Abstract
A photocatalytic effect arises from the electron relaxation of semiconductors. Directing the electron relaxation toward photocatalytic reactions is the focus of photocatalytic studies. Co-catalyst decoration is a main way to modulate the electron relaxation, and the Cu(II) nanoparticles have been widely studied as an important co-catalyst. However, the detailed mechanism is still not well known. The current study is devoted to investigating the effect of the Cu(II) nanoparticle decoration on the electron relaxations for TiO2 through in situ photochromism and photoconductances, based on which the relation to the photocatalytic properties was discussed. The result shows that the Cu(II)/Cu(0) redox couple assists the double electron transfer from TiO2 to O2, while the Cu(I)/Cu(0) redox couple assists the single electron transfer to O2. Although the Cu(II) decoration changes the mechanism and increases the rate of the electron relaxations, the electron relaxation does not occur via the Cu redox couple assistance. It was found that the electron relaxation kinetics depends on the reduced Cu species, which can be greatly increased when the Cu(II) was reduced to Cu(0). It is also revealed that the electron relaxation corresponds to the electron transfer from TiO2 to O2, but it does not occur through the Cu redox couple assistance. The result also shows that the increase in the electron relaxation is mainly directed toward the recombination rather than photocatalytic reactions. The present research gains some insights on the role of the co-catalysts in the electron relaxations and its relation to photocatalysis; this should be meaningful for designing novel photocatalytic materials.
1. Introduction
Under the background of the urgent CO2 emission cutting to limit the global warming, the photocatalysis provides a useful way to dispose of this challenge, and it has been widely studied in CO2 reduction, [1,2] H2 generation, [3,4] and pollutant removals [5,6]. The photocatalytic effect results from the electron relaxation from the conduction band (CB) of a semiconductor to its valence band (VB) via the interfacial transfer that can cause chemical reactions [7,8]. From this viewpoint, directing the electron relaxation toward photocatalytic pathways is a basic thought to increase photocatalytic properties. The modification of semiconductors with co-catalysts has been universally adopted to alter the electron relaxations [9,10,11,12]. However, whether the electron relaxation can be directed toward photocatalytic reactions is not well known.
Among many co-catalysts, CuxO nanoparticles have been studied as the important co-catalysts for modulating electron relaxation kinetics [13,14,15]. Many studies had reported that the CuxO nanoparticles decoration could increase the electron transfer for H2 generation and CO2 reduction [16,17,18]; they had been also used to increase the photocatalytic organic oxidations [19,20,21]. A widely accepted viewpoint for the role of CuxO co-catalysts is altering electron transfer pathways. In this mechanism, the photoinduced electrons located at semiconductors firstly transport to the CuxO sites and reduce them; then, the reduced Cu states can be re-oxidized by transferring the electrons to the electron acceptors, such as H+ or O2 [22,23]. This mechanism is known as the Cu redox pair-assisted electron transfer. As the potentials of the Cu(II)/Cu(0) and Cu(II)/Cu(I) redox couples are more positive than those of the O2/O2−, it was proposed that the Cu redox pair-assisted electron transfer mainly occurs through double electron transfer mode; this led to an increase in the visible light-responsive photocatalytic oxidations [24]. It had been also reported that the acetaldehyde photocatalytic oxidation over TiO2 can be increased by CuxO decoration under UV light illumination [25].
Although using ultra-transient techniques, including time-resolved microwave conductivity and femtosecond transient optical absorption, Refs. [26,27] had revealed that the electron transfer from TiO2 to CuxO species is very fast, the fast kinetics does not mean that the CuxO co-catalysts can increase the whole electron relaxation relating with the photocatalytic reactions that generally occur at much slower rates [28]. The current research mainly considered the TiO2 modified with the CuO (Cu(II)) nanoparticles, which are written as Cu(II)/TiO2 below. Under UV light illumination, the in situ photochromism and photoconductances were used to disclose the mechanism of the electron relaxation and the related electron kinetics. Some different insights on the mechanism of co-catalysts in photocatalysis were gained in the current research, which are meaningful for designing the highly active photocatalysts that can direct the electron relaxation toward photocatalysis.
2. Results and Discussion
2.1. Physical Characterization
The Cu-decorated samples have the XRD patterns that are the same as that of the undecorated sample (Figure S1), which shows the diffraction peaks of the P25 including the anatase and rutile phases. The XRD peaks corresponding to the Cu-related materials were not identified due to low loaded amounts. The ICP analysis shows that the real Cu contents are 0.04 wt.%, 0.13 wt.%, and 0.97 wt.% for the Cu(II)/TiO2 with 0.05 wt.%, 0.25 wt.%, and 1.0 wt.% designed contents. It can be seen that the real contents increase with the designed amounts. Figure 1a shows the TEM image of the 1.0 wt.% Cu(II)/TiO2 sample, and it can be seen that the nanoparticles uniformly distribute over the TiO2 surfaces, while the pristine TiO2 has not. The size distribution of the Cu(II) nanoparticles is shown in the inset of Figure 1b; this shows that the Cu(II) nanoparticles almost has a monodispersion at ~3 nm. The distribution of Cu elements over the TiO2 nanoparticles was also proved by the EDX element mapping, as shown in Figure 1b. It can be seen that the Cu species randomly locate over the TiO2 nanoparticles, and they should exist in very small nanoparticles. As the method used to load the Cu(II) nanoparticles is similar to the reference [22], it is also considered that that the Cu(II) nanoparticles are incorporated in a distorted amorphous CuO-like structure, having a five-coordinated square pyramidal form.
Figure 1.
(a) TEM image of the 1.0 wt.% Cu(II)/TiO2 sample and the Cu(II) nanoparticle distribution; (b) EDX mapping of the Cu element over the TiO2 nanoparticles.
Figure 2 shows the normalized UV-vis-NIR diffusion absorption spectra of the pristine TiO2 and Cu(II)/TiO2 samples. The undecorated sample shows no visible and near-IR absorption, and the absorption spectrum of the 0.05 wt.% Cu(II)/TiO2 is almost the same as that of the pristine TiO2 due to the low loaded amount, while the 0.25 wt.% and 1.0 wt.% Cu(II)/TiO2 sample present a wide absorption band from 600 to 1300 nm; this arises from the d-d transition of Cu3d electrons [29].
Figure 2.
UV-vis-NIR absorption spectra of the pristine TiO2 and Cu (II)/TiO2 samples.
2.2. Photochromism and Chemical State Shift
The pristine TiO2 becomes blue under light illumination in methanol-contained N2. A featureless spectral absorption presents under UV light illumination (Figure S2 green line) due to the electron localization at defect states that include oxygen defects and Ti sites (Ti3+ ions) [30]. The absorption of the pristine TiO2 in pure N2 is lower (Figure S2, red line), and almost no photochromism presents in air (Figure S2 blue line). The result indicates that the accumulated electrons can transfer to O2 as the O2 molecules are good electron acceptors.
