Opportunities from Metal Organic Frameworks to Develop Porous Carbons Catalysts Involved in Fine Chemical Synthesis
Abstract
1. Introduction
2. Porous Materials from Metal Organic Frameworks (MOF): Synthetic Strategies
2.1. MOFS from Waste
2.2. Hierarchically Porous MOFs
2.3. Single-Atom Catalysts from MOFs
3. MOF-Derived Porous Carbons
4. Catalytic Fine Chemical Syntheses by Porous Carbons from MOF
4.1. Metal-Free Porous Carbons
4.2. Metal-Doped Porous Carbons
4.2.1. Oxidation of Alcohols
4.2.2. Hydrogenation Reactions
4.2.3. Coupling Reactions
4.2.4. Synthesis of Propargylamines
4.2.5. Hydrodechlorination Reactions
4.2.6. Cycloaddition Reactions
4.3. N-Doped Porous Carbons
4.3.1. Oxidation Reactions
4.3.2. Oxidative Esterification of Alcohols
4.3.3. Reduction Reactions
4.3.4. Cross-Coupling Reactions
4.3.5. Hydrodechlorination Reactions
4.3.6. Cycloaddition Reactions
4.3.7. Acid-Base Catalyzed Reactions
5. Concluding Remarks
Author Contributions
Funding
Conflicts of Interest
References
- Stock, N.; Biswas, S. Synthesis of Metal-Organic Frameworks (MOFs): Routes to Various MOF Topologies, Morphologies, and Composites. Chem. Rev. 2012, 112, 933–969. [Google Scholar] [CrossRef] [PubMed]
- Wang, Z.; Liu, L.Y.; Li, Z.; Goyal, N.; Du, T.; He, J.X.; Li, G.K. Shaping of Metal-Organic Frameworks: A Review. Energy Fuels 2022, 36, 2927–2944. [Google Scholar] [CrossRef]
- Wen, Y.H.; Zhang, J.; Xu, Q.; Wu, X.T.; Zhu, Q.L. Pore surface engineering of metal-organic frameworks for heterogeneous catalysis. Coord. Chem. Rev. 2018, 376, 248–276. [Google Scholar] [CrossRef]
- Ferey, G. Hybrid porous solids: Past, present, future. Chem. Soc. Rev. 2008, 37, 191–214. [Google Scholar] [CrossRef] [PubMed]
- Furukawa, H.; Cordova, K.E.; O’Keeffe, M.; Yaghi, O.M. The Chemistry and Applications of Metal-Organic Frameworks. Science 2013, 341, 1230444. [Google Scholar] [CrossRef]
- Gonzalez-Rodal, D.; Palomino, G.T.; Cabello, C.P.; Perez-Mayoral, E. Amino-grafted Cu and Sc Metal-Organic Frameworks involved in the green synthesis of 2-amino-4H-chromenes. Mechanistic understanding. Microporous Mesoporous Mater. 2021, 323, 111232. [Google Scholar] [CrossRef]
- Li, J.R.; Ma, Y.G.; McCarthy, M.C.; Sculley, J.; Yu, J.M.; Jeong, H.K.; Balbuena, P.B.; Zhou, H.C. Carbon dioxide capture-related gas adsorption and separation in metal-organic frameworks. Coord. Chem. Rev. 2011, 255, 1791–1823. [Google Scholar] [CrossRef]
- Qazvini, O.T.; Babarao, R.; Telfer, S.G. Selective capture of carbon dioxide from hydrocarbons using a metal-organic framework. Nat. Commun. 2021, 12, 197. [Google Scholar] [CrossRef]
- Fang, Y.X.; Ma, Y.W.; Zheng, M.F.; Yang, P.J.; Asiri, A.M.; Wang, X.C. Metal-organic frameworks for solar energy conversion by photoredox catalysis. Coord. Chem. Rev. 2018, 373, 83–115. [Google Scholar] [CrossRef]
- Olorunyomi, J.F.; Geh, S.T.; Caruso, R.A.; Doherty, C.M. Metal-organic frameworks for chemical sensing devices. Mater. Horiz. 2021, 8, 2387–2419. [Google Scholar] [CrossRef]
- Tchinsa, A.; Hossain, M.F.; Wang, T.; Zhou, Y.B. Removal of organic pollutants from aqueous solution using metal organic frameworks (MOFs)-based adsorbents: A review. Chemosphere 2021, 284, 131393. [Google Scholar] [CrossRef]
- Bavykina, A.; Kolobov, N.; Khan, I.S.; Bau, J.A.; Ramirez, A.; Gascon, J. Metal-Organic Frameworks in Heterogeneous Catalysis: Recent Progress, New Trends, and Future Perspectives. Chem. Rev. 2020, 120, 8468–8535. [Google Scholar] [CrossRef] [PubMed]
- Konnerth, H.; Matsagar, B.M.; Chen, S.S.; Prechtl, M.H.G.; Shieh, F.K.; Wu, K.C.W. Metal-organic framework (MOF)-derived catalysts for fine chemical production. Coord. Chem. Rev. 2020, 416, 213319. [Google Scholar] [CrossRef]
- Lawson, H.D.; Walton, S.P.; Chan, C. Metal-Organic Frameworks for Drug Delivery: A Design Perspective. ACS Appl. Mater. Interfaces 2021, 13, 7004–7020. [Google Scholar] [CrossRef]
- Perez-Mayoral, E.; Matos, I.; Bernardo, M.; Fonseca, I.M. New and Advanced Porous Carbon Materials in Fine Chemical Synthesis. Emerging Precursors of Porous Carbons. Catalysts 2019, 9, 133. [Google Scholar] [CrossRef]
- Perez-Mayoral, E.; Matos, I.; Bernardo, M.; Ventura, M.; Fonseca, I.M. Carbon-Based Materials for the Development of Highly Dispersed Metal Catalysts: Towards Highly Performant Catalysts for Fine Chemical Synthesis. Catalysts 2020, 10, 1407. [Google Scholar] [CrossRef]
- Marpaung, F.; Kim, M.; Khan, J.K.; Konstantinov, K.; Yamauchi, Y.; Hossain, S.S.; Na, J.; Kim, J. Metal–Organic Framework (MOF)-Derived nanoporous carbon materials. Chem. Asian J. 2019, 14, 1331–1343. [Google Scholar] [CrossRef]
- Huang, H.G.; Shen, K.; Chen, F.F.; Li, Y.W. Metal-Organic Frameworks as a Good Platform for the Fabrication of Single-Atom Catalysts. ACS Catal. 2020, 10, 6579–6586. [Google Scholar] [CrossRef]
- Wang, J.; Wang, Y.; Hu, H.; Yang, Q.; Cai, J. From metal-organic frameworks to porous carbon materials: Recent progress and prospects from energy and environmental perspectives. Nanoscale 2020, 12, 4238–4268. [Google Scholar] [CrossRef]
