Abstract
In recent years, due to the high consumption of drugs both for human needs and for their growing use, especially as regards antibiotics, in the diet of livestock, water pollution has reached very high levels and attracted widespread attention. Drugs have a stable chemical structure and are recalcitrant to many treatments, especially biological ones. Among the methods that have shown high efficiency are advanced oxidation processes (AOPs) which are, among other things, inexpensive and eco-friendly. AOPs are based on the production of reactive oxygen species (ROS) able to degrade organic pollutants in wastewater. The main problem related to the degradation of drugs is their partial oxidation to compounds that are often more harmful than their precursors. In this review, which is not intended to be exhaustive, we provide an overview of recent advances in the removal of organic drugs via advanced oxidation processes (AOPs). The salient points of each process, highlighting advantages and disadvantages, have been summarized. In particular, the use of AOPs such as UV, ozone, Fenton-based AOPs and heterogeneous photocatalysis in the removal of some of the most common drugs (tetracycline, ibuprofen, oxytetracycline, lincomycin) has been reported.
1. Introduction
Water is a fundamental need of human beings, and its main sources are rivers, lakes, aquifers and the desalination of seawater which, however, is exploited in a more limited way. With population growth and industrialization, almost all water sources are contaminated mainly by agricultural and industrial waste. As a result, one of the biggest problems facing humanity in the 21st century may be the sustainable use of water. For the remediation of water pollution, scientific society is attracted to the development of sustainable and green technologies [1].
Due to the rapidly growing demand for various products to treat humans and animals, pharmaceutical companies are expanding significantly. Molecules of pharmacological importance present in drugs are widespread in the environment [2,3]. In seawater, lakes, rivers, surface waters, urban wastewater and drinking water, their concentrations have been found to range between ng and µg per liter [4,5,6]. Furthermore, it must be kept in mind that, due to their presence, synergistic interactions can occur in these water systems which generally significantly increase ecotoxicity [7].
In this context, drug metabolites are not completely removed, which can increase the concentration of drugs in wastewater from treatment plants [8]. Drugs are difficult to remove from water systems through traditional wastewater treatment methods due to their particularly stable structure which hinders their complete degradation and their high hydrophilic properties [9,10]. Traditional methods such as biological treatment [11], adsorption [12], nanofiltration [13] and membrane bioreactors [14] have been used for their removal, but these methods are often not very efficient and/or give rise to a transfer of the pollutant rather than its total abatement. Therefore, alternative technologies have been developed.
Among the different methods for drug removal, advanced oxidation processes (AOPs) can be considered economical, flexible and highly efficient methods for destroying persistent organic molecules [15,16]. AOPs are generally known for in situ production of strongly oxidizing species in sufficient quantity and low selectivity such as hydroxyl radicals (HO•), O3, H2O2 and superoxide anion radicals (O2•−). These species almost always cause complete mineralization to CO2, H2O and inorganic compounds of the attacked molecule and, under certain operating conditions, could be preferred from an environmental point of view [17]. For example, they are highly effective in providing clean drinking water free of organic and inorganic substances and microorganisms [18]. The main advantage of AOPs compared to other available methods, however, is that they are completely ecological not only because they do not involve the removal of pollutants from one place to another (think for example of the precipitation of pollutants by chemical substances or their adsorption) but also because they do not produce large quantities of harmful waste [19,20].
Research progress on AOPs has increased significantly over the last 30 years, mainly due to the availability of a significant variety of technologies and numerous application areas. Among the main AOPs, we can mention ozonation, electrolysis, ultrasound, the use of Fenton reagents or various types of membranes, UV-based processes and heterogeneous photocatalysis using near-ultraviolet (UV) or visible light irradiation [21]. Less common but developing methods involve ionizing radiation, microwaves [22] and ferrate reagents. AOPs have been used for a variety of purposes, including odor control, groundwater purification, soil remediation and volatile organic compound treatment, but wastewater treatment is by far the most frequently studied and developed [23,24]. The application of AOPs, however, must be carefully evaluated considering their overall sustainability, chemical input, energy use and feasibility in real systems, comparing their effectiveness and cost with other traditional processes [25].
AOPs can be used alone or in combination with other biological and physico-chemical processes, depending on the properties of the wastewater to be treated and the purposes of the treatment. In principle, process coupling is advantageous because it generally increases the efficiency of the treatment. For example, AOPs could be used as a pre-treatment step to transform originally bio-recalcitrant molecules into other more easily biodegradable species, which would then be subjected to biological post-treatment. However, for drugs containing biodegradable substances, biological pre-treatment following chemical post-treatment might also be desirable since, even if biodegradable substances can be easily eliminated initially, the effectiveness of biodegradation is not comparable to that of a chemical oxidizing treatment [26].
All AOPs involve the in-situ production of the main oxidant species and the consequent combination of these species with contaminants. Reactor design and drug composition have an impact on the formation of reactive species, which are mainly radicals. In addition to radical scavenging, other factors including hydrodynamics and mass transfer of radicals are crucial for effectively destroying drugs [27]. Different types of AOPs are illustrated in Figure 1.
Figure 1.
Different advanced oxidation processes.
1.1. UV-Based AOPs
UV-based AOPs are those processes that use ultraviolet (UV) light alone or in the presence of radical promoters for the degradation of organic compounds. Radical-based UV AOPs use only UV light to generate oxidant species, but other processes use Cl2 (to generate radicals of the chlorine species and hydroxyl radicals), ozone, H2O2 and persulfate (to generate sulfate radicals).
Low-pressure Hg vapor lamps with a partial pressure of approximately 1 Pa are the most common UV radiation sources for UV-based AOPs. The efficiency of these lamps is 25–45% in the range of the emitted wavelength. The emission spectra of low-pressure Hg lamps show two distinct lines at approximately 254 and 185 nm. The line emitted at the wavelength of 254 nm is very useful for disinfection. In fact, UV light inactivates microbes which cause damage to DNA or RNA molecules, preventing their reproduction [28].
1.1.1. UV Irradiation
UV irradiation involves the direct interaction between UV light and a target pollutant and the induction of chemical reactions that can break down the pollutant into intermediate products whose subsequent decomposition eventually provides mineral end-products [29,30]. Traditionally, UV treatment has been used to disinfect drinking water with the benefit of limiting the creation of any regulated waste products of disinfection [31].
The homolysis (Equation (1)) and photochemical ionization (Equation (2)) of water are generated through UV light absorption:
The main advantages of the AOP with UV irradiation are that it requires a relatively short time to treat, and the use of chemicals is not necessary, ensuring that no residual substances are produced during the process [1]. The degradation efficiency of drugs under UV light in water depends on several factors. Different types of buffer solutions can be used to modify the pH, but this generally has an important impact on the degradation of drugs as free radicals may be formed which are linked to the species constituting the buffer and interfere with the degradation mechanism [32].
1.1.2. UV/H2O2
UV/H2O2 is the most used AOP for the degradation of drugs. H2O2 present in solution gives rise to the production of two HO• radical species through the photolytic cleavage of the O-O bond (initiation step) (Equation (3)).
After the formation of two hydroxyl radicals, a chain of reactions is formed (propagation and termination steps) (Equations (4)–(9)) [33].
Some factors, i.e., pH, H2O2 concentration, organic compound structure, HO• formation rate and water contents, influence the efficiency of UV/H2O2 AOP. At alkaline pHs, the absorption of CO2 from the air increases, so the reaction should be carried out in a closed vessel to counteract this effect. The decrease in pH has a direct effect on the concentration of carbonate and bicarbonate ions resulting from the absorption of CO2; therefore, the effectiveness of the process can increase as the amount of HO• radicals in the solution increases [1].
1.1.3. UV/Chlorine
The UV/chlorine process is an interesting AOP because the chlorine (Cl2) used in water is a common disinfectant and UV-activated chlorine radicals (Cl•) are formed. Chlorine dioxide (ClO2) and the hypochlorite radical (ClO•) are the two main oxidizing species [34]. This method involves the addition of a sodium salt (Na+ + ClO−) to an aqueous solution, and ClO− is also present as the protonated form HClO (pKa = 7.52), depending on the pH values. This system involving an acid–base equilibrium is known as active chlorine (AC) [35]. The chlorine radical prefers to react with electron-rich molecules, so it is a more selective oxidant than the hydroxyl radical [36]. This method is generally useful for the treatment of wastewater with low pH values [37]. Indeed, pH significantly influences the molar absorption coefficient as the ratio between HOCl and ClO− can change significantly.
Below are the main equations (Equations (10)–(12)) representing the process. Under UV light irradiation of an aqueous HClO solution, HO• and Cl• radicals are obtained [38,39] (Equation (10)). These highly reactive radicals subsequently interact with HClO to form the chlorine monoxide radical (ClO•) (Equations (11) and (12)).
Various types of active species such as HO•, AC, Cl• and ClO• coexist and often act in a complementary manner for efficient degradation of the pollutant. HO•, which is a selective oxidant, reacts at approximately the same rate with the organic species present [40]. Cl•, which is more selective, reacts with electron-rich organic components via H-abstraction, one-electron oxidation and addition to unsaturated C-C bonds. Cl• is very reactive towards benzoic acid and phenol, compared to the HO• radical [41]. In conclusion, the UV/chlorine AOP is more efficient than the UV/H2O2 AOP for the removal of drugs such as tolytriazole, iopamidole and benzotriazole [42].
1.1.4. UV/O3
Ozone (O3) in combination with UV light irradiation increases the concentration of HO• radicals, improving drug removal efficiency. During the reaction, the by-product H2O2 is formed which, however, can in turn decompose into two HO• radicals [43,44]. Equations (13) and (14) summarize these reactions:
O3 at extremely high concentrations can act as a radical scavenger and interact with them or give rise to secondary reactions by decomposing and inhibiting the oxidation process. It can react directly and electrophilically with the organic compounds to be broken down or indirectly through a radical reaction. However, the main reaction in the UV/O3 system is the interaction of HO• with the organic pollutant because the direct oxidation rate with molecular O3 is slower [45].
1.1.5. UV/SO4•−
SO4•− is a strong monoelectronic oxidant that shows higher degradation efficiency than HO• under neutral and alkaline conditions due to its higher redox potential and longer lifetime [46]. These electrophilic radicals can rapidly oxidize some aromatic compounds through the abstraction of hydrogen atoms and the transfer of single electrons [47]. Compared to HO•, SO4•− can easily promote electron transfer but at a slower rate than the extraction and addition of hydrogen atoms [48]. pH is a crucial factor in oxidation in the presence of SO4•− for drug degradation. In fact, the production of HO• and sulfate radicals increases with an increase in the pH, but it must be considered that the increase in these radicals involves their interaction with OH− and causes an overall decrease in the reaction rate [49].
Sulfate radicals can be produced using peroxydisulfate (PS) or peroxymonosulfate (PMS). The radicals, in particular, can be generated from PS through its homolytic cleavage by UVC radiation (Equation (15)), in the presence of a photocatalyst which provides the photoproduced electron (Equation (16)) or heat (that can be also generated by microwaves) (Equation (17)).
1.1.6. Advantages and Disadvantages of UV-Based AOPs
In Table 1 the main advantages and disadvantages of UV-based AOPs are reported.
Table 1.
Advantages and disadvantages of UV-based AOPs.
1.2. Ozone-Based AOPs
1.2.1. O3/H2O2
The combination of O3 with H2O2 is an efficient method for the degradation of organic drugs. This method is also known as peroxone in which the decomposition of O3 takes place after the production of from H2O2 (Equations (18) and (19)) [56].
It is important that neither an excessive quantity nor a too-low quantity of H2O2; is used because an excessive quantity can cause a decrease in HO• species with the formation of (Equation (20)) and a too-low quantity can be insufficient for oxidizing organic drugs while achieving dissociation of the H2O2 molecule (Equation (21)):
1.2.2. Catalytic Ozonation
In this process, catalysts react with O3, increasing the degradation rate of drugs by generating HO• radicals following the decomposition of O3 [57]. Homogeneous catalytic ozonation involves the use of different transition metal ions (Mn2+, Ni2+, Co2+, Cr2+, Ag2+, Zn2+, Cd2+, Fe2+, Cu2+) which function as catalysts for the degradation of organic drugs [58].
Ozone decomposition performance improves in the presence of highly stable heterogeneous catalysts which consequently can be recycled and reused without prior further treatment after the first use. Because of these advantages, heterogeneous catalytic ozonation is often used to treat aqueous effluents. In addition to the nature of the catalyst, in particular, its surface chemical–physical characteristics, and the pH of the solution, which influence the properties of the surface catalytic sites, the degradation processes of ozone in water is extremely important for the performance of catalytic ozonation [59]. The main heterogeneous catalysts used in coupling with O3 are TiO2 [60], MgO [61], MnO2 [62], ZnO [63], SiO2 [64] and CuFe2O4 [65].
1.2.3. Electro-Peroxone
In recent years, researchers have been attracted to electrochemical methods for water treatment. Advantages over traditional methods are, for example, the possibility of obtaining chemicals on site and often easy maintenance and reliable performance [66].
The electro-peroxone (E-peroxone) process is a new AOP that is a combination of traditional electrolysis and ozonation. H2O2 is produced in situ inside an electrolytic device which allows its quantity in the reaction medium to be controlled. This avoids the transport, management and storage of this chemical product which is dangerous and explosive [35]. The polluting drugs to be treated are present in a reactor equipped with a carbon-based cathode which converts the ozone (in reality it is a mixture of O3 and O2) coming from the generator and present in the effluent into H2O2 through an electrochemical reaction (Equation (22)). The H2O2 formed reacts with O3 to produce HO• radicals which play a major role in drug degradation (Equation (23)) [67,68,69,70].
1.2.4. Advantages and Disadvantages of Ozone-Based AOPs
In Table 2 the main advantages and disadvantages of ozone-based AOPs are reported.
Table 2.
Advantages and disadvantages of ozone-based AOPs.
1.3. Fenton-Based AOPs
1.3.1. Fenton-like Process
The Fenton process involves the formation of HO• radicals through a series of reactions of H2O2 with Fe(II) salts. The reagent system is called the Fenton reagent [77,78] (Equations (24) and (25)).
A hydrogen atom of the organic drug to be treated (R-H) is extracted by the HO• radicals to produce an organic radical (R•) which gives rise to a chain reaction up to the final oxidation products (Equations (26)–(28)). H2O2 and Fe2+ should oxidize the drug to H2O and CO2 (and to inorganic species deriving from the possible presence of heteroatoms in the molecule) even without the presence of HO•/R•, radicals, obviously with different kinetics. However, it must be considered that the HO• radicals produced can be further involved in subsequent reactions which have a negative effect on the oxidation reactions (Equations (29)–(31)):
The optimal pH at which one must operate with the Fenton reagent must be between 3 and 5 as under neutral and near-neutral pH conditions, Fe3+ would react with HO•, producing insoluble ferric hydroxide which would separate from the solution. Consequently, the efficiency of the oxidation process would decrease, and continuous addition of Fe2+ ions should be necessary.
Finally, it should be noted that there is still a different hypothesis regarding the oxidizing species and their production. Without wanting to go into detail, referring to the specific papers, we only mention the possibility of the involvement of the high-valence ferryl-oxo species Fe(IV), instead of HO• radicals, and in that case, Equation (24) can be replaced with the following Equation (32):
1.3.2. Photo-Fenton
In the photo-Fenton process (PFP), under UV irradiation, the reaction of H2O2 with Fe2+ occurs, producing HO• radicals in quantities sufficient for oxidizing drugs. The operating mechanism of this process involves the photochemical regeneration of Fe2+ ions through the photoreduction of Fe3+ ions (Equation (33)). In particular, when all the Fe2+ ions are used in the Fenton reaction, the Fe3+ ions start to accumulate in the solution, and the reaction stops. The use of light, however, allows the cycle to continue as the Fe2+ ions which are necessary for the reaction with H2O2 are photochemically reformed [77,79,80].
In the case of post-treatment of raw leachate, it should be noted that the concentration of total dissolved solids (TDSs) and the degree of turbidity significantly influence the performance of UV irradiation [81].
1.3.3. Electro-Fenton
The electro-Fenton process (EFP) is considered an efficient method for the degradation of drugs based on electrocatalytic in situ generation of hydroxyl radicals. It can be conducted in two different setups. In the first case, the ferrous ions are introduced into the reactor from the outside and H2O2 is produced at the cathode (Equation (34)). In the second possible configuration, also Fe2+ ions are produced in situ using cast iron sacrificial anodes (Equation (35)). EFP has some advantages over the traditional Fenton process; this method, in fact, allows better control of the process and does not require the transport or storage of H2O2 [82,83]. Furthermore, the electro-Fenton process is environmentally friendly and does not produce any harmful pollutants [84]. The main weakness of EFP is the operating cost, principally the chemical cost, when used on a practical scale.
1.3.4. Photoelectro-Fenton
The photoelectro-Fenton process (PEFP) is a combination of photochemical and electrochemical processes with the Fenton process. This method involves UVA light and the electrochemical production of H2O2 which is used for the treatment of wastewater. The photoreduction of Fe(III) occurs, producing a high amount of HO• radicals and Fe(II) (Equation (36)). Fe(III) can form complexes with some organic compounds present in solution that absorb in the near-UV and visible region. In this way, they can be decarboxylated under irradiation (Equation (37)) [85,86,87].
1.3.5. Advantages and Disadvantages of Fenton-Based AOPs
In Table 3 the main advantages and disadvantages of Fenton-based AOPs are reported.
Table 3.
Advantages and disadvantages of Fenton-based AOPs.
1.4. Ultrasonic Methods
In water, ultrasonic radiation that is emitted at values >20 kHz generates HO• radicals that induce the degradation of pollutants by means of the so-called ultrasonic method (US). A process known as acoustic cavitation is used in the US and causes bubbles to form, grow and collapse in liquids due to the extremely high temperatures and pressures created within them [93]. The US is also known as sonolysis (Equation (38)) [94].
Sonolysis is a fairly recent method for drug degradation, and therefore, it has not received much attention compared to other AOPs. There are very few publications on it. The degradation of many poorly soluble and very volatile organic drugs occurs rapidly, and consequently, this method could be useful for attacking pharmaceutical micropollutants. The efficiency of the US depends on several factors such as the type of drug, the intensity and frequency of the ultrasound, the temperature and the configuration of the reactor [26].
In Table 4 the main advantages and disadvantages of sonolysis are reported.
Table 4.
Advantages and disadvantages of sonolysis.
1.5. Membrane-Based AOPs (M-AOPs)
Many organic micropollutants are not mineralized completely or to any great extent using a single traditional or advanced oxidation process. To improve degradation efficiency and successfully remove organic micropollutants, the combined use of different methods operating synergistically in hybrid systems has been proposed as an alternative approach [97,98]. Membrane processes such as distillation, nanofiltration and reverse osmosis can be applied for the removal of organic drugs from water or wastewater. However, in separation using membranes, contaminants are simply transferred to a concentrated phase but are not transformed or mineralized. Furthermore, during the filtration process, the membrane can deteriorate due to fouling and obtaining retentate in large quantities [99]. Taking this into account, the coupling of filtration processes and AOPs has recently been proposed as a strategy for the treatment of polluted effluents [51].
In an M-AOP, the AOP has the primary role of degrading the target drug into less hazardous contaminants. The membrane plays a secondary role because it simply allows the passage through it of the less dangerous species obtained after the action of the AOP that, moreover, can prevent fouling and keep the membrane in the best possible operating condition.
Combined M-AOP filtration systems can be classified into different categories, depending on the type of AOP used and how the formation and oxidizing action of HO• radicals occur in the reaction medium. An interesting proposal involves using the AOP method to oxidize complex drug target molecules and then performing membrane filtration to separate the oxidized products. The type of membrane to be selected depends on the properties of the effluent and the size of the oxidized substrate to be separated, ultimately depending on the type of oxidizing reaction. The ability of membranes to couple with AOPs is still under discussion, considering in particular the polymeric ones that could be sensitive to heat, chemical attacks and irradiation, especially for long operating times [51].
In Table 5 the main advantages and disadvantages of Membrane-Based AOPs are reported.
Table 5.
Advantages and disadvantages of membrane-based AOPs.
1.6. Electrochemical AOPs
Electrochemically based AOPs are called electrochemical advanced oxidation processes (EAOPs) and can be used for wastewater treatment. In EAOPs HO• radicals are formed directly (anodic oxidation (AO)) or indirectly via the Fenton reagent (electro-Fenton (EF)). In AO, oxidation of water occurs and produces HO• radicals at an anode having a high O2 overvoltage (Equation (39)) [101].
In turn, EF involves the reaction providing HO• radicals between the Fenton reagent and H2O2 which is produced electrochemically at the cathode (Equation (40)) [102].
The type and quantity of reactive species created during an EAOP depend on various factors. The main ones are the composition of the polluted water, the material from which the electrodes are made and the applied potential [103]. The advantages and disadvantages of the method are shown in Table 6.
Table 6.
Advantages and disadvantages of electrochemical AOP.
1.7. Zero-Valent Iron
Zero-valent iron (ZVI) is a very promising material, abundant, cheap, easy to produce and practically non-toxic. Therefore, it can be successfully used to degrade drugs [105,106]. The electrons that are produced directly by ZVI react with the molecules of the drug to be broken down and transform them into less dangerous contaminants. ZVI in the presence of dissolved oxygen (DO) can oxidize various organic pollutants because ZVI provides two electrons to O2, producing H2O2 (Equation (41)) which can further react with two electrons also provided by ZVI and can transform into H2O (Equation (42)). The strongly oxidizing HO• radicals produced by the reaction of Fe2+ and H2O2 (Equation (43)), as in many other methods, are ultimately responsible for the attack on drugs and their degradation [107]:
In Table 7 the advantages and disadvantages of zero-valent iron are reported.
Table 7.
Advantages and disadvantages of zero-valent iron.