Figure 3a shows the absorption spectra of the Cu(II)/TiO2 samples loaded with different amounts of Cu(II) nanoparticles before and just after UV light illumination in methanol-contained N2 atmosphere. It can be seen that the 1.0 wt.% Cu(II)/TiO2 becomes dark blue and presents a strong wide absorption in the visible light region (black line), and a clear Cu localized surface plasmon resonance (LSPR) peak at ~590 nm can be seen. Ref. [31] shows that the Cu(II) species are reduced as metallic Cu(0). The 0.25 wt.% Cu(II)/TiO2 shows a similar shallow color change and the metallic Cu LSPR despite the low visible absorption. Although the dark spectrum of the 0.05 wt.% Cu(II)/TiO2 is almost the same as that of the pristine TiO2, the metallic Cu LSPR also presents after the light illumination, meaning that the Cu(II) nanoparticles were loaded over the TiO2 surfaces. In additional to the Cu LSPR, a featureless absorption similar to that of the pristine TiO2 also presents, so the electrons can be accumulated in TiO2 when the Cu(II) amount is low. Figure 3a also shows that the number of the electrons accumulated in TiO2 decreases with the increase in Cu(II) amounts.
Figure 3.
(a) UV-vis-NIR diffusion absorption spectra of the Cu(II)/TiO2 samples after 375 nm laser illumination in methanol-contained N2; (b) UV-vis-NIR diffusion absorption spectra of the 1.0% wt.% Cu(II)/TiO2 before (black line) and after UV light illumination in methanol-contained N2 (red line), pure N2 (blue line), and pure O2 (purple line).
As the photochromism of the pure TiO2 (Figure S2) is different from that of the Cu(II)/TiO2, so the atmosphere-dependent photochromism of the 0.25 wt.% and 1.0 wt.% Cu(II)/TiO2 mainly arises from the Cu state shift that results from the electron transfer from TiO2 to the Cu(II) sites. The absorption spectra of the 1.0 wt.% Cu(II)/TiO2 before and just after the light illumination in different atmospheres were further checked to see the Cu state change, as shown in Figure 3b. As compared to the dark blue color in methanol-contained N2, the sample becomes orange in pure N2, and the absorption spectrum (blue line) does not show the Cu plasmon peak, agreeing well with the absorption of Cu(I)/TiO2, Ref. [23], meaning that the Cu(II) is reduced to Cu(I). In addition, the Cu(II)/TiO2 also undergo slight photochromism in pure O2, indicating that a slight reduction of Cu(II) to Cu(I) can also occur.
The XPS spectra were monitored under in situ 375 nm laser illumination to see the Cu state change. Figure 4 shows the Cu2p core-level XPS spectra measured in the dark and under in situ 375 nm laser light illumination. The first dark scan (Dark-1st) shows that the Cu states are composed of Cu(I)/Cu(0) and Cu(II) states [32,33]. The second dark scan (Dark-2st) shows that almost the Cu(II) species are reduced to Cu(I)/Cu(0) states under ultra-vacuum condition, and the Cu(II)-satellite signal is weakened [22,23]. Therefore, combining the UV-vis-NIR analysis, it can be known that the Cu chemical state should be Cu(II). The in situ 375 nm laser illumination almost cannot affect the Cu2p3/2 and Cu2p1/2 peaks because they are already reduced under vacuum, but it can lead to a complete absence of the Cu(II) satellite peak. It might indicate that the Cu(II) species are reduced by the light illumination, although the difference is not obvious; this is also in good accordance with the above spectroscopic analysis. This result agrees with the in situ XANEF and EPR studies that observed that the Cu(II) structure can be reduced to Cu(I) by UV light illumination under vacuum [22]. The light illumination almost has no effect on the Ti2p and O1s spectra, showing that the electron accumulated in TiO2 cannot cause an observable change in Ti states.
Figure 4.
Cu2p high-resolution XPS spectra of the Cu(II)/TiO2 before and under the light illumination.
2.3. Atmosphere-Dependent Photochromism and Electron Relaxation Mechanism
Water vapor should be needed in the double-electron transfer mode under gaseous conditions according to its mechanism. We examined the effect of water vapor on the re-oxidations of the in situ formed Cu(0) species. The Cu(II) was firstly reduced as Cu(0) by the 375 nm laser illumination in methanol-contained N2, and then the effect of dry O2 and O2-H2O atmospheres on the UV-vis-NIR absorption spectra were studied, as shown in Figure 5a. It can be seen that the long time O2 exposure cannot change the Cu LSPR, while the additional water exposure can change the metallic Cu(0) to Cu(II) species. The indispensable role of water vapor means that the Cu(II)/Cu(0) redox couple should assist the double-electron transfer to O2; this is in good agreement with the study [24]. In addition, the Cu(II) species was also reduced as Cu(I) under the light illumination in pure N2, and then the effect of dry O2 is studied, as shown in Figure 5b. It can be seen that the exposure to O2 leads to a slow decrease in the absorption spectrum, indicating that the Cu(I) can be oxidized by dry O2; this means that the Cu(II)/Cu(I) redox couple can assist the single electron transfer but in a slow rate. For the pristine TiO2, the light-induced absorption can be decreased by exposing to O2 at a faster rate, showing that the single electron transfer from TiO2 to O2 can occur more quickly as compared to the change of Cu state (Figure S3).
Figure 5.
UV-vis-NIR absorption spectra of the 1.0 wt.% Cu(II)/TiO2 in methanol-contained N2 (a) and pure N2 (b), before the light illumination, just after the light illumination, after O2 exposure for different time interval, and after water vapor introduction.
The in situ time-dependent absorption at 450 nm, which reflects the continuous change of the Cu states, was also measured to show the mechanism and kinetics of the Cu redox state shift. Figure 6a shows the absorption change for the 1.0 wt.% Cu/TiO2 in methanol-contained N2. Under UV light illumination, the increase in the absorption means that the Cu(II) is reduced to Cu(0) by the electrons from the TiO2. After the end of the light illumination, the metallic Cu(0) state is stable in methanol-contained N2 as the absorption does not change. Exposure to dry O2 (black line) cannot make the absorption decrease, so the metallic Cu(0) does not undergo oxidization in dry O2. Additional water vapor introduction can result in a continuous slow decrease in the absorption. If only the water vapor was introduced, the absorption is almost unaffected (red line). This result therefore indicates that the Cu(0) oxidation by O2 should occur via the double electron-transfer, agreeing well with the spectroscopic analysis. Figure 6b shows the absorption change of the Cu(II)/TiO2 in pure N2. Just after the light illumination, the absorption decrease shows the oxidation of the Cu(I) states in residual O2, which becomes faster under the exposure to dry O2, so the Cu(I) can be oxidized by O2. The water vapor exposure does not affect the Cu(I) oxidation. It is also seen (red line) that the pure water vapor does not affect relaxation rate. The sudden decrease just after water vapor introduction should come from the residual O2 in the gas-line tubes. This result also accords with the spectroscopic observation that the Cu(II)/Cu(I) redox couple assists the single-electron transfer and the EPR analysis [24].
Figure 6.