- Bedia, J.; Muelas-Ramos, V.; Peñas-Garzón, M.; Gómez-Avilés, A.; Rodríguez, J.J.; Belver, C. A review on the synthesis and characterization of metal organic frameworks for photocatalytic water purification. Catalysts 2019, 9, 52. [Google Scholar] [CrossRef]
- Qu, W.; Chen, C.; Tang, Z.; Wen, H.; Hu, L.; Xia, D.; Tian, S.; Zhao, H.; He, C.; Shu, D. Progress in metal-organic-framework-based single-atom catalysts for environmental remediation. Coord. Chem. Rev. 2023, 474, 214855. [Google Scholar] [CrossRef]
- Sharanyakanth, P.S.; Radhakrishnan, M. Synthesis of metal-organic frameworks (MOFs) and its application in food packaging: A critical review. Trends Food Sci. Technol. 2020, 104, 102–116. [Google Scholar] [CrossRef]
- Yu, S.; Meng, X.; Li, Z.; Zhang, W.; Ju, X. Heterofullerene C48B12-impregnated MOF-5 and IRMOF-10 for hydrogen storage: A combined DFT and GCMC simulations study. Int. J. Hydrogen Energy 2022, 47, 39586–39594. [Google Scholar] [CrossRef]
- Yusuf, V.F.; Malek, N.I.; Kailasa, S.K. Review on Metal-Organic Framework Classification, Synthetic Approaches, and Influencing Factors: Applications in Energy, Drug Delivery, and Wastewater Treatment. ACS Omega 2022, 7, 44507–44531. [Google Scholar] [CrossRef]
- Soni, S.; Bajpai, P.K.; Arora, C. A review on metal-organic framework: Synthesis, properties and ap-plication. Charact. Appl. Nanomater. 2020, 3, 87. [Google Scholar] [CrossRef]
- Xiang, F.; Marti, A.M.; Hopkinson, D.P. Layer-by-layer assembled polymer/MOF membrane for H2/CO2 separation. J. Membr. Sci. 2018, 556, 146–153. [Google Scholar] [CrossRef]
- Vaitsis, C.; Kanellou, E.; Pandis, P.K.; Papamichael, I.; Sourkouni, G.; Zorpas, A.A.; Argirusis, C. Sonochemical synthesis of zinc adipate Metal-Organic Framework (MOF) for the electrochemical reduction of CO2: MOF and circular economy potential. Sustain. Chem. Pharm. 2022, 29, 100786. [Google Scholar] [CrossRef]
- Kaur, G.; Kandwal, P.; Sud, D. Sonochemically synthesized Zn (II) and Cd (II) based metal-organic frameworks as fluoroprobes for sensing of 2,6-dichlorophenol. J. Solid State Chem. 2023, 319, 123833. [Google Scholar] [CrossRef]
- Zhang, B.; Chen, J.; Fu, Y. Soft Spray: An Emerging Technique for Metal–Organic Framework-Based Materials. Langmuir 2022, 38, 13635–13646. [Google Scholar] [CrossRef]
- Cohen, S.M. Postsynthetic methods for the functionalization of metal-organic frameworks. Chem. Rev. 2012, 112, 970–1000. [Google Scholar] [CrossRef]
- Hu, L.; Chen, J.; Wei, Y.; Wang, M.; Xu, Y.; Wang, C.; Gao, P.; Liu, Y.; Liu, C.; Song, Y.; et al. Photocatalytic degradation effect and mechanism of Karenia mikimotoi by non-noble metal modified TiO2 loading onto copper metal organic framework (SNP-TiO2@Cu-MOF) under visible light. J. Hazard. Mater. 2023, 442, 130059. [Google Scholar] [CrossRef]
- Kumaraguru, S.; Nivetha, R.; Gopinath, K.; Sundaravadivel, E.; Almutairi, B.O.; Almutairi, M.H.; Mahboob, S.; Kavipriya, M.R.; Nicoletti, M.; Govindarajan, M. Synthesis of Cu-MOF/CeO2 nanocomposite and their evaluation of hydrogen production and cytotoxic activity. J. Mater. Res. Technol. 2022, 18, 1732–1745. [Google Scholar] [CrossRef]
- Wang, X.; Rong, Y.; Wang, F.; Zhang, C.; Wang, Q. High performance proton exchange membranes with double proton conduction pathways by introducing MOF impregnated with protic ionic liquid into SPEEK. Microporous Mesoporous Mater. 2022, 346, 112314. [Google Scholar] [CrossRef]
- Boukayouht, K.; Bazzi, L.; Hankari, S.E. Sustainable synthesis of metal-organic frameworks and their derived materials from organic and inorganic wastes. Coord. Chem. Rev. 2023, 478, 214986. [Google Scholar] [CrossRef]
- Zhang, L.; Wang, C.Y.; Wang, C.C. Mining resources from wastes to produce high value-added MOFs. Resour. Conserv. Recycl. 2023, 190, 106805. [Google Scholar] [CrossRef]
- El-Sayed, E.S.M.; Yuan, D. Waste to MOFs: Sustainable linker, metal, and solvent sources for value-added MOF synthesis and applications. Green Chem. 2020, 22, 4082–4104. [Google Scholar] [CrossRef]
- Shanmugam, M.; Chuaicham, C.; Augustin, A.; Sasaki, K.; Sagayaraj, P.J.J.; Sekar, K. Upcycling hazardous metals and PET waste-derived metal-organic frameworks: A review on recent progresses and prospects. New J. Chem. 2022, 46, 15776–15794. [Google Scholar] [CrossRef]
- Zhong, L.; Ding, J.; Qian, J.; Hong, M. Unconventional inorganic precursors determine the growth of metal-organic frameworks. Coord. Chem. Rev. 2021, 434, 213804. [Google Scholar] [CrossRef]
- Arias, J.J.R.; Thielemans, W. Instantaneous hydrolysis of PET bottles: An efficient pathway for the chemical recycling of condensation polymers. Green Chem. 2021, 23, 9945–9956. [Google Scholar] [CrossRef]
- Farahani, S.D.; Zolgharnein, J. Removal of Alizarin red S by calcium-terephthalate MOF synthesized from recycled PET-waste using Box-Behnken and Taguchi designs optimization approaches. J. Solid State Chem. 2022, 316, 123560. [Google Scholar] [CrossRef]
- Ghosh, A.; Das, G. Facile synthesis of Sn(II)-MOF using waste PET bottles as an organic precursor and its derivative SnO2NPs: Role of surface charge reversal in adsorption of toxic ions. J. Environ. Chem. Eng. 2021, 9, 105288. [Google Scholar] [CrossRef]