1.8. Sulfate Radical-Based AOPs
As an alternative to HO• radicals, sulfate radical (SO4•−)-based AOPs have been extensively studied for wastewater treatment. SO4•− radicals are produced from two strong oxidants, namely persulfate (also called peroxydisulfate (PS)) and peroxymonosulfate (PMS), whose oxidation potentials are 2.1 and 1.82 eV, respectively. Their decomposition is illustrated in Equations (44) and (45) [54,110]:
Persulfate, in particular, is a promising oxidant as it is quite stable at room temperature and is not very selective for drug degradation. The activation of PS and PMS to produce SO4•− radicals can occur in various ways using heat, UV light, ultrasound, alkali, transitional ions or metal oxides [111,112].
In Table 8 the advantages and disadvantages of Sulfate-Based AOPs are reported.
Table 8.
Advantages and disadvantages of sulfate-based AOPs.
1.9. Microwave-Based AOPs
Electromagnetic radiation within the frequency range of 0.3 to 300 GHz is referred to as microwave (MW) radiation. To prevent interference with cellular phone and telecommunication frequencies, all microwave reactors used for chemical synthesis and home kitchen microwave ovens operate at 2.45 GHz [114]. In the last few years, the use of MW irradiation has been widely studied in environmental applications such as wastewater and sewage treatment, soil remediation and biomedical applications [115,116,117] due to its rapid and uniform heating, “hot spot” effect and nonthermal effect. Although the use of microwaves alone was found to be not very efficient for drug removal, their combination with other AOPs is very promising because can it allow the mineralization of any organic pollutant [22,118,119,120]. MW-based AOPs (MW-AOPs) include mainly MW-enhanced photochemistry, MW-enhanced Fenton process, MW-activated persulfate, MW-assisted ultrasonic and MW-assisted ozone [121,122,123,124], and in these cases, MW radiation enhances the formation of ROS active species (such as HO•, SO4•−, O2•−), improving the process performance. The drawback is that MW-AOPs are currently only used on a laboratory scale, and furthermore, cost analyses have revealed their economic limitations [119].
1.10. Heterogeneous Photocatalysis
The heterogeneous photocatalysis AOP has been extensively studied over the past two decades and applied to drug degradation. This method appears to be more effective than other AOPs since some semiconductors are generally less expensive and non-selective, i.e., they can easily mineralize a large variety of toxic organic molecules [125,126]. The optoelectronic properties of a photocatalyst that behaves as a semiconductor depend on the energy of the conduction band (CB) and that of the valence band (VB). The energy difference between the two bands, called the bandgap, corresponds to the energy difference between the bottom of the conduction band and the top of the valence band. This value is between 1.0 and 4.0 eV in semiconductors, and therefore, thermal or light stimulation can increase the conductivity by transferring electrons from the valence band to the conduction band [1].
In heterogeneous photocatalysis, activation can be caused by irradiating the semiconductor with solar or artificial light. It must be considered that semiconductors and reagents are in two different phases. When a semiconductor is irradiated by light of an appropriate energy, the photoexcitation of electrons from the VB to the CB occurs, with the formation of positive holes in the VB. The photoproduced electrons and holes migrate to the surface of the catalyst and act as reducing and oxidizing agents, respectively. The holes can directly oxidize the species adsorbed on the surface of the photocatalyst or interact with the adsorbed water in the case of aqueous solutions producing HO• radicals. The latter, in turn, attack the polluting molecules found near the surface or adsorbed on nearby sites. The molecules can be attacked in subsequent steps and are transformed into non-toxic products until complete mineralization into H2O and CO2 and any inorganic ions containing heteroatoms present in the degraded organic molecule [111]. The photocatalytic mechanism of drug degradation is reported as follows (Equations (46)–(52)) and in Figure 2:
Figure 2.
Photocatalytic mechanism of drug degradation.
O2•− and HO• radicals react with a drug and transform it into other less harmful products.
TiO2 is the most studied and used semiconductor for drug abatement due to its high chemical and thermal stability, wide availability, non-toxicity, cost-effectiveness and corrosion resistance [126]. However, TiO2 has limitations due to its wide bandgap (3.0 eV and 3.2 eV in the case of the rutile and anatase polymorphs, respectively) and poor activity under the irradiation of sunlight (which contains only 4–5% of energetically effective photons for its excitation). Consequently, considerable efforts have been made to improve the performance of TiO2-based photocatalysts for practical applications, mainly through modifications and/or combinations with other semiconductors [127,128].
In Table 9 the advantages and disadvantages of heterogeneous photocatalysis are reported.
Table 9.
Advantages and disadvantages of heterogeneous photocatalysis.
1.11. Advanced Reduction Processes (ARPs)
Advanced reduction processes (ARPs) combine both activation methods and reducing agents to form highly reactive reducing radicals that can degrade oxidized contaminants. In order to determine the most efficient ARPs, different studies were carried out by applying several combinations of activation methods (ultraviolet light, ultrasound, electron beam and microwaves) and reducing agents (dithionite, sulfite, ferrous iron and sulfide) for the degradation of target contaminants at different pH-levels [129]. Many studies have been also carried out on reactions involving reducing free radicals [130], but only a few examples of the applications of reducing radicals to water treatment/contaminant degradation are present in the pertinent literature.
Ibrahim et al. [131], for the first time, expanded the concept of advanced reduction processes to green chemistry procedures. Indeed, they synthesized and characterized binary nanocomposites of TiO2 nanotubes with CoFe2O4 ferrites and used them for the photocatalytic reduction of 4-nitrophenol to 4-aminophenol. Successively, ARPs have been used to degrade chlorinated organic contaminants such as 1,2-dichloroethane [132] and for the degradation of persistent pollutants such as per- and polyfluoroalkyl substances (PFASs) in water [133]. The degradation was achieved by coupling various advanced reduction processes that combine ultraviolet (UV) irradiation with various reagents (dithionite, sulfite, sulfide, ferrous iron). ARPs are capable of reducing the toxicity of the solution but do not lead to complete mineralization of the drugs.
Yu et al. [134] applied both advanced oxidation and reduction processes to the degradation of diclofenac and compared the reaction mechanism and the residual toxicity. Some of the intermediates formed by the two processes are different. Notably, with an AOP, a less efficient reduction in toxicity is accomplished, and with ARP, a higher irradiation dose is necessary. Similar results were found during the degradation of tetracyclines [135].
2. Factors That Affect the Degradation Efficiency
There are many factors that influence the degradation efficiency of drugs, such as pH, the initial concentration of the molecule to be degraded, the quantity of catalyst and the temperature.
2.1. pH
The pH is an important factor because varying the electrical charge of the functional groups on the surface of the catalyst due to the presence of an excess of HO• (basic pH values) or an excess of H+ (acidic pH values) in the solution produces various types of degradation products. In other words, therefore, changing the pH of the solution alters the surface charge of the semiconductor and shifts the potential of surface chemical reactions. In addition to the electrochemical/thermodynamic reasons, it must be considered that the reaction rate is also significantly influenced by the adsorption of drugs on the surface of the semiconductor. The degree of adsorption and the strength with which the reacting species adsorb depend greatly on the surface charges which in turn depend on the pH [136].
2.2. Initial Concentration of Drug
The initial concentration of the drug in the solution also plays an important role in its degradation during the photocatalytic reaction. In general, keeping the amount of catalyst constant, the degradation rate decreases as the drug concentration increases [137]. It must be kept in mind that an excessive concentration of the drug to be degraded could slow down the reaction because the molecules would not have sufficient sites available to adsorb and be attacked by oxidizing radicals.
2.3. Amount of Catalyst
The amount of photocatalyst also has an important influence on drug degradation. In heterogeneous photocatalysis, an increase in the degradation rate of the substrate is observed as the amount of catalyst increases. This is because a larger surface area has more active sites and therefore more HO• radicals that can contribute to drug degradation. However, after a certain limit that depends on the type of solid and the solution in which it is suspended, the degradation efficiency begins to decrease as the catalyst increases. In fact, the radiation is partially shielded due to the excessive turbidity of the solution and the formation of particle aggregates with a consequent decrease in surface area [138].
2.4. Temperature
The effect of temperature has a limited effect on heterogeneous photocatalysis used to degrade drugs dissolved in aqueous effluents. An increase in it can increase the recombination rate of the photoproduced charges and favor the desorption of the reactive species adsorbed on the surface, causing a decrease in the photocatalytic efficiency [125]. However, a moderate increase could favor the desorption of some types of products, increasing the efficiency of the process (especially in gas–solid systems), and in this case, there is an optimal temperature even higher than the ambient one at which the experiments should be carried out.
2.5. Dosage of Reactive Oxygen Species (ROS)
During the application of AOPs, the concentration of ROS influences the extent of conversion/mineralization of the drugs, the reaction mechanism, and the reaction rate. The degradation of tetracycline in the presence of increasing amounts of peroxydisulfate (PS) showed a volcano-like trend [139]. First, the degradation rate increased with the PS concentration due to the enhanced production of SO4•− radicals, but when the PS concentration became high, the TC degradation rate began to decrease because some SO4•− radicals could be scavenged by PS.
The selection of an appropriate O3 amount is very important for the degradation of drugs. The increase in ozone up to a certain amount generally has a beneficial effect because it improves the generation of HO• radicals [56]. The behavior is not general and depends on the rate at which a drug is interacted with. Drugs can be easily degraded with a low dosage of ozone if they react with molecular ozone quickly, and a higher dosage is necessary if the reaction of a drug with ozone is difficult [140].
It is important also to use the optimum amount of H2O2 because an excess amount can lead to the formation of unwanted by-products and a low amount does not produce enough HO• to obtain the complete mineralization.
2.6. Water Matrix
In an actual water matrix, different species such as natural organic matter (NOM), dissolved organic matter (DOM) and inorganic ions are abundantly present and affect the degradation of drugs in a positive or negative way [141,142]. When ionic species interact with drugs, they can be transformed into high-redox-potential radicals boosting the reaction rates, or they can function as free radical scavengers slowing down the degradation rate. Moreover, in the presence of a catalyst, they can compete with organic compounds for the same adsorption sites. Depending on the existence of promoting and inhibiting compounds, the water matrix may be crucial.
3. Strategies for Improving the Efficiency of AOPs: Use of Nanomaterials and/or Coupling with Conventional Techniques
Nanotechnology is very promising for treating polluted aqueous effluents and in general for environmental remediation through the development of AOPs. In fact, the notable reduction of toxic by-products is favored, and this is essential to meet water quality standards [143]. Furthermore, nanotechnology can offer economic advantages over conventional techniques, thanks to industrial production and new methods that use inexpensive raw materials and reduce energy use. In particular, the use of nanoparticles which increase the efficiency of the treatment is envisaged [144]. The beneficial role of the nanoparticles is mainly due to the increase in surface area, although the quantum size effect cannot be neglected, which can be summarized very briefly in the fact that if the particle size of a semiconductor decreases to the nanometric level, a widening of the bandgap occurs with a consequent shift of the light absorption to higher energy (blue shift) [145].
Dendritic polymers, metal/metal oxide nanoparticles, zeolites and carbon-based nanomaterials are essential for wastewater degradation, as they contain multi-branched chains and can more efficiently adsorb organic pollutants and heavy metals.
Nanomaterials combined with AOPs offer great potential to achieve a significant improvement in water treatment by not only removing contaminants but also transforming them into non-harmful compounds or compounds that can be easily degraded. However, most AOPs combined with nanomaterial-based methods are still under investigation, and further investigation and development are needed to increase their potential [146].
In the next paragraphs, we will report very briefly on some innovative oxidation processes for the treatment of contaminated water which may also involve the use of nanomaterials. They are characterized by relatively low costs and high efficiency [147].
3.1. UV/H2O2 Processes
The UV/H2O2 process in the presence of nanomaterials is a promising technology for the abatement of organic pollutants in water since the small size of the nanomaterials increases the degradation efficiency due to the increase in surface area [148].
In fact, the UV/H2O2 process, due to its low molar absorption coefficient, cannot effectively degrade pollutants as complete mineralization is often not achieved. Moreover, combining this process, for example, with TiO2 nanoparticles, which function as a photocatalyst, can significantly improve efficiency [149]. Notably, the UV/H2O2/TiO2 process, when combined with ZnO nanoparticles, increases the degradation rate even further with the production of a higher amount of active radical species [150].
It should be noted, however, that the presence of nanoparticles, which are difficult to separate from the system due to their small size, can complicate the execution of the process and can constitute a further element of pollution. Another drawback when ZnO is used in water is the anodic photo-oxidation to which this material is subjected which depends on the pH and causes the formation of soluble ionic species of zinc in the system to be purified.
3.2. Persulfate-Based Processes
Sulfate radicals are effective for removing organic pollutants from aqueous solutions. The use of magnetic iron oxide nanoparticles (MNPs) to obtain sulfate radicals from persulfate is a promising technology due to their wide availability and not only their magnetic characteristics but also their specific structural and catalytic properties. Furthermore, the excellent ferromagnetic behavior of Fe3O4 makes it easily separable from the solution [151]. Other nanomaterials such as ferrite-carbon aerogel, cobalt, iron, Co3O4/graphene oxide, CoFe2O4/titanate nanotubes, Co–MnO4 and α-MnO2 are proposed as promising heterogeneous catalysts for persulfate activation [144].
3.3. Coupling of AOPs with Conventional Water Treatment Techniques
While it is clear that several AOPs are effective at removing drugs, most AOPs are generally considered to be expensive techniques. To address this problem, the combination of advanced oxidation treatments with conventional water treatment technologies is suggested in some studies, although practical applications for large volumes of real effluent have not yet been seen [152].
Coupling of AOPs has been reported to improve the quality of the effluent prior to discharge to the environment, as demonstrated by a recent study demonstrating that the effluent is safer when ozone and sonolysis are coupled for the degradation of amoxicillin in water [152].
Furthermore, the coupling of heterogeneous photocatalysis with membrane technology constitutes another interesting example in terms of studies. The membrane, in fact, can perform the function of keeping the pollutant in the presence of the photocatalyst for longer during its degradation, preventing its permeation or the loss of the photocatalyst if the system is continuous. Another possibility is to allow the permeation of a useful intermediate with high added value before its further oxidation in the reagent system [153]. For this type of coupling, it is essential to appropriately choose the type of membrane and photocatalyst in relation to the process to be performed [154,155,156].
4. Use of AOPs for Drug Degradation
4.1. Tetracycline
The elimination of tetracycline (TC) by AOPs has been by far the most studied due to the widespread use of this molecule (it has been found in wastewater, surface water and groundwater at ng L−1 to μg L−1 levels) and its high stability and resistance in aqueous wastewater [157]. For these reasons, very often, the use of a single method is not effective in eliminating TC, and the coupling of different technologies is necessary [158,159]. The main problem related to the degradation of drugs is their partial oxidation to compounds which are often more harmful than their precursors. Unfortunately, in many papers, the degradation of drugs is evaluated but not their complete mineralization. The most used AOP methods are UV, UV/H2O2 treatments and heterogeneous photocatalysis.
The first photochemical oxidation of TC was reported in 1979 by Davies et al. [160], who studied the behavior of TC under UV light irradiation. The authors demonstrated that the process proceeds in several steps through the photo-deamination of TC followed by the interaction of the formed tetracycline radical with molecular oxygen forming a peroxyl radical, which abstracts a hydrogen atom, giving rise to a hydroperoxide. Finally, the hydroperoxide decomposes, losing water. Figure 3 presents a scheme showing the possible degradation route of TC and some of the intermediates that can be formed during its degradation. Lόpez-Peñalver et al. [161] investigated the aqueous degradation of TC in the presence of UV and UV/H2O2 by changing the initial concentration and initial solution pH and by adding H2O2. The degradation rate turned out to be dependent on the initial concentration and pH; TC degradation by UV radiation alone was low, and the addition of H2O2 before UV treatment increased the quantum yield of the reaction, also reducing the final TOC concentration and the toxicity of the by-products.
Figure 3.
Scheme showing the possible degradation route of TC [162].
Photo-Fenton degradation of TC has been successfully carried out by using a magnetically recoverable MnFe2O4/MXene hierarchical heterostructure [159]. The uniform dispersion of MnFe2O4 nanoparticles within MXene nanosheets enhanced the visible light utilization and avoided the agglomeration of the MnFe2O4 particles. A TC degradation efficiency of 93.8% was reached at pH = 3 starting from a drug concentration of 10 mg L−1.
The photo-Fenton method has been used effectively for the complete mineralization of various types of antibiotics. As seen in more detail in Section 1.3.2, hydroxide radicals are produced due to the reaction between hydrogen peroxide and ferrous salt. In particular, this treatment allowed the removal of 24 mg L−1 of TC with a residual TOC concentration of 5 mg L−1 and 2 mg L−1 under black-light and solar irradiation, respectively, according to Bautiz and Nogueriav [163].
The photo-Fenton treatment of 40 mg L−1 of TC solution under UV irradiation in the presence of H2O2 (48% of stoichiometric dose) and Fe2+ (5 mg L−1) allowed the total degradation of the drug and 77% TC mineralization [164]. An innovative 3D porous hydrogel composed of α-FeOOH/rGO (reduced graphene oxide) was able to generate reactive oxygen species in the absence of H2O2, eliminating 97.3% of TC in a Fenton-like process [165].
Liu et al. [166] compared the results of the degradation of TC obtained by UV irradiation, electro-Fenton and photoelectro-Fenton by using Pt gauze as an anode, a Fe3O4–graphite system as a cathode with an applied current density of 70 mA/cm2 and Na2SO4 as electrolyte. A synergistic effect was noticed in the photoelectro-Fenton system (see Figure 4) between the two different technologies with a mineralization degree of ca. 84%. This finding demonstrates that the coupling of different technologies is an effective strategy for enhancing efficiency.
Figure 4.
Effect of the different processes on tetracycline degradation (A) and mineralization (B) [166].
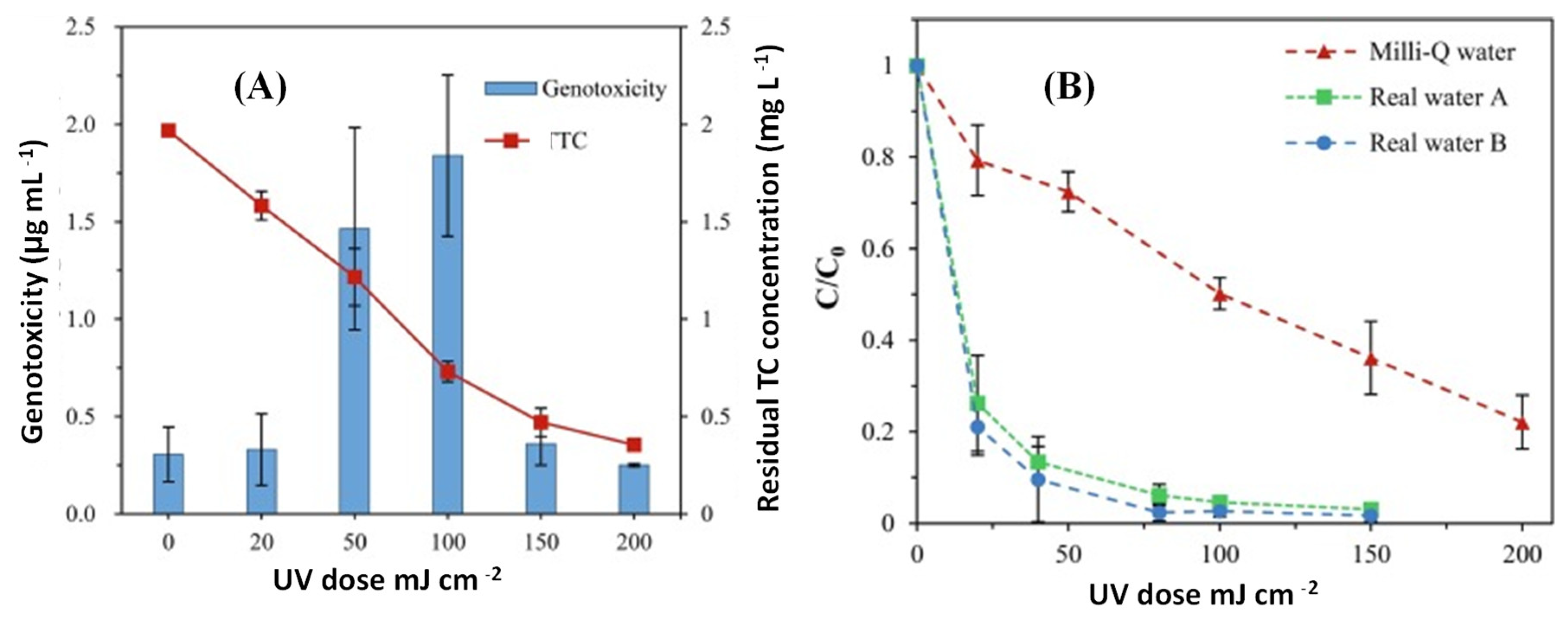
Ao et al. [167] applied the UV-activated peroxymonosulfate (SO4•−) process to TC degradation both in synthetic home-prepared and real wastewater systems. PMS (HSO5−) was used to generate the SO4•− radicals under irradiation with a medium-pressure UV (MPUV) lamp, and the effect of PMS dose, pH and addition of some anions was evaluated together with the ecotoxicity and mutagenicity of the transformation products (TPs). As shown in Figure 5A, the genotoxicity of the solution first increases and then decreases as the irradiation is increased. Very low values are reached at the end of the treatment. The higher degradation rate in the real wastewater solutions with respect to the lab-prepared one (Figure 5B) has been attributed to the presence of anions like Cl−, HCO3− and CO32− in the former.
Figure 5.
(A) Variation in genotoxicity of TC during MPUV/PMS process; (B) comparison of TC degradation in different systems [167].
Using 4 mM S2O82− (PS) activated by ultrasound irradiation results in 96.5% removal of TC and 74% and 61.2% removal of chemical oxygen demand and total organic carbon, respectively [168]. Moreover, in this case, the TC degradation rate was higher in drinking water than in ultrapure water.