Dynamic change in the absorptions at 450 nm for 1.0 wt.% Cu(II)/TiO2 under 375 nm laser illumination in the methanol-contained N2 (a) and pure N2 (b).
2.4. Photoinduced Absorptions at 1550 nm
The 1550 nm absorptions, which mainly arise from the accumulated electrons in TiO2, were also measured to show the effect of the Cu(II) decoration on the electron relaxation. Figure 7a shows the absorption change for the TiO2 and Cu(II)/TiO2 samples in methanol-contained N2. It can be seen that the steady absorptions decrease with the Cu(II) contents. After the end of light illumination, it can be seen that the rates of the absorption relaxations increase with the Cu contents. Before the exposure to O2, the slow relaxation of the undecorated TiO2 is ascribed to the electron transfer to residual O2 [34], with the exposure of O2 further increasing the relaxation rate. For the 1.0 wt.% Cu/TiO2, the photoinduced absorption cannot be well identified, meaning that the electrons cannot be accumulated in the TiO2 phase due to the fast electron relaxation. Figure 7b shows the absorption change for the TiO2 and Cu(II)/TiO2 in pure N2. It can be seen that the clear absorption can be obtained for the TiO2 and 0.05 wt.% Cu(II)/TiO2. The absorption of the 0.25 wt.% Cu(II)/TiO2 is very low, and that of 1.0 wt. % Cu(II)/TiO2 cannot be obtained. The result shows that the absorption relaxation rates also increase with the Cu(II) contents in pure N2. It can be seen that the increase in the electron relaxation is higher in methanol-contained N2 than that in pure N2; this will be discussed below by means of the photoconductance measurements below. Under 360 nm UV light excitation, the steady photoluminescent spectra of the undecorated TiO2 and the Cu(II)/TiO2 were also measured (Figure S4). It is seen that the photoluminescent intensity decreases with the Cu(II) nanoparticle loaded amounts. As the increase in the electron relaxation decreases the number of the electrons that can attend irradiative recombination, the steady photoluminescent results can agree with the above photo-absorption relaxation result.
Figure 7.
Dynamic change of the absorptions at 1550 nm under the UV light illumination and after the UV light illumination in methanol-contained N2 (a) and pure N2 (b).
2.5. Atmosphere-Dependent Photoconductances and Relaxation Kinetics
The photoconductances were measured to study the effect of Cu(II) decoration on the electron relaxations under the same conditions. For the nanocrystalline TiO2 studied, the photoconductances under the UV light illumination are mainly ascribed to the conductance electron density. Therefore, the conductance relaxations can reflect the relaxation of the photoinduced electrons accumulated in TiO2. We compared the photoconductance changes of the TiO2, 0.05 wt.% Cu(II)/TiO2, and 0.25 wt.% Cu(II)/TiO2 in methanol-contained N2 and pure N2 at 40 °C, as shown in Figure 8a,b, respectively. In the two atmospheres, the Cu(II) species are reduced as Cu(0) and Cu(I), respectively. Independent of the atmospheres, it can be seen that the steady photoconductance of the Cu(II)/TiO2 is lower than that of the TiO2, and the photoconductance relaxation can be increased by the Cu(II) decoration for both atmospheres; this can accord with the absorption relaxations (Figure 7), showing that the Cu(II) decoration could indeed increase the electron relaxation rates.
Figure 8.
(a) Dynamic change of the photocurrents measured under and after the UV light illumination for the undecorated, 0.05 wt.%, and 0.25%wt. Cu(II)/TiO2 in methanol-contained N2; (b) Dynamic change of the photocurrents measured under and after the UV light illumination for the undecorated, 0.05 wt.%, and 0.25 wt.% Cu(II)/TiO2 in pure N2.
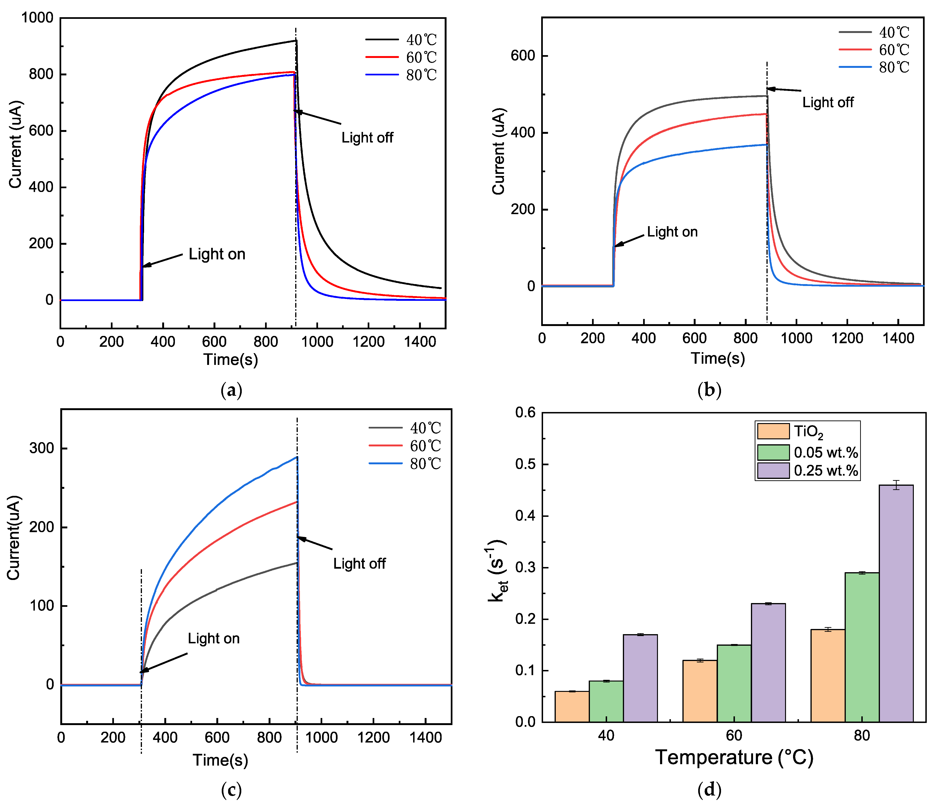
The dynamic changes of the photoconductances for the TiO2, 0.05 wt.% Cu(II)/TiO2 and 0.25 wt.% Cu(II)/TiO2 were measured in methanol-contained N2 and pure N2 at different temperatures to show the effect of the Cu(II) decoration on the electron relaxation kinetics, as shown in Figure 9 and Figure 10, respectively. In the methanol-contained N2, it can be seen that that the steady photoconductances of the TiO2 decreases (Figure 9a), while those (Figure 9b,c) of the Cu(II)/TiO2 increase with the temperatures, indicating that the Cu(II) nanoparticle decoration changes the electron relaxation mechanism. The conductance relaxations after the end of the light illumination are normalized (Figures S5–S7), based on which the ket value of the electron relaxations just after the end of the light illumination was obtained according to the quasi-first-order kinetics, as shown in Figure 9d. The ket of the TiO2 increases with temperatures, while that of the Cu(II)/TiO2 tends to decrease as the temperatures increases; this is in accordance with our previous studies [35]. In addition to the mechanism, it can be also seen that the relaxation rates are greatly increased by the Cu(II) nanoparticle decoration in the methanol-contained N2.