- Zhang, F.; Chen, S.; Nie, S.; Luo, J.; Lin, S.; Wang, Y.; Yang, H. Waste PET as a Reactant for Lanthanide MOF Synthesis and Application in Sensing of Picric Acid. Polymers 2019, 11, 2015. [Google Scholar] [CrossRef] [PubMed]
- Deleu, W.P.R.; Stassen, I.; Jonckheere, D.; Ameloot, R.; Vos, D.E.D. Waste PET (bottles) as a resource or substrate for MOF synthesis. J. Mater. Chem. A 2016, 4, 9519–9525. [Google Scholar] [CrossRef]
- Karam, L.; Miglio, A.; Specchia, S.; Hassan, N.E.; Massiani, P.; Reboul, J. PET waste as organic linker source for the sustainable preparation of MOF-derived methane dry reforming catalysts. Mater. Adv. 2021, 2, 2750–2758. [Google Scholar] [CrossRef]
- Slater, B.; Wong, S.O.; Duckworth, A.; White, A.J.P.; Hill, M.R.; Ladewig, B.P. Upcycling a plastic cup: One-pot synthesis of lactate containing metal organic frameworks from polylactic acid. Chem. Commun. 2019, 55, 7319–7322. [Google Scholar] [CrossRef]
- Kabtamu, D.M.; Wu, Y.N.; Chen, Q.; Zheng, L.; Otake, K.I.; Matović, L.; Li, F. Facile Upcycling of Hazardous Cr-Containing Electroplating Sludge into Value-Added Metal-Organic Frameworks for Efficient Adsorptive Desulfurization. ACS Sustain. Chem. Eng. 2020, 8, 11253–11262. [Google Scholar] [CrossRef]
- Song, K.; Qiu, X.; Han, B.; Liang, S.; Lin, Z. Efficient upcycling electroplating sludge and waste PET into Ni-MOF nanocrystals for the effective photoreduction of CO2. Environ. Sci. Nano 2021, 8, 390–398. [Google Scholar] [CrossRef]
- Feng, L.; Wang, K.Y.; Willman, J.; Zhou, H.C. Hierarchy in Metal-Organic Frameworks. ACS Cent. Sci. 2020, 6, 359–367. [Google Scholar] [CrossRef]
- Doan, H.V.; Hamzah, H.A.; Prabhakaran, P.K.; Petrillo, C.; Ting, V.P. Hierarchical Metal-Organic Frameworks with Macroporosity: Synthesis, Achievements, and Challenges. Nano-Micro Lett. 2019, 11, 54. [Google Scholar] [CrossRef]
- Duan, C.; Liang, K.; Zhang, Z.; Li, J.; Chen, T.; Lv, D.; Li, L.; Kang, L.; Wang, K.; Hu, H.; et al. Recent advances in the synthesis of nanoscale hierarchically porous metal–organic frameworks. Nano Mater. Sci. 2022, 4, 351–365. [Google Scholar] [CrossRef]
- Duan, C.; Zhang, H.; Li, F.; Xiao, J.; Luo, S.; Xi, H. Hierarchically porous metal–organic frameworks: Rapid synthesis and enhanced gas storage. Soft Matter 2018, 14, 9589–9598. [Google Scholar] [CrossRef]
- Li, R.; Wu, L.; Chang, G.; Ke, S.; Wang, Y.; Yao, Y.; Zhang, Y.; Li, J.; Yang, X.; Chen, B. Solvent-Mediated Synthesis of Hierarchical MOFs and Derived Urchin-Like Pd@SC/HfO2with High Catalytic Activity and Stability. ACS Appl. Mater. Interfaces 2022, 14, 5887–5896. [Google Scholar] [CrossRef]
- Niu, P.; Lu, N.; Liu, J.; Jia, H.; Zhou, F.; Fan, B.; Li, R. Water-induced synthesis of hierarchical Zr-based MOFs with enhanced adsorption capacity and catalytic activity. Microporous Mesoporous Mater. 2019, 281, 92–100. [Google Scholar] [CrossRef]
- Yang, X.; Yan, L.; Kong, X.; Liu, S.; Zhao, X.; Yang, X.; Yan, L.; Liu, S.; Zhao, X.; Kong, X. Metal-Organic-Framework-Based Single-Atomic Catalysts for Energy Conversion and Storage: Principles, Advances, and Theoretical Understandings. Adv. Sustain. Syst. 2021, 6, 2100281. [Google Scholar] [CrossRef]
- Ye, J.; Yan, J.; Peng, Y.; Li, F.; Sun, J. Metal-organic framework-based single-atom catalysts for efficient electrocatalytic CO2 reduction reactions. Catal. Today 2023, 410, 68–84. [Google Scholar] [CrossRef]
- Han, A.; Wang, B.; Kumar, A.; Qin, Y.; Jin, J.; Wang, X.; Yang, C.; Dong, B.; Jia, Y.; Liu, J. Recent Advances for MOF-Derived Carbon-Supported Single-Atom Catalysts. Small Methods 2019, 3, 1800471. [Google Scholar] [CrossRef]
- Hao, M.; Qiu, M.; Yang, H.; Hu, B.; Wang, X. Recent advances on preparation and environmental applications of MOF-derived carbons in catalysis. Sci. Total Environ. 2021, 760, 143333. [Google Scholar] [CrossRef]
- Yang, L.; Zeng, X.; Wang, W.; Cao, D. Recent progress in MOF-derived, heteroatom-doped porous carbons as highly efficient electrocatalysts for oxygen reduction reaction in fuel cells. Adv. Funct. Mater. 2018, 28, 1704537. [Google Scholar] [CrossRef]
- Yang, K.; Yan, Y.; Wang, H.Y.; Sun, Z.X.; Chen, W.; Kang, H.T.; Han, Y.; Zahng, W.Q.; Sun, X.H.; Li, Z.X. Monodisperse Cu/Cu2O@C core-shell nanocomposite supported on rGO layers as an efficient catalyst derived from a Cu-based MOF/GO structure. Nanoscale 2018, 10, 17647–17655. [Google Scholar] [CrossRef]
- Wu, Y.; Xu, H.; Gao, J. Metal-organic framework-derived porous carbon templates for catalysis. In Emerging Carbon Materials for Catalysis; Sadjadi, S., Ed.; Elsevier: Amsterdam, The Netherlands, 2021; pp. 73–121. [Google Scholar] [CrossRef]
- Kim, H.C.; Huh, S. Porous carbon-based supercapacitors directly derived from metal-organic frameworks. Materials 2020, 13, 4215. [Google Scholar] [CrossRef]
- Liu, D.; Gu, W.; Zhou, L.; Wang, L.; Zhang, J.; Liu, Y.; Lei, J. Recent advances in MOF-derived carbon-based nanomaterials for environmental applications in adsorption and catalytic degradation. Chem. Eng. J. 2022, 427, 131503. [Google Scholar] [CrossRef]
- Chen, Y.-Z.; Zhang, R.; Jiao, L.; Jiang, H.-L. Metal–organic framework-derived porous materials for catalysis. Coord. Chem. Rev. 2018, 362, 1–23. [Google Scholar] [CrossRef]
