakar, N.H.; Fathihah Abdullah, N.A.; Basheer, C.; Saad, B. Removal of Anthracene in Water by MIL-88(Fe), NH2-MIL-88(Fe), and Mixed-MIL-88(Fe) Metal-Organic Frameworks. RSC Adv. 2019, 9, 41490–41501. [Google Scholar] [CrossRef] [PubMed]
- Li, Y.; Wang, Q.; Ding, Z.; Wan, D.; Nie, X.; Zhong, C. A Functionalized Magnetic Graphene-Based MOFs Platform as the Heterogeneous Mimic Enzyme Sensor for Glucose Detection. Catal. Lett. 2022, 152, 2375–2385. [Google Scholar] [CrossRef]
- Guan, Y.H.; Ma, J.; Li, X.C.; Fang, J.Y.; Chen, L.W. Influence of PH on the Formation of Sulfate and Hydroxyl Radicals in the UV/Peroxymonosulfate System. Environ. Sci. Technol. 2011, 45, 9308–9314. [Google Scholar] [CrossRef]
- Ding, Y.; Fu, L.; Peng, X.; Lei, M.; Wang, C.; Jiang, J. Copper Catalysts for Radical and Nonradical Persulfate Based Advanced Oxidation Processes: Certainties and Uncertainties. Chem. Eng. J. 2022, 427, 131776. [Google Scholar] [CrossRef]
- Hayat, W.; Liu, Z.H.; Wan, Y.P.; Zhang, Y. The Analysis of Efficiency of Activated Peroxymonosulfate for Fenuron Degradation in Water. Environ. Technol. Innov. 2022, 26, 102352. [Google Scholar] [CrossRef]
- Li, H.; Xu, C.; Li, N.; Rao, T.; Zhou, Z.; Zhou, Q.; Wang, C.; Xu, S.; Tang, J. Synthesis of Bimetallic FeCu-MOF and Its Performance as Catalyst of Peroxymonosulfate for Degradation of Methylene Blue. Materials 2022, 15, 7252. [Google Scholar] [CrossRef]
- Zhang, Y.; Wei, J.; Xing, L.; Li, J.; Xu, M.; Pan, G.; Li, J. Superoxide Radical Mediated Persulfate Activation by Nitrogen Doped Bimetallic MOF (FeCo/N-MOF) for Efficient Tetracycline Degradation. Sep. Purif. Technol. 2022, 282, 120124. [Google Scholar] [CrossRef]
- Wang, K.; Yang, Y.; Zhang, T.C.; Liang, Y.; Wang, Q. Degradation of Methylene Blue with Magnetic Co-Doped Fe3O4@FeOOH Nanocomposites as Heterogeneous Catalysts of Peroxymonosulfate. RSC Adv. 2019, 9, 17664–17673. [Google Scholar] [CrossRef]
- Tang, W.; Zhang, Y.; Guo, H.; Liu, Y. Heterogeneous Activation of Peroxymonosulfate for Bisphenol AF Degradation with BiOI0.5Cl0.5. RSC Adv. 2019, 9, 14060–14071. [Google Scholar] [CrossRef] [PubMed]
- Li, M.; Jin, Y.T.; Yan, J.F.; Liu, Z.; Feng, N.X.; Han, W.; Huang, L.W.; Li, Q.K.; Yeung, K.L.; Zhou, S.Q.; et al. Exploration of Perfluorooctane Sulfonate Degradation Properties and Mechanism via Electron-Transfer Dominated Radical Process. Water Res. 2022, 215, 118259. [Google Scholar] [CrossRef] [PubMed]
- Li, M.; Jin, Y.T.; Cao, D.Y.; Yang, L.L.; Yan, J.F.; Zhang, Z.X.; Liu, Z.; Huang, L.W.; Zhou, S.Q.; Cheng, J.L.; et al. Efficient Decomposition of Perfluorooctane Sulfonate by Electrochemical Activation of Peroxymonosulfate in Aqueous Solution: Efficacy, Reaction Mechanism, Active Sites, and Application Potential. Water Res. 2022, 221, 118778. [Google Scholar] [CrossRef] [PubMed]