Ultrasound irradiation combined with Fe3O4 was very effective in the activation of PS for TC degradation, allowing 89% removal of the drug in just 90 min under the optimal operation conditions (TC initial concentration 100 mg L−1, persulfate concentration 200 mM, initial pH 3.7, Fe3O4 concentration 1.0 g L−1 and ultrasound power at 80 W) [169]. Thermal activation of PS at 70 °C has also been described as a rapid and simple approach to activate the PS system, with almost complete elimination of TC within 30 min at 70 °C and ca. 70% at 40 °C within 240 min [170].
Natural bornite (Cu5FeS4), in which Cu(I) and Fe(III) ions are present abundantly, was efficient in persulfate activation for TC degradation [171]. The removal efficiency was 81.6% and the mineralization percentage was 48.7% in 180 min. Indeed, both of these ionic species can be used to efficiently trigger PS activation for TC degradation. Also, ferromanganese oxides (FMOs) displayed high activity in activating peroxymonosulfate (PMS) for TC degradation, allowing 94.3% of TC and ca. 55% of TOC removal after 30 min starting from an initial concentration of TC of 5 mg L−1 [172]. Electron spin resonance measurements revealed that Mn-oxides with active surface sites controlled by Fe are responsible for the generation of SO4•− radicals and the latter has a preponderant role compared to HO• radicals in TC degradation. Similar results were found by using magnetic Ni0.6Fe2.4O4 for activating PS: a TC removal of 86% in 35 min was achieved starting from a concentration of 20 mg L−1 [173].
Gao et al. [174] investigated the TC degradation mechanism of MW-activated PS. The effects of various experimental parameters such as TC and PS concentrations, initial pH and MW power were studied. Experiments carried out in the presence of scavengers revealed that sulfate radicals have a predominant role compared to hydroxyl radicals. By using the MW alone, the degradation of TC (initial concentration 20 mg L−1) was low as its removal was only 10.3%; 99.4% of TC was instead degraded within 5 min in the MW-PS process. Moreover, compared with conventional heating processes, MW heating raised the degradation rates. When the MW power was varied from 500 to 700 W, the TC removal efficiency increased.
Ozonation is one of the most popular treatment methods because it can degrade complex substances into simpler by-products. However, due to the slow mass transfer rate of ozone from the gas phase to the liquid phase and high cost, it has some drawbacks. For this reason, ozonation is often used in combination with other processes, including O3/H2O2, O3/UV, O3/ultrasound and catalytic ozonation. Using only ozonation, complete removal of TC (TC solution 0.5 mM) was achieved in just 4–6 min, but about 40% mineralization was reached after 2h [175].
After 20 min of ozonation in an internal loop-lift reactor, 2.08 mmol L−1 was almost totally converted [176]. Moreover, after 90 min of ozonation, 35% of the COD was removed, and practically no residual acute toxicity was detected. Complete mineralization and decreased toxicity of by-products were achieved during TC removal by applying ultrasound in the presence of ozone and a goethite catalyst (US/goethite/O3) [177].
Combined processes including O3/activated carbon, O3/H2O2 and O3/biological treatment were employed to achieve complete TC mineralization avoiding the formation of toxic intermediates [178]. When a US/Fe3O4/O3 combined system was used, 100 mg L−1 of TC was nearly removed after 20 min, with a COD reduction of ca. 42% [179]. This COD reduction reached ca. 89% after 120 min, accompanied by a biological degradability ratio of 0.694. The system exhibited low energy consumption, excellent stability and reusability. Ultrasound-enhanced TC ozonation has been also studied using a rectangular air-lift reactor. The technique removes 91% of the COD and reduces the acute toxicity from initial values of 95% to 60% after 90 min of reaction [180].
The photocatalytic method has been widely employed for the treatment of wastewater containing TC. Figure 6 shows the number of papers published since 2000, the year the first paper appeared (source: Scopus, Elsevier (October 2023) relating to the entry “Photocatalytic degradation of tetracycline”). Due to the huge number of publications, only the most representative have been selected in this review.
Figure 6.
Number of papers published since 2000 on the photocatalytic degradation of tetracycline.
Different photocatalysts and setup configurations (irradiation sources, reactor geometry, experimental conditions, etc.) have been tested for TC removal by evaluating sometimes only the TC disappearing or also its mineralization. Table 10 reports a comparison of different photocatalytic systems for photocatalytic TC degradation. The reported results highlight the good efficiency of the reported systems in TC degradation under different experimental conditions. Only some papers reported data related to TC mineralization, and good TOC removal was found only in a few cases. A direct comparison of the results is not possible due to the different experimental conditions used by the authors.
Table 10.
Results related to TC degradation with different photocatalytic systems.
In addition to traditional TiO2-based photocatalytic systems, new catalysts have been prepared with the aim of having more active samples under visible light irradiation. Below, along with some titania-based photocatalysts, some of the new systems used for tetracycline removal are described.
Palominos et al. [200] performed the degradation of TC in aqueous suspensions containing ZnO or TiO2 under simulated solar light irradiation. The photocatalytic oxidation of the antibiotic tetracycline (TC) was performed in an aqueous suspension containing TiO2 or ZnO under simulated solar light. ZnO showed a slightly higher activity than ZnO, and runs carried out in the presence of appropriate scavengers revealed that in the presence of TiO2, the TC degradation occurs essentially by direct hole oxidation, and hydroxyl radicals played a secondary role, whilst when using ZnO, the oxidation is primarily driven by hydroxyl radicals.
Magnetic g-C3N4@MnFe2O4-graphene coupled systems with a relatively high specific surface area (SSA) and rapid separation of photoproduced e−/h+ pairs were able to remove 91.5% of TC under visible light illumination in the presence of persulfate in a photo-Fenton-like reaction [201]. The photocatalyst was recovered by applying an external magnetic field and reused numerous times without loss of activity.
Doping with Co2+ slows down the rapid recombination of the e−/h+ pair in TiO2 nanosheets. Co-TiO2/rGO nanocomposites synthesized by coating co-doped TiO2 with rGO sheets using a one-pot hydrothermal method remove 60% of TC (initial concentration 30 mg L−1) in 180 min under visible light with five-cycle repeatability [202]. A heterojunction core–shell structure consisting of a Co-TiO2 nanofiber core and a g-C3N4 shell showed excellent photocatalytic performance with 90.8% TC removal and disinfection activity against E. coli [203]. This photocatalyst is advantageous due to its excellent chemical stability and non-toxicity of g-C3N4 with a moderate bandgap (2.7 eV). In a heterojunction with a flower shape, high-surface-area BiOCl/TiO2 proves excellent for use in photocatalysis, resulting in 82% removal of TC during 10 min of illumination [204].
Black TiO2 is considered an emerging photocatalyst different from white stoichiometric TiO2 [16,205]. Black anatase-TiO2 was effective for visible light photodegradation of TC, allowing ca. 66% removal after 240 min [16].
Calcite coating, CaCO3 (CAL), is widely recommended to limit hole–electron recombination and improve the reusability of TiO2 nanoparticles. A CAL/TiO2 nanocomposite produced by the sol–gel method shows TC mineralization greater than 90% under UV irradiation [206]. Ilmenite, a mixture of NiO and TiO2, is obtained by co-precipitation of NiTiO3 and TiO2 to form a nanocomposite with a heterojunction [207]. It has a visible band-gap energy and efficiently produces H2 in addition to removing 58% of TC in just two hours. Mixed metal oxides (MMOs) showed increased visible light absorption and charge transfer. Zn/Fe-MMO, for example, is a composite with a layered double hydroxide structure and effectively removes 88% of TC in 2 h of visible light irradiation [208]. The TC removal ability of another MMO, namely TiO2-Fe2O3, is 79.75% [209]. Ternary AgxO/FeOx/ZnO nanotubes were effective in the photocatalytic removal of TC under visible light irradiation [210]. The high activity has been ascribed both to interactions of light with the local magnetized domains in the Fe-containing composites and to efficient interfacial charge transfer between the different semiconductors. Moreover, the magnetic separation of the catalyst after the reaction reduces the cost of the separation of the photocatalyst from the reaction medium and makes the process advantageous compared to conventional methods.
The combination of Bi2O3 and g-C3N4 produced an effective core–shell material with a TC removal of 80.2% starting from an initial TC concentration of 10 mg L−1 with the use of a 250 W xenon lamp with a 420 nm cut-off filter [211]. Tun et al. [212] compared the photoactivity of Bi2O3, Bi2O3/montmorillonite and Ag-loaded Bi2O3/montmorillonite composites towards TC degradation under visible light irradiation. The ternary Ag-Bi2O3/montmorillonite sample exhibited superior outstanding activity due to the increased specific surface area, enhanced visible light absorption and photoproduced charge separation. Up to 90% TC removal efficiency was obtained in just 60 min of irradiation starting from a 20 mg L−1 TC initial concentration. The high activity has been ascribed to the surface plasmon resonance (SPR) which occurs on Ag nanoparticles. Similar results were found by Heidari et al. [213]. They compared the activity of Bi2Sn2O7, gC3N4, Bi2Sn2O7-C3N4, Ag/Bi2Sn2O7, Ag/C3N4 and Ag/Bi2Sn2O7-C3N4 photocatalysts towards TC degradation. The most active sample was Ag/Bi2Sn2O7-C3N4, eliminating 89.1% of TC (20 mg L−1) over 90 min under simulated solar light irradiation. The high activity has been attributed to both the formation of a type-II heterojunction between Bi2Sn2O7 and gC3N4 and a surface plasmonic resonance on Ag nanoparticles. Bi24O31Br10 nanosheets with controllable thickness exhibited high photocatalytic activity under solar light irradiation towards TC degradation under visible light irradiation [214]. Starting from an initial concentration of 20 mg L−1, more than 95% of TC was degraded within 90 min. Ag/Ag2S@BiOI nanowires were shown to be very effective in TC removal (100 mg L−1), allowing its almost complete degradation within 60 min under simulated solar light irradiation [215]. Cytotoxicity tests revealed that this new catalyst is harmless or less harmful to humans after exposure in the visible region.
Reduced graphene oxide@ZnAlTi (rGO@ZnAlTi) photocatalysts have been applied for the oxidation of TC (10 mg L−1) in the visible light range [216]. Graphene behaves like an electron donor and improves the adsorption of TC on the composite’s surface. A removal efficiency of ca. 90% was realized in 120 min, along with a TOC abatement of ca. 80% within 270 min.
The photocatalytic treatment of TC may cause incomplete mineralization and is insufficient for higher pollutant concentrations. Its integration with adsorption technology or other AOPs can serve to obtain complete mineralization. The effectiveness of adsorption for the removal of antibiotics depends on the type of sorbent and properties such as SSA, porosity and pore diameter. Excellent TC removal is achieved with carbon-based materials, metal oxides, MOFs, clays, minerals, and composites [217].
Some Bi-containing semiconductors, such as BiOCl coupled to CdS nanoparticles, reveal both high adsorption capacity and photocatalytic removal efficiency under visible light towards TC (20 mg L−1) degradation, resulting in 91.2% removal after 60 min [218]. The suggested mechanism is chelated TC adsorption followed by photocatalytic degradation.
Zhang et al. [139] coupled a Fe-based metal–organic framework (MIL-88A) with sulfate radical (SR)-based AOPs for TC degradation under visible light starting from an initial concentration of 100 mg L−1. Thanks to a synergistic effect, TC was practically totally degraded within 80 min (Figure 7).
Figure 7.
Degradation of TC by different processes. Reaction conditions: TC (200 mg L−1), MIL-88A (0.25 g L−1), PS (4.0 mM), initial pH 3.45 [139].
4.2. Ibuprofen
Ibuprofen (IBP), also known as 2-[4-(2-methylpropyl)phenyl] propanoic acid, is a non-steroidal anti-inflammatory drug typically used as an analgesic, anti-inflammatory and antipyretic. Different AOPs have been employed for its degradation in water solution.
The ultrasonic method (US) gave good results in IBP removal with an IBP degradation of 98% in 30 min starting from an initial concentration of 21 mg L−1 with an applied power of 80 W [219]. The degradation rate was higher in both the presence of air and oxygen, acid media being the most favorable. BOD5 and COD measures indicated that, although some dissolved organic carbon remained, IBP was transformed into biodegradable by-products which could be destroyed in a subsequent biological step.
The activation of PDS, PMS and H2O2 at various ultrasonic frequencies was investigated [220]. A stock solution for IBP was prepared by dissolving 0.1 g of powder in methanol. Synthetic wastewater containing IBP was prepared by mixing deionized water with IBP stock solution. PS, PMS and H2O2 were added to the solution. Batch tests were conducted to determine the oxidative elimination of IBP. They were also used to investigate how IBP was degraded in the US-PS, US-PDS and US-H2O2 systems. It was reported that the IBP degradation followed pseudo-first-order kinetics regardless of the method used. The rate constant for IBP decomposition was found to be the highest at a frequency of 1000 kHz. US alone was efficient for IBP degradation, and the addition of PS, PMS and H2O2 improved the decomposition efficiency of IBP.
Direct photolysis by UV light (λ = 254 nm) and UV/H2O2 processes were assessed for the oxidation of IBP in synthetic solutions (initial concentration 9.90–34.24 mg L−1) [221]. The effects of drug concentration, pH and H2O2 concentration were investigated (Figure 8). By varying the IBP initial concentration, an average efficiency of 82.63% was obtained after 270 min, and the oxidation was higher at pH 6. As pKa = 4.9 is for IBU, it is mainly present in its dissociated form at pH 6, and this finding suggests its higher reactivity with respect to the protonated species. The optimum amount of H2O2 was 10 mg L−1, which obtained 97.39% removal after 75 min. TOC and COD measurements revealed the partial mineralization of IBP both after UV and UV/H2O2 treatment.
Figure 8.
Influence of initial IBP concentration (A), pH (B) and H2O2 concentration (C) on IBP removal by UV/H2O2 process.
Adityosulindro et al. [222] used a heterogeneous Fenton process in the presence of a Fe-zeolite catalyst. The Fe-ZSM5 catalyst was effective in removing 20 mg L−1 IBP in pure water, with 88% degradation but only 27% TOC removal after 180 min at natural pH = 4.3. The drug decay followed a pseudo-first-order reaction with an activation energy of 53 kJ mol−1. A few years later, the same research group [223] compared the degradation of IBP under UV, UV/H2O2, photo-Fenton and sono-photo-Fenton processes by varying the drug concentration and the irradiation source. In particular, two lamps were used: lamp L1, 254 nm, 6 W, and visible light lamp L2, 360–740 nm, 150 W. Applying the photo-Fenton process, by using both lamps, a complete degradation of IBP was obtained after 3 h while the mineralization was 82% with lamp L1 and 59% with lamp L2. The coupling of the L2-photo-Fenton process with ultrasound has a beneficial effect only at low Fe concentrations.
The degradation of IBP by the UV/chlorine and UV/H2O2 AOPs follows pseudo-first-order kinetics, with the UV/chlorine AOP having a rate constant 3.3 times higher than that of UV/H2O2 at pH 6. The degradation is sensitive to the dosage of chlorine and to the pH of the solution (decreasing at pH 9), but not to the temperature or the concentration of chloride ions. Increasing pH decreases the first-order rate constant and increases the contribution of reactive chlorine species [38].
The UV–Vis/H2O2 process was effective in the degradation of IBP (initial concentration 0.87 mM), allowing ca. 40% of degradation after 2 h [224]. With the addition of 1.2 mM of Fe(II) in the presence of 0.32 mM of H2O2, the complete degradation was reached with a mineralization degree of 40%.
Quero-Pastor et al. [225] studied the degradation of IBP (1 mg L−1) by ozonation, also evaluating the residual toxicity of the solution after the treatment. Under the best operational condition, an almost complete conversion was reached after 20 min of treatment, but no mineralization was observed. The results of toxicity tests revealed that the intermediates are more toxic than the starting drug. Almeida et al. [226] evaluated the effects of single ozonation, oxidation in the presence of H2O2 and the combination of the two processes on IBP degradation (initial concentration 20 mg L−1), mineralization and residual toxicity. When single ozonation was used, IBP was immediately removed, but no important TOC removal was reached. The addition of H2O2 did not present substantial enhancements; when O3 and H2O2 were combined, a mineralization of 70% was accomplished after 180 min of reaction.
The investigation of IBP degradation by the UV/Fe3+/Oxone process revealed that the efficiency depends on the operating parameters, and the best results were obtained at pH = 3 and with an optimal molar ratio of Fe3+/Oxone/IBP equal to 2:2:1 [227]. Electro-peroxone treatment resulted in effective IBP removal, enhancing both its degradation and mineralization [228]. With an initial IBP concentration of 20 mg L−1, O3 gas phase concentration of 40 mg L−1, current of 300 mA and pH = 7, IBP was completely degraded after 5 min and mineralized after 60 min.
The degradation of IBP by heterogeneous photocatalysis has been widely investigated in the presence of different photocatalysts by changing the experimental conditions and coupling photocatalysis with other technologies. In the presence of bare TiO2, 0.03 g of photocatalyst was effective in totally degrading IBP (concentration 10−4 M) in 5 min at pH = 5 under UV irradiation [229].
Candido et al. [230] reported that UV light irradiation of TiO2 suspended in 1 L of IBP solution (1.0 mg L−1) at 25 °C and at pH = 7.8 produced, after 1 h, 92% and 78% removal of IBP and TOC in pure water and 64% and 35% in spring water, respectively. Ecotoxicity tests using some bioindicators of environmental conditions revealed that the solution had residual acute effects after the treatment.
Khalaf et al. [231] demonstrated that a synthetic solution of IBP (initial concentration 25 mg·L−1) can be successfully treated under irradiation in the presence of photoactive glass coated with TiO2. Moreover, the immobilization of TiO2 on glass substrates avoided the recovery problems encountered when the photocatalyst is used as powder.
Agócs et al. [232] obtained 81% degradation of IBP (50 μM) in pure water after 60 min of treatment in the presence of nanometric TiO2, stabilized with cyclodextrins, under UV irradiation. In tap water, the degradation was slower due to loss of efficiency of the oxidizing agents.
The activity of TiO2 Degussa P25 under UV LED irradiation towards IBP degradation was evaluated in pure water and municipal and pharmaceutical wastewaters by measuring IBP degradation, mineralization and biotoxicity [233]. The process was effective in treating pure water and wastewater deriving from the pharmaceutical industry and less efficient in municipal wastewater, probably due to its complex composition. The degradation was higher at pH near 5.0 due to the enhanced electrostatic attractions between TiO2 and IBP. For all the matrices, a reduction of 40% in acute toxicity was observed.
Jiménez-Salcedo et al. [234] compared the uses of TiO2 nanoparticles under UV light and g-C3N4 nanosheets under visible light irradiation for IBP degradation. The authors observed a higher efficiency of TiO2 with respect to g-C3N4, although the use of a higher-energy light must be considered. The initial IBP concentration was 5 μg mL−1. With TiO2, the complete degradation of IBP was achieved in 10 min, whilst more than 3 h was necessary with g-C3N4; in both cases, no complete mineralization was accomplished.
By using monoclinic BiVO4 under simulated solar light irradiation [235], an IBP conversion of 90% was reached after 25 min starting from an initial concentration of the drug of 10 mg L−1. No information about the mineralization has been reported by the authors.
By coupling ozonation with photocatalysis in the presence of SrWO4/ZnO, an IBP removal efficiency of 93% and a 55% BOD elimination were obtained under UV irradiation starting from an initial drug concentration of 0.1 mg L−1 [236].
Fidelis et al. [237] studied the degradation of IBP by combining different methods: ozonation, photolytic ozonation, photocatalysis and photocatalytic ozonation (Figure 9). The single methods afforded a good IBP removal rate but a low mineralization degree. A synergistic effect was instead noticed in photocatalytic ozonation, with a complete degradation of IBP after 12 min and a 98% TOC reduction in 30 min of reaction.
Figure 9.
IBP (A) and TOC (B) removal with the different processes [237].
4.3. Oxytetracycline
The broad-spectrum antibiotic oxytetracycline (OTC) has notable biodegradability but has bioaccumulation and persistence properties and consequently is extremely harmful to human health.
Its abatement (initial concentration 5 mg L−1) has been studied both in synthetic (ultrapure water) and real wastewater matrices using hybrid systems that combine microfiltration (MF) with photolysis (UVA/MF) or heterogeneous photocatalysis in the presence of a TiO2-P25 photocatalyst [238]. A photocatalytic membrane reactor (PMR) has been tested using TiO2-P25 nanoparticles both in suspension and immobilized on a nanoengineered membrane (NEM). A higher photocatalyst loading results in higher OTC removal efficiency (90% in 30 min), but a greater decrease in permeate flux because a denser TiO2/P25 cake layer formed. The presence of NEM led to the improvement of the antifouling properties and also a decrease in the permeate flux.
Photo-Fenton catalytic activity for OTC degradation was tested with a MnFe2O4/g-C3N4 heterojunction composite which exhibited excellent catalytic activity as approximately 80.5% was removed in 10 min. OTC breakdown was primarily started by h+ oxidation, with HO• and O2•− playing only minor supporting roles [239]. The hypothesized reaction mechanism is reported in Figure 10. Through h+ attacks, OTC molecules are oxidized, producing different intermediates by eliminating groups like -OH, -NH2, -CH3 and -CONH2 and breaking the benzene ring. The intermediates are further degraded by h+, HO• and O2•− and form aliphatic compounds, tiny organic acids, CO2 and water.
Figure 10.
Possible degradation pathways of OTC in the photo-Fenton catalytic system [239].
The photocatalytic method using persulfate (PS) and Fe3O4/MIL-101(Fe) allowed the occurrence of 87.1% degradation of 70 mg L−1 of OTC in 60 min [240]. MWCNTs-CuNiFe2O4 nanomaterials were utilized to effectively remove OTC from an aqueous solution in the presence of persulfate following the mechanism shown in Figure 11 [241]. Excellent adsorption characteristics toward OTC were shown by the MWCNTs-CuNiFe2O4 combination, which also successfully activated potassium persulfate (KPS) for drug removal. By using a catalyst concentration of 10 mg L−1 with an initial concentration of OTC equal to 300 mg L−1, 88.6% degradation was achieved. SO4•− and HO• radical-capturing agents such as ethanol and isopropyl alcohol were used to investigate the reaction mechanism. The outcomes showed that the presence of these quenching agents reduced the removal effectiveness of MWCNTs-CuNiFe2O4, confirming the active role of these radicals in the degradation process.