- Liu, B.; Shioyama, H.; Akita, T.; Xu, Q. Metal-Organic Framework as a Template for Porous Carbon Synthesis. J. Am. Chem. Soc. 2008, 130, 5390–5391. [Google Scholar] [CrossRef]
- Chaikittisilp, W.; Ariga, K.; Yamauchi, Y. A new family of carbon materials: Synthesis of MOF-derived nanoporous carbons and their promising applications. J. Mater. Chem. A 2013, 1, 14–19. [Google Scholar] [CrossRef]
- Chaikittisilp, W.; Hu, M.; Wang, H.; Huang, H.-S.; Fujita, T.; Wu, K.C.-W.; Chen, L.-C.; Yamauchi, Y.; Ariga, K. Nanoporous carbons through direct carbonization of a zeolitic imidazolate framework for supercapacitor electrodes. Chem. Commun. 2012, 48, 7259. [Google Scholar] [CrossRef]
- Lim, S.; Suh, K.; Kim, Y.; Yoon, M.; Park, H.; Dybtsev, D.N.; Kim, K. Porous carbon materials with a controllable surface area synthesized from metal-organic frameworks. Chem. Commun. 2012, 48, 7447–7449. [Google Scholar] [CrossRef]
- Banerjee, A.; Upadhyay, K.K.; Puthusseri, D.; Aravindan, V.; Madhavi, S.; Ogale, S. MOF-derived crumpled-sheet-assembled perforated carbon cuboids as highly effective cathode active materials for ultra-high energy density Li-ion hybrid electrochemical capacitors (Li-HECs). Nanoscale 2014, 6, 4387. [Google Scholar] [CrossRef]
- Chang, L.; Li, J.; Duan, X.; Liu, W. Porous carbon derived from Metal–organic framework (MOF) for capacitive deionization electrode. Electrochim. Acta 2015, 176, 956–964. [Google Scholar] [CrossRef]
- Kukulka, W.; Cendrowski, K.; Michalkiewicz, B.; Mijowska, E. MOF-5 derived carbon as material for CO 2 absorption. RSC Adv. 2019, 9, 18527–18537. [Google Scholar] [CrossRef]
- Segakweng, T.; Musyoka, N.M.; Ren, J.; Crouse, P.; Langmi, H.W. Comparison of MOF-5- and Cr-MOF-derived carbons for hydrogen storage application. Res. Chem. Intermed. 2016, 42, 4951–4961. [Google Scholar] [CrossRef]
- Zou, G.; Jia, X.; Huang, Z.; Li, S.; Liao, H.; Hou, H.; Huang, L.; Ji, X. Cube-shaped Porous Carbon Derived from MOF-5 as Advanced Material for Sodium-Ion Batteries. Electrochim. Acta 2016, 196, 413–421. [Google Scholar] [CrossRef]
- Park, K.S.; Ni, Z.; Côté, A.P.; Choi, J.Y.; Huang, R.; Uribe-Romo, F.J.; Chae, H.K.; O’Keeffe, M.; Yaghi, O.M. Exceptional chemical and thermal stability of zeolitic imidazolate frameworks. Proc. Natl. Acad. Sci. USA 2006, 103, 10186–10191. [Google Scholar] [CrossRef]
- Jiao, L.; Jiang, H.-L. Metal-Organic-Framework-Based Single-Atom Catalysts for Energy Applications. Chem 2019, 5, 786–804. [Google Scholar] [CrossRef]
- Zhu, Y.; Zhang, Z.; Li, W.; Lei, Z.; Cheng, N.; Tan, Y.; Mu, S.; Sun, X. Highly Exposed Active Sites of Defect-Enriched Derived MOFs for Enhanced Oxygen Reduction Reaction. ACS Sustain. Chem. Eng. 2019, 7, 17855–17862. [Google Scholar] [CrossRef]
- Yang, S.L.; Zhu, Y.N.; Cao, C.Y.; Peng, L.; Li, S.M.; Zhai, D.W.; Song, W.G. A general route to coat poly(cyclotriphosphazene-co-4,4 ‘-sulfonyldiphenol) on various substrates and the derived N, P, S-doped hollow carbon shells for catalysis. Nanoscale 2017, 9, 13538–13545. [Google Scholar] [CrossRef]
- Yang, S.L.; Peng, L.; Huang, P.P.; Wang, X.S.; Sun, Y.B.; Cao, C.Y.; Song, W.G. Nitrogen, Phosphorus, and Sulfur Co-Doped Hollow Carbon Shell as Superior Metal-Free Catalyst for Selective Oxidation of Aromatic Alkanes. Angew. Chem. Int. Ed. 2016, 55, 4016–4020. [Google Scholar] [CrossRef]
- Liu, W.; Li, S.Q.; Liu, W.X.; Zhang, Q.; Shao, J.; Tian, J.L. MOF-derived B, N co-doped porous carbons as metal-free catalysts for highly efficient nitro aromatics reduction. J. Environ. Chem. Eng. 2021, 9, 105689. [Google Scholar] [CrossRef]
- Wang, X.; Li, Y.W. Nanoporous carbons derived from MOFs as metal-free catalysts for selective aerobic oxidations. J. Mater. Chem. A 2016, 4, 5247–5257. [Google Scholar] [CrossRef]
- Kim, B.R.; Oh, J.S.; Kim, J.; Lee, C.Y. Robust Aerobic Alcohol Oxidation Catalyst Derived from Metal-Organic Frameworks. Catal. Lett. 2016, 146, 734–743. [Google Scholar] [CrossRef]
- Yao, X.F.; Bai, C.H.; Chen, J.Y.; Li, Y.W. Efficient and selective green oxidation of alcohols by MOF-derived magnetic nanoparticles as a recoverable catalyst. RSC Adv. 2016, 6, 26921–26928. [Google Scholar] [CrossRef]
- Bhadra, B.N.; Jhung, S.H. Well-dispersed Ni or MnO nanoparticles on mesoporous carbons: Preparation via carbonization of bimetallic MOF-74s for highly reactive redox catalysts. Nanoscale 2018, 10, 15035–15047. [Google Scholar] [CrossRef] [PubMed]
- Nguyen-Sorenson, A.H.T.; Anderson, C.M.; Balijepalli, S.K.; McDonald, K.A.; Matzger, A.J.; Stowers, K.J. Highly active copper catalyst obtained through rapid MOF decomposition. Inorg. Chem. Front. 2019, 6, 521–526. [Google Scholar] [CrossRef]
- Murugesan, K.; Senthamarai, T.; Sohail, M.; Alshammari, A.S.; Pohl, M.M.; Beller, M.; Jagadeesh, R.V. Cobalt-based nanoparticles prepared from MOF-carbon templates as efficient hydrogenation catalysts. Chem. Sci. 2018, 9, 8553–8560. [Google Scholar] [CrossRef] [PubMed]
- Niu, H.Y.; Liu, S.L.; Cai, Y.Q.; Wu, F.C.; Zhao, X.L. MOF derived porous carbon supported Cu/Cu2O composite as high performance non-noble catalyst. Microporous Mesoporous Mater. 2016, 219, 48–53. [Google Scholar] [CrossRef]