Figure 9.
Photoconductances of the TiO2 (a), 0.05 wt.% Cu(II)/TiO2 (b) and 0.25 wt.% Cu(II)/TiO2 (c) measured in the methanol-contained N2 atmosphere at different temperatures; (d) ket values of the conductance relaxations.
Figure 10.
Photoconductances of the pristine TiO2 (a), 0.05 wt%. Cu(II)/TiO2 (b) and 0.25 wt.% Cu(II)/TiO2 (c) measured in pure N2 at different temperatures; (d) ket values of the conductance relaxations.
For the Cu(II)/TiO2 samples, the electron relaxation consists of two parallel pathways, i.e., the relaxations that involve the Cu sites and do not involve the Cu sites, so we have
where ket,1 and ket,2 are the rate constants of the conductance relaxations involving and without involving the Cu sites. Thus, the contribution of the electron relaxation through the Cu sites is estimated by
Based on the data shown in Figure 9d, it is estimated that ~67%, 39%, and 0% of electrons relax via the Cu-assisted pathway for the 0.05% at. Cu(II)/TiO2 at 40, 60, and 80 °C, respectively. For the 0.25 wt.% Cu(II)/TiO2, ~99%, 96%, and 94% of the electrons can relax via the Cu-assisted pathway at 40, 60, and 80 °C, respectively. It can be known that almost all of the electrons can relax through the Cu sites in methanol-contained N2 when high amounts of Cu(II) nanoparticles are loaded.
In pure N2, it can be seen from Figure 10a,b that the steady photoconductances of the undecorated TiO2 and 0.05 wt.% Cu(II)/TiO2 decrease, while those (Figure 10c) of the 0.25 wt.% Cu(II)/TiO2 increase with the temperatures, showing that the effect of the Cu(II) decoration on the conductance relaxation in pure N2 is different from that in methanol-contained N2. Similarly, based on the normalized conductance relaxations (Figures S8–S10), the quasi-first-rate constants of the conduction relaxations just after the light illumination were obtained, as shown in Figure 10d. In the case of the TiO2, the temperature dependence of the ket is almost the same as that in methanol-contained N2, so the electron relaxation kinetics of the undecorated TiO2 in pure N2 is the same as that in methanol-contained N2. Differently, the ket values of both the Cu(II)/TiO2 samples increase with temperatures. For the 0.25 wt.% Cu(II)/TiO2, it can be seen that the ket is much lower than that in methanol-contained N2. Based on Equation (2), the contributions of the Cu(II) decoration on the electron relaxations are 25% (65%), 8% (48%), and 24% (61%) for the 0.05%wt. Cu(II)/TiO2 (0.25%wt. Cu(II)/TiO2) at 20, 40, and 60 °C, respectively.
The absorption and conductance relaxations both show that the electron relaxations of the Cu(II)/TiO2 are dependent on the methanol presence. The electron relaxations are significantly increased in methanol-contained N2 as compared to those in pure N2. As the methanol does not affect the electron relaxation of the undecorated TiO2, it is thus known that the Cu state should be responsible for the fast relaxation. The spectroscopical analysis (Figure 3) revealed that the Cu(II) is reduced as metallic Cu(0) in methanol-contained N2, and it does not undergo oxidation in dry O2. Therefore, the fast electron relaxation does not occur through the Cu(II)/Cu(0) redox couple-assisted electron transfer to O2. It is thus considered that the in situ formed metallic Cu sites should act as the co-catalysts that can greatly increase the electron relaxation. In pure N2, the Cu(II) is reduced to Cu(I). As revealed above (Figure 6b), the Cu(I)/Cu(0) redox couple electron transfer to the O2 can have a contribution to the electron relaxation. We compared the relaxations of the absorptions at 450 nm and 1550 nm (red line of Figure 6b and blue line of Figure 7b), which reflect the Cu(I)/Cu(0)-assisted electron transfer to O2 and the whole electron relaxation, respectively. It is found that the electron relaxation is much faster than the Cu(I)/Cu(0) redox couple-assisted electron transfer to O2. Therefore, rather than the Cu(I)/Cu(0) redox couple-assisted electron transfer to O2, it is also considered that Cu/TiO2 perimeters should contribute to the increase in the electron relaxation in pure N2.
It had been revealed that the electron transfer from TiO2 to Cu(II) nanoparticles occurs at a very fast rate, so the electrons located in the TiO2 and the Cu sites can be under the thermal equilibrium. The observed relaxations do not correspond to the electron transfer from the TiO2 to Cu(II), but they are the recombination or the interfacial transfer to the reactants. As a good electron acceptor, molecular O2 can greatly affect the absorption and conductance relaxations. Thus, although the measurements were conducted under inert conditions, the role of the residual O2 in the electron relaxation must be considered, so the electron relaxation increase cannot be simply attributed to the recombination. The photoconductances of the undecorated TiO2 and 0.25 wt.% Cu(II)/TiO2 were further measured under vacuum condition, with the effect of low partial pressure of O2 being studied. Figure 11a,b show the photoconductances measured under vacuum at the O2 partial pressure of 0.02 Pa and 6.0 Pa, respectively. It can be seen that the ~6.0 Pa of O2 has a great effect on the photoconductances, which were decreased by ~290 times and ~5300 times for the TiO2 and Cu(II)/TiO2, respectively. It can be known that the Cu(II)/TiO2 should be more sensitive to the low amounts of O2 exposure. It can be also seen from Figure 11a that the relaxation rates of the two samples are almost the same when the O2 pressure is ~0.02 Pa. Combining the photoconductances measured in pure N2, it is concluded that that the electron relaxation should occur through the electron transfer to the residual O2 rather than the direct recombination with the holes. The photoinduced holes are trapped over the TiO2 surfaces, so the electrons transferring to the Cu sites are impossible to be recombined as they are separated from the holes. Furthermore, combined with the above analysis, our experimental proofs also do not support that the increase in the electron transfer to O2 by the Cu(II) decoration in methanol-contained N2 and pure N2 cannot be ascribed to the Cu redox couple assistance.
Figure 11.
Photoconductances of the pristine TiO2 and 0.25 wt.% Cu(II)/TiO2 samples measured under vacuum at the O2 pressure of 0.02 Pa (a) and 6 Pa (b).
2.6. Photocatalytic Property and the Relation with the Electron Relaxation
The electron transfer to O2 can result in O2−, which is a reactive oxidative species (ROS) for the photocatalytic organic oxidations. The above results showed that the electron transfer to O2 is increased by the Cu(II) decoration, and the effect on the photocatalytic property is studied. Figure 12a and b show the CO2 evolution arising from the photocatalytic acetone oxidations over the TiO2 and the Cu(II)/TiO2 samples. It can be seen that the CO2 yields and the generation rates decrease with the Cu(II) amounts. It was also found that the Cu(II)/TiO2 sample becomes slightly yellow during the photocatalytic reactions, showing that the Cu(II) was reduced as the Cu(I) increased.