Figure 11.
Mechanism of degradation of OTC by using MWCNTs-CuNiFe2O4/KPS system [241].
Ozonation was also proved to be beneficial for the degradation of OTC. Li et al. [242] investigated how ozonation affected OTC degradation at various pH levels. Chemical oxygen demand (COD), the concentration of oxytetracycline and the BOD5/COD ratio were used to measure the effectiveness of the ozonation process. Using bioluminescence assays, the hazardous potential of OTC degradation was also investigated. The findings suggested that in pharmaceutical wastewater containing a high OTC concentration, ozonation as a partial step in a combined treatment concept can boost biodegradability.
4.4. Lincomycin
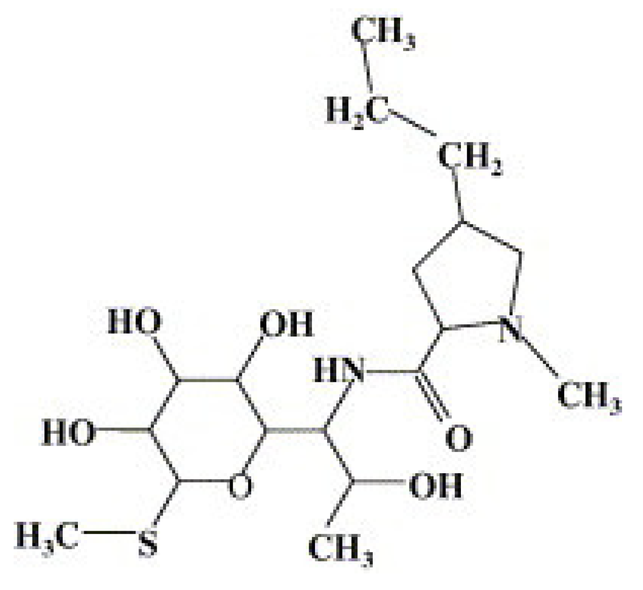
Lincomycin is an antibiotic found in water effluents. Its structure is shown in Figure 12.
Figure 12.
Structure of lincomycin.
TiO2-based nanomaterials, including TNAs (TiO2 nanotube arrays), TNWs/TNAs (TiO2 nanowires on nanotube arrays), Au-TNAs and Au-TNWs/TNAs, were developed for enhanced photocatalytic degradation of antibiotics in aquaculture wastewater. TNWs/TNAs showed higher activity than TNAs due to larger surface area [243]. Au-TNWs/TNAs showed the highest activity under UV-VIS or VIS irradiation, exhibiting 100% efficiency in 20 min (lincomycin concentration 500 ng mL−1) with reaction rates of 0.26 min−1 and 0.096 min−1, respectively. The high activity of Au-TNWs/TNAs can be ascribed to the synergistic effects between the high surface area and the surface plasmonic effect of Au nanoparticles. Augugliaro et al. [244] reported that lincomycin is broken down by photocatalytic oxidation in aqueous suspensions of Degussa P25 polycrystalline TiO2, using a hybrid system consisting of a solar photoreactor and a membrane module. The initial lincomycin concentration was 20 µM. The reported kinetics are pseudo-first-order with high membrane rejection for lincomycin and its oxidation products.
As a highly effective metal-free photocatalyst, graphitic carbon nitride (g/C3N4) shows promising behavior for the degradation of drugs. Adjusting the energy band, improving charge extraction and adding a cocatalyst enhances the g/C3N4 photocatalytic activities and increases both the degradation rate and conversion degree of lincomycin under visible light irradiation [245]. Carbon quantum dots (CDs) were added as cocatalysts to improve the formation of O2•−; graphene oxide (rGO) was employed to improve the charge mobility. The most active improved photocatalyst was CD-rGO-O-g/C3N4, which exhibited a tenfold increase in degradation rate when compared to the original g/C3N4. Starting from an initial concentration of the drug of 100 mg L−1, 99% degradation was achieved after 180 min. The active species, such as O2•−, HO• and h+, contribute differently to the degradation in each of the photocatalysts.
Metal–organic framework (MOF)-based photocatalytic treatment of lincomycin using Basolite F300 as a catalyst in the presence of two oxidants (H2O2, S2O82−) was reported by Kontogiannis et al. [246]. The results showed that the drug elimination was completed within 2 h, and the oxidant concentration (0–300 mg L−1) affected the process rate. The best concentration for attaining maximum degradation was 100 mg/L for both oxidants. After 120 min, just 8% of MOFs were degraded according to photolysis studies. The photocatalyst Basolite® F300 was activated using H2O2 as an oxidant in order to study the photocatalytic process. MIL-100 surface iron sites showed Fenton-type activity, which synergistically increased degradation. When H2O2 was added, the rate of degradation increased to 95% in 90 min, indicating catalyst activation and a conceivable heterogeneous photo-Fenton reaction involving Fe-sites and H2O2. The mechanism of the reaction pathway is shown below in Figure 13.
Figure 13.
Mechanistic reaction pathways taking place on Basolite F300 as a catalyst activated by hydrogen peroxide or persulfate [246].
A Zr-based metal–organic framework (MOF), known as VNU-1, with increased pore size and improved optical properties, was prepared and used as a photocatalyst for the degradation of antibiotics [247]. The prepared sample was as active as well-known P25 in the removal of lincomycin, and a contemporary TOC decreasing to 95% was accomplished. After five cycles, the catalyst maintained its high photodegradation performance (e.g., 100% photodegradation in 10 min).
In perspective, good results can be obtained by combining a series of measures that enhance the photocatalytic activity, such as the doping of structured materials. Using nanowires on an Au-TiO2 nanotube array causes 83% degradation of lincomycin in 20 min upon irradiation with visible light. This result can be attributed to the nanowires having a larger surface area than TiO2 nanotubes [248].
4.5. Amoxicillin
Çağlar Yilmaz et al. [249] compared the activity of commercial TiO2 P25 and lab-prepared bare and Co-doped TiO2 towards the degradation of amoxicillin (AMX) under UV-C and visible irradiation. Co-TiO2 was the most active photocatalyst, allowing the complete elimination of 100 mg L−1 of AMX after 240 min under UV-C irradiation and after 300 min under visible light. TiO2 nanoparticles loaded on graphene oxide (GO/TiO2) removed more than 99% of AMX (initial concentration 50 mg L−1) under UV light irradiation using a lamp with an intensity of 36 W [250]. Photoproduced holes were the main active species in degrading AMX, and TOC analyses revealed a good mineralization degree, obtaining a COD and TOC removal of 91.25% and 89.7%, respectively. The photocatalysts showed good stability, recyclability and efficiency in reducing the initial toxicity of the solution.
Nanostructured photocatalysts consisting of titanium dioxide doped with iron and nitrogen (Fe3+-TiO2-xNx) synthesized using the sol–gel (SG) method and microwave (MW) technology, were tested for their ability to break down amoxicillin (AMX) [251]. Higher activity was observed for the materials manufactured using the SG approach, and degradation efficiencies of 58.61% for SG and 46.12% for MW samples were observed after 240 min of visible light at pH 3.5.
Al-Musawi et al. [252] carried out the photocatalytic degradation of AMX by using a Fe2O3/bentonite/TiO2 nanocomposite under both visible LED light and UV irradiation. The reaction rate followed a pseudo-first-order kinetics, and starting from an AMX concentration of 25 mg L−1, under UV light, a complete degradation of the drug was obtained in 60 min, while under visible light, a removal percentage of 98.8% was observed in 90 min.
The electrophotocatalytic treatment of an AMX aqueous solution (100 mg L−1) was studied by measuring the chemical oxygen demand (COD) [253]. The degradation of the drug was 79% after 120 min of irradiation.
Elmolla and Chaudhuri [254] compared Fenton, photo-Fenton, UV/ZnO and TiO2 photocatalysis processes in the degradation of AMX. All methods were effective in AMX oxidation, and, except for UV/ZnO, an enhancement of the residual solution biodegradability was measured by the BOD5/COD ratio evaluation. The best results were obtained by the photo-Fenton process.
4.6. Erythromycin
Erythromycin (ERY) is a penicillin medication that can remain in nature for up to a year, preserving its antibiotic activity. The inefficiency of conventional ERY degradation methods has prompted the development of cutting-edge technologies such as AOPs [255].
Chu et al. [256] studied ERY removal using PS activated by gamma radiation in different systems. The degradation rate follows the order deionized water > groundwater > secondary treated municipal wastewater, and in the deionized water, ERY was eliminated with a TOC removal of 25%.
Albornoz et al. [257] carried out ERY degradation by direct photolysis and by using photocatalysts such as TiO2, Ti1-xSnxO2 and a commercial TiO2 mesh under UV-A irradiation. Under direct photolysis, only a low degree of degradation and mineralization was observed with the formation of low-molecular-weight carboxylic acids (Figure 14). In the presence of photocatalysts, the best results (complete degradation after 4 h) were obtained with the sample Ti1-xSnxO2 due to the formation of a type-II heterojunction between TiO2 and SnO2.
Figure 14.
Photolytic and photocatalytic degradation of erythromycin.
Photocatalytic mineralization of ERY in aqueous TiO2 suspensions using commercially available TiO2 catalysts was also reported in the literature [258]. The most effective catalyst was Degussa P25, which reduced 90% of total organic carbon after 90 min of reaction with an ERY initial concentration of 10 mg L−1.
Vignesh et al. [259] reported that when both zinc phthalocyanine and TiO2 nanoparticles were used, a significant improvement in photocatalytic activity was demonstrated in comparison to pure TiO2. A 74% degradation of ERY was achieved in 3 h by irradiation with visible light, while the undoped material degraded only 31.6% of the antibiotic under the same experimental conditions.
A composite g-C3N4/CdS photocatalyst showed good activity towards ERY degradation under simulated solar light irradiation [260]. Starting from an initial concentration of 50 mg L−1, ca. 80% of the drug was converted in 1h. The high activity has been ascribed to the formation of a Z-scheme between g-C3N4 and CdS with an efficient charge separation.
The activity of CaCO3 (calcite) towards ERY (initial concentration 30 mg L−1) removal was explored under both UV and solar light irradiation by Mohsin et al. [261]. After 2 h of UV irradiation, 73% of conversion was reached, while 6 h was necessary under sunlight to remove 93% of ERY. Moreover, under sunlight irradiation, a reduction of 78.5%, 77.6% and 64.5% in COD, BOD and TOC was achieved, respectively. The photocatalyst showed good stability, maintaining its activity unchanged after three cycles.
γ-Fe2O3/SiO2 composites allowed ca. 87% ERY degradation after 6 min of UV-C (λ = 254 nm) irradiation starting from a concentration of 6 mg L−1 of the drug [262]. The high activity is due to the high absorbent properties of silica combined with the good photocatalytic performance of γ-Fe2O3 under sunlight.
4.7. Sulfonamide
Sulfonamide antibiotics are widely used in human and veterinary medicine and as herbicides in agriculture [263]. They are very dangerous for the environment because they present a very stable structure that is difficult to break down with traditional processes.
P-doped TiO2-αFe2O3 mixed oxide catalysts were used together with K2S2O8 for photocatalytic degradation of a sulfonamide mixture containing sulfadiazine (SDZ), sulfamerazine (SMRZ) and sulfamethazine (SMTZ) (5 mg L−1 each) in a coupled process [264]. In 300 min under visible light irradiation, 69% mineralization was achieved.
Using 0.05 g Bi2O3-TiO2/PAC catalysts, a 250 mL solution containing 20 mg L−1 of three different sulfonamides, namely sulfamethoxazole (SMX), sulfamethazine (SMT) and sulfadiazine (SDZ), was treated under solar light irradiation [265]. The degradation was ca. 100% for SMX after 30 min and ca. 100% for SDZ and 75% for SMT after 60 min of reaction. Tests carried out in the presence of trapping agents revealed that h+ was the main active species in degrading SMX whilst O2•− played the main role in the oxidation of SMT and SDZ.
Batista and Nogueira [266] investigated the parameters influencing the photo-Fenton degradation of two antibiotics belonging to sulfonamide family, namely sulfadiazine (SDZ) and sulfathiazole (STZ). The addition of Fe(III)-oxalate improved the drugs’ oxidation with respect to free iron, and at pH = 5 in the presence of H2O2, the complete degradation occurred in 8 min.
O3, H2O2 and O3/H2O2 processes were compared in the degradation of sulfonamides such as sulfamethoxazole (SMX), sulfasalazine (SSZ), metronidazole (MNZ) and sulfamethazine (SMT) [267].
The best results were found utilizing the O3/H2O2 process due to a synergistic effect between the two methods, and a maximum degradation efficiency of 98.10%, 89.34%, 86.29% and 58.70%, was obtained for SSZ, SMX, SMT and MNZ, respectively, under optimum experimental conditions.
4.8. Ciprofloxacin
Ag3PO4 nanoparticles deposited onto TiO2 nanotube arrays gave rise to a heterojunction that displayed high photocatalytic activity in degrading ciprofloxacin (CIP) under solar light irradiation [268]. Starting from an initial concentration of 10 mg L−1, ciprofloxacin was destroyed by 78.4% in a 60 min period of irradiation. Liu et al. [269] compared the degradation of CIP (initial concentration 20 mg L−1) by using TiO2 P25 and lab-made TiO2 nanosheets and composite TiOF2/TiO2 flower-shaped nanosheets under simulated solar light irradiation. Different TiOF2/TiO2 samples were prepared by the hydrothermal method at different temperatures: 140, 160, 180 and 200 °C. Composite nanosheets synthesized at 160 °C were the most active samples due to the formation of an efficient heterojunction allowing a decrease in the recombination rate of the photoproduced charges and an enhancement of the charge transfer (Figure 15). The TiOF2/TiO2 nanosheets allowed a 93.7% degradation of the antibiotic after 90 min of irradiation.
Figure 15.
(A) Photocatalytic degradation of ciprofloxacin, (B) photoluminescence spectra, (C) electrochemical impedance spectroscopy measures and (D) heterojunction scheme.
El-Kemary et al. [270] investigated the photocatalytic activity of synthesized ZnO nanoparticles for the degradation of CIP under UV light irradiation in an aqueous solution at different PHs. The degradation process of CIP showed a pseudo-first-order reaction, and 50% degradation was observed after 60 min at pH = 10 and pH = 7.
Wen et al. [271] reported that upon exposure to visible light, CeO2-Ag/AgBr composite photocatalysts with a Z-scheme arrangement demonstrated improved photocatalytic activity for the degradation of CIP. Accelerated interfacial charge transfer and better photogenerated electron–hole pair separation were credited with the improved performance. Zn-doped Cu2O synthesized by a solvothermal method exhibited excellent photoactivity towards the degradation of 20 mg L−1 of CIP, removing about 94.6% of it after 240 min [272]. Runs carried out in the presence of specific trapping agents revealed that the main active species responsible for the drug degradation were HO• radicals and h+.
Photo-Fenton activity of rGO-ZnFe2O4 towards CIP degradation was boosted by the thermal effect inducing H2O2 activation [273]. The integrated process showed excellent photoactivity thanks to a synergistic effect and displayed a superior performance when compared to a solely photo-Fenton or thermal-Fenton process in lowering the H2O2 activation barrier and speeding up the production and spread of radicals.
Ge et al. [274] reported that LaFeO3/polystyrene (LFO/PS) photo-Fenton catalysts, prepared using ultrasound-assisted sol–gel and hydrothermal methods, were highly efficient (98.38%) for antibiotic degradation under the following experimental conditions: CIP concentration 10 mg L−1, H2O2 5 mmol L−1 and pH = 9.00. Moreover, the TOC removal efficiency reached 76.44%. Finally, Gupta and Garg [275] carried out CIP degradation using a classical Fenton process in synthetic wastewater containing an initial concentration of the drug of 100 mg L−1. Under the best experimental conditions, after 1 h, CIP degradation and TOC removal were 70% and 55%, respectively.
5. Challenges
As reported in this review, the use of a single AOP for the removal of drugs from wastewater may be, in many cases, insufficient to remove both the original drugs and their intermediates. Coupling of different AOPs can overcome this problem by allowing a more efficient decontamination of the effluents. Under appropriate experimental conditions, the use of integrated AOP systems is also convenient from an economical point of view because the pollutants can generally be mineralized, and less energy is needed. However, it is important to evaluate the quality of the treated water by considering its residual toxicity after the application of combined AOPs. Moreover, experiments in actual conditions must be incremented because the presence of specific chemical species can positively or negatively influence the performance of the process.
As the combined AOP treatments are still at the initial stage, in-depth research for cost reduction after a rigorous economic assessment deserves much attention and can provide positive surprises in the future. One possible benefit can be the use of solar light as an energy source in the activation of the different involved species.
6. Conclusions
The presence of pharmaceutical residues in wastewater is continuously growing due to increasing use, and their removal represents one of the emerging concerns regarding environmental protection and restoration. These compounds are present in a large variety, and they are extremely stable, very complex and highly persistent in the aquatic environment. Treatment using AOPs has been revealed to be effective for the removal of different drugs both in lab-prepared and real wastewater effluents due to the formation of highly reactive and unselective radicals which are the oxidizing species. In general, for almost all drugs, a good degradation efficiency was found in short treatment times with various AOPs. A weak point of some of these technologies is the low degree of mineralization of the drugs and the occurrence of only a partial oxidation giving rise to intermediates that are often more dangerous than the original compounds. Furthermore, many of the reported investigations have been conducted at laboratory or pilot scales, and large-scale application is still limited. This is probably due to the high operating (especially energetic) cost of most of the combined AOP processes.
Author Contributions
Writing—Original Draft Preparation, M.U.; Writing—Original Draft Preparation, T.K.; Funding Acquisition, Visualization, V.L.; Supervision, Writing—Review and Editing, L.P.; Conceptualization, Supervision, Writing—Review and Editing, M.B. All authors have read and agreed to the published version of the manuscript.
Funding
“SAMOTHRACE” (MUR, PNRR-M4C2, ECS_00000022), spoke 3-Università degli Studi di Palermo “S2-COMMs-Micro and Nanotechnologies for Smart & Sustainable Communities.
Data Availability Statement
No additional data are available.
Acknowledgments
The authors thank SiciliAn MicronanOTecH Research And Innovation CEnter for financial support.
Conflicts of Interest
The authors declare no conflict of interest.