- Rong, J.; Qiu, F.; Zhang, T.; Zhu, Y.; Xu, J.C.; Guo, Q.; Peng, X.M. Non-noble metal@carbon nanosheet derived from exfoliated MOF crystal as highly reactive and stable heterogeneous catalyst. Appl. Surf. Sci. 2018, 447, 222–234. [Google Scholar] [CrossRef]
- Zhi, L.H.; Liu, H.; Xu, Y.Y.; Hu, D.C.; Yao, X.Q.; Liu, J.C. Pyrolysis of metal-organic framework (CuBTC) decorated filter paper as a low-cost and highly active catalyst for the reduction of 4-nitrophenol. Dalton Trans. 2018, 47, 15458–15464. [Google Scholar] [CrossRef]
- Guo, X.L.; Chen, X.; Su, D.S.; Liang, C.H. Preparation of Ni/C Core-shell Nanoparticles through MOF Pyrolysis for Phenylacetylene Hydrogenation Reaction. Acta Chim. Sin. 2018, 76, 22–29. [Google Scholar] [CrossRef]
- Nakatsuka, K.; Yoshii, T.; Kuwahara, Y.; Mori, K.; Yamashita, H. Controlled Pyrolysis of Ni-MOF-74 as a Promising Precursor for the Creation of Highly Active Ni Nanocatalysts in Size-Selective Hydrogenation. Chem. Eur. J. 2018, 24, 898–905. [Google Scholar] [CrossRef]
- Zhang, L.L.; Chen, X.; Peng, Z.J.; Liang, C.H. Chemoselective hydrogenation of cinnamaldehyde over MOFs-derived M2Si@C (M = Fe, Co, Ni) silicides catalysts. Mol. Catal. 2018, 449, 14–24. [Google Scholar] [CrossRef]
- Zhao, Y.J.; Wu, X.Q.; Zhou, J.H.; Wang, Y.; Wang, S.P.; Ma, X.B. MOF-derived Cu@C Catalyst for the Liquid-phase Hydrogenation of Esters. Chem. Lett. 2018, 47, 883–886. [Google Scholar] [CrossRef]
- Dong, W.H.; Zhang, L.; Wang, C.H.; Feng, C.; Shang, N.Z.; Gao, S.T.; Wang, C. Palladium nanoparticles embedded in metal-organic framework derived porous carbon: Synthesis and application for efficient Suzuki-Miyaura coupling reactions. RSC Adv. 2016, 6, 37118–37123. [Google Scholar] [CrossRef]
- Sun, W.; Gao, L.F.; Sun, X.; Zheng, G.X. A novel route with a Cu(II)-MOF-derived structure to synthesize Cu/Cu2O NPs@graphene: The electron transfer leads to the synergistic effect of the Cu(0)-Cu(I) phase for an effective catalysis of the Sonogashira cross-coupling reactions. Dalton Trans. 2018, 47, 5538–5541. [Google Scholar] [CrossRef]
- Cheng, S.S.; Shang, N.Z.; Feng, C.; Gao, S.T.; Wang, C.; Wang, Z. Efficient multicomponent synthesis of propargylamines catalyzed by copper nanoparticles supported on metal-organic framework derived nanoporous carbon. Catal. Commun. 2017, 89, 91–95. [Google Scholar] [CrossRef]
- Dong, Z.P.; Le, X.D.; Liu, Y.S.; Dong, C.X.; Ma, J.T. Metal organic framework derived magnetic porous carbon composite supported gold and palladium nanoparticles as highly efficient and recyclable catalysts for reduction of 4-nitrophenol and hydrodechlorination of 4-chlorophenol. J. Mater. Chem. A 2014, 2, 18775–18785. [Google Scholar] [CrossRef]
- Yamane, I.; Sato, K.; Otomo, R.; Yanase, T.; Miura, A.; Nagahama, T.; Kamiya, Y.; Shimada, T. Ultrahigh-Pressure Preparation and Catalytic Activity of MOF-Derived Cu Nanoparticles. Nanomaterials 2021, 11, 1040. [Google Scholar] [CrossRef]
- Bai, C.H.; Li, A.Q.; Yao, X.F.; Liu, H.L.; Li, Y.W. Efficient and selective aerobic oxidation of alcohols catalysed by MOF-derived Co catalysts. Green Chem. 2016, 18, 1061–1069. [Google Scholar] [CrossRef]
- Chen, H.R.; Shen, K.; Mao, Q.; Chen, J.Y.; Li, Y.W. Nanoreactor of MOF-Derived Yolk-Shell Co@C-N: Precisely Controllable Structure and Enhanced Catalytic Activity. ACS Catal. 2018, 8, 1417–1426. [Google Scholar] [CrossRef]
- Ji, S.F.; Chen, Y.J.; Fu, Q.; Chen, Y.F.; Dong, J.C.; Chen, W.X.; Li, Z.; Wang, Y.; Gu, L.; He, W.; et al. Confined Pyrolysis within Metal-Organic Frameworks To Form Uniform Ru-3 Clusters for Efficient Oxidation of Alcohols. J. Am. Chem. Soc. 2017, 139, 9795–9798. [Google Scholar] [CrossRef]
- Zhou, Y.; Long, J.L.; Li, Y.W. Ni-based catalysts derived from a metal-organic framework for selective oxidation of alkanes. Chin. J. Catal. 2016, 37, 955–962. [Google Scholar] [CrossRef]
- Zhong, H.; Wang, Y.X.; Cui, C.Y.; Zhou, F.; Hu, S.Q.; Wang, R.H. Facile fabrication of Cu-based alloy nanoparticles encapsulated within hollow octahedral N-doped porous carbon for selective oxidation of hydrocarbons. Chem. Sci. 2018, 9, 8703–8710. [Google Scholar] [CrossRef]
- Yu, G.L.; Sun, J.; Muhammad, F.; Wang, P.Y.; Zhu, G.S. Cobalt-based metal organic framework as precursor to achieve superior catalytic activity for aerobic epoxidation of styrene. RSC Adv. 2014, 4, 38804–38811. [Google Scholar] [CrossRef]
- Hui, J.F.; Chu, H.M.; Zhang, W.L.; Shen, Y.; Chen, W.Z.; Hu, Y.; Liu, W.; Gao, C.; Guo, S.H.; Xiao, G.W.; et al. Multicomponent metal-organic framework derivatives for optimizing the selective catalytic performance of styrene epoxidation reaction. Nanoscale 2018, 10, 8772–8778. [Google Scholar] [CrossRef] [PubMed]
- Zhou, Y.X.; Chen, Y.Z.; Cao, L.N.; Lu, J.L.; Jiang, H.L. Conversion of a metal-organic framework to N-doped porous carbon incorporating Co and CoO nanoparticles: Direct oxidation of alcohols to esters. Chem. Commun. 2015, 51, 8292–8295. [Google Scholar] [CrossRef] [PubMed]