- Li, X.; Liu, X.; Lin, C.; Zhang, H.; Zhou, Z.; Fan, G.; Ma, J. Cobalt Ferrite Nanoparticles Supported on Drinking Water Treatment Residuals: An Efficient Magnetic Heterogeneous Catalyst to Activate Peroxymonosulfate for the Degradation of Atrazine. Chem. Eng. J. 2019, 367, 208–218. [Google Scholar] [CrossRef]
- Noorisepehr, M.; Ghadirinejad, K.; Kakavandi, B.; Ramazanpour Esfahani, A.; Asadi, A. Photo-Assisted Catalytic Degradation of Acetaminophen Using Peroxymonosulfate Decomposed by Magnetic Carbon Heterojunction Catalyst. Chemosphere 2019, 232, 140–151. [Google Scholar] [CrossRef]
- Chen, W.S.; Huang, C.P. Mineralization of Aniline in Aqueous Solution by Electrochemical Activation of Persulfate. Chemosphere 2015, 125, 175–181. [Google Scholar] [CrossRef]
- Hassani, A.; Eghbali, P.; Mahdipour, F.; Wacławek, S.; Lin, K.Y.A.; Ghanbari, F. Insights into the Synergistic Role of Photocatalytic Activation of Peroxymonosulfate by UVA-LED Irradiation over CoFe2O4-RGO Nanocomposite towards Effective Bisphenol A Degradation: Performance, Mineralization, and Activation Mechanism. Chem. Eng. J. 2023, 453, 139556. [Google Scholar] [CrossRef]
- Shen, Y.; Martín de Vidales, M.J.; Espíndola, J.C.; Gómez-Herrero, A.; Dos santos-García, A.J. Paracetamol Degradation by Photo-Assisted Activation of Peroxymonosulfate over ZnxNi1−xFe2O4@BiOBr Heterojunctions. J. Environ. Chem. Eng. 2021, 9, 106797. [Google Scholar] [CrossRef]
- Lin, K.A.; Chang, H. Zeolitic Imidazole Framework-67 (ZIF-67) as a Heterogeneous Catalyst to Activate Peroxymonosulfate for Degradation of Rhodamine B in Water. J. Taiwan Inst. Chem. Eng. 2015, 53, 40–45. [Google Scholar] [CrossRef]
- Bandala, E.R.; Peláez, M.A.; Dionysiou, D.D.; Gelover, S.; Garcia, J.; Macías, D. Degradation of 2,4-Dichlorophenoxyacetic Acid (2,4-D) Using Cobalt-Peroxymonosulfate in Fenton-like Process. J. Photochem. Photobiol. A Chem. 2007, 186, 357–363. [Google Scholar] [CrossRef]
- He, J.; Yang, J.; Jiang, F.; Liu, P.; Zhu, M. Photo-Assisted Peroxymonosulfate Activation via 2D/2D Heterostructure of Ti3C2/g-C3N4 for Degradation of Diclofenac. Chemosphere 2020, 258, 127339. [Google Scholar] [CrossRef]
- Karim, A.V.; Hassani, A.; Eghbali, P.; Nidheesh, P.V. Nanostructured Modified Layered Double Hydroxides (LDHs)-Based Catalysts: A Review on Synthesis, Characterization, and Applications in Water Remediation by Advanced Oxidation Processes. Curr. Opin. Solid State Mater. Sci. 2022, 26, 100965. [Google Scholar] [CrossRef]
- Liu, Y.; Guo, H.; Zhang, Y.; Cheng, X.; Zhou, P.; Wang, J.; Li, W. Fe@C Carbonized Resin for Peroxymonosulfate Activation and Bisphenol S Degradation. Environ. Pollut. 2019, 252, 1042–1050. [Google Scholar] [CrossRef]
- Kohantorabi, M.; Moussavi, G.; Giannakis, S. A Review of the Innovations in Metal- and Carbon-Based Catalysts Explored for Heterogeneous Peroxymonosulfate (PMS) Activation, with Focus on Radical vs. Non-Radical Degradation Pathways of Organic Contaminants. Chem. Eng. J. 2021, 411, 127957. [Google Scholar] [CrossRef]