Figure 12.
(a) Time dependences of the CO2 generation during the photocatalytic acetone oxidations over the pristine and Cu(II)/TiO2 samples; (b) Total CO2 generation after the photocatalytic oxidations.
The absorption and photoconductances measured in pure N2 shows that the electron transfer to O2 can be increased by the Cu(II) decoration. Therefore, the above result means that the increase in the electron transfer to O2 cannot increase the photocatalytic activity, so the electron transfer to O2 is not rate-limited for the photocatalytic acetone oxidation. It had been revealed that the acetone molecule is irreversibly adsorbed over the TiO2 surfaces via η1-coordination to the Lewis acid sites (uncoordinated Ti sites or the oxygen vacancies) in the form of ((CH3)2C=O → Ti4+) [36,37]. In this case, the photoinduced holes can be trapped at the carbonyl group of the acetone molecule, and the electrons transfer to O2 through the Cu/TiO2 perimeter sites. The resulted O2− must transport to the acetone molecule so as to cause a photocatalytic reaction. There are two pathways through which the O2− can react with the adsorbed acetone molecule. As the O2− contains an electron in its anti-bonding orbital, it is a strong Lewis base site that can react with the methyl group of the acetone; this can lead to the hydrogen abstraction and acetone oxidation. In addition, the O2− can also recombine with the holes trapped at the carbonyl group of the acetone, and no photocatalytic reaction occurs in this case.
Thus, it is indicated that the increase in the electron transfer to O2 by the Cu(II) nanoparticles should contribute to the recombination. Different from our result, it had been also reported that the photocatalytic activities can be increased by the Cu decoration. For example, Zhang et al. reported that the TiO2 modified with CuxO shows a higher photocatalytic acetaldehyde oxidation under UV light illumination [12]. Li et al. also reported that the methylene blue degradation over TiO2 can be increased by CuO decoration [19]. Different from the organic oxidations that need the synergistic action of the holes and electrons, H2 generation in the presence of hole sacrificial agents under an inert condition should be increased by Cu(II) decoration, as reported in many studies [38,39]. Methanol is generally used as the sacrificial agent, and the Cu(II) nanoparticles can be reduced as metallic Cu sites, which can become good co-catalysts for the electron transfer. This can result in a great increase in H+ reduction at the Cu/TiO2 regions. Therefore, whether the electron relaxation can be directed toward the photocatalytic reactions should be dependent on the reaction types and the organic molecule configuration on the TiO2 surface.
3. Experimental Section
3.1. Sample Preparation
Commercially available Degussa P25 TiO2 powder (P25) was used as the source of the TiO2 without further treatment. Cu(II)/TiO2 photocatalysts were prepared by a simple precipitation method. Typically, 2 g of P25 powder was dispersed in 20 mL of 0.0078 M, 0.039 M, 0.156 M copper chloride dihydrate (CuCl2 2H2O) aqueous solutions under vigorous stirring to obtain the Cu(II) nanoparticle loading of 0.05 wt.%, 0.25 wt.% and 1.0 wt.%, respectively. Then, the mixed solutions were moved to a round-bottom flask, which was heated in an oil bath under constant stirring at 90 °C. After 1 h heating, 0.31 mL, 1.56 mL, 6.25 mL of 10 mM of NaOH solutions were added to the above mixed solution, which was further continuously reacted at 90 °C for 1 h. The final precipitates were washed several times with deionized water and then were ultrasonically dispersed in a glass container with deionized water, after which they were dried at 60 °C for 12 h. Finally, the dried precipitates were grounded into powder with agate mortar. For comparison, the undercoated TiO2 was also prepared according to the same procedure without the addition of CuCl2 2H2O.
3.2. Catalyst Characterization
X-ray diffraction (XRD; Empyrean, PANalytical, Almelo, The Netherland) was used to study the crystal structure, with Cu Kα radiation (λ = 0.154 nm) at 40 kV and 40 mA, in which the grazing angle is set to 0.1°. Field-emission transmission electron microscope (TEM; type: JEM2100F, JEOL, Tokyo, Japan) was used to check the morphology of the Cu(II)/TiO2 samples. Photoluminescence spectra were measured with a fluorescence spectrophotometer (PL; FL3-22, Jobin Yvon, Palaiseau, France) at an excitation wavelength of 360 nm and a scan speed of 1 nm/steep. The emission spectra of 300–800 nm in the visible region were measured. The full-spectrum direct-reading plasma emission spectrometer (ICP, Optima 4300DV, PerkinElmer, Waltham, MA, USA) was used to examine the loadings of Cu. High-resolution transmission electron microscopic energy-dispersive spectroscopic (EDS) images were taken with a transmission electron microscope (TEM; Talos F200S, FEI, Portland Oregon, USA) that was operating at 200 kV. The Cu valence state was determined with an X-ray photoelectron spectrometer (XPS; type: VG Multilab 2000, Thermo Scientific, Waltham, MA, USA), with an X-ray source working with the Al Kα radiation. The XPS spectrum under in situ UV light irradiation was measured with a 375 nm laser being used to irradiate the sample surface through the XPS window for 15 min. The binding energies of the samples were calibrated with respect to the adventitious carbon (C1s) as a reference line at 284.8 eV. The UV-vis-NIR diffusion reflectance spectra of the undecorated TiO2 and Cu(II)/TiO2 samples were measured by a UV-Vis-NIR spectrophotometer equipped with an optical integrating sphere in the wavelength range from 300 to 1300 nm (UV-2600, Shimadzu, Tokyo, Japan).
3.3. Photoconductance Measurement
In situ photoconductances of the pristine TiO2 and Cu(II)/TiO2 samples were obtained in a self-designed device based on our previous work [40,41]. A 0.05 mm wide FTO strip was removed from a 20 × 20 mm FTO glass by laser etching. The samples mixed with deionized water were ground to form a slurry and coated over the FTO glass, after which they were dried at 50 °C to form coatings for conductance measurements. Conductance measurements were performed with a Keithley-2450 SourceMeter with a 2 V bias voltage in two-probe mode. During the whole measurements, the methanol-contained N2 and pure N2 atmosphere was passed though the reaction chamber at a flow rate of 0.2 NL/min under the control of a flow meter. The coating conductances were firstly measured in the dark, and then under the light illumination, and again in the dark after the laser illumination. The 375 nm semiconductor laser was used as the light source, and the light intensity was checked with a Si photodetector (843-R-USB, Newport, Irvine, CA, USA). In addition, the conductances were also measured under vacuum at different O2 partial pressure that was controlled by a flow meter according to the same manner.