- Zhong, W.; Liu, H.L.; Bai, C.H.; Liao, S.J.; Li, Y.W. Base-Free Oxidation of Alcohols to Esters at Room Temperature and Atmospheric Conditions using Nanoscale Co-Based Catalysts. ACS Catal. 2015, 5, 1850–1856. [Google Scholar] [CrossRef]
- Liu, X.M.; Cheng, S.J.; Long, J.L.; Zhang, W.; Liu, X.H.; Wei, D.P. MOFs-Derived Co@CN bi-functional catalysts for selective transfer hydrogenation of alpha,beta-unsaturated aldehydes without use of base additives. Mater. Chem. Front. 2017, 1, 2005–2012. [Google Scholar] [CrossRef]
- Shen, K.; Chen, L.; Long, J.L.; Zhong, W.; Li, Y.W. MOFs-Templated Co@Pd Core Shell NPs Embedded in N-Doped Carbon Matrix with Superior Hydrogenation Activities. ACS Catal. 2015, 5, 5264–5271. [Google Scholar] [CrossRef]
- Ma, X.; Zhou, Y.X.; Liu, H.; Li, Y.; Jiang, H.L. A MOF-derived Co-CoO@N-doped porous carbon for efficient tandem catalysis: Dehydrogenation of ammonia borane and hydrogenation of nitro compounds. Chem. Commun. 2016, 52, 7719–7722. [Google Scholar] [CrossRef]
- Xu, X.J.; Li, H.; Xie, H.T.; Ma, Y.H.; Chen, T.X.; Wang, J.D. Zinc cobalt bimetallic nanoparticles embedded in porous nitrogen-doped carbon frameworks for the reduction of nitro compounds. J. Mater. Res. 2017, 32, 1777–1786. [Google Scholar] [CrossRef]
- Jia, W.L.; Tian, F.P.; Zhang, M.J.; Li, X.Y.; Ye, S.; Ma, Y.F.; Wang, W.Y.; Zhang, Y.F.; Meng, C.G.; Zeng, G.; et al. Nitrogen-doped porous carbon-encapsulated copper composite for efficient reduction of 4-nitrophenol. J. Colloid Interface Sci. 2021, 594, 254–264. [Google Scholar] [CrossRef]
- Sun, X.; Olivos-Suarez, A.I.; Oar-Arteta, L.; Rozhko, E.; Osadchii, D.; Bavykina, A.; Kapteijn, F.; Gascon, J. Metal-Organic Framework Mediated Cobalt/Nitrogen-Doped Carbon Hybrids as Efficient and Chemoselective Catalysts for the Hydrogenation of Nitroarenes. ChemCatChem 2017, 9, 1854–1862. [Google Scholar] [CrossRef]
- Liu, K.J.; Luo, K.J.; Tan, H.; Li, N.; Hu, B.N.; Ou, J.H. Preparation of Co-based N-doped Meso-microporous Carbon for Hydrogenation of Nitroarenes. ChemistrySelect 2022, 7, e202202288. [Google Scholar] [CrossRef]
- Chen, Y.Z.; Cai, G.R.; Wang, Y.M.; Xu, Q.; Yu, S.H.; Jiang, H.L. Palladium nanoparticles stabilized with N-doped porous carbons derived from metal-organic frameworks for selective catalysis in biofuel upgrade: The role of catalyst wettability. Green Chem. 2016, 18, 1212–1217. [Google Scholar] [CrossRef]
- Long, J.L.; Zhou, Y.; Li, Y.W. Transfer hydrogenation of unsaturated bonds in the absence of base additives catalyzed by a cobalt-based heterogeneous catalyst. Chem. Commun. 2015, 51, 2331–2334. [Google Scholar] [CrossRef]
- Long, J.L.; Shen, K.; Chen, L.; Li, Y.W. Multimetal-MOF-derived transition metal alloy NPs embedded in an N-doped carbon matrix: Highly active catalysts for hydrogenation reactions. J. Mater. Chem. A 2016, 4, 10254–10262. [Google Scholar] [CrossRef]
- Bennedsen, N.R.; Kramer, S.; Mielby, J.J.; Kegnaes, S. Cobalt-nickel alloy catalysts for hydrosilylation of ketones synthesized by utilizing metal-organic framework as template. Catal. Sci. Technol. 2018, 8, 2434–2440. [Google Scholar] [CrossRef]
- Li, X.L.; Zhang, W.; Liu, Y.S.; Li, R. Palladium Nanoparticles Immobilized on Magnetic Porous Carbon Derived from ZIF-67 as Efficient Catalysts for the Semihydrogenation of Phenylacetylene under Extremely Mild Conditions. ChemCatChem 2016, 8, 1111–1118. [Google Scholar] [CrossRef]
- Ding, S.S.; Zhang, C.H.; Liu, Y.F.; Jiang, H.; Chen, R.Z. Selective hydrogenation of phenol to cyclohexanone in water over Pd@N-doped carbons derived from ZIF-67: Role of dicyandiamide. Appl. Surf. Sci. 2017, 425, 484–491. [Google Scholar] [CrossRef]
- Ding, S.S.; Zhang, C.H.; Liu, Y.F.; Jiang, H.; Xing, W.H.; Chen, R.Z. Pd nanoparticles supported on N-doped porous carbons derived from ZIF-67: Enhanced catalytic performance in phenol hydrogenation. J. Ind. Eng. Chem. 2017, 46, 258–265. [Google Scholar] [CrossRef]
- Jagadeesh, R.V.; Murugesan, K.; Alshammari, A.S.; Neumann, H.; Pohl, M.M.; Radnik, J.; Beller, M. MOF-derived cobalt nanoparticles catalyze a general synthesis of amines. Science 2017, 358, 326–332. [Google Scholar] [CrossRef]
- Wang, X.; Chen, W.X.; Zhang, L.; Yao, T.; Liu, W.; Lin, Y.; Ju, H.X.; Dong, J.C.; Zheng, L.R.; Yan, W.S.; et al. Uncoordinated Amine Groups of Metal-Organic Frameworks to Anchor Single Ru Sites as Chemoselective Catalysts toward the Hydrogenation of Quinoline. J. Am. Chem. Soc. 2017, 139, 9419–9422. [Google Scholar] [CrossRef]
- Zhang, L.; Feng, C.; Gao, S.T.; Wang, Z.; Wang, C. Palladium nanoparticle supported on metal-organic framework derived N-decorated nanoporous carbon as an efficient catalyst for the Suzuki coupling reaction. Catal. Commun. 2015, 61, 21–25. [Google Scholar] [CrossRef]
- Bugday, N.; Altin, S.; Yasar, S. Palladium nanoparticle supported on nitrogen-doped porous carbon: Investigation of structural properties and catalytic activity on Suzuki-Miyaura reactions. Appl. Organomet. Chem. 2021, 35, e6403. [Google Scholar] [CrossRef]
- Ning, X.; Sun, Y.H.; Fu, H.Y.; Qu, X.L.; Xu, Z.Y.; Zheng, S.R. N-doped porous carbon supported Ni catalysts derived from modified Ni-MOF-74 for highly effective and selective catalytic hydrodechlorination of 1,2-dichloroethane to ethylene. Chemosphere 2020, 241, 124978. [Google Scholar] [CrossRef] [PubMed]