- Khalil, Z.A.; Baalbaki, A.; Bejjani, A.; Ghauch, A. MIL88-A as a Mediator for the Degradation of Sulfamethoxazole in PS Systems: Implication of Solar Irradiation for Process Improvement. Environ. Sci. Adv. 2022, 1, 797–813. [Google Scholar] [CrossRef]
- Yang, Q.; Choi, H.; Al-Abed, S.R.; Dionysiou, D.D. Iron-Cobalt Mixed Oxide Nanocatalysts: Heterogeneous Peroxymonosulfate Activation, Cobalt Leaching, and Ferromagnetic Properties for Environmental Applications. Appl. Catal. B Environ. 2009, 88, 462–469. [Google Scholar] [CrossRef]
- Huang, F.; An, Z.; Moran, M.J.; Liu, F. Recognition of Typical Antibiotic Residues in Environmental Media Related to Groundwater in China (2009–2019). J. Hazard. Mater. 2020, 399, 122813. [Google Scholar] [CrossRef]
- Yan, W.; Xiao, Y.; Yan, W.; Ding, R.; Wang, S.; Zhao, F. The Effect of Bioelectrochemical Systems on Antibiotics Removal and Antibiotic Resistance Genes: A Review. Chem. Eng. J. 2019, 358, 1421–1437. [Google Scholar] [CrossRef]
- Liu, D.; Li, H.; Gao, R.; Zhao, Q.; Yang, Z.; Gao, X.; Wang, Z.; Zhang, F.; Wu, W. Enhanced Visible Light Photoelectrocatalytic Degradation of Tetracycline Hydrochloride by I and P Co-Doped TiO2 Photoelectrode. J. Hazard. Mater. 2021, 406, 124309. [Google Scholar] [CrossRef] [PubMed]
- dos Santos, A.J.; Kronka, M.S.; Fortunato, G.V.; Lanza, M.R.V. Recent Advances in Electrochemical Water Technologies for the Treatment of Antibiotics: A Short Review. Curr. Opin. Electrochem. 2021, 26, 100674. [Google Scholar] [CrossRef]
- Peralta-Hernández, J.M.; Brillas, E. A Critical Review over the Removal of Paracetamol (Acetaminophen) from Synthetic Waters and Real Wastewaters by Direct, Hybrid Catalytic, and Sequential Ozonation Processes. Chemosphere 2023, 313, 137411. [Google Scholar] [CrossRef]
- Zhu, L.; Shi, Z.; Deng, L. Enhanced Heterogeneous Degradation of Sulfamethoxazole via Peroxymonosulfate Activation with Novel Magnetic MnFe2O4/GCNS Nanocomposite. Colloids Surf. A Physicochem. Eng. Asp. 2021, 621, 126531. [Google Scholar] [CrossRef]
- Poza-Nogueiras, V.; Moratalla, A.; Pazos, M.; Sanroman, A.; Sáez, C.; Rodrigo, M.A. Exploring the Pressurized Heterogeneous Electro-Fenton Process and Modelling the System. Chem. Eng. J. 2022, 431, 133280. [Google Scholar] [CrossRef]
- Yu, Y.-P.; Pan, M.-M.; Jiang, M.; Yu, X.; Xu, L. Facile Synthesis of Self-Assembled Three-Dimensional Flower-like Cu-MOF and Its Pyrolytic Derivative Cu-N-C450 for Diverse Applications. J. Environ. Chem. Eng. 2023, 11, 109400. [Google Scholar] [CrossRef]
- Blanco-Canella, P.; Lama, G.; Sanromán, M.A.; Pazos, M. Disinfection through Advance Oxidation Processes: Optimization and Application on Real Wastewater Matrices. Toxics 2022, 10, 512. [Google Scholar] [CrossRef] [PubMed]