References
- Inamuddin; Asiri, A.M. Correction to: Sustainable Green Chemical Processes and Their Allied Applications; Springer Nature: Cham, Switzerland, 2020; ISBN 9783030422837. [Google Scholar]
- Changotra, R.; Rajput, H.; Dhir, A. Natural Soil Mediated Photo Fenton-like Processes in Treatment of Pharmaceuticals: Batch and Continuous Approach. Chemosphere 2017, 188, 345–353. [Google Scholar] [CrossRef] [PubMed]
- Wols, B.A.; Hofman-Caris, C.H.M.; Harmsen, D.J.H.; Beerendonk, E.F. Degradation of 40 Selected Pharmaceuticals by UV/H2O2. Water Res. 2013, 47, 5876–5888. [Google Scholar] [CrossRef] [PubMed]
- Wang, J.; Chu, L.; Wojnárovits, L.; Takács, E. Occurrence and Fate of Antibiotics, Antibiotic Resistant Genes (ARGs) and Antibiotic Resistant Bacteria (ARB) in Municipal Wastewater Treatment Plant: An Overview. Sci. Total Environ. 2020, 744, 140997. [Google Scholar] [CrossRef] [PubMed]
- Wang, J.; Wang, S. Removal of Pharmaceuticals and Personal Care Products (PPCPs) from Wastewater: A Review. J. Environ. Manag. 2016, 182, 620–640. [Google Scholar] [CrossRef] [PubMed]
- Jodeh, S.; Abdelwahab, F.; Jaradat, N.; Warad, I.; Jodeh, W. Adsorption of Diclofenac from Aqueous Solution Using Cyclamen Persicum Tubers Based Activated Carbon (CTAC). J. Assoc. Arab. Univ. Basic Appl. Sci. 2016, 20, 32–38. [Google Scholar] [CrossRef]
- Roberts, P.H.; Thomas, K.V. The Occurrence of Selected Pharmaceuticals in Wastewater Effluent and Surface Waters of the Lower Tyne Catchment. Sci. Total Environ. 2006, 356, 143–153. [Google Scholar] [CrossRef]
- Mirzaei, R.; Yunesian, M.; Nasseri, S.; Gholami, M.; Jalilzadeh, E.; Shoeibi, S.; Mesdaghinia, A. Occurrence and Fate of Most Prescribed Antibiotics in Different Water Environments of Tehran. Iran. Sci. Total Environ. 2018, 619–620, 446–459. [Google Scholar] [CrossRef]
- Szabó, R.K.; Megyeri, C.S.; Illés, E.; Gajda-Schrantz, K.; Mazellier, P.; Dombi, A. Phototransformation of Ibuprofen and Ketoprofen in Aqueous Solutions. Chemosphere 2011, 84, 1658–1663. [Google Scholar] [CrossRef]
- Tran, H.T.T.; Kosslick, H.; Ibad, M.F.; Fischer, C.; Bentrup, U.; Vuong, T.H.; Nguyen, L.Q.; Schulz, A. Photocatalytic Performance of Highly Active Brookite in the Degradation of Hazardous Organic Compounds Compared to Anatase and Rutile. Appl. Catal. B 2017, 200, 647–658. [Google Scholar] [CrossRef]
- Liu, W.; Sutton, N.B.; Rijnaarts, H.H.M.; Langenhoff, A.A.M. Anaerobic Biodegradation of Pharmaceutical Compounds Coupled to Dissimilatory Manganese (IV) or Iron (III) Reduction. J. Hazard. Mater. 2020, 388, 119361. [Google Scholar] [CrossRef]
- Taoufik, N.; Elmchaouri, A.; Anouar, F.; Korili, S.A.; Gil, A. Improvement of the Adsorption Properties of an Activated Carbon Coated by Titanium Dioxide for the Removal of Emerging Contaminants. J. Water Process Eng. 2019, 31, 100876. [Google Scholar] [CrossRef]
- De Souza, D.I.; Dottein, E.M.; Giacobbo, A.; Siqueira Rodrigues, M.A.; De Pinho, M.N.; Bernardes, A.M. Nanofiltration for the Removal of Norfloxacin from Pharmaceutical Effluent. J. Environ. Chem. Eng. 2018, 6, 6147–6153. [Google Scholar] [CrossRef]
- Nguyen, L.N.; Hai, F.I.; McDonald, J.A.; Khan, S.J.; Price, W.E.; Nghiem, L.D. Continuous Transformation of Chiral Pharmaceuticals in Enzymatic Membrane Bioreactors for Advanced Wastewater Treatment. Water Sci. Technol. 2017, 76, 1816–1826. [Google Scholar] [CrossRef] [PubMed]
- Taoufik, N.; Boumya, W.; Achak, M.; Sillanpää, M.; Barka, N. Comparative Overview of Advanced Oxidation Processes and Biological Approaches for the Removal Pharmaceuticals. J. Environ. Manag. 2021, 288, 112404. [Google Scholar] [CrossRef] [PubMed]
- Wu, S.; Li, X.; Tian, Y.; Lin, Y.; Hu, Y.H. Excellent Photocatalytic Degradation of Tetracycline over Black Anatase-TiO2 under Visible Light. Chem. Eng. J. 2021, 406, 126747. [Google Scholar] [CrossRef]
- Khan, A.H.; Khan, N.A.; Ahmed, S.; Dhingra, A.; Singh, C.P.; Khan, S.U.; Mohammadi, A.A.; Changani, F.; Yousefi, M.; Alam, S.; et al. Application of Advanced Oxidation Processes Followed by Different Treatment Technologies for Hospital Wastewater Treatment. J. Clean. Prod. 2020, 269, 122411. [Google Scholar] [CrossRef]
- Abdel-Raouf, N.; Al-Homaidan, A.A.; Ibraheem, I.B.M. Microalgae and Wastewater Treatment. Saudi J. Biol. Sci. 2012, 19, 257–275. [Google Scholar] [CrossRef] [PubMed]
- Zhang, T.; Liu, Y.; Rao, Y.; Li, X.; Yuan, D.; Tang, S.; Zhao, Q. Enhanced Photocatalytic Activity of TiO2 with Acetylene Black and Persulfate for Degradation of Tetracycline Hydrochloride under Visible Light. Chem. Eng. J. 2020, 384, 123350. [Google Scholar] [CrossRef]
- Ayoub, K.; van Hullebusch, E.D.; Cassir, M.; Bermond, A. Application of Advanced Oxidation Processes for TNT Removal: A Review. J. Hazard. Mater. 2010, 178, 10–28. [Google Scholar] [CrossRef]
- Loddo, V.; Bellardita, M.; Camera-Roda, G.; Parrino, F.; Palmisano, L. Heterogeneous Photocatalysis: A Promising Advanced Oxidation Process. In Current Trends and Future Developments on (Bio-) Membranes: Photocatalytic Membranes and Photocatalytic Membrane Reactors; Elsevier Inc.: Amsterdam, The Netherlands, 2018; pp. 1–43. ISBN 9780128135495. [Google Scholar]
- Nascimento, U.M.; Azevedo, E.B. Microwaves and Their Coupling to Advanced Oxidation Processes: Enhanced Performance in Pollutants Degradation. J. Environ. Sci. Health A Tox Hazard. Subst. Environ. Eng. 2013, 48, 1056–1072. [Google Scholar] [CrossRef]
- Deng, Y.; Zhao, R. Advanced Oxidation Processes (AOPs) in Wastewater Treatment. Curr. Pollut. Rep. 2015, 1, 167–176. [Google Scholar] [CrossRef]
- Vogelpohl, A. Applications of AOPs in Wastewater Treatment. Water Sci. Technol. 2007, 55, 207–211. [Google Scholar] [CrossRef] [PubMed]
- Wang, D.; Junker, A.L.; Sillanpää, M.; Jiang, Y.; Wei, Z. Photo-Based Advanced Oxidation Processes for Zero Pollution: Where Are We Now? Engineering 2023, 23, 19–23. [Google Scholar] [CrossRef]
- Klavarioti, M.; Mantzavinos, D.; Kassinos, D. Removal of Residual Pharmaceuticals from Aqueous Systems by Advanced Oxidation Processes. Environ. Int. 2009, 35, 402–417. [Google Scholar] [CrossRef]
- Pandis, P.K.; Kalogirou, C.; Kanellou, E.; Vaitsis, C.; Savvidou, M.G.; Sourkouni, G.; Zorpas, A.A.; Argirusis, C. Key Points of Advanced Oxidation Processes (AOPs) for Wastewater, Organic Pollutants and Pharmaceutical Waste Treatment: A Mini Review. ChemEngineering 2022, 6, 8. [Google Scholar] [CrossRef]
- Blatchley, E.R.; Shen, C.; Scheible, O.K.; Robinson, J.P.; Ragheb, K.; Bergstrom, D.E.; Rokjer, D. Validation of Large-Scale, Monochromatic UV Disinfection Systems for Drinking Water Using Dyed Microspheres. Water Res. 2008, 42, 677–688. [Google Scholar] [CrossRef]
- Doll, T.E.; Frimmel, F.H. Fate of Pharmaceuticals—Photodegradation by Simulated Solar UV-Light. Chemosphere 2003, 52, 1757–1769. [Google Scholar] [CrossRef]
- Saritha, P.; Aparna, C.; Himabindu, V.; Anjaneyulu, Y. Comparison of Various Advanced Oxidation Processes for the Degradation of 4-Chloro-2 Nitrophenol. J. Hazard. Mater. 2007, 149, 609–614. [Google Scholar] [CrossRef]
- Pereira, V.J.; Weinberg, H.S.; Linden, K.G.; Singer, P.C. UV Degradation Kinetics and Modeling of Pharmaceutical Compounds in Laboratory Grade and Surface Water via Direct and Indirect Photolysis at 254 nm. Environ. Sci. Technol. 2007, 41, 1682–1688. [Google Scholar] [CrossRef]
- Chen, S.; Hou, Y.; Rong, Y.; Tu, L.; Yu, Z.; Sun, J.; Lan, D.; Li, Z.; Zhu, H.; Wang, S. Hydroxyl Radical and Carbonate Radical Facilitate Chlortetracycline Degradation in the Bio-Photoelectrochemical System with a Bioanode and a Bi2O3/CuO Photocathode Using Bicarbonate Buffer. Chemosphere 2022, 296, 134040. [Google Scholar] [CrossRef]
- Bilal, M.; Rizwan, K.; Adeel, M.; Iqbal, H.M.N. Hydrogen-Based Catalyst-Assisted Advanced Oxidation Processes to Mitigate Emerging Pharmaceutical Contaminants. Int. J. Hydrogen Energy 2022, 47, 19555–19569. [Google Scholar] [CrossRef]
- Guo, K.; Wu, Z.; Shang, C.; Yao, B.; Hou, S.; Yang, X.; Song, W.; Fang, J. Radical Chemistry and Structural Relationships of PPCP Degradation by UV/Chlorine Treatment in Simulated Drinking Water. Environ. Sci. Technol. 2017, 51, 10431–10439. [Google Scholar] [CrossRef]
- Brillas, E. A Critical Review on Ibuprofen Removal from Synthetic Waters, Natural Waters, and Real Wastewaters by Advanced Oxidation Processes. Chemosphere 2022, 286, 131849. [Google Scholar] [CrossRef] [PubMed]
- Fang, J.; Fu, Y.; Shang, C. The Roles of Reactive Species in Micropollutant Degradation in the UV/Free Chlorine System. Environ. Sci. Technol. 2014, 48, 1859–1868. [Google Scholar] [CrossRef] [PubMed]
- Watts, M.J.; Linden, K.G. Chlorine Photolysis and Subsequent OH Radical Production during UV Treatment of Chlorinated Water. Water Res. 2007, 41, 2871–2878. [Google Scholar] [CrossRef] [PubMed]
- Xiang, Y.; Fang, J.; Shang, C. Kinetics and Pathways of Ibuprofen Degradation by the UV/Chlorine Advanced Oxidation Process. Water Res. 2016, 90, 301–308. [Google Scholar] [CrossRef] [PubMed]
- Kishimoto, N. State of the Art of UV/Chlorine Advanced Oxidation Processes: Their Mechanism, Byproducts Formation, Process Variation, and Applications. J. Water Environ. Technol. 2019, 17, 302–335. [Google Scholar] [CrossRef]
- Lee, Y.; von Gunten, U. Oxidative Transformation of Micropollutants during Municipal Wastewater Treatment: Comparison of Kinetic Aspects of Selective (Chlorine, Chlorine Dioxide, FerrateVI, and Ozone) and Non-Selective Oxidants (Hydroxyl Radical). Water Res. 2010, 44, 555–566. [Google Scholar] [CrossRef]
- Grebel, J.E.; Pignatello, J.J.; Mitch, W.A. Effect of Halide Ions and Carbonates on Organic Contaminant Degradation by Hydroxyl Radical-Based Advanced Oxidation Processes in Saline Waters. Environ. Sci. Technol. 2010, 44, 6822–6828. [Google Scholar] [CrossRef]
- Wang, D.; Bolton, J.R.; Hofmann, R. Medium Pressure UV Combined with Chlorine Advanced Oxidation for Trichloroethylene Destruction in a Model Water. Water Res. 2012, 46, 4677–4686. [Google Scholar] [CrossRef]
- Mota, A.L.N.; Albuquerque, L.F.; Beltrame, L.T.C.; Chiavone-Filho, O.; Machulek, A.; Nascimento, C.A.O. Brazilian Journal of Petroleum and Gas Advanced Oxidation Processes and Their Application in the Petroleum Industry: A Review. Braz. J. Pet. Gas 2008, 2, 122–142. [Google Scholar]
- Poyatos, J.M.; Muñio, M.M.; Almecija, M.C.; Torres, J.C.; Hontoria, E.; Osorio, F. Advanced Oxidation Processes for Wastewater Treatment: State of the Art. Water Air Soil Pollut. 2010, 205, 187–204. [Google Scholar] [CrossRef]
- Garoma, T.; Gurol, M.D. Degradation of Tert-Butyl Alcohol in Dilute Aqueous Solution by an O3/UV Process. Environ. Sci. Technol. 2004, 38, 5246–5252. [Google Scholar] [CrossRef]
- Ghauch, A.; Tuqan, A.M. Oxidation of Bisoprolol in Heated Persulfate/H2O Systems: Kinetics and Products. Chem. Eng. J. 2012, 183, 162–171. [Google Scholar] [CrossRef]
- Lee, J.; Von Gunten, U.; Kim, J.H. Persulfate-Based Advanced Oxidation: Critical Assessment of Opportunities and Roadblocks. Environ. Sci. Technol. 2020, 54, 3064–3081. [Google Scholar] [CrossRef] [PubMed]
- Lutze, H.V.; Bircher, S.; Rapp, I.; Kerlin, N.; Bakkour, R.; Geisler, M.; Von Sonntag, C.; Schmidt, T.C. Degradation of Chlorotriazine Pesticides by Sulfate Radicals and the Influence of Organic Matter. Environ. Sci. Technol. 2015, 49, 1673–1680. [Google Scholar] [CrossRef] [PubMed]
- Guan, Y.H.; Ma, J.; Li, X.C.; Fang, J.Y.; Chen, L.W. Influence of pH on the Formation of Sulfate and Hydroxyl Radicals in the UV/Peroxymonosulfate System. Environ. Sci. Technol. 2011, 45, 9308–9314. [Google Scholar] [CrossRef]
- Fast, S.A.; Gude, V.G.; Truax, D.D.; Martin, J.; Magbanua, B.S. A Critical Evaluation of Advanced Oxidation Processes for Emerging Contaminants Removal. Environ. Process. 2017, 4, 283–302. [Google Scholar] [CrossRef]
- Rosman, N.; Salleh, W.N.W.; Mohamed, M.A.; Jaafar, J.; Ismail, A.F.; Harun, Z. Hybrid Membrane Filtration-Advanced Oxidation Processes for Removal of Pharmaceutical Residue. J. Colloid Interface Sci. 2018, 532, 236–260. [Google Scholar] [CrossRef]
- Khajouei, G.; Finklea, H.O.; Lin, L.S. UV/Chlorine Advanced Oxidation Processes for Degradation of Contaminants in Water and Wastewater: A Comprehensive Review. J. Environ. Chem. Eng. 2022, 10, 107508. [Google Scholar] [CrossRef]
- Tian, F.X.; Ye, W.K.; Xu, B.; Hu, X.J.; Ma, S.X.; Lai, F.; Gao, Y.Q.; Xing, H.B.; Xia, W.H.; Wang, B. Comparison of UV-Induced AOPs (UV/Cl2, UV/NH2Cl, UV/ClO2 and UV/H2O2) in the Degradation of Iopamidol: Kinetics, Energy Requirements and DBPs-Related Toxicity in Sequential Disinfection Processes. Chem. Eng. J. 2020, 398, 125570. [Google Scholar] [CrossRef] [PubMed]
- Nidheesh, P.V.; Divyapriya, G.; Ezzahra Titchou, F.; Hamdani, M. Treatment of Textile Wastewater by Sulfate Radical Based Advanced Oxidation Processes. Sep. Purif. Technol. 2022, 293, 121115. [Google Scholar] [CrossRef]
- Ricardo, I.A.; Paniagua, C.E.S.; Alberto, E.A.; Starling, M.C.V.M.; Agüera, A.; Trovó, A.G. A Critical Review of Trends in Advanced Oxidation Processes for the Removal of Benzophenone-3, Fipronil, and Propylparaben from Aqueous Matrices: Pathways and Toxicity Changes. J. Water Process Eng. 2022, 49, 102973. [Google Scholar] [CrossRef]
- Rekhate, C.V.; Srivastava, J.K. Recent Advances in Ozone-Based Advanced Oxidation Processes for Treatment of Wastewater—A Review. Chem. Eng. J. Adv. 2020, 3, 100031. [Google Scholar] [CrossRef]
- Qin, H.; Chen, H.; Zhang, X.; Yang, G.; Feng, Y. Efficient Degradation of Fulvic Acids in Water by Catalytic Ozonation with CeO2/AC. J. Chem. Technol. Biotechnol. 2014, 89, 1402–1409. [Google Scholar] [CrossRef]
- Guo, Y.; Yang, L.; Wang, X. The Application and Reaction Mechanism of Catalytic Ozonation in Water Treatment. J. Environ. Anal. Toxicol. 2012, 2, 1000150. [Google Scholar] [CrossRef]
- Kasprzyk-Hordern, B.; Ziółek, M.; Nawrocki, J. Catalytic Ozonation and Methods of Enhancing Molecular Ozone Reactions in Water Treatment. Appl. Catal. B 2003, 46, 639–669. [Google Scholar] [CrossRef]
- Cheng, S.W.; Li, Y.H.; Yuan, C.S.; Tsai, P.Y.; Shen, H.Z.; Hung, C.H. An Innovative Advanced Oxidation Technology for Effective Decomposition of Formaldehyde by Combining Iron Modified Nano-TiO2 (Fe/TiO2) Photocatalytic Degradation with Ozone Oxidation. Aerosol Air Qual. Res. 2018, 18, 3220–3233. [Google Scholar] [CrossRef]
- Mashayekh-Salehi, A.; Moussavi, G.; Yaghmaeian, K. Preparation, Characterization and Catalytic Activity of a Novel Mesoporous Nanocrystalline MgO Nanoparticle for Ozonation of Acetaminophen as an Emerging Water Contaminant. Chem. Eng. J. 2017, 310, 157–169. [Google Scholar] [CrossRef]
- Nawaz, F.; Xie, Y.; Cao, H.; Xiao, J.; Wang, Y.; Zhang, X.; Li, M.; Duan, F. Catalytic Ozonation of 4-Nitrophenol over an Mesoporous α-MnO2 with Resistance to Leaching. Catal. Today 2015, 258, 595–601. [Google Scholar] [CrossRef]
- Huang, W.J.; Fang, G.C.; Wang, C.C. A Nanometer-ZnO Catalyst to Enhance the Ozonation of 2,4,6-Trichlorophenol in Water. Colloids Surf. A Physicochem. Eng. Asp. 2005, 260, 45–51. [Google Scholar] [CrossRef]
- Biard, P.F.; Werghi, B.; Soutrel, I.; Orhand, R.; Couvert, A.; Denicourt-Nowicki, A.; Roucoux, A. Efficient Catalytic Ozonation by Ruthenium Nanoparticles Supported on SiO2 or TiO2: Towards the Use of a Non-Woven Fiber Paper as Original Support. Chem. Eng. J. 2016, 289, 374–381. [Google Scholar] [CrossRef]
- Qi, F.; Chu, W.; Xu, B. Comparison of Phenacetin Degradation in Aqueous Solutions by Catalytic Ozonation with CuFe2O4 and Its Precursor: Surface Properties, Intermediates and Reaction Mechanisms. Chem. Eng. J. 2016, 284, 28–36. [Google Scholar] [CrossRef]
- Guo, Y.; Zhao, E.; Wang, J.; Zhang, X.; Huang, H.; Yu, G.; Wang, Y. Comparison of Emerging Contaminant Abatement by Conventional Ozonation, Catalytic Ozonation, O3/H2O2 and Electro-Peroxone Processes. J. Hazard. Mater. 2020, 389, 121829. [Google Scholar] [CrossRef] [PubMed]
- Turkay, O.; Ersoy, Z.G.; Barışçı, S. Review—The Application of an Electro-Peroxone Process in Water and Wastewater Treatment. J. Electrochem. Soc. 2017, 164, E94–E102. [Google Scholar] [CrossRef]
- Yao, W.; Wang, X.; Yang, H.; Yu, G.; Deng, S.; Huang, J.; Wang, B.; Wang, Y. Removal of Pharmaceuticals from Secondary Effluents by an Electro-Peroxone Process. Water Res. 2016, 88, 826–835. [Google Scholar] [CrossRef]
- Bakheet, B.; Yuan, S.; Li, Z.; Wang, H.; Zuo, J.; Komarneni, S.; Wang, Y. Electro-Peroxone Treatment of Orange II Dye Wastewater. Water Res. 2013, 47, 6234–6243. [Google Scholar] [CrossRef]
- Wang, Y.; Yu, G.; Deng, S.; Huang, J.; Wang, B. The Electro-Peroxone Process for the Abatement of Emerging Contaminants: Mechanisms, Recent Advances, and Prospects. Chemosphere 2018, 208, 640–654. [Google Scholar] [CrossRef]
- Priyadarshini, M.; Das, I.; Ghangrekar, M.M.; Blaney, L. Advanced Oxidation Processes: Performance, Advantages, and Scale-up of Emerging Technologies. J. Environ. Manag. 2022, 316, 115295. [Google Scholar] [CrossRef]