- Cui, X.L.; Zuo, W.; Tian, M.; Dong, Z.P.; Ma, J.T. Highly efficient and recyclable Ni MOF-derived N-doped magnetic mesoporous carbon-supported palladium catalysts for the hydrodechlorination of chlorophenols. J. Mol. Catal. A Chem. 2016, 423, 386–392. [Google Scholar] [CrossRef]
- Toyao, T.; Fujiwaki, M.; Miyahara, K.; Kim, T.H.; Horiuchi, Y.; Matsuoka, M. Design of Zeolitic Imidazolate Framework Derived Nitrogen-Doped Nanoporous Carbons Containing Metal Species for Carbon Dioxide Fixation Reactions. ChemSusChem 2015, 8, 3905–3912. [Google Scholar] [CrossRef]
- Ding, M.L.; Chen, S.; Liu, X.Q.; Sun, L.B.; Lu, J.L.; Jiang, H.L. Metal-Organic Framework-Templated Catalyst: Synergy in Multiple Sites for Catalytic CO2 Fixation. ChemSusChem 2017, 10, 1898–1903. [Google Scholar] [CrossRef]
- Chen, F.F.; Shen, K.; Chen, L.Y.; Li, Y.W. N-doped nanocarbon embedded in hierarchically porous metal-organic frameworks for highly efficient CO2 fixation. Sci. China-Chem. 2022, 65, 1411–1419. [Google Scholar] [CrossRef]
- Wang, Z.Z.; Zhou, X.H.; Gong, S.F.; Xie, J.W. MOF-Derived Cu@N-C Catalyst for 1,3-Dipolar Cycloaddition Reaction. Nanomaterials 2022, 12, 1070. [Google Scholar] [CrossRef]
- Li, X.L.; Zhang, B.Y.; Fang, Y.H.; Sun, W.J.; Qi, Z.Y.; Pei, Y.C.; Qi, S.Y.; Yuan, P.Y.; Luan, X.C.; Goh, T.W.; et al. Metal-Organic-Framework-Derived Carbons: Applications as Solid-Base Catalyst and Support for Pd Nanoparticles in Tandem Catalysis. Chem. Eur. J. 2017, 23, 4266–4270. [Google Scholar] [CrossRef]
- Xie, F.; Chen, Q.H.; Xie, R.; Jiang, H.F.; Zhang, M. MOF-Derived Nanocobalt for Oxidative Functionalization of Cyclic Amines to Quinazolinones with 2-Aminoarylmethanols. ACS Catal. 2018, 8, 5869–5874. [Google Scholar] [CrossRef]
- Zhao, X.; Fang, R.; Wang, F.; Kong, X.; Li, Y. Atomic design of dual-metal hetero-single-atoms for high-efficiency synthesis of natural flavones. Nat. Commun. 2022, 13, 10. [Google Scholar] [CrossRef] [PubMed]
- Long, J.L.; Shen, K.; Li, Y.W. Bifunctional N-Doped Co@C Catalysts for Base-Free Transfer Hydrogenations of Nitriles: Controllable Selectivity to Primary Amines vs Imines. ACS Catal. 2017, 7, 275–284. [Google Scholar] [CrossRef]
- Pérez-Mayoral, E.; Calvino-Casilda, V.; Soriano, E. Metal-supported carbon-based materials: Opportunities and challenges in the synthesis of valuable products. Catal. Technol. 2016, 6, 1265–1286. [Google Scholar] [CrossRef]
- Pérez-Mayoral, E.; Lopez-Peinado, A.J. Porous Catalytic Systems in the Synthesis of Bioactive Heterocycles and Related Compound. In Green Synthetic Approaches for Biologically Relevant Heterocycles, 2nd ed.; Brahmachari, G., Ed.; Volume 2: Green Catalytic Systems and Solvents; Elsevier: Amsterdam, The Netherlands, 2021; pp. 97–164. [Google Scholar]
- Wang, C.; Kim, J.; Tang, J.; Kim, M.; Lim, H.; Malgras, V.; You, J.; Xu, Q.; Li, J.; Yamauchi, Y. New strategies for novel MOF-derived carbon materials based on nanoarchitectures. Chem 2020, 6, 19–40. [Google Scholar] [CrossRef]

























| Catalysts | Precursor | Catalytic Reaction | Ref. |
|---|---|---|---|
| N,P,S co-doped carbon | ZnCo-ZIFs@PZS | Ethyl benzene to acetophenone Benzyl hydrocarbons to keto derivatives | [76] |
| NPS-HCS | ZIF-67@PZS | Aryl alkane oxidation | [77] |
| B,N-PCs | Bio-MOF-1 | Reduction of 4-nitrophenol | [78] |
| N-doped mesoporous carbons | ZIF-67 ZIF-8 Co-MOF-71 | Aerobic oxidation of cyclohexane, toluene to benzaldehyde and oxidative and coupling of benzylamine to N-benzylidene benzylamine | [79] |
| Catalyst | Precursor | Catalytic Reaction | Ref. |
|---|---|---|---|
| Oxidation reactions | |||
| Cu@C | Cu3(btc)2 | Alcohol oxidation | [80] |
| B-x (x = temperature) | MIL-88B | Aryl or alkyl alcohol oxidation | [81] |
| MDNM(75Zn25Mn or Ni) | (Zn/Mn or Zn/Ni) MOF-74s | Benzyl alcohol oxidation and 4-nitrophenol reduction | [82] |
| a-Cu@C | CuNbO-1 MOF: ([Cu(bpdc)(NO2)4)(H2O)]n | Benzyl alcohol to benzaldehyde | [83] |
| Reduction reactions | |||
| Cobalt-terephthalic acid MOF@C-800 | Cobalt-terephthalic acid MOF-800 | Aryl, heterocyclic and aliphatic nitriles to amines Aryl, heterocyclic and aliphatic nitro compounds to amines | [84] |
| Cu/Cu2O/C | Cu3(btc)2/phenol formal-dehyde resin | 4-Nitrophenol reduction to 4-aminophenol | [85] |
| Cu@C | Cu3(btc)2/H3PO4 | [86] | |
| Cu/Cu2O@C | Cu3(btc)2 + GO | [59] | |
| CuxO@C-400 | Cu3(btc)2 +filter paper | [87] | |
| a-Cu@C | CuNbO-1 MOF | Nitrobenzene to aniline | [83] |
| Ni/NiO@C | Ni-MOF-74 | Phenyl acetylene to ethyl benzene | [88] |
| Ni@C/Ni-MOF-74 | Ni-MOF-74 | Olefins hydrogenation to Alkanes | [89] |
| M2Si@C (M=Fe, Co, Ni) | MOFs-74/Cl2Si(CH3)2 | Chemoselective hydrogenation of cinnamaldehyde | [90] |
| Cu@C-H2 | Cu3(btc)2 | Butyl butyrate to buthanol | [91] |
| Miscellaneous | |||
| MOF-5-NPC-900-Pd | MOF-5 (Zn4O(H-bdc)3 | Suzuki–Miyaura coupling reaction | [92] |
| Cu/Cu2O-rGO | MOFs-Cu2O-rGO | Sonogashira coupling reactions | [93] |
| a-Cu@C | CuNbO-1 MOF | Iodobenzene to N-aryl imidazole | [83] |