3.4. Photochromism Measurement
A closed sample cell that can be well matched to the integration sphere equipped in the UV-vis-NIR spectrophotometer (UV-2600, Shimadzu, Japan) was also designed to study the photochromism of the pristine and Cu(II)/TiO2 samples. The UV-vis-NIR diffusion absorption spectra of the samples before and after light irradiation were obtained in well-controlled different atmospheres. In addition, the single-wavelength diffuse absorptions at 450 nm and 1550 nm were also measured under and after the light illumination with a self-designed equipment in different atmospheres; a detailed description on the equipment was shown in our previous study [42]. The 375 nm semiconductor laser was used as the excitation light to illuminate the TiO2 samples for both diffusion absorption spectrum and single-wavelength absorption measurements. In the single-wavelength measurements, the 450 nm and 1550 nm signal light were provided with 450 nm and 1550 nm semiconductor lasers. The diffusion reflectance signals were firstly checked in the dark, and then under the light illumination, and again in the dark after the light illumination. The diffusion absorption is calculated by the following equation
where Rs is the reflection power of the samples, and the Rr is the reflection power of the referable sample (BaSO4)
For the above in situ photoconductances, UV-Vis-NIR spectroscopic spectra, in situ single-wavelength diffusion reflectance measurement, high-purity N2 was flowed through a glass bottle containing HPLC-grade liquid methanol at a rate of 0.2 NL/min to form the methanol-contained N2 atmosphere. A high-purity O2 stream that flowed through the sample cell at a speed of 0.2 NL/min was directly used as the O2 atmosphere.
3.5. Photocatalytic Experiments
Photocatalytic experiments were conducted in a self-designed quartz glass closed-circulation cylindrical batch reactor. A Pt100 resistance thermometer detector (RTD) was used to monitor the reaction temperatures. A Xeon lamp equipped with a 365 nm band-passed optical filter was used as the light source for the photocatalytic reactions. The 365 nm light ensures that the TiO2 was excited, so the role of the Cu(II) nanoparticles in modulating the charge carrier transfer could be discussed. The light intensity was kept at ~20 mW/cm2 for all experiments, which was monitored with a Si diode photodetector (Newport 843-R).
Then, 0.1 g of the pristine TiO2 and Cu(II)/TiO2 samples was dispersed ultrasonically with pure water in φ 50 mm glass containers. After heating to remove water, a thin coating of the sample formed on the container bottom was used for acetone photocatalysis. The samples were firstly pre-treated by UV light illumination for ~24 h to remove carbonate contaminants before starting photocatalytic reactions. Clean air was flowed through the reactor for ~15 min until the residual CO2 concentration was lower than 20 ppm. The reactor containing the samples was firstly kept in the dark for a while at ambient temperature, and then, the light was turned on to check the effect of residual carbonate. Lastly, 2 μL of liquid acetone was injected to the reactor to start the photocatalytic reactions. The concentration of CO2 was monitored on line with a photoacoustic IR multigas monitor (INNOVA Air Tech Instruments model 1412). The total CO2 generation under the light illuminations was used to evaluate the photocatalytic activity.
4. Conclusions
In summary, the photochromism analysis revealed that the Cu(II)/Cu(0) redox couple shift assists the double electron transfer from the TiO2 to O2, and the Cu(I)/Cu(0) redox couple can assist the single electron transfer to O2. The result also showed that the mechanism of the electron relaxations can be changed by the Cu(II) decoration. In methanol-contained N2, the electron relaxation was significantly increased because the in situ formed metallic Cu sites form the co-catalyst sites for promoting the electron relaxations, which should have nothing to do with the Cu redox couple assistance. However, if the Cu(II) was reduced as Cu(I) in pure N2, the increase in the electron relaxation is much lower as compared to that in methanol-contained N2. It also seems that the relaxation increase in pure N2 cannot be attributed to the Cu(I)/Cu(0) redox couple assistance. The results indicated that the electron relaxation of the Cu(II)/TiO2 should occur through the electron transfer to O2. However, the activity of photocatalytic acetone oxidations was decreased, although the electron transfer to O2 was increased by the Cu(II) decoration. Rather than the photocatalytic reactions, the electron relaxation was directed toward the recombination by the Cu(II) decoration in the present case.
Supplementary Materials
The following supporting information can be downloaded at: https://www.mdpi.com/article/10.3390/catal13030550/s1, Figure S1: XRD patterns of the undecorated and Cu(II) nanoparticle decorated TiO2 samples; Figure S2: UV-vis-NIR diffusion absorption spectra of the pristine before (black line) and after light illumination in methanol-contained N2, pure N2 (blue line), and pure O2 (purple line).; Figure S3: UV-vis-NIR diffusion absorption spectra of the pristine TiO2 in methanol-contained N2 before and just after light illumination, as well as after O2 exposure for different 1 min and 3 min; Figure S4: Steady photoluminescent spectra of the undecorated TiO2 and Cu(II)/TiO2 under 375 nm UV light illumination in air atmosphere; Figure S5: Normalized photocurrent relaxation of the pristine TiO2 in methanol-contained N2 at different temperatures; Figure S6: Normalized photocurrent relaxation of the 0.05 wt.% Cu(II)/TiO2 in methanol-contained N2 at different temperatures; Figure S7: Normalized photocurrent relaxation of the 0.25 wt.% Cu(II)/TiO2 in methanol-contained N2 at different temperatures; Figure S8: Normalized photocurrent relaxation of the pristine TiO2 in pure N2 at different temperatures; Figure S9: Normalized photocurrent relaxation of the 0.05 wt.% Cu(II)/TiO2 in pure N2 at different temperatures; Figure S10: Normalized photocurrent relaxation of the 0.25 wt.% Cu(II)/TiO2 in pure N2 at different temperatures.
Author Contributions
Experimental, Methodology, Data curation, Writing—original draft, B.Z. and L.W.; Investigation and Validation, L.X.; Conceptualization, Supervision, Project administration, Funding acquisition, Writing—review and editing, B.L. and X.Z. All authors have read and agreed to the published version of the manuscript.
Funding
B.L. thanks the National Key Research and Development of China (no. 2017YFE0192600) and the National Natural Science Foundation of China (no. 51772230). This work was also supported by the Guidance Project of Hubei Provincial Department of Education for Scientific Research (B2020246), the Research Fund for the Doctoral Program of Wuhan Technology and Business University (D2019008), and the Special Fund of Advantageous and Characteristic Disciplines (Group) of Hubei Province.
Data Availability Statement
The data that support the findings of this study are available from the corresponding author upon reasonable request.
Conflicts of Interest
The authors declare no conflict of interest.