- Shi, Y.; Xiong, Z.; Zhou, P.; Liu, Y.; Yu, S.; Xie, Z.; Wu, X.; Zheng, Y.; Shi, Y.; Xiong, Z. Review of Advanced Oxidation Processes for Treating Hospital Sewage to Achieve Decontamination and Disinfection. Chin. Chem. Lett. 2023, 35, 108714. [Google Scholar] [CrossRef]
- Bavasso, I.; Montanaro, D.; Petrucci, E. Ozone-Based Electrochemical Advanced Oxidation Processes. Curr. Opin. Electrochem. 2022, 34, 101017. [Google Scholar] [CrossRef]
- Shokri, A. Employing Electro-Peroxone Process for Degradation of Acid Red 88 in Aqueous Environment by Central Composite Design: A New Kinetic Study and Energy Consumption. Chemosphere 2022, 296, 133817. [Google Scholar] [CrossRef] [PubMed]
- Dubey, S.; Joshi, A.; Trivedi, R.; Pal, D.; Prajapati, A.K. Electro-Peroxone Treatment of Rice Grain Based Distillery Biodigester Effluent: COD and Color Removal. Water Resour. Ind. 2021, 25, 100142. [Google Scholar] [CrossRef]
- Rodríguez-Peña, M.; Mena, I.F.; Pérez, J.A.B.; Barrera-Díaz, C.E.; Rodrigo, M.A. Does Electro-Peroxonation Improve Performance of Electro-Ozonation? J. Environ. Chem. Eng. 2022, 10, 107578. [Google Scholar] [CrossRef]
- Aramyan, S.M. Advances in Fenton and Fenton Based Oxidation Processes for Industrial Effluent Contaminants Control—A Review. Int. J. Environ. Sci. Nat. Resour. 2017, 2, 1–18. [Google Scholar] [CrossRef]
- Santos, M.C.; Antonin, V.S.; Souza, F.M.; Aveiro, L.R.; Pinheiro, V.S.; Gentil, T.C.; Lima, T.S.; Moura, J.P.C.; Silva, C.R.; Lucchetti, L.E.B.; et al. Decontamination of Wastewater Containing Contaminants of Emerging Concern by Electrooxidation and Fenton-Based Processes—A Review on the Relevance of Materials and Methods. Chemosphere 2022, 307, 135763. [Google Scholar] [CrossRef]
- Pacheco-Álvarez, M.; Picos Benítez, R.; Rodríguez-Narváez, O.M.; Brillas, E.; Peralta-Hernández, J.M. A Critical Review on Paracetamol Removal from Different Aqueous Matrices by Fenton and Fenton-Based Processes, and Their Combined Methods. Chemosphere 2022, 303, 134883. [Google Scholar] [CrossRef]
- O’Dowd, K.; Pillai, S.C. Photo-Fenton Disinfection at near Neutral PH: Process, Parameter Optimization and Recent Advances. J. Environ. Chem. Eng. 2020, 8, 104063. [Google Scholar] [CrossRef]
- Umar, M.; Aziz, H.A.; Yusoff, M.S. Trends in the Use of Fenton, Electro-Fenton and Photo-Fenton for the Treatment of Landfill Leachate. Waste Manag. 2010, 30, 2113–2121. [Google Scholar] [CrossRef]
- Brillas, E.; Sirés, I.; Oturan, M.A. Electro-Fenton Process and Related Electrochemical Technologies Based on Fenton’s Reaction Chemistry. Chem. Rev. 2009, 109, 6570–6631. [Google Scholar] [CrossRef]
- Ismail, S.A.; Ang, W.L.; Mohammad, A.W. Electro-Fenton Technology for Wastewater Treatment: A Bibliometric Analysis of Current Research Trends, Future Perspectives and Energy Consumption Analysis. J. Water Process Eng. 2021, 40, 101952. [Google Scholar] [CrossRef]
- Ghoneim, M.M.; El-Desoky, H.S.; Zidan, N.M. Electro-Fenton Oxidation of Sunset Yellow FCF Azo-Dye in Aqueous Solutions. Desalination 2011, 274, 22–30. [Google Scholar] [CrossRef]
- Babuponnusami, A.; Muthukumar, K. Advanced Oxidation of Phenol: A Comparison between Fenton, Electro-Fenton, Sono-Electro-Fenton and Photo-Electro-Fenton Processes. Chem. Eng. J. 2012, 183, 1–9. [Google Scholar] [CrossRef]
- GilPavas, E.; Dobrosz-Gómez, I.; Gómez-García, M.Á. Optimization of Solar-Driven Photo-Electro-Fenton Process for the Treatment of Textile Industrial Wastewater. J. Water Process Eng. 2018, 24, 49–55. [Google Scholar] [CrossRef]
- Babuponnusami, A.; Muthukumar, K. A Review on Fenton and Improvements to the Fenton Process for Wastewater Treatment. J. Environ. Chem. Eng. 2014, 2, 557–572. [Google Scholar] [CrossRef]
- Cuerda-Correa, E.M.; Alexandre-Franco, M.F.; Fern, C. Antibiotics from Water. An Overview. Water 2019, 12, 102. [Google Scholar]
- Wang, B.; Song, Z.; Sun, L. A Review: Comparison of Multi-Air-Pollutant Removal by Advanced Oxidation Processes—Industrial Implementation for Catalytic Oxidation Processes. Chem. Eng. J. 2021, 409, 128136. [Google Scholar] [CrossRef]
- Gautam, P.; Kumar, S.; Lokhandwala, S. Advanced Oxidation Processes for Treatment of Leachate from Hazardous Waste Landfill: A Critical Review. J. Clean. Prod. 2019, 237, 117639. [Google Scholar] [CrossRef]
- Oturan, M.A. Outstanding Performances of the BDD Film Anode in Electro-Fenton Process: Applications and Comparative Performance. Curr. Opin. Solid. State Mater. Sci. 2021, 25, 100925. [Google Scholar] [CrossRef]
- Nidheesh, P.V.; Trellu, C.; Vargas, H.O.; Mousset, E.; Ganiyu, S.O.; Oturan, M.A. Electro-Fenton Process in Combination with Other Advanced Oxidation Processes: Challenges and Opportunities. Curr. Opin. Electrochem. 2023, 37, 101171. [Google Scholar] [CrossRef]
- Arefi-Oskoui, S.; Khataee, A.; Safarpour, M.; Orooji, Y.; Vatanpour, V. A Review on the Applications of Ultrasonic Technology in Membrane Bioreactors. Ultrason. Sonochemistry 2019, 58, 104633. [Google Scholar] [CrossRef] [PubMed]
- Madhavan, J.; Theerthagiri, J.; Balaji, D.; Sunitha, S. Ultrasound: An Overview. Molecules 2019, 24, 1–18. [Google Scholar]
- Zhou, N.; Liang, R.; Hu, A. Nanotechnology for Water Treatment and Purification; Springer Nature: Cham, Switzerland, 2014; Volume 22, ISBN 978-3-319-06577-9. [Google Scholar]
- Zhang, Y.; Shaad, K.; Vollmer, D.; Ma, C. Treatment of Textile Wastewater Using Advanced Oxidation Processes—A Critical Review. Water 2021, 13, 3515. [Google Scholar] [CrossRef]
- Grandclément, C.; Seyssiecq, I.; Piram, A.; Wong-Wah-Chung, P.; Vanot, G.; Tiliacos, N.; Roche, N.; Doumenq, P. From the Conventional Biological Wastewater Treatment to Hybrid Processes, the Evaluation of Organic Micropollutant Removal: A Review. Water Res. 2017, 111, 297–317. [Google Scholar] [CrossRef] [PubMed]
- Mohapatra, D.P.; Kirpalani, D.M. Advancement in Treatment of Wastewater: Fate of Emerging Contaminants. Can. J. Chem. Eng. 2019, 97, 2621–2631. [Google Scholar] [CrossRef]
- da Silva, T.L.; Costa, C.S.D.; da Silva, M.G.C.; Vieira, M.G.A. Overview of Non-Steroidal Anti-Inflammatory Drugs Degradation by Advanced Oxidation Processes. J. Clean. Prod. 2022, 346, 131226. [Google Scholar] [CrossRef]
- Pan, Z.; Song, C.; Li, L.; Wang, H.; Pan, Y.; Wang, C.; Li, J.; Wang, T.; Feng, X. Membrane Technology Coupled with Electrochemical Advanced Oxidation Processes for Organic Wastewater Treatment: Recent Advances and Future Prospects. Chem. Eng. J. 2019, 376, 120909. [Google Scholar] [CrossRef]
- Chaplin, B.P. Critical Review of Electrochemical Advanced Oxidation Processes for Water Treatment Applications. Environ. Sci. Process. Impacts 2014, 16, 1182–1203. [Google Scholar] [CrossRef]
- Oturan, M.A.; Brillas, E. Electrochemical Advanced Oxidation Processes (EAOPs) for Environmental Applications. Port. Electrochim. Acta 2007, 25, 1–18. [Google Scholar] [CrossRef]
- Ganiyu, S.O.; Martínez-Huitle, C.A.; Oturan, M.A. Electrochemical Advanced Oxidation Processes for Wastewater Treatment: Advances in Formation and Detection of Reactive Species and Mechanisms. Curr. Opin. Electrochem. 2021, 27, 100678. [Google Scholar] [CrossRef]
- Sirés, I.; Brillas, E.; Oturan, M.A.; Rodrigo, M.A.; Panizza, M. Electrochemical Advanced Oxidation Processes: Today and Tomorrow. A Review. Environ. Sci. Pollut. Res. 2014, 21, 8336–8367. [Google Scholar] [CrossRef] [PubMed]
- Cuervo Lumbaque, E.; Lopes Tiburtius, E.R.; Barreto-Rodrigues, M.; Sirtori, C. Current Trends in the Use of Zero-Valent Iron (Fe0) for Degradation of Pharmaceuticals Present in Different Water Matrices. Trends Environ. Anal. Chem. 2019, 24, e00069. [Google Scholar] [CrossRef]
- Li, Q.; Chen, Z.; Wang, H.; Yang, H.; Wen, T.; Wang, S.; Hu, B.; Wang, X. Removal of Organic Compounds by Nanoscale Zero-Valent Iron and Its Composites. Sci. Total Environ. 2021, 792, 148546. [Google Scholar] [CrossRef]
- Fu, F.; Dionysiou, D.D.; Liu, H. The Use of Zero-Valent Iron for Groundwater Remediation and Wastewater Treatment: A Review. J. Hazard. Mater. 2014, 267, 194–205. [Google Scholar] [CrossRef] [PubMed]
- Mahmoud, M.E.; Abdelwahab, M.S. One-Step Synthesis of Zero-Valent Sn Nanoparticles and Potential Microwave Remediation of Lead from Water. Mater. Res. Bull. 2021, 134, 111090. [Google Scholar] [CrossRef]
- Guan, X.; Sun, Y.; Qin, H.; Li, J.; Lo, I.M.C.; He, D.; Dong, H. The Limitations of Applying Zero-Valent Iron Technology in Contaminants Sequestration and the Corresponding Countermeasures: The Development in Zero-Valent Iron Technology in the Last Two Decades (1994–2014). Water Res. 2015, 75, 224–248. [Google Scholar] [CrossRef]
- Giannakis, S.; Lin, K.Y.A.; Ghanbari, F. A Review of the Recent Advances on the Treatment of Industrial Wastewaters by Sulfate Radical-Based Advanced Oxidation Processes (SR-AOPs). Chem. Eng. J. 2021, 406, 127083. [Google Scholar] [CrossRef]
- Cardoso, I.M.F.; Cardoso, R.M.F.; Esteves da Silva, J.C.G. Advanced Oxidation Processes Coupled with Nanomaterials for Water Treatment. Nanomaterials 2021, 11, 2045. [Google Scholar] [CrossRef]
- Xiao, R.; Luo, Z.; Wei, Z.; Luo, S.; Spinney, R.; Yang, W.; Dionysiou, D.D. Activation of Peroxymonosulfate/Persulfate by Nanomaterials for Sulfate Radical-Based Advanced Oxidation Technologies. Curr. Opin. Chem. Eng. 2018, 19, 51–58. [Google Scholar] [CrossRef]
- Scaria, J.; Nidheesh, P.V. Comparison of Hydroxyl-Radical-Based Advanced Oxidation Processes with Sulfate Radical-Based Advanced Oxidation Processes. Curr. Opin. Chem. Eng. 2022, 36, 100830. [Google Scholar] [CrossRef]
- Kappe, C.O. Controlled Microwave Heating in Modern Organic Synthesis. Angew. Chem. Int. Ed. 2004, 43, 6250–6284. [Google Scholar] [CrossRef] [PubMed]
- Jones, D.A.; Lelyveld, T.P.; Mavrofidis, S.D.; Kingman, S.W.; Miles, N.J. Microwave Heating Applications in Environmental Engineering—A Review. Resour. Conserv. Recycl. 2002, 34, 75–90. [Google Scholar] [CrossRef]
- Bose, S.; Kumar, M. Microwave-Assisted Persulfate/Peroxymonosulfate Process for Environmental Remediation. Curr. Opin. Chem. Eng. 2022, 36, 100826. [Google Scholar] [CrossRef]
- Liu, X.; Huang, F.; Yu, Y.; Zhao, P.; Zhou, Y.; He, Y.; Xu, Y.; Zhang, Y. Ofloxacin Degradation over Cu–Ce Tyre Carbon Catalysts by the Microwave Assisted Persulfate Process. Appl. Catal. B 2019, 253, 149–159. [Google Scholar] [CrossRef]
- Wang, F.; Wu, C.; Li, Q. Treatment of Refractory Organics in Strongly Alkaline Dinitrodiazophenol Wastewater with Microwave Irradiation-Activated Persulfate. Chemosphere 2020, 254, 126773. [Google Scholar] [CrossRef]
- Verma, P.; Samanta, S.K. Microwave-Enhanced Advanced Oxidation Processes for the Degradation of Dyes in Water. Environ. Chem. Lett. 2018, 16, 969–1007. [Google Scholar] [CrossRef]
- Gao, Y.; Zou, D. Efficient Degradation of Levofloxacin by a Microwave–3D ZnCo2O4/Activated Persulfate Process: Effects, Degradation Intermediates, and Acute Toxicity. Chem. Eng. J. 2020, 393, 124795. [Google Scholar] [CrossRef]
- Cao, M.; Xu, P.; Tian, K.; Shi, F.; Zheng, Q.; Ma, D.; Zhang, G. Recent Advances in Microwave-Enhanced Advanced Oxidation Processes (MAOPs) for Environmental Remediation: A Review. Chem. Eng. J. 2023, 471, 144208. [Google Scholar] [CrossRef]
- Wang, H.; Zhao, Z.; Zhang, X.; Dong, W.; Cao, Z.; He, L.; Wang, X. Rapid Decomplexation of Ni-EDTA by Microwave-Assisted Fenton Reaction. Chem. Eng. J. 2020, 381, 122703. [Google Scholar] [CrossRef]
- Hu, L.; Zhang, G.; Wang, Q.; Wang, X.; Wang, P. Effect of Microwave Heating on Persulfate Activation for Rapid Degradation and Mineralization of P-Nitrophenol. ACS Sustain. Chem. Eng. 2019, 7, 11662–11671. [Google Scholar] [CrossRef]
- Qi, C.; Liu, X.; Lin, C.; Zhang, X.; Ma, J.; Tan, H.; Ye, W. Degradation of Sulfamethoxazole by Microwave-Activated Persulfate: Kinetics, Mechanism and Acute Toxicity. Chem. Eng. J. 2014, 249, 6–14. [Google Scholar] [CrossRef]
- Rauf, M.A.; Ashraf, S.S. Fundamental Principles and Application of Heterogeneous Photocatalytic Degradation of Dyes in Solution. Chem. Eng. J. 2009, 151, 10–18. [Google Scholar] [CrossRef]
- Mahdi, M.H.; Mohammed, T.J.; Al-Najar, J.A. Advanced Oxidation Processes (AOPs) for Treatment of Antibiotics in Wastewater: A Review. IOP Conf. Ser. Earth Environ. Sci. 2021, 779, 012109. [Google Scholar] [CrossRef]
- Dewil, R.; Mantzavinos, D.; Poulios, I.; Rodrigo, M.A. New Perspectives for Advanced Oxidation Processes. J. Environ. Manag. 2017, 195, 93–99. [Google Scholar] [CrossRef] [PubMed]
- Banerjee, S.; Pillai, S.C.; Falaras, P.; O’shea, K.E.; Byrne, J.A.; Dionysiou, D.D. New Insights into the Mechanism of Visible Light Photocatalysis. J. Phys. Chem. Lett. 2014, 5, 2543–2554. [Google Scholar] [CrossRef] [PubMed]
- Vellanki, B.P.; Batchelor, B.; Abdel-Wahab, A. Advanced Reduction Processes: A New Class of Treatment Processes. Environ. Eng. Sci. 2013, 30, 264–271. [Google Scholar] [CrossRef]
- Neta, P.; Huie, R.E.; Harriman, A. One-Electron-Transfer Reactions of the Couple SO2/SO2− in Aqueous Solutions. Pulse Radiolytic and Cyclic Voltammetric Studies. J. Phys. Chem. 1987, 91, 1606–1611. [Google Scholar]
- Ibrahim, I.; Athanasekou, C.; Manolis, G.; Kaltzoglou, A.; Nasikas, N.K.; Katsaros, F.; Devlin, E.; Kontos, A.G.; Falaras, P. Photocatalysis as an Advanced Reduction Process (ARP): The Reduction of 4-Nitrophenol Using Titania Nanotubes-Ferrite Nanocomposites. J. Hazard. Mater. 2019, 372, 37–44. [Google Scholar] [CrossRef]
- Liu, X.; Vellanki, B.P.; Batchelor, B.; Abdel-Wahab, A. Degradation of 1,2-Dichloroethane with Advanced Reduction Processes (ARPs): Effects of Process Variables and Mechanisms. Chem. Eng. J. 2014, 237, 300–307. [Google Scholar] [CrossRef]
- Cui, J.; Gao, P.; Deng, Y. Destruction of Per- and Polyfluoroalkyl Substances (PFAS) with Advanced Reduction Processes (ARPs): A Critical Review. Environ. Sci. Technol. 2020, 54, 3752–3766. [Google Scholar] [CrossRef]
- Yu, H.; Nie, E.; Xu, J.; Yan, S.; Cooper, W.J.; Song, W. Degradation of Diclofenac by Advanced Oxidation and Reduction Processes: Kinetic Studies, Degradation Pathways and Toxicity Assessments. Water Res. 2013, 47, 1909–1918. [Google Scholar] [CrossRef]
- Jeong, J.; Song, W.; Cooper, W.J.; Jung, J.; Greaves, J. Degradation of Tetracycline Antibiotics: Mechanisms and Kinetic Studies for Advanced Oxidation/Reduction Processes. Chemosphere 2010, 78, 533–540. [Google Scholar] [CrossRef] [PubMed]
- Akerdi, A.G.; Bahrami, S.H. Application of Heterogeneous Nano-Semiconductors for Photocatalytic Advanced Oxidation of Organic Compounds: A Review. J. Environ. Chem. Eng. 2019, 7, 103283. [Google Scholar] [CrossRef]
- Macedo, L.C.; Zaia, D.A.M.; Moore, G.J.; de Santana, H. Degradation of Leather Dye on TiO2: A Study of Applied Experimental Parameters on Photoelectrocatalysis. J. Photochem. Photobiol. A Chem. 2007, 185, 86–93. [Google Scholar] [CrossRef]
- Wang, C.C.; Lee, C.K.; Lyu, M.D.; Juang, L.C. Photocatalytic Degradation of C.I. Basic Violet 10 Using TiO2 Catalysts Supported by Y Zeolite: An Investigation of the Effects of Operational Parameters. Dye. Pigment. 2008, 76, 817–824. [Google Scholar] [CrossRef]
- Zhang, Y.; Zhou, J.; Chen, X.; Wang, L.; Cai, W. Coupling of Heterogeneous Advanced Oxidation Processes and Photocatalysis in Efficient Degradation of Tetracycline Hydrochloride by Fe-Based MOFs: Synergistic Effect and Degradation Pathway. Chem. Eng. J. 2019, 369, 745–757. [Google Scholar] [CrossRef]
- Antoniou, M.G.; Hey, G.; Rodríguez Vega, S.; Spiliotopoulou, A.; Fick, J.; Tysklind, M.; la Cour Jansen, J.; Andersen, H.R. Required Ozone Doses for Removing Pharmaceuticals from Wastewater Effluents. Sci. Total Environ. 2013, 456–457, 42–49. [Google Scholar] [CrossRef]
- Lado Ribeiro, A.R.; Moreira, N.F.F.; Li Puma, G.; Silva, A.M.T. Impact of Water Matrix on the Removal of Micropollutants by Advanced Oxidation Technologies. Chem. Eng. J. 2019, 363, 155–173. [Google Scholar] [CrossRef]
- Li, D.; Feng, Z.; Zhou, B.; Chen, H.; Yuan, R. Impact of Water Matrices on Oxidation Effects and Mechanisms of Pharmaceuticals by Ultraviolet-Based Advanced Oxidation Technologies: A Review. Sci. Total Environ. 2022, 844, 157162. [Google Scholar] [CrossRef]
- Domingues, E.; Fernandes, E.; Gomes, J.; Martins, R.C. Advanced Oxidation Processes Perspective Regarding Swine Wastewater Treatment. Sci. Total Environ. 2021, 776, 145958. [Google Scholar] [CrossRef]
- Kurian, M. Advanced Oxidation Processes and Nanomaterials: A Review. Clean. Eng. Technol. 2021, 2, 100090. [Google Scholar] [CrossRef]
- Henglein, A. Small-Particle Research: Physicochemical Properties of Extremely Small Colloidal Metal and Semiconductor Particles. Chem. Rev. 1989, 89, 1861–1873. [Google Scholar] [CrossRef]
- Adeleye, A.S.; Conway, J.R.; Garner, K.; Huang, Y.; Su, Y.; Keller, A.A. Engineered Nanomaterials for Water Treatment and Remediation: Costs, Benefits, and Applicability. Chem. Eng. J. 2016, 286, 640–662. [Google Scholar] [CrossRef]
- Cai, Z.; Sun, Y.; Liu, W.; Pan, F.; Sun, P.; Fu, J. An Overview of Nanomaterials Applied for Removing Dyes from Wastewater. Environ. Sci. Pollut. Res. 2017, 24, 15882–15904. [Google Scholar] [CrossRef]