- Nightingale, P.; Miruszenko, L.; Shillam, R.; Christian, P.; Elliott, T.S.J. Role of Copper in Reducing Hospital Environment. J. Hosp. Infect. 2010, 74, 72–77. [Google Scholar] [CrossRef]
- Chakraborty, D.; Musib, D.; Saha, R.; Das, A.; Raza, M.K.; Ramu, V.; Chongdar, S.; Sarkar, K.; Bhaumik, A. Highly Stable Tetradentate Phosphonate-Based Green Fl Uorescent Cu-MOF for Anticancer Therapy and Antibacterial Activity. Mater. Today Chem. 2022, 24, 100882. [Google Scholar] [CrossRef]
- Fu, A.; Liu, Z.; Sun, Z. Cu/Fe Oxide Integrated on Graphite Felt for Degradation of Sulfamethoxazole in the Heterogeneous Electro-Fenton Process under near-Neutral Conditions. Chemosphere 2022, 297, 134257. [Google Scholar] [CrossRef] [PubMed]









| Catalyst Dosage (g/L) | k (min−1) | R2 | Rhodamine B Removal at 60 min (%) | |
|---|---|---|---|---|
| CuFe(BDC-NH2)S | 0.125 | 0.0316 | 0.9936 | 82.52 |
| 0.25 | 0.0650 | 0.997 | 93.22 | |
| 0.50 | 0.0717 | 0.9735 | 90.66 | |
| CuFe(BDC-NH2)D | 0.125 | 0.0112 | 0.9877 | 52.47 |
| 0.25 | 0.0637 | 0.9709 | 91.80 | |
| 0.50 | 0.0841 | 0.9567 | 94.36 | |
| CuFe(BDC-NH2)R | 0.125 | 0.0067 | 0.9896 | 38.02 |
| 0.25 | 0.0091 | 0.9869 | 45.24 | |
| 0.50 | 0.0215 | 0.9634 | 49.89 |
Disclaimer/Publisher’s Note: The statements, opinions and data contained in all publications are solely those of the individual author(s) and contributor(s) and not of MDPI and/or the editor(s). MDPI and/or the editor(s) disclaim responsibility for any injury to people or property resulting from any ideas, methods, instructions or products referred to in the content. |
© 2023 by the authors. Licensee MDPI, Basel, Switzerland. This article is an open access article distributed under the terms and conditions of the Creative Commons Attribution (CC BY) license (https://creativecommons.org/licenses/by/4.0/).
Share and Cite
Fdez-Sanromán, A.; Lomba-Fernández, B.; Pazos, M.; Rosales, E.; Sanromán, A. Peroxymonosulfate Activation by Different Synthesized CuFe-MOFs: Application for Dye, Drugs, and Pathogen Removal. Catalysts 2023, 13, 820. https://doi.org/10.3390/catal13050820
Fdez-Sanromán A, Lomba-Fernández B, Pazos M, Rosales E, Sanromán A. Peroxymonosulfate Activation by Different Synthesized CuFe-MOFs: Application for Dye, Drugs, and Pathogen Removal. Catalysts. 2023; 13(5):820. https://doi.org/10.3390/catal13050820
Chicago/Turabian StyleFdez-Sanromán, Antia, Bárbara Lomba-Fernández, Marta Pazos, Emilio Rosales, and Angeles Sanromán. 2023. "Peroxymonosulfate Activation by Different Synthesized CuFe-MOFs: Application for Dye, Drugs, and Pathogen Removal" Catalysts 13, no. 5: 820. https://doi.org/10.3390/catal13050820
APA StyleFdez-Sanromán, A., Lomba-Fernández, B., Pazos, M., Rosales, E., & Sanromán, A. (2023). Peroxymonosulfate Activation by Different Synthesized CuFe-MOFs: Application for Dye, Drugs, and Pathogen Removal. Catalysts, 13(5), 820. https://doi.org/10.3390/catal13050820