References
- Hejazi, S.; Mohajernia, S.; Osuagwu, B.; Zoppellaro, G.; Andryskova, P.; Tomanec, O.; Kment, S.; Zboril, R.; Schmuki, P. On the controlled loading of single platinum atoms as a Co-catalyst on TiO2 anatase for optimized photocatalytic H2 generation. Adv. Mater. 2020, 32, 1908505. [Google Scholar] [CrossRef] [PubMed]
- Zhang, X.; Zhang, X.R.; Yang, P.; Chen, H.S.; Jiang, S.P. Black magnetic Cu-g-C3N4 nanosheets towards efficient photocatalytic H2 generation and CO2/benzene conversion. Chem. Eng. J. 2022, 450, 138030. [Google Scholar] [CrossRef]
- Wang, R.; Che, G.; Wang, C.; Liu, C.; Liu, B.; Ohtani, B.; Liu, Y.; Zhang, X. Alcohol plasma processed surface amorphization for photocatalysis. ACS Catal. 2022, 12, 12206–12216. [Google Scholar] [CrossRef]
- Zhang, Y.; Xia, B.; Ran, J.; Davey, K.; Qiao, S.Z. Atomic-level reactive sites for semiconductor-based photocatalytic CO2 reduction. Adv. Energy Mater. 2020, 10, 1903879. [Google Scholar] [CrossRef]
- Shayegan, Z.; Lee, C.S.; Haghighat, F. TiO2 photocatalyst for removal of volatile organic compounds in gas phase—A review. Chem. Eng. J. 2018, 334, 2408–2439. [Google Scholar] [CrossRef]
- Chu, L.; Zhang, J.; Wu, Z.; Wang, C.; Sun, Y.; Dong, S.; Sun, J. Solar-driven photocatalytic removal of organic pollutants over direct Z-scheme coral-branch shape Bi2O3/SnO2 composites. Mater. Charact. 2020, 159, 110036. [Google Scholar] [CrossRef]
- Liu, B.; Zhao, X.; Terashima, C.; Fujishima, A.; Nakata, K. Thermodynamic and kinetic analysis of heterogeneous photocatalysis for semiconductor systems. Phys. Chem. Chem. Phys. 2014, 16, 8751–8760. [Google Scholar] [CrossRef]
- Liu, B.; Wu, H.; Parkin, I.P. New insights into the fundamental principle of semiconductor photocatalysis. ACS Omega 2020, 5, 14847–14856. [Google Scholar] [CrossRef]
- Akel, S.; Dillert, R.; Balayeva, N.O.; Boughaled, R.; Koch, J.; Azzouzi, M.E.; Bahnemann, D.W. Ag/Ag2O as a Co-Catalyst in TiO2 photocatalysis: Effect of the Co-catalyst/photocatalyst mass ratio. Catalysts 2018, 8, 647. [Google Scholar] [CrossRef]
- Wang, C.; Fan, H.; Ren, X.; Wen, Y.; Wang, W. Highly dispersed PtO nanodots as efficient co-catalyst for photocatalytic hydrogen evolution. Appl. Surf. Sci. 2018, 462, 423–431. [Google Scholar] [CrossRef]
- Ran, J.; Gao, G.; Li, F.T.; Ma, T.Y.; Du, A.; Qiao, S.Z. Ti3C2 MXene co-catalyst on metal sulfide photo-absorbers for enhanced visible-light photocatalytic hydrogen production. Nat. Comm. 2017, 8, 13907. [Google Scholar] [CrossRef] [PubMed]
- Wang, C.H.; Zhang, X.T.; Liu, Y.C. Promotion of multi-electron transfer for enhanced photocatalysis: A review focused on oxygen reduction reaction. Appl. Surf. Sci. 2015, 358, 28–45. [Google Scholar] [CrossRef]
- Kumar, D.P.; Reddy, N.L.; Srinivas, B.; Durgakumari, V.; Roddatis, V.; Bondarchuk, O.; Karthik, M.; Ikuma, Y.; Shankar, M.V. Stable and active CuxO/TiO2 nanostructured catalyst for proficient hydrogen production under solar light irradiation. Sol. Energy Mater. Sol. Cells 2016, 146, 63–71. [Google Scholar] [CrossRef]
- Cui, L.; Niu, C.; Kang, Y.S.; Caruso, R.A.; Zhang, X.L. Durable CuxO/mesoporous T photocatalyst for stable and efficient hydrogen evolution. Nanoscale 2022, 14, 17460–17465. [Google Scholar] [CrossRef] [PubMed]
- Xi, H.; Xu, Y.; Zou, W.; Ji, J.; Cai, Y.; Wan, H.; Dong, L. Enhanced methanol selectivity of CuxO/TiO2 photocatalytic CO2 reduction: Synergistic mechanism of surface hydroxyl and low-valence copper species. J. CO2 Util. 2022, 55, 101825. [Google Scholar] [CrossRef]
- Qian, X.; Zhang, L.; Lin, Y.; Wang, M.; Wang, X.; Su, W. CuxO modified La2Sn2O7 photocatalyst with enhanced photocatalytic CO2 reduction activity. Appl. Surf. Sci. 2021, 568, 150985. [Google Scholar] [CrossRef]
- Liu, L.; Gao, F.; Zhao, H.; Li, Y. Tailoring Cu valence and oxygen vacancy in Cu/TiO2 catalysts for enhanced CO2 photoreduction efficiency. Appl. Catal. B Environ. 2013, 134, 349–358. [Google Scholar] [CrossRef]
- Ansari, F.; Sheibani, S.; Caudillo-Flores, U.; Fernández-García, M. Effect of TiO2 nanoparticle loading by sol–gel method on the gas-phase photocatalytic activity of CuxO–TiO2 nanocomposite. J. Sol-Gel Sci. Technol. 2020, 96, 464–479. [Google Scholar] [CrossRef]
- Li, G.; Dimitrijevic, N.M.; Chen, L.; Rajh, K.; Gray, K.A. Role of surface/interfacial Cu2+ sites in the photocatalytic activity of coupled CuO-TiO2 nanocomposites. J. Phys. Chem. C 2008, 112, 19040–19044. [Google Scholar] [CrossRef]
- Wang, K.; Bielan, Z.; Endo-Kimura, M.; Janczarek, M.; Zhang, D.; Kowalski, D.; Zielińska-Jurek, A.; Markowska-Szczupak, A.; Ohtani, B.; Kowalska, E. On the mechanism of photocatalytic reactions on CuxO@TiO2 core–shell photocatalysts. J. Mater. Chem. A 2021, 9, 10135–10145. [Google Scholar] [CrossRef]
- Xiang, Y.; Li, Y.; Zhang, X.; Zhou, A.; Jing, N.; Xu, Q. Hybrid CuxO–TiO2 porous hollow nanospheres: Preparation, characterization and photocatalytic properties. RSC Adv. 2017, 7, 31619–31627. [Google Scholar] [CrossRef]
- Irie, H.; Kamiya, K.; Shibamuma, T.; Miura, S.; Tryk, D.A.; Yokoyama, T.; Hashimoto, K. Visible light-sensitive Cu(II)-grafted TiO2 photocatalysts: Activities and X-ray absorption fine structure analyses. J. Phys. Chem. C 2009, 113, 10761–10766. [Google Scholar] [CrossRef]
- Qiu, X.; Miyauchi, M.; Sunada, K.; Minoshima, M.; Liu, M.; Lu, Y.; Li, D.; Shimodaira, Y.; Hosogi, Y.; Kuroda, Y.; et al. Hybrid CuxO/TiO2 nanocomposites as risk-reduction materials in indoor environments. ACS Nano 2012, 6, 1609–1618. [Google Scholar] [CrossRef] [PubMed]