- Lei, S.; Wang, S.; Gao, B.; Zhan, Y.; Zhao, Q.; Jin, S.; Song, G.; Lyu, X.; Zhang, Y.; Tang, Y. Ultrathin Dodecyl-Sulfate-Intercalated Mg-Al Layered Double Hydroxide Nanosheets with High Adsorption Capability for Dye Pollution. J. Colloid Interface Sci. 2020, 577, 181–190. [Google Scholar] [CrossRef]
- Janson, O.; Unosson, E.; Strømme, M.; Engqvist, H.; Welch, K. Organic Degradation Potential of a TiO2/H2O2/UV–Vis System for Dental Applications. J. Dent. 2017, 67, 53–57. [Google Scholar] [CrossRef]
- Massoudinejad, M.; Keramati, H.; Ghaderpoori, M. Investigation of Photo-Catalytic Removal of Arsenic from Aqueous Solutions Using UV/H2O2 in the Presence of ZnO Nanoparticles. Chem. Eng. Commun. 2020, 207, 1605–1615. [Google Scholar] [CrossRef]
- Hu, L.; Wang, P.; Liu, G.; Zheng, Q.; Zhang, G. Catalytic Degradation of P-Nitrophenol by Magnetically Recoverable Fe3O4 as a Persulfate Activator under Microwave Irradiation. Chemosphere 2020, 240, 124977. [Google Scholar] [CrossRef]
- Schröder, P.; Helmreich, B.; Škrbić, B.; Carballa, M.; Papa, M.; Pastore, C.; Emre, Z.; Oehmen, A.; Langenhoff, A.; Molinos, M.; et al. Status of Hormones and Painkillers in Wastewater Effluents across Several European States—Considerations for the EU Watch List Concerning Estradiols and Diclofenac. Environ. Sci. Pollut. Res. 2016, 23, 12835–12866. [Google Scholar] [CrossRef]
- Sellaro, M.; Bellardita, M.; Brunetti, A.; Fontananova, E.; Palmisano, L.; Drioli, E.; Barbieri, G. CO2 Conversion in a Photocatalytic Continuous Membrane Reactor. RSC Adv. 2016, 6, 67418–67427. [Google Scholar] [CrossRef]
- Bellardita, M.; Camera-Roda, G.; Loddo, V.; Parrino, F.; Palmisano, L. Coupling of Membrane and Photocatalytic Technologies for Selective Formation of High Added Value Chemicals. Catal. Today 2020, 340, 128–144. [Google Scholar] [CrossRef]
- Camera-Roda, G.; Santarelli, F.; Augugliaro, V.; Loddo, V.; Palmisano, G.; Palmisano, L.; Yurdakal, S. Photocatalytic Process Intensification by Coupling with Pervaporation. Catal. Today 2011, 161, 209–213. [Google Scholar] [CrossRef]
- Molinari, R.; Lavorato, C.; Argurio, P. Recent Progress of Photocatalytic Membrane Reactors in Water Treatment and in Synthesis of Organic Compounds. A Review. Catal. Today 2017, 281, 144–164. [Google Scholar] [CrossRef]
- Gopal, G.; Alex, S.A.; Chandrasekaran, N.; Mukherjee, A. A Review on Tetracycline Removal from Aqueous Systems by Advanced Treatment Techniques. RSC Adv. 2020, 10, 27081–27095. [Google Scholar] [CrossRef]
- Emzhina, V.; Kuzin, E.; Babusenko, E.; Krutchinina, N. Photodegradation of Tetracycline in Presence of H2O2 and Metal Oxide Based Catalysts. J. Water Process Eng. 2021, 39, 101696. [Google Scholar] [CrossRef]
- Shi, W.; Fu, Y.; Hao, C.; Guo, F.; Tang, Y. Heterogeneous Photo-Fenton Process over Magnetically Recoverable MnFe2O4/MXene Hierarchical Heterostructure for Boosted Degradation of Tetracycline. Mater. Today Commun. 2022, 33, 104449. [Google Scholar] [CrossRef]
- Davies, A.K.; McKellar, J.F.; Phillips, G.O.; Reid, A.G. Photochemical Oxidation of Tetracycline in Aqueous Solution. J. Chem. Soc. Perkin Trans. 2 1979, 369–375. [Google Scholar] [CrossRef]
- López-Peñalver, J.J.; Sánchez-Polo, M.; Gómez-Pacheco, C.V.; Rivera-Utrilla, J. Photodegradation of Tetracyclines in Aqueous Solution by Using UV and UV/H2O2 Oxidation Processes. J. Chem. Technol. Biotechnol. 2010, 85, 1325–1333. [Google Scholar] [CrossRef]
- Serrà, A.; Gómez, E.; Michler, J.; Philippe, L. Facile Cost-Effective Fabrication of Cu@Cu2O@CuO–Microalgae Photocatalyst with Enhanced Visible Light Degradation of Tetracycline. Chem. Eng. J. 2021, 413, 127477. [Google Scholar] [CrossRef]
- Bautitz, I.R.; Nogueira, R.F.P. Degradation of Tetracycline by Photo-Fenton Process-Solar Irradiation and Matrix Effects. J. Photochem. Photobiol. A Chem. 2007, 187, 33–39. [Google Scholar] [CrossRef]
- Yamal-Turbay, E.; Jaén, E.; Graells, M.; Pérez-Moya, M. Enhanced Photo-Fenton Process for Tetracycline Degradation Using Efficient Hydrogen Peroxide Dosage. J. Photochem. Photobiol. A Chem. 2013, 267, 11–16. [Google Scholar] [CrossRef]
- Zhuang, Y.; Liu, Q.; Kong, Y.; Shen, C.; Hao, H.; Dionysiou, D.D.; Shi, B. Enhanced Antibiotic Removal through a Dual-Reaction-Center Fenton-like Process in 3D Graphene Based Hydrogels. Environ. Sci. Nano 2019, 6, 388–398. [Google Scholar] [CrossRef]
- Liu, S.; Zhao, X.R.; Sun, H.Y.; Li, R.P.; Fang, Y.F.; Huang, Y.P. The Degradation of Tetracycline in a Photo-Electro-Fenton System. Chem. Eng. J. 2013, 231, 441–448. [Google Scholar] [CrossRef]
- Ao, X.; Sun, W.; Li, S.; Yang, C.; Li, C.; Lu, Z. Degradation of Tetracycline by Medium Pressure UV-Activated Peroxymonosulfate Process: Influencing Factors, Degradation Pathways, and Toxicity Evaluation. Chem. Eng. J. 2019, 361, 1053–1062. [Google Scholar] [CrossRef]
- Nasseri, S.; Mahvi, A.H.; Seyedsalehi, M.; Yaghmaeian, K.; Nabizadeh, R.; Alimohammadi, M.; Safari, G.H. Degradation Kinetics of Tetracycline in Aqueous Solutions Using Peroxydisulfate Activated by Ultrasound Irradiation: Effect of Radical Scavenger and Water Matrix. J. Mol. Liq. 2017, 241, 704–714. [Google Scholar] [CrossRef]
- Hou, L.; Zhang, H.; Xue, X. Ultrasound Enhanced Heterogeneous Activation of Peroxydisulfate by Magnetite Catalyst for the Degradation of Tetracycline in Water. Sep. Purif. Technol. 2012, 84, 147–152. [Google Scholar] [CrossRef]
- Ji, Y.; Shi, Y.; Dong, W.; Wen, X.; Jiang, M.; Lu, J. Thermo-Activated Persulfate Oxidation System for Tetracycline Antibiotics Degradation in Aqueous Solution. Chem. Eng. J. 2016, 298, 225–233. [Google Scholar] [CrossRef]
- Zhang, X.; Deng, H.; Zhang, G.; Yang, F.; Yuan, G.E. Natural Bornite as an Efficient and Cost-Effective Persulfate Activator for Degradation of Tetracycline: Performance and Mechanism. Chem. Eng. J. 2020, 381, 122717. [Google Scholar] [CrossRef]
- Yang, Q.; Yang, X.; Yan, Y.; Sun, C.; Wu, H.; He, J.; Wang, D. Heterogeneous Activation of Peroxymonosulfate by Different Ferromanganese Oxides for Tetracycline Degradation: Structure Dependence and Catalytic Mechanism. Chem. Eng. J. 2018, 348, 263–270. [Google Scholar] [CrossRef]
- Guan, R.; Yuan, X.; Wu, Z.; Wang, H.; Jiang, L.; Zhang, J.; Li, Y.; Zeng, G.; Mo, D. Accelerated Tetracycline Degradation by Persulfate Activated with Heterogeneous Magnetic NixFe3−xO4 Catalysts. Chem. Eng. J. 2018, 350, 573–584. [Google Scholar] [CrossRef]
- Gao, Y.; Cong, S.; He, Y.; Zou, D.; Liu, Y.; Yao, B.; Sun, W. Study on the Mechanism of Degradation of Tetracycline Hydrochloride by Microwave-Activated Sodium Persulfate. Water Sci. Technol. 2020, 82, 1961–1970. [Google Scholar] [CrossRef] [PubMed]
- Khan, M.H.; Bae, H.; Jung, J.Y. Tetracycline Degradation by Ozonation in the Aqueous Phase: Proposed Degradation Intermediates and Pathway. J. Hazard. Mater. 2010, 181, 659–665. [Google Scholar] [CrossRef] [PubMed]
- Wang, Y.; Zhang, H.; Zhang, J.; Lu, C.; Huang, Q.; Wu, J.; Liu, F. Degradation of Tetracycline in Aqueous Media by Ozonation in an Internal Loop-Lift Reactor. J. Hazard. Mater. 2011, 192, 35–43. [Google Scholar] [CrossRef]
- Wang, Y.; Zhang, H.; Chen, L. Ultrasound Enhanced Catalytic Ozonation of Tetracycline in a Rectangular Air-Lift Reactor. Catal. Today 2011, 175, 283–292. [Google Scholar] [CrossRef]
- Gómez-Pacheco, C.V.; Sánchez-Polo, M.; Rivera-Utrilla, J.; López-Peñalver, J. Tetracycline Removal from Waters by Integrated Technologies Based on Ozonation and Biodegradation. Chem. Eng. J. 2011, 178, 115–121. [Google Scholar] [CrossRef]
- Hou, L.; Zhang, H.; Wang, L.; Chen, L. Ultrasound-Enhanced Magnetite Catalytic Ozonation of Tetracycline in Water. Chem. Eng. J. 2013, 229, 577–584. [Google Scholar] [CrossRef]
- Wang, Y.; Zhang, H.; Chen, L.; Wang, S.; Zhang, D. Ozonation Combined with Ultrasound for the Degradation of Tetracycline in a Rectangular Air-Lift Reactor. Sep. Purif. Technol. 2012, 84, 138–146. [Google Scholar] [CrossRef]
- Safari, G.H.; Hoseini, M.; Seyedsalehi, M.; Kamani, H.; Jaafari, J.; Mahvi, A.H. Photocatalytic Degradation of Tetracycline Using Nanosized Titanium Dioxide in Aqueous Solution. Int. J. Environ. Sci. Technol. 2015, 12, 603–616. [Google Scholar] [CrossRef]
- Wang, P.; Yap, P.S.; Lim, T.T. C-N-S Tridoped TiO2 for Photocatalytic Degradation of Tetracycline under Visible-Light Irradiation. Appl. Catal. A Gen. 2011, 399, 252–261. [Google Scholar] [CrossRef]
- Mohammadi, M.; Sabbaghi, S.; Binazadeh, M.; Ghaedi, S. Chemosphere Type-1 α-Fe2O3/TiO2 Photocatalytic Degradation of Tetracycline from Wastewater Using CCD-Based RSM Optimization. Chemosphere 2023, 336, 139311. [Google Scholar] [CrossRef]
- Sharma, M.; Mandal, M.K.; Pandey, S.; Kumar, R.; Dubey, K.K. Visible-Light-Driven Photocatalytic Degradation of Tetracycline Using Heterostructured Cu2O-TiO2 Nanotubes, Kinetics, and Toxicity Evaluation of Degraded Products on Cell Lines. ACS Omega 2022, 7, 33572–33586. [Google Scholar] [CrossRef] [PubMed]
- Ahmadi, M.; Ramezani Motlagh, H.; Jaafarzadeh, N.; Mostoufi, A.; Saeedi, R.; Barzegar, G.; Jorfi, S. Enhanced Photocatalytic Degradation of Tetracycline and Real Pharmaceutical Wastewater Using MWCNT/TiO2 Nano-Composite. J. Environ. Manag. 2017, 186, 55–63. [Google Scholar] [CrossRef] [PubMed]
- Wang, W.; Fang, J.; Shao, S.; Lai, M.; Lu, C. Compact and Uniform TiO2@g-C3N4 Core-Shell Quantum Heterojunction for Photocatalytic Degradation of Tetracycline Antibiotics. Appl. Catal. B 2017, 217, 57–64. [Google Scholar] [CrossRef]
- Phakathi, N.A.; Tichapondwa, S.M.; Chirwa, E.M.N. Photocatalytic Degradation of Tetracycline Using Visible-Light-Driven Porous g-C3N4 Nanosheets Catalyst. Chem. Eng. Trans. 2022, 96, 391–396. [Google Scholar] [CrossRef]
- Gaffar, S.; Kumar, A.; Alam, J.; Riaz, U. Efficient Visible Light–Induced Photocatalytic Degradation of Tetracycline Hydrochloride Using CuFe2O4 and PANI/CuFe2O4 Nanohybrids. Environ. Sci. Pollut. Res. 2023, 30, 108878–108888. [Google Scholar] [CrossRef] [PubMed]
- Liu, W.; Wei, C.; Peng, R.; Chu, R.; Sun, H.; Zhang, X.; Xie, F. Persulfate Assisted Photocatalytic Degradation of Tetracycline by Bismuth Titanate under Visible Light Irradiation. New J. Chem. 2022, 46, 10854–10862. [Google Scholar] [CrossRef]
- Kaushal, S.; Kumar, A.; Bains, H.; Singh, P.P. Photocatalytic Degradation of Tetracycline Antibiotic and Organic Dyes Using Biogenic Synthesized CuO/Fe2O3 Nanocomposite: Pathways and Mechanism Insights. Environ. Sci. Pollut. Res. 2023, 30, 37092–37104. [Google Scholar] [CrossRef]
- Semeraro, P.; Bettini, S.; Sawalha, S.; Pal, S.; Licciulli, A.; Marzo, F.; Lovergine, N.; Valli, L.; Giancane, G. Photocatalytic Degradation of Tetracycline by ZnO/γ-Fe2O3 Paramagnetic Nanocomposite Material. Nanomaterials 2020, 10, 1458. [Google Scholar] [CrossRef]
- Nguetsa Kuate, L.J.; Chen, Z.; Lu, J.; Wen, H.; Guo, F.; Shi, W. Photothermal-Assisted Photocatalytic Degradation of Tetracycline in Seawater Based on the Black g-C3N4 Nanosheets with Cyano Group Defects. Catalysts 2023, 13, 1147. [Google Scholar] [CrossRef]
- Chen, F.; Yang, Q.; Sun, J.; Yao, F.; Wang, S.; Wang, Y.; Wang, X.; Li, X.; Niu, C.; Wang, D.; et al. Enhanced Photocatalytic Degradation of Tetracycline by AgI/BiVO4 Heterojunction under Visible-Light Irradiation: Mineralization Efficiency and Mechanism. ACS Appl. Mater. Interfaces 2016, 8, 32887–32900. [Google Scholar] [CrossRef]
- Jia, X.; Wang, F.; Xu, X.; Liu, C.; Zhang, L.; Jiao, S.; Zhu, G.; Wang, X.; Yu, G. Highly Efficient Photocatalytic Degradation of Tetracycline by Modifying UiO-66 via Different Regulation Strategies. ACS Omega 2023, 8, 27375–27385. [Google Scholar] [CrossRef]
- Oluwole, A.O.; Olatunji, O.S. Photocatalytic Degradation of Tetracycline in Aqueous Systems under Visible Light Irridiation Using Needle-like SnO2 Nanoparticles Anchored on Exfoliated g-C3N4. Environ. Sci. Eur. 2022, 34, 5. [Google Scholar] [CrossRef]
- Zhang, X.X.; Wang, X.J.; Niu, Y.Y. Photocatalytic Degradation of Tetracycline by Supramolecular Materials Constructed with Organic Cations and Silver Iodide. Catalysts 2022, 12, 1581. [Google Scholar] [CrossRef]
- Doosti, M.; Jahanshahi, R.; Laleh, S.; Sobhani, S.; Sansano, J.M. Solar Light Induced Photocatalytic Degradation of Tetracycline in the Presence of ZnO/NiFe2O4/Co3O4 as a New and Highly Efficient Magnetically Separable Photocatalyst. Front. Chem. 2022, 10, 1013349. [Google Scholar] [CrossRef]
- Li, S.; Wang, C.; Liu, Y.; Cai, M.; Wang, Y.; Zhang, H.; Guo, Y.; Zhao, W.; Wang, Z.; Chen, X. Photocatalytic Degradation of Tetracycline Antibiotic by a Novel Bi2Sn2O7/Bi2MoO6 S-Scheme Heterojunction: Performance, Mechanism Insight and Toxicity Assessment. Chem. Eng. J. 2022, 429, 132519. [Google Scholar] [CrossRef]
- Huang, J.; Xue, P.; Wang, S.; Han, S.; Lin, L.; Chen, X.; Wang, Z. Fabrication of Zirconium-Based Metal-Organic Frameworks@tungsten Trioxide (UiO-66-NH2@WO3) Heterostructure on Carbon Cloth for Efficient Photocatalytic Removal of Tetracycline Antibiotic under Visible Light. J. Colloid Interface Sci. 2022, 606, 1509–1523. [Google Scholar] [CrossRef]
- Palominos, R.A.; Mondaca, M.A.; Giraldo, A.; Peñuela, G.; Pérez-Moya, M.; Mansilla, H.D. Photocatalytic Oxidation of the Antibiotic Tetracycline on TiO2 and ZnO Suspensions. Catal. Today 2009, 144, 100–105. [Google Scholar] [CrossRef]
- Wang, X.; Wang, A.; Ma, J. Visible-Light-Driven Photocatalytic Removal of Antibiotics by Newly Designed C3N4@MnFe2O4-Graphene Nanocomposites. J. Hazard. Mater. 2017, 336, 81–92. [Google Scholar] [CrossRef] [PubMed]
- Alyani, S.J.; Pirbazari, A.E.; Khalilsaraei, F.E.; Kolur, N.A.; Gilani, N. Growing Co-Doped TiO2 Nanosheets on Reduced Graphene Oxide for Efficient Photocatalytic Removal of Tetracycline Antibiotic from Aqueous Solution and Modeling the Process by Artificial Neural Network. J. Alloys Compd. 2019, 799, 169–182. [Google Scholar] [CrossRef]
- Song, J.; Wu, X.; Zhang, M.; Liu, C.; Yu, J.; Sun, G.; Si, Y.; Ding, B. Highly Flexible, Core-Shell Heterostructured, and Visible-Light-Driven Titania-Based Nanofibrous Membranes for Antibiotic Removal and E. Coil Inactivation. Chem. Eng. J. 2020, 379, 122269. [Google Scholar] [CrossRef]
- Wang, Q.; Li, P.; Zhang, Z.; Jiang, C.; Zuojiao, K.; Liu, J.; Wang, Y. Kinetics and Mechanism Insights into the Photodegradation of Tetracycline Hydrochloride and Ofloxacin Mixed Antibiotics with the Flower-like BiOCl/TiO2 Heterojunction. J. Photochem. Photobiol. A Chem. 2019, 378, 114–124. [Google Scholar] [CrossRef]
- Wierzbicka, E.; Altomare, M.; Wu, M.; Liu, N.; Yokosawa, T.; Fehn, D.; Qin, S.; Meyer, K.; Unruh, T.; Spiecker, E.; et al. Reduced Grey Brookite for Noble Metal Free Photocatalytic H2evolution. J. Mater. Chem. A Mater. 2021, 9, 1168–1179. [Google Scholar] [CrossRef]
- Belhouchet, N.; Hamdi, B.; Chenchouni, H.; Bessekhouad, Y. Photocatalytic Degradation of Tetracycline Antibiotic Using New Calcite/Titania Nanocomposites. J. Photochem. Photobiol. A Chem. 2019, 372, 196–205. [Google Scholar] [CrossRef]
- Lakhera, S.K.; Hafeez, H.Y.; Veluswamy, P.; Ganesh, V.; Khan, A.; Ikeda, H.; Neppolian, B. Enhanced Photocatalytic Degradation and Hydrogen Production Activity of in Situ Grown TiO2 Coupled NiTiO3 Nanocomposites. Appl. Surf. Sci. 2018, 449, 790–798. [Google Scholar] [CrossRef]
- Yang, Q.; Wang, S.; Chen, F.; Luo, K.; Sun, J.; Gong, C.; Yao, F.; Wang, X.; Wu, J.; Li, X.; et al. Enhanced Visible-Light-Driven Photocatalytic Removal of Refractory Pollutants by Zn/Fe Mixed Metal Oxide Derived from Layered Double Hydroxide. Catal. Commun. 2017, 99, 15–19. [Google Scholar] [CrossRef]
- Galedari, M.; Mehdipour Ghazi, M.; Rashid Mirmasoomi, S. Photocatalytic Process for the Tetracycline Removal under Visible Light: Presenting a Degradation Model and Optimization Using Response Surface Methodology (RSM). Chem. Eng. Res. Des. 2019, 145, 323–333. [Google Scholar] [CrossRef]
- Yu, J.; Kiwi, J.; Zivkovic, I.; Rønnow, H.M.; Wang, T.; Rtimi, S. Quantification of the Local Magnetized Nanotube Domains Accelerating the Photocatalytic Removal of the Emerging Pollutant Tetracycline. Appl. Catal. B 2019, 248, 450–458. [Google Scholar] [CrossRef]
- Hong, Y.; Li, C.; Yin, B.; Li, D.; Zhang, Z.; Mao, B.; Fan, W.; Gu, W.; Shi, W. Promoting Visible-Light-Induced Photocatalytic Degradation of Tetracycline by an Efficient and Stable Beta-Bi2O3@ g-C3N4 Core/Shell Nanocomposite. Chem. Eng. J. 2018, 338, 137–146. [Google Scholar] [CrossRef]
- Tun, P.P.; Wang, J.; Khaing, T.T.; Wu, X.; Zhang, G. Fabrication of Functionalized Plasmonic Ag Loaded Bi2O3/Montmorillonite Nanocomposites for Efficient Photocatalytic Removal of Antibiotics and Organic Dyes. J. Alloys Compd. 2020, 818, 152836. [Google Scholar] [CrossRef]
- Heidari, S.; Haghighi, M.; Shabani, M. Sono-Photodeposition of Ag over Sono-Fabricated Mesoporous Bi2Sn2O7-Two Dimensional Carbon Nitride: Type-II Plasmonic Nano-Heterojunction with Simulated Sunlight-Driven Elimination of Drug. Chem. Eng. J. 2020, 389, 123418. [Google Scholar] [CrossRef]