| Cu@MOF-5-C. | Zn4O(bdc)3 | Multicomponent synthesis of propargyl amines | [94] |
| Pd/MPC | Fe-MIL-88A | Hydrodechlorination of 4-chlorophenol to phenol | [95] |
| MOF-5-NPC-900-Pd | MOF-5 (Zn4O(H-bdc)3 | Suzuki–Miyaura coupling reaction | [92] |
| Cu@C | Cu3(bdc)2 | Azide–alkyne Huisgen cycloaddition reaction to obtain triazole | [96] |
| Catalyst | Precursor | Catalytic Reaction | Ref. |
|---|---|---|---|
| Oxidation reactions | |||
| Co/C–N | Co9(btc)6(tpt)2(H2O)15 | 1-phenylethanol to acetophenone | [97] |
| Co@C−N | Zn/Co-ZIF | Benzylic alcohols to ketones | [98] |
| Ru3/CN | Ru3(CO)12@ ZIF-8 MOF | 2-aminobenzyl alcohol to 2-aminobenzaldehyde | [99] |
| Ni@C-N | Ni-bdc-dabco-based MOF | Alkane derivatives to ketones | [100] |
| Pd–Cu@HO-NPC | HKUST-@ImIP | Hydrocarbons to ketones | [101] |
| C-N-Co (ZC-700) | ZIF-67 | Epoxidation reactions of olefins | [102] |
| Co-CoO@C-N | Zn/Co-ZIF | [103] | |
| Co-CoO@Ndoped | Cobalt MOF (ZIF-67) | Alcohols to esters | [104] |
| C-N-Co | ZIF-67 | p-nitrobenzyl alcohol to methyl p-nitrobenzoate | [105] |
| Reduction reactions | |||
| Co@CN | [Co(tpa)(dabco)0.5] | Cinnalmaldehyde to cinnamal alcohol | [106] |
| Co@Pd/NC | ZIF-67 | Nitrobenzene to aniline | [107] |
| Co-CoO@N-C 25 | ZIF-67 | Nitrobenzene to aniline | [108] |
| Zn0.3Co2.7@NC | Zn0.3Co2.7-ZIF | 4-Nitrophenol to 4-aminophenol | [109] |
| Table 1 (continuation) | |||
| Cu/CuxO@CN | Cu2(bdc)2(bpy) | 4-Nitrophenol to 4-aminophenol | [110] |
| Ag1Pd9@NPC-UiO-66-800 | NH2-UiO-66 | Nitrobenzene to aniline | [111] |
| Co/N@C-800 | ZIF-67@PVP | Nitrobenzene to aniline | [112] |
| Co@CN | [Co(tpa)(dabco)0.5] | Cinnalmaldehyde to cinnamal alcohol | [106] |
| Pd/NPC-ZIF-8 | ZIF-8 | Vanillin to vanillin alcohol an p-creosol | [113] |
| Co@C-N | Co(bdc)(ted)0.5 | Transfer hydrogenation reactions | [114] |
| Co-Ni(3:1)@C-N | (M-M’(1,4-bdc)2(dabco)]·4DMF· 1/2H2O,M/M’=Co,Ni,Cu) | N-benzylidenebenzylamine via benzonitrile | [115] |
| CoNi@NCx | ZIF-67 | Hydrosilylation of cyclohexanone | [116] |
| Pd-MDPC | ZIF-67 | Alkynes to olefins | [117] |
| Pd@CN | ZIF-67 ((DICY; PVP) | Hydrogenation of phenol to cyclohexanone | [118] |
| Pd@CN600 | ZIF-67 | Hydrogenation of phenol to cyclohexanone | [119] |
| M-dabcotpa@C-800 | M-(dabco)(tpa) MOFs. (M=Fe, Mn, Co, Ni, or Cu) | Amination of aryl, heteroaryl or aliphatic aldehydes | [120] |
| Ru SAs/N−C o Ru NCs/C | UiO-66 (Zr6O4(OH)4(bdc)6 | Hydrogenation of quinoline | [121] |
| Miscellaneous | |||
| N-doped NPC-Pd | Al-(NH2-bdc) | Suzuki-Miyaura coupling reaction | [122] |
| APC-750@Pd | Zn-based ZIF | [123] | |
| Ni (Ni/NC) | (FA/NH4OH/Ni-MOF-74) | 1,2-dichloroethane to ethylene | [124] |
| Pd/Ni-mCN | Ni-MOF | Hydrodechlorination of 4-chlorophenol | [125] |
| N-doped carbons (N=Co, Zn) | ZIF-7, ZIF-8, ZIF-9, and ZIF-67 | CO2 cycloaddition to epoxides | [126] |
| ZnO@NPC-Ox | ZIF-8 | [127] | |
| CN@MIL | (BmimBr)/MIL-101 (ILs@MIL) | Synthesis of cyclic carbonates from epoxides | [128] |
| Cu@N-C | Copper(II) bisimidazolate | Cycloaddition reaction to 1,2,3-triazole | [129] |
| N-doped porous carbon (Cz-MOF-253) | MOF-253 | Knoevenagel condensation reaction between benzaldehyde and malononitrile | [130] |
| Co-ZrO2/N−C | UiO-66-NH2 | Synthesis of quinazolinones from cyclic amines and 2-aminoarylmethanols | [131] |
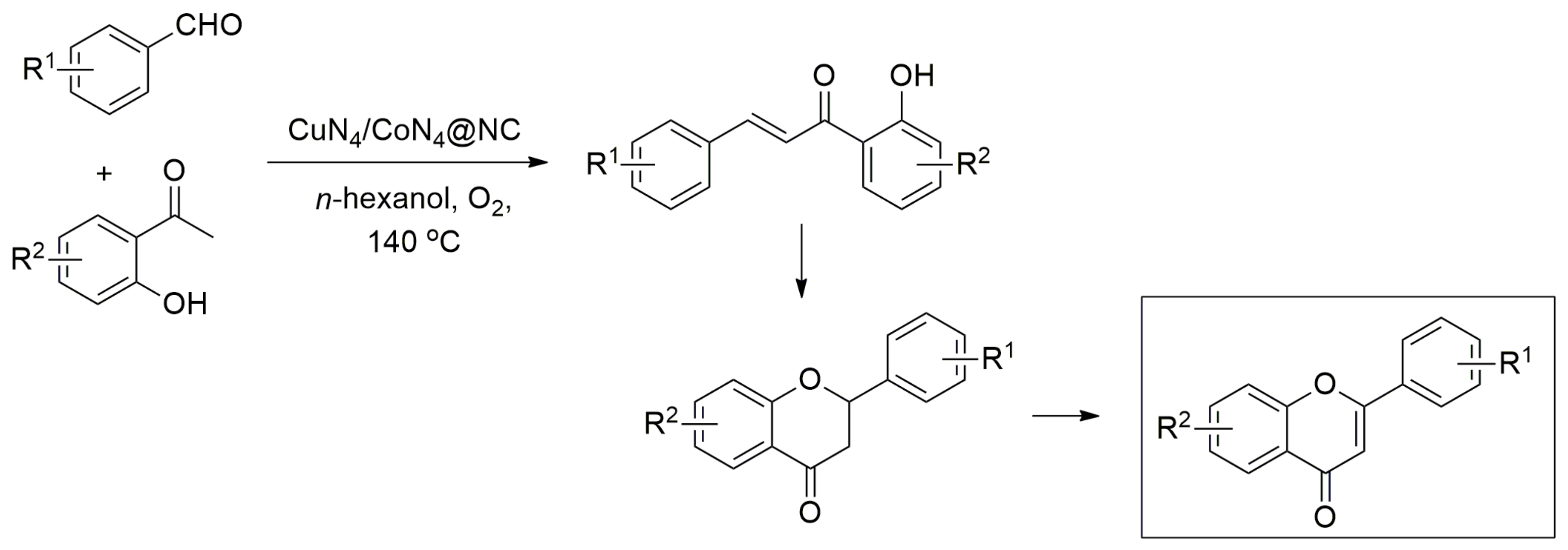
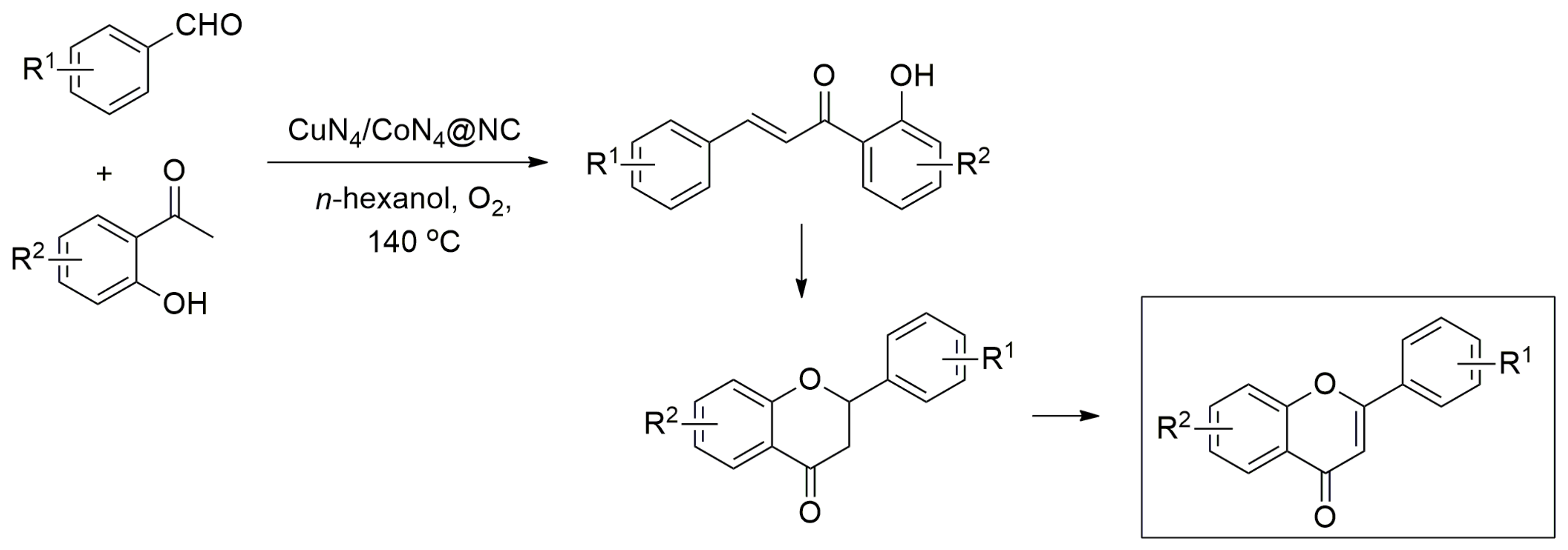
| MaN4/MbN4@NC (Ma=Cu, Co, Ni, Mn; Mb = Co, Cu, Fe) | Metallic ZIFs | Synthesis of flavone derivatives | [132] |
Disclaimer/Publisher’s Note: The statements, opinions and data contained in all publications are solely those of the individual author(s) and contributor(s) and not of MDPI and/or the editor(s). MDPI and/or the editor(s) disclaim responsibility for any injury to people or property resulting from any ideas, methods, instructions or products referred to in the content. |
© 2023 by the authors. Licensee MDPI, Basel, Switzerland. This article is an open access article distributed under the terms and conditions of the Creative Commons Attribution (CC BY) license (https://creativecommons.org/licenses/by/4.0/).
Share and Cite
Pérez-Mayoral, E.; Godino-Ojer, M.; Matos, I.; Bernardo, M. Opportunities from Metal Organic Frameworks to Develop Porous Carbons Catalysts Involved in Fine Chemical Synthesis. Catalysts 2023, 13, 541. https://doi.org/10.3390/catal13030541
Pérez-Mayoral E, Godino-Ojer M, Matos I, Bernardo M. Opportunities from Metal Organic Frameworks to Develop Porous Carbons Catalysts Involved in Fine Chemical Synthesis. Catalysts. 2023; 13(3):541. https://doi.org/10.3390/catal13030541
Chicago/Turabian StylePérez-Mayoral, Elena, Marina Godino-Ojer, Ines Matos, and Maria Bernardo. 2023. "Opportunities from Metal Organic Frameworks to Develop Porous Carbons Catalysts Involved in Fine Chemical Synthesis" Catalysts 13, no. 3: 541. https://doi.org/10.3390/catal13030541
APA StylePérez-Mayoral, E., Godino-Ojer, M., Matos, I., & Bernardo, M. (2023). Opportunities from Metal Organic Frameworks to Develop Porous Carbons Catalysts Involved in Fine Chemical Synthesis. Catalysts, 13(3), 541. https://doi.org/10.3390/catal13030541