- Nosaka, Y.; Takahashi, S.; Sakamoto, H.; Nosaka, A.Y. Reaction mechanism of Cu(II)-grafted visible-light responsive TiO2 and WO3 photocatalysts studied by means of ESR spectroscopy and chemiluminescence photometry. J. Phys. Chem. C 2011, 115, 21283–21290. [Google Scholar] [CrossRef]
- Kong, L.; Zhang, X.; Wang, C.; Wan, F.; Li, L. Synergic effects of CuxO electron transfer co-catalyst and valence band edge control over TiO2 for efficient visible-light photocatalysis. Chin. J. Catal. 2017, 38, 2120–2131. [Google Scholar] [CrossRef]
- Yamanaka, K.; Ohwaki, T.; Morikawa, T. Charge-carrier dynamics in Cu- or Fe-loaded nitrogen-doped TiO2 powder studied by femtosecond diffuse reflectance spectroscopy. J. Phys. Chem. C 2013, 117, 16448–16456. [Google Scholar] [CrossRef]
- Baldoví, H.G.; Neaţu, Ş.; Khan, A.; Asiri, A.M.; Kosa, S.A.; Garcia, H. Understanding the origin of the photocatalytic CO2 reduction by Au- and Cu-loaded TiO2: A microsecond transient absorption spectroscopy study. J. Phys. Chem. C 2015, 119, 6819–6827. [Google Scholar] [CrossRef]
- Yamakata, A.; Ishibashi, T.; Onishi, H. Water- and oxygen-induced decay kinetics of photogenerated electrons in TiO2 and Pt/TiO2: A time-resolved infrared absorption study. J. Phys. Chem. B 2001, 105, 7258–7262. [Google Scholar] [CrossRef]
- Miyauchi, M.; Irie, H.; Liu, M.; Qiu, X.; Yu, H.; Sunada, K.; Hashimoto, K. Visible-light-sensitive photocatalysts: Nanocluster-grafted titanium dioxide for indoor environmental remediation. J. Phys. Chem. Lett. 2016, 7, 75–84. [Google Scholar] [CrossRef]
- Savory, D.M.; McQuillan, A.J. Influence of formate adsorption and protons on shallow trap infrared absorption (STIRA) of anatase TiO2 during photocatalysis. J. Phys. Chem. Lett. 2013, 117, 23645–23656. [Google Scholar] [CrossRef]
- Marimuthu, A.; Zhang, J.; Linic, S. Tuning selectivity in propylene epoxidation by plasmon mediated photo-switching of Cu oxidation state. Science 2013, 339, 1590–1593. [Google Scholar] [CrossRef]
- Biesinger, M.C.; Lau, L.W.M.; Gerson, A.R.; Smart, R.S.C. Resolving surface chemical states in XPS analysis of first row transition metals, oxides and hydroxides: Sc, Ti, V, Cu and Zn. Appl. Surf. Sci. 2010, 257, 887–898. [Google Scholar] [CrossRef]
- Alotaibi, A.M.; Williamson, B.A.D.; Sathasivam, S.; Kafizas, A.; Alqahtani, M.; Sotelo-Vazquez, C.; Buckeridge, J.; Wu, J.; Nair, S.P.; Scanlon, D.O.; et al. Enhanced photocatalytic and antibacterial ability of Cu-doped anatase TiO2 thin films: Theory and experiment. ACS Appl. Mater. Interfaces 2020, 12, 15348–15361. [Google Scholar] [CrossRef]
- Sakaguchi, K.; Shimakawa, K.; Hatanaka, Y. Transport and recombination of photo-carriers under potential fluctuation in TiOx films prepared by rf magnetron sputtering method. Phys. Status Solidi C 2011, 8, 2796–2799. [Google Scholar] [CrossRef]
- Liu, B.; Wu, H.; Zhang, X.; Parkin, I.P.; Zhao, X. New Insight into the role of electron transfer to O2 in photocatalytic oxidations of acetone over TiO2 and the effect of Au cocatalyst. Phys. Chem. C 2019, 123, 30958–30971. [Google Scholar] [CrossRef]
- Zaki, M.I.; Hasan, M.A.; Pasupulety, L. Surface reactions of Acetone on Al2O3, TiO2, ZrO2, and CeO2: IR spectroscopic assessment of impacts of the surface acid-base properties. Langmuir 2001, 17, 768–774. [Google Scholar] [CrossRef]
- Mattsson, A.; Leideborg, M.; Laesson, K.; Westin, G.; Sterlund, O.L. Adsorption and solar light decomposition of acetone on anatase TiO2 and Niobium doped TiO2 thin films. J. Phys. Chem. 2006, 110, 1210–1220. [Google Scholar] [CrossRef]
- Saedy, S.; Hiemstra, N.; Benz, D.; Van Bui, H.; Nolan, M.; van Ommen, J.R. Dual promotional effect of CuxO clusters grown with atomic layer deposition on TiO2 for photocatalytic hydrogen production. Catal. Sci. Technol. 2022, 12, 4511–4523. [Google Scholar] [CrossRef]
- Tobaldi, D.M.; Kočí, K.; Edelmannová, M.; Lajaunie, L.; Figueiredo, B.; Calvino, J.J.; Seabra, M.P.; Labrincha, J.A. CuxO and carbon–modified TiO2–based hybrid materials for photocatalytically assisted H2 generation. Mater. Today Energy 2021, 19, 100607. [Google Scholar] [CrossRef]
- Wu, Z.; Li, L.; Zhou, X.; Parkin, I.P.; Zhao, X.; Liu, B. A light-heat synergism in the sub-bandgap photocatalytic response of pristine TiO2: A study of in situ diffusion reflectance and conductance. Phys. Chem. Chem. Phys. 2022, 24, 5618–5626. [Google Scholar] [CrossRef]
- Liu, B.; Wang, J.; Parkin, I.P.; Zhao, X. The effect of Cu dopants on electron transfer to O2 and the connection with acetone photocatalytic oxidations over nano-TiO2. Phys. Chem. Chem. Phys. 2021, 23, 8300–8308. [Google Scholar] [CrossRef] [PubMed]
- Wu, Z.; Li, L.; Zhou, X.; Zhao, X.; Liu, B. Kinetics and energetic analysis of the slow dispersive electron transfer from nano-TiO2 to O2 by in situ diffusion reflectance and Laplace transform. Phys. Chem. Chem. Phys. 2021, 23, 19901–19910. [Google Scholar] [CrossRef] [PubMed]
Disclaimer/Publisher’s Note: The statements, opinions and data contained in all publications are solely those of the individual author(s) and contributor(s) and not of MDPI and/or the editor(s). MDPI and/or the editor(s) disclaim responsibility for any injury to people or property resulting from any ideas, methods, instructions or products referred to in the content. |
© 2023 by the authors. Licensee MDPI, Basel, Switzerland. This article is an open access article distributed under the terms and conditions of the Creative Commons Attribution (CC BY) license (https://creativecommons.org/licenses/by/4.0/).