- Wang, C.Y.; Zhang, X.; Qiu, H.B.; Huang, G.X.; Yu, H.Q. Bi24O31Br10 Nanosheets with Controllable Thickness for Visible–Light–Driven Catalytic Degradation of Tetracycline Hydrochloride. Appl. Catal. B 2017, 205, 615–623. [Google Scholar] [CrossRef]
- Ha, G.H.; Mohan, H.; Oh, H.S.; Kim, G.; Seralathan, K.K.; Shin, T. Photocatalytic Degradation of Tetracycline Using Hybrid Ag/Ag2S@BiOI Nanowires: Degradation Mechanism and Toxicity Evaluation. Chemosphere 2022, 303, 135091. [Google Scholar] [CrossRef] [PubMed]
- Ye, J.; Liu, J.; Huang, Z.; Wu, S.; Dai, X.; Zhang, L.; Cui, L. Effect of Reduced Graphene Oxide Doping on Photocatalytic Reduction of Cr(VI) and Photocatalytic Oxidation of Tetracycline by ZnAlTi Layered Double Oxides under Visible Light. Chemosphere 2019, 227, 505–513. [Google Scholar] [CrossRef]
- Yu, F.; Li, Y.; Han, S.; Ma, J. Adsorptive Removal of Antibiotics from Aqueous Solution Using Carbon Materials. Chemosphere 2016, 153, 365–385. [Google Scholar] [CrossRef] [PubMed]
- Bai, X.; Wang, Y.J.; Li, Y.; Wang, X.J. Adsorption–Photocatalytical Remediation for Series of Tetracycline Contaminants with BiOCl–CdS Composite under Simulated Sunlight. J. Taiwan Inst. Chem. Eng. 2019, 104, 94–105. [Google Scholar] [CrossRef]
- Méndez-Arriaga, F.; Torres-Palma, R.A.; Pétrier, C.; Esplugas, S.; Gimenez, J.; Pulgarin, C. Ultrasonic Treatment of Water Contaminated with Ibuprofen. Water Res. 2008, 42, 4243–4248. [Google Scholar] [CrossRef]
- Lee, Y.; Lee, S.; Cui, M.; Ren, Y.; Park, B.; Ma, J.; Han, Z.; Khim, J. Activation of Peroxodisulfate and Peroxymonosulfate by Ultrasound with Different Frequencies: Impact on Ibuprofen Removal Efficient, Cost Estimation and Energy Analysis. Chem. Eng. J. 2021, 413, 127487. [Google Scholar] [CrossRef]
- da Luz, V.C.; Bazoti, S.F.; Behling, L.; Dalla Rosa, C.; Pasquali, G.D.L. Enhanced UV Direct Photolysis and UV/H2O2 for Oxidation of Triclosan and Ibuprofen in Synthetic Effluent: An Experimental Study. Water Air Soil Pollut. 2022, 233, 126. [Google Scholar] [CrossRef]
- Adityosulindro, S.; Julcour, C.; Barthe, L. Heterogeneous Fenton Oxidation Using Fe-ZSM5 Catalyst for Removal of Ibuprofen in Wastewater. J. Environ. Chem. Eng. 2018, 6, 5920–5928. [Google Scholar] [CrossRef]
- Adityosulindro, S.; Julcour, C.; Riboul, D.; Barthe, L. Degradation of Ibuprofen by Photo-Based Advanced Oxidation Processes: Exploring Methods of Activation and Related Reaction Routes. Int. J. Environ. Sci. Technol. 2022, 19, 3247–3260. [Google Scholar] [CrossRef]
- Méndez-Arriaga, F.; Esplugas, S.; Giménez, J. Degradation of the Emerging Contaminant Ibuprofen in Water by Photo-Fenton. Water Res. 2010, 44, 589–595. [Google Scholar] [CrossRef]
- Quero-Pastor, M.J.; Garrido-Perez, M.C.; Acevedo, A.; Quiroga, J.M. Ozonation of Ibuprofen: A Degradation and Toxicity Study. Sci. Total Environ. 2014, 466–467, 957–964. [Google Scholar] [CrossRef]
- Almeida, V.M.; Orge, C.A.; Pereira, M.F.R.; Soares, O.S.G.P. O3 Based Advanced Oxidation for Ibuprofen Degradation. Chin. J. Chem. Eng. 2022, 42, 277–284. [Google Scholar] [CrossRef]
- Rao, Y.F.; Xue, D.; Pan, H.; Feng, J.; Li, Y. Degradation of Ibuprofen by a Synergistic UV/Fe(III)/Oxone Process. Chem. Eng. J. 2016, 283, 65–75. [Google Scholar] [CrossRef]
- Li, X.; Wang, Y.; Yuan, S.; Li, Z.; Wang, B.; Huang, J.; Deng, S.; Yu, G. Degradation of the Anti-Inflammatory Drug Ibuprofen by Electro-Peroxone Process. Water Res. 2014, 63, 81–93. [Google Scholar] [CrossRef] [PubMed]
- Miranda, M.O.; Cabral Cavalcanti, W.E.; Barbosa, F.F.; Antonio De Sousa, J.; Ivan Da Silva, F.; Pergher, S.B.C.; Braga, T.P. Photocatalytic Degradation of Ibuprofen Using Titanium Oxide: Insights into the Mechanism and Preferential Attack of Radicals. RSC Adv. 2021, 11, 27720–27733. [Google Scholar] [CrossRef] [PubMed]
- Candido, J.P.; Andrade, S.J.; Fonseca, A.L.; Silva, F.S.; Silva, M.R.A.; Kondo, M.M. Ibuprofen Removal by Heterogeneous Photocatalysis and Ecotoxicological Evaluation of the Treated Solutions. Environ. Sci. Pollut. Res. 2016, 23, 19911–19920. [Google Scholar] [CrossRef]
- Khalaf, S.; Shoqeir, J.H.; Lelario, F.; Scrano, L.; Bufo, S.A.; Karaman, R. TiO2 and Active Coated Glass Photodegradation of Ibuprofen. Catalysts 2020, 10, 560. [Google Scholar] [CrossRef]
- Agócs, T.Z.; Puskás, I.; Varga, E.; Molnár, M.; Fenyvesi, É. Stabilization of Nanosized Titanium Dioxide by Cyclodextrin Polymers and Its Photocatalytic Effect on the Degradation of Wastewater Pollutants. Beilstein J. Org. Chem. 2016, 12, 2873–2882. [Google Scholar] [CrossRef]
- Jallouli, N.; Pastrana-Martínez, L.M.; Ribeiro, A.R.; Moreira, N.F.F.; Faria, J.L.; Hentati, O.; Silva, A.M.T.; Ksibi, M. Heterogeneous Photocatalytic Degradation of Ibuprofen in Ultrapure Water, Municipal and Pharmaceutical Industry Wastewaters Using a TiO2/UV-LED System. Chem. Eng. J. 2018, 334, 976–984. [Google Scholar] [CrossRef]
- Jiménez-Salcedo, M.; Monge, M.; Tena, M.T. Photocatalytic Degradation of Ibuprofen in Water Using TiO2/UV and g-C3N4/Visible Light: Study of Intermediate Degradation Products by Liquid Chromatography Coupled to High-Resolution Mass Spectrometry. Chemosphere 2019, 215, 605–618. [Google Scholar] [CrossRef]
- Li, F.; Kang, Y.; Chen, M.; Liu, G.; Lv, W.; Yao, K.; Chen, P.; Huang, H. Photocatalytic Degradation and Removal Mechanism of Ibuprofen via Monoclinic BiVO4 under Simulated Solar Light. Chemosphere 2016, 150, 139–144. [Google Scholar] [CrossRef] [PubMed]
- Alhumade, H.; Akhtar, J.; Al-Shahrani, S.; Moujdin, I.A.; Tahir, M.B. Ozonation of Ibuprofen in Presence of SrWO4/ZnO Photo-Catalyst. Emerg. Contam. 2022, 8, 391–399. [Google Scholar] [CrossRef]
- Fidelis, M.Z.; Favaro, Y.B.; dos Santos, A.S.G.G.; Pereira, M.F.R.; Brackmann, R.; Lenzi, G.G.; Soares, O.S.G.P.; Andreo, O.A.B. Enhancing Ibuprofen and 4-Isobutylacetophenone Degradation: Exploiting the Potential of Nb2O5 Sol-Gel Catalysts in Photocatalysis, Catalytic Ozonation, and Photocatalytic Ozonation. J. Environ. Chem. Eng. 2023, 11, 110690. [Google Scholar] [CrossRef]
- Espíndola, J.C.; Cristóvão, R.O.; Mendes, A.; Boaventura, R.A.R.; Vilar, V.J.P. Photocatalytic Membrane Reactor Performance towards Oxytetracycline Removal from Synthetic and Real Matrices: Suspended vs Immobilized TiO2-P25. Chem. Eng. J. 2019, 378, 122114. [Google Scholar] [CrossRef]
- Sun, H.; Zhou, T.; Kang, J.; Zhao, Y.; Zhang, Y.; Wang, T.; Yin, X. High-Efficient Degradation of Oxytetracycline by Visible Photo-Fenton Process Using MnFe2O4/g-C3N4: Performance and Mechanisms. Sep. Purif. Technol. 2022, 299, 121771. [Google Scholar] [CrossRef]
- Zhang, Z.; Du, C.; Zhang, Y.; Yu, G.; Xiong, Y.; Zhou, L.; Liu, Y.; Chi, T.; Wang, G.; Su, Y.; et al. Degradation of Oxytetracycline by Magnetic MOFs Heterojunction Photocatalyst with Persulfate: High Stability and Wide Range. Environ. Sci. Pollut. Res. 2022, 29, 30019–30029. [Google Scholar] [CrossRef]
- Ma, Y.; Wang, R.; Gao, C.; Han, R. Carbon Nanotube-Loaded Copper-Nickel Ferrite Activated Persulfate System for Adsorption and Degradation of Oxytetracycline Hydrochloride. J. Colloid Interface Sci. 2023, 640, 761–774. [Google Scholar] [CrossRef]
- Li, K.; Yediler, A.; Yang, M.; Schulte-Hostede, S.; Hung, M. Ozonation of Oxytetracycline and Toxicological Assessment of Its Oxidation By-Products. Chemosphere 2008, 72, 473–478. [Google Scholar] [CrossRef]
- Do Vinh, T.; Nguyen, D.; Nguyen Trung, K.; Le, P. TiO2 and Au-TiO2 Nanomaterials for Rapid Photocatalytic Degradation of Antibiotic Residues in Aquaculture Wastewater. Materiasl 2019, 12, 2434. [Google Scholar] [CrossRef]
- Augugliaro, V.; García-López, E.; Loddo, V.; Malato-Rodríguez, S.; Maldonado, I.; Marcì, G.; Molinari, R.; Palmisano, L. Degradation of Lincomycin in Aqueous Medium: Coupling of Solar Photocatalysis and Membrane Separation. Sol. Energy 2005, 79, 402–408. [Google Scholar] [CrossRef]
- Deng, Y.; Liu, J.; Huang, Y.; Ma, M.; Liu, K.; Dou, X.; Wang, Z.; Qu, S.; Wang, Z. Engineering the Photocatalytic Behaviors of g/C3N4-Based Metal-Free Materials for Degradation of a Representative Antibiotic. Adv. Funct. Mater. 2020, 30, 2002353. [Google Scholar] [CrossRef]
- Kontogiannis, A.; Evgenidou, E.; Nannou, C.; Bikiaris, D.; Lambropoulou, D. MOF-Based Photocatalytic Degradation of the Antibiotic Lincomycin Enhanced by Hydrogen Peroxide and Persulfate: Kinetics, Elucidation of Transformation Products and Toxicity Assessment. J. Environ. Chem. Eng. 2022, 10, 108112. [Google Scholar] [CrossRef]
- Tan, J.X.; Chen, Z.Y.; Chen, C.H.; Hsieh, M.F.; Lin, A.Y.C.; Chen, S.S.; Wu, K.C.W. Efficient Adsorption and Photocatalytic Degradation of Water Emerging Contaminants through Nanoarchitectonics of Pore Sizes and Optical Properties of Zirconium-Based MOFs. J. Hazard. Mater. 2023, 451, 131113. [Google Scholar] [CrossRef]
- Farhadian, N.; Akbarzadeh, R.; Pirsaheb, M.; Jen, T.C.; Fakhri, Y.; Asadi, A. Chitosan Modified N, S-Doped TiO2 and N, S-Doped ZnO for Visible Light Photocatalytic Degradation of Tetracycline. Int. J. Biol. Macromol. 2019, 132, 360–373. [Google Scholar] [CrossRef]
- Çağlar Yılmaz, H.; Akgeyik, E.; Bougarrani, S.; El Azzouzi, M.; Erdemoğlu, S. Photocatalytic Degradation of Amoxicillin Using Co-Doped TiO2 Synthesized by Reflux Method and Monitoring of Degradation Products by LC–MS/MS. J. Dispers. Sci. Technol. 2020, 41, 414–425. [Google Scholar] [CrossRef]
- Balarak, D.; Mengelizadeh, N.; Rajiv, P.; Chandrika, K. Photocatalytic Degradation of Amoxicillin from Aqueous Solutions by Titanium Dioxide Nanoparticles Loaded on Graphene Oxide. Environ. Sci. Pollut. Res. 2021, 28, 49743–49754. [Google Scholar] [CrossRef]
- Aba-Guevara, C.G.; Medina-Ramírez, I.E.; Hernández-Ramírez, A.; Jáuregui-Rincón, J.; Lozano-Álvarez, J.A.; Rodríguez-López, J.L. Comparison of Two Synthesis Methods on the Preparation of Fe, N-Co-Doped TiO2 Materials for Degradation of Pharmaceutical Compounds under Visible Light. Ceram. Int. 2017, 43, 5068–5079. [Google Scholar] [CrossRef]
- Al-Musawi, T.J.; Yilmaz, M.; Ramírez-Coronel, A.A.; Al-Awsi, G.R.L.; Alwaily, E.R.; Asghari, A.; Balarak, D. Degradation of Amoxicillin under a UV or Visible Light Photocatalytic Treatment Process Using Fe2O3/Bentonite/TiO2: Performance, Kinetic, Degradation Pathway, Energy Consumption, and Toxicology Studies. Optik 2023, 272, 170230. [Google Scholar] [CrossRef]
- Zhou, L.; Guo, X.; Lai, C.; Wang, W. Electro-Photocatalytic Degradation of Amoxicillin Using Calcium Titanate. Open Chem. 2018, 16, 949–955. [Google Scholar] [CrossRef]
- Elmolla, E.S.; Chaudhuri, M. Comparison of Different Advanced Oxidation Processes for Treatment of Antibiotic Aqueous Solution. Desalination 2010, 256, 43–47. [Google Scholar] [CrossRef]
- Ashraf, A.; Liu, G.; Yousaf, B.; Arif, M.; Ahmed, R.; Rashid, A.; Riaz, L.; Rashid, M.S. Phyto-Mediated Photocatalysis: A Critical Review of in-Depth Base to Reactive Radical Generation for Erythromycin Degradation; Springer: Berlin/Heidelberg, Germany, 2022; Volume 29, ISBN 0123456789. [Google Scholar]
- Chu, L.; Zhuan, R.; Chen, D.; Wang, J.; Shen, Y. Degradation of Macrolide Antibiotic Erythromycin and Reduction of Antimicrobial Activity Using Persulfate Activated by Gamma Radiation in Different Water Matrices. Chem. Eng. J. 2019, 361, 156–166. [Google Scholar] [CrossRef]
- Albornoz, L.L.; da Silva, S.W.; Bortolozzi, J.P.; Banús, E.D.; Brussino, P.; Ulla, M.A.; Bernardes, A.M. Degradation and Mineralization of Erythromycin by Heterogeneous Photocatalysis Using SnO2-Doped TiO2 Structured Catalysts: Activity and Stability. Chemosphere 2021, 268, 128858. [Google Scholar] [CrossRef] [PubMed]
- Xekoukoulotakis, N.P.; Xinidis, N.; Chroni, M.; Mantzavinos, D.; Venieri, D.; Hapeshi, E.; Fatta-Kassinos, D. UV-A/TiO2 Photocatalytic Decomposition of Erythromycin in Water: Factors Affecting Mineralization and Antibiotic Activity. Catal. Today 2010, 151, 29–33. [Google Scholar] [CrossRef]
- Vignesh, K.; Rajarajan, M.; Suganthi, A. Photocatalytic Degradation of Erythromycin under Visible Light by Zinc Phthalocyanine-Modified Titania Nanoparticles. Mater. Sci. Semicond. Process 2014, 23, 98–103. [Google Scholar] [CrossRef]
- Li, G.; Wang, B.; Zhang, J.; Wang, R.; Liu, H. Rational Construction of a Direct Z-Scheme g-C3N4/CdS Photocatalyst with Enhanced Visible Light Photocatalytic Activity and Degradation of Erythromycin and Tetracycline. Appl. Surf. Sci. 2019, 478, 1056–1064. [Google Scholar] [CrossRef]
- Mohsin, M.; Bhatti, I.A.; Iqbal, M.; Naz, S.; Ashar, A.; Nisar, J.; Al-Fawzan, F.F.; Alissa, S.A. Oxidative Degradation of Erythromycin Using Calcium Carbonate under UV and Solar Light Irradiation: Condition Optimized by Response Surface Methodology. J. Water Process Eng. 2021, 44, 102433. [Google Scholar] [CrossRef]
- Fakhri, A.; Rashidi, S.; Tyagi, I.; Agarwal, S.; Gupta, V.K. Photodegradation of Erythromycin Antibiotic by γ-Fe2O3/SiO2 Nanocomposite: Response Surface Methodology Modeling and Optimization. J. Mol. Liq. 2016, 214, 378–383. [Google Scholar] [CrossRef]
- Baran, W.; Adamek, E.; Sobczak, A.; Makowski, A. Photocatalytic Degradation of Sulfa Drugs with TiO2, Fe Salts and TiO2/FeCl3 in Aquatic Environment-Kinetics and Degradation Pathway. Appl. Catal. B 2009, 90, 516–525. [Google Scholar] [CrossRef]
- Mendiola-Alvarez, S.Y.; Palomino-Cabello, C.; Hernández-Ramírez, A.; Turnes-Palomino, G.; Guzmán-Mar, J.L.; Hinojosa-Reyes, L. Coupled Heterogeneous Photocatalysis Using a P-TiO2-AFe2O3 Catalyst and K2S2O8 for the Efficient Degradation of a Sulfonamide Mixture. J. Photochem. Photobiol. A Chem. 2020, 394, 112485. [Google Scholar] [CrossRef]
- Wang, N.; Li, X.; Yang, Y.; Zhou, Z.; Shang, Y.; Zhuang, X. Photocatalytic Degradation of Sulfonamides by Bi2O3-TiO2/PAC Ternary Composite: Mechanism, Degradation Pathway. J. Water Process Eng. 2020, 36, 101335. [Google Scholar] [CrossRef]
- Batista, A.P.S.; Nogueira, R.F.P. Parameters Affecting Sulfonamide Photo-Fenton Degradation—Iron Complexation and Substituent Group. J. Photochem. Photobiol. A Chem. 2012, 232, 8–13. [Google Scholar] [CrossRef]
- Pelalak, R.; Alizadeh, R.; Ghareshabani, E.; Heidari, Z. Degradation of Sulfonamide Antibiotics Using Ozone-Based Advanced Oxidation Process: Experimental, Modeling, Transformation Mechanism and DFT Study. Sci. Total Environ. 2020, 734, 139446. [Google Scholar] [CrossRef]
- Du, J.; Ma, S.; Yan, Y.; Li, K.; Zhao, F.; Zhou, J. Corn-Silk-Templated Synthesis of TiO2 Nanotube Arrays with Ag3PO4 Nanoparticles for Efficient Oxidation of Organic Pollutants and Pathogenic Bacteria under Solar Light. Colloids Surf. A Physicochem. Eng. Asp. 2019, 572, 237–249. [Google Scholar] [CrossRef]
- Liu, Z.; Liu, X.; Lu, Q.; Wang, Q.; Ma, Z. TiOF2/TiO2 Composite Nanosheets: Effect of Hydrothermal Synthesis Temperature on Physicochemical Properties and Photocatalytic Activity. J. Taiwan Inst. Chem. Eng. 2019, 96, 214–222. [Google Scholar] [CrossRef]
- El-Kemary, M.; El-Shamy, H.; El-Mehasseb, I. Photocatalytic Degradation of Ciprofloxacin Drug in Water Using ZnO Nanoparticles. J. Lumin. 2010, 130, 2327–2331. [Google Scholar] [CrossRef]
- Wen, X.J.; Niu, C.G.; Zhang, L.; Liang, C.; Guo, H.; Zeng, G.M. Photocatalytic Degradation of Ciprofloxacin by a Novel Z-Scheme CeO2–Ag/AgBr Photocatalyst: Influencing Factors, Possible Degradation Pathways, and Mechanism Insight. J. Catal. 2018, 358, 141–154. [Google Scholar] [CrossRef]
- Yu, X.; Zhang, J.; Zhang, J.; Niu, J.; Zhao, J.; Wei, Y.; Yao, B. Photocatalytic Degradation of Ciprofloxacin Using Zn-Doped Cu2O Particles: Analysis of Degradation Pathways and Intermediates. Chem. Eng. J. 2019, 374, 316–327. [Google Scholar] [CrossRef]
- Yang, L.; Xiang, Y.; Jia, F.; Xia, L.; Gao, C.; Wu, X.; Peng, L.; Liu, J.; Song, S. Photo-Thermal Synergy for Boosting Photo-Fenton Activity with RGO-ZnFe2O4: Novel Photo-Activation Process and Mechanism toward Environment Remediation. Appl. Catal. B 2021, 292, 120198. [Google Scholar] [CrossRef]
- Ge, X.; Meng, G.; Liu, B. Ultrasound-Assisted Preparation of LaFeO3/Polystyrene for Efficient Photo-Fenton Degradation of Ciprofloxacin Hydrochloride. J. Ind. Eng. Chem. 2022, 115, 390–401. [Google Scholar] [CrossRef]
- Gupta, A.; Garg, A. Degradation of Ciprofloxacin Using Fenton’s Oxidation: Effect of Operating Parameters, Identification of Oxidized by-Products and Toxicity Assessment. Chemosphere 2018, 193, 1181–1188. [Google Scholar] [CrossRef] [PubMed]
Disclaimer/Publisher’s Note: The statements, opinions and data contained in all publications are solely those of the individual author(s) and contributor(s) and not of MDPI and/or the editor(s). MDPI and/or the editor(s) disclaim responsibility for any injury to people or property resulting from any ideas, methods, instructions or products referred to in the content. |
© 2023 by the authors. Licensee MDPI, Basel, Switzerland. This article is an open access article distributed under the terms and conditions of the Creative Commons Attribution (CC BY) license (https://creativecommons.org/licenses/by/4.0/).














